Changes of Physicochemical Properties in Black Garlic during Fermentation
Abstract
1. Introduction
2. Materials and Methods
2.1. Overall Strategy
2.2. Material
2.3. Sample Preparation
2.4. Sensory Evaluation
2.5. Basic Analysis of BG
2.6. Hardness and Color
2.7. Measurement of Oxidation Resistance
2.8. Statistical Analysis
3. Results
3.1. Sensory Evaluation
3.2. Physicochemical Properties
3.2.1. Moisture
3.2.2. Total Acids
3.2.3. Reducing Sugars
3.2.4. Hardness
3.2.5. Color
3.3. Bioactive Functions
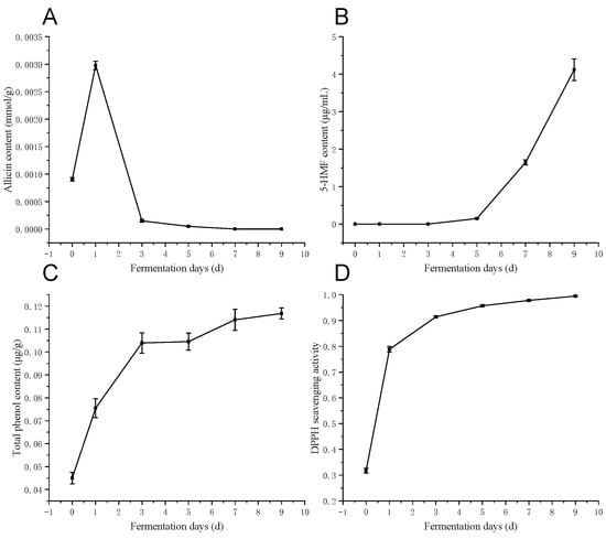
3.3.1. Allicin
3.3.2. 5-HMF
3.3.3. Polyphenols
3.3.4. Antioxidation Property
3.4. Principal Components Analysis
4. Discussion
5. Conclusions
Supplementary Materials
Author Contributions
Funding
Institutional Review Board Statement
Informed Consent Statement
Data Availability Statement
Conflicts of Interest
References
- Zhang, X.; Shi, Y.; Wang, L.; Li, X.; Zhang, S.; Wang, X.; Jin, M.; Hsiao, C.-D.; Lin, H.; Han, L. Metabolomics for biomarker discovery in fermented black garlic and potential bioprotective responses against cardiovascular diseases. J. Agric. Food Chem. 2019, 67, 12191–12198. [Google Scholar] [CrossRef]
- Atun, S.; Aznam, N.; Arianingrum, R.; Devi, Y.; Melasari, R. Characterization and biological activity test of garlic and its fermentation as antioxidant, analgesic, and anticancer. In Proceedings of the 7th International Conference on Research, Implementation, and Education of Mathematics and Sciences (ICRIEMS 2020), Yogyakarta, Indonesia, 25–26 September 2020; Atlantis Press: Paris, France; pp. 159–165. [Google Scholar] [CrossRef]
- Isnaini, F.; Yudistia, R.; Faradilla, A.; Rahman, M. Effect of black garlic extract on blood glucose, lipid profile, and sgpt-sgot of wistar rats diabetes mellitus model. Maj. Kedokt. Bdg. 2019, 51, 82–87. [Google Scholar]
- Halimah, S.L.; Hasan, K. Differences of bio (chemical) characterization of garlic and black garlic on antibacterial and antioxidant activities. J. Phys. Conf. Ser. 2021, 1764, 012005. [Google Scholar] [CrossRef]
- Andres, R.; Karin, R.; Sobenin, I.A.; Bucher, H.C.; Nordmann, A.J. A systematic review and metaanalysis on the effects of garlic preparations on blood pressure in individuals with hypertension. Am. J. Hypertens. 2015, 28, 414–423. [Google Scholar] [CrossRef]
- Locatelli, D.A.; Nazareno, M.A.; Fusari, C.M.; Camargo, A.B. Cooked garlic and antioxidant activity: Correlation with organosulfur compound composition. Food Chem. 2017, 220, 219–224. [Google Scholar] [CrossRef]
- Ramirez, D.A.; Locatelli, D.A.; González, R.E.; Cavagnaro, P.F.; Camargo, B.A. Analytical methods for bioactive sulfur compounds in allium: An integrated review and future directions. J. Food Compos. Anal. 2017, 61, 4–19. [Google Scholar] [CrossRef]
- Qiu, Z.; Zheng, Z.; Zhang, B.; Sun-Waterhouse, D.; Qiao, X. Formation, nutritional value, and enhancement of characteristic components in black garlic: A review for maximizing the goodness to humans. Compr. Rev. Food Sci. Food Saf. 2020, 19, 801–834. [Google Scholar] [CrossRef]
- Chang, W.C.; Chen, Y.T.; Chen, H.J.; Hsieh, C.W.; Liao, P.C. Comparative uhplc-q-orbitrap hrms-based metabolomics unveils biochemical changes of black garlic during aging process. J. Agric. Food Chem. 2020, 68, 14049–14058. [Google Scholar] [CrossRef]
- Dewi, A.N.N.; Mustika, I.W. Nutrition content and antioxidant activity of black garlic. Int. J. Health Sci. 2018, 2, 11–20. [Google Scholar] [CrossRef][Green Version]
- Ding, Y.; Zhou, X.; Zhong, Y.; Wang, D.; Dai, B.; Deng, Y. Metabolite, volatile and antioxidant profiles of black garlic stored in different packaging materials. Food Control 2021, 127, 108131. [Google Scholar] [CrossRef]
- Karnjanapratum, S.; Supapvanich, S.; Kaewthong, P.; Takeungwongtrakul, S. Impact of steaming pretreatment process on characteristics and antioxidant activities of black garlic (Allium sativum L.). J. Food Sci. Technol. 2021, 58, 1869–1876. [Google Scholar] [CrossRef]
- Rios-Rios, K.L.; Gaytan-Martinez, M.; Rivera-Pastrana, D.M.; Morales-Sanchez, E.; Villamiel, M.; Montilla, A.; Mercado-Silva, E.M.; Vazquez-Barrios, M.E. Ohmic heating pretreatment accelerates black garlic processing. LWT–Food Sci. Technol. 2021, 151, 112218. [Google Scholar] [CrossRef]
- Sun, -E.Y.; Wang, W. Changes in nutritional and bio-functional compounds and antioxidant capacity during black garlic processing. J. Food Sci. Technol. 2018, 55, 479–488. [Google Scholar] [CrossRef]
- Wu, J.F.; Jin, Y.; Zhang, M. Evaluation on the physicochemical and digestive properties of melanoidin from black garlic and their antioxidant activities in vitro. Food Chem. 2021, 340, 127934. [Google Scholar] [CrossRef]
- Choi, I.S.; Cha, H.S.; Lee, Y.S. Physicochemical and antioxidant properties of black garlic. Molecules 2014, 19, 16811–16823. [Google Scholar] [CrossRef] [PubMed]
- Kim, J.S.; Kang, O.J.; Gweon, O.C. Comparison of phenolic acids and flavonoids in black garlic at different thermal processing steps. J. Funct. Foods 2013, 5, 80–86. [Google Scholar] [CrossRef]
- Toledano-Medina, M.A.; Perez-Aparicio, J.; Moreno-Rojas, R.; Merinas-Amo, T. Evolution of some physicochemical and antioxidant properties of black garlic whole bulbs and peeled cloves. Food Chem. 2016, 199, 135–139. [Google Scholar] [CrossRef]
- Wang, X.M.; Liu, R.; Yang, Y.K.; Zhang, M. Isolation, purification and identification of antioxidants in an aqueous aged garlic extract. Food Chem. 2015, 187, 37–43. [Google Scholar] [CrossRef]
- Yuan, H.; Sun, L.; Chen, M.; Wang, J. An analysis of the changes on intermediate products during the thermal processing of black garlic. Food Chem. 2018, 239, 56–61. [Google Scholar] [CrossRef]
- Sembiring, N.B.; Iskandar, Y. A review of component and pharmacology activities of black garlic. Maj. Obat Tradis. 2019, 24, 178–183. [Google Scholar] [CrossRef]
- Ma, Y.; Ling, T.J.; Su, X.Q.; Jiang, B.; Nian, B.; Chen, L.J.; Liu, M.L.; Zhang, Z.Y.; Wang, D.P.; Mu, Y.Y.; et al. Integrated proteomics and metabolomics analysis of tea leaves fermented by aspergillus niger, aspergillus tamarii and aspergillus fumigatus. Food Chem. 2021, 334, 127560. [Google Scholar] [CrossRef] [PubMed]
- Wang, L.; Hong, K.; Agbaka, J.I.; Zhu, G.; Lv, C.; Ma, C. Application of uhplc-q/tof-ms-based metabolomics analysis for the evaluation of bitter-tasting krausen metabolites during beer fermentation. J. Food Compos. Anal. 2021, 99, 103850. [Google Scholar] [CrossRef]
- Li, F.; Cao, J.; Liu, Q.; Hu, X.; Liao, X.; Zhang, Y. Acceleration of the maillard reaction and achievement of product quality by high pressure pretreatment during black garlic processing. Food Chem. 2020, 318, 126517. [Google Scholar] [CrossRef]
- González-Ramírez, P.; Pascual-Mathey, L.; García-Rodríguez, R.; Jiménez, M.; Beristain, C.; Sanchez-Medina, A.; Pascual-Pineda, L. Effect of relative humidity on the metabolite profiles, antioxidant activity and sensory acceptance of black garlic processing. Food Biosci. 2022, 48, 101827. [Google Scholar] [CrossRef]
- Zhang, X.; Li, N.; Lu, X.; Liu, P.; Qiao, X. Effects of temperature on the quality of black garlic. J. Sci. Food Agric. 2016, 96, 2366–2372. [Google Scholar] [CrossRef]
- Zhou, X.; Cui, H.; Zhang, Q.; Hayat, K.; Yu, J.; Hussain, S.; Tahir, M.U.; Zhang, X.; Ho, C.-T. Taste improvement of maillard reaction intermediates derived from enzymatic hydrolysates of pea protein. Food Res. Int. 2021, 140, 109985. [Google Scholar] [CrossRef]
- Zambrano, M.V.; Dutta, B.; Mercer, D.G.; MacLean, H.L.; Touchie, M.F. Assessment of moisture content measurement methods of dried food products in small-scale operations in developing countries: A review. Trends Food Sci. Technol. 2019, 88, 484–496. [Google Scholar] [CrossRef]
- Huang, H.; Hu, X.; Tian, J.; Jiang, X.; Luo, H.; Huang, D. Rapid detection of the reducing sugar and amino acid nitrogen contents of daqu based on hyperspectral imaging. J. Food Compos. Anal. 2021, 101, 103970. [Google Scholar] [CrossRef]
- Han, J.; Lawson, L.; Han, G.; Han, P. A spectrophotometric method for quantitative determination of allicin and total garlic thiosulfinates. Anal. Biochem. 1995, 225, 157–160. [Google Scholar] [CrossRef]
- Feng, H.W.; Xiong, F.U. Determination of 5-hydroxymethyl-2-furfural in molasses by ultraviolet spectrophotometry. Sci. Technol. Food Ind. 2010, 31, 365–367. [Google Scholar]
- Ren, F.; Perussello, C.A.; Zhang, Z.; Gaffney, M.T.; Kerry, J.P.; Tiwari, B.K. Effect of agronomic practices and drying techniques on nutritional and quality parameters of onions (Allium cepa L.). Dry. Technol. 2017, 36, 435–447. [Google Scholar] [CrossRef]
- Kimura, S.; Tung, Y.C.; Pan, M.H.; Su, N.W.; Lai, Y.J.; Cheng, K.C. Black garlic: A critical review of its production, bioactivity, and application. J. Food Drug Anal. 2017, 25, 62–70. [Google Scholar] [CrossRef] [PubMed]
- Cui, H.; Yu, J.; Zhai, Y.; Feng, L.; Chen, P.; Hayat, K.; Xu, Y.; Zhang, X.; Ho, C.-T. Formation and fate of amadori rearrangement products in maillard reaction. Trends Food Sci. Technol. 2021, 115, 391–408. [Google Scholar] [CrossRef]
- Ellis, G.P. The maillard reaction. Adv. Carbohydr. Chem. 1959, 14, 63–134. [Google Scholar] [CrossRef]
- Chang, H.-J.; Xu, X.-L.; Zhou, G.-H.; Li, C.-B.; Huang, M. Effects of characteristics changes of collagen on meat physicochemical properties of beef semitendinosus muscle during ultrasonic processing. Food Bioprocess Technol. 2009, 5, 285–297. [Google Scholar] [CrossRef]
- He, Y.; Fan, G.-J.; Wu, C.-E.; Kou, X.; Li, T.-T.; Tian, F.; Gong, H. Influence of packaging materials on postharvest physiology and texture of garlic cloves during refrigeration storage. Food Chem. 2019, 298, 125019. [Google Scholar] [CrossRef]
- Nugrahedi, P.; Dekker, M.; Widianarko, B.; Verkerk, R. Quality of cabbage during long term steaming; phytochemical, texture and colour evaluation. LWT–Food Sci. Technol. 2016, 65, 421–427. [Google Scholar] [CrossRef]
- Eric, K.; Raymond, L.V.; Huang, M.; Cheserek, M.J.; Hayat, K.; Savio, N.D.; Amédée, M.; Zhang, X. Sensory attributes and antioxidant capacity of maillard reaction products derived from xylose, cysteine and sunflower protein hydrolysate model system. Food Res. Int. 2013, 54, 1437–1447. [Google Scholar] [CrossRef]
- Lu, X.; Li, N.; Qiao, X.; Qiu, Z.; Liu, P. Effects of thermal treatment on polysaccharide degradation during black garlic processing. LWT–Food Sci. Technol. 2018, 95, 223–229. [Google Scholar] [CrossRef]
- Kang, O.J. Evaluation of melanoidins formed from black garlic after different thermal processing steps. Prev. Nutr. Food Sci. 2016, 21, 398–405. [Google Scholar] [CrossRef]
- Dursun Capar, T.; Inanir, C.; Cimen, F.; Ekici, L.; Yalcin, H. Black garlic fermentation with green tea extract reduced hmf and improved bioactive properties: Optimization study with response surface methodology. J. Food Meas. Charact. 2022, 16, 1340–1353. [Google Scholar] [CrossRef]
- Rizelio, V.M.; Gonzaga, L.V.; Borges, G.D.S.C.; Micke, G.A.; Fett, R.; Costa, A.C.O. Development of a fast meck method for determination of 5-hmf in honey samples. Food Chem. 2012, 133, 1640–1645. [Google Scholar] [CrossRef]
- Del Bo’, C.; Bernardi, S.; Marino, M.; Porrini, M.; Tucci, M.; Guglielmetti, S.; Cherubini, A.; Carrieri, B.; Kirkup, B.; Kroon, P. Systematic review on polyphenol intake and health outcomes: Is there sufficient evidence to define a health-promoting polyphenol-rich dietary pattern? Nutrients 2019, 11, 1355. [Google Scholar] [CrossRef]
- Moreno-Ortega, A.; Pereira-Caro, G.; Ordóñez, J.L.; Moreno-Rojas, R.; Ortíz-Somovilla, V.; Moreno-Rojas, J.M. Bioaccessibility of bioactive compounds of ‘fresh garlic’ and ‘black garlic’ through in vitro gastrointestinal digestion. Foods 2020, 9, 1582. [Google Scholar] [CrossRef] [PubMed]
- Bedrníček, J.; Laknerová, I.; Lorenc, F.; Moraes, P.P.d.; Jarošová, M.; Samková, E.; Tříska, J.; Vrchotová, N.; Kadlec, J.; Smetana, P. The use of a thermal process to produce black garlic: Differences in the physicochemical and sensory characteristics using seven varieties of fresh garlic. Foods 2021, 10, 2703. [Google Scholar] [CrossRef]
- Setiyoningrum, F.; Priadi, G.; Afiati, F.; Herlina, N.; Solikhin, A. Composition of spontaneous black garlic fermentation in a water bath. Food Sci. Technol. 2021, 41, 557–562. [Google Scholar] [CrossRef]
- Ríos-Ríos, K.L.; Montilla, A.; Olano, A.; Villamiel, M. Physicochemical changes and sensorial properties during black garlic elaboration: A review. Trends Food Sci. Technol. 2019, 88, 459–467. [Google Scholar] [CrossRef]
- Cheng, H.; Huang, G.; Huang, H. The antioxidant activities of garlic polysaccharide and its derivatives. Int. J. Biol. Macromol. 2020, 145, 819–826. [Google Scholar] [CrossRef]




| Samples | Color | Dry Degree | Texture | Smell | Taste | Total Score |
|---|---|---|---|---|---|---|
| S1 | 6.67 b | 16.67 a | 17.67 a | 13.33 a | 3.67 b | 58.00 d |
| S3 | 17.67 a | 17.00 a | 15.00 a | 13.67 a | 7.00 b | 70.33 c |
| S5 | 17.67 a | 17.00 a | 15.67 a | 15.00 a | 14.67 a | 80.00 b |
| S7 | 18.00 a | 18.33 a | 16.00 a | 17.00 a | 17.33 a | 86.67 a |
| S9 | 18.00 a | 18.33 a | 16.00 a | 16.67 a | 17.33 a | 86.33 ab |
| Chroma | S0 | S1 | S3 | S5 | S7 | S9 |
|---|---|---|---|---|---|---|
| L* | 63.73 ± 0.67 a | 37.00 ± 0.40 b | 22.86 ± 0.32 c | 19.34 ± 0.24 e | 21.33 ± 0.32 d | 23.65 ± 0.44 c |
| a* | −2.17 ± 0.18 e | 12.77 ± 0.17 a | 1.86 ± 0.09 b | 1.11 ± 0.06 c | 1.01 ± 0.05 c | 0.64 ± 0.06 d |
| b* | 21.94 ± 0.39 a | 19.84 ± 0.41 b | 2.95 ± 0.17 c | 1.79 ± 0.03 d | 1.46 ± 0.06 d | 0.85 ± 0.05 e |
| ΔL | 37.28 ± 0.62 a | −55.70 ± 1.00 b | −72.56 ± 1.09 d | −78.74 ± 1.00 e | −72.45 ± 0.77 d | −70.39 ± 0.88 c |
| Δa | −2.28 ± 0.20 e | 12.44 ± 0.44 a | 2.15 ± 0.20 b | 1.17 ± 0.06 cd | 1.26 ± 0.08 c | 0.77 ± 0.06 d |
| Δb | 21.31 ± 0.28 a | 15.23 ± 0.41 b | −1.69 ± 0.15 c | −2.66 ± 0.15 d | −3.10 ± 0.18 d | −3.62 ± 0.10 e |
| ΔE | 43.00 ± 0.63 d | 59.08 ± 0.93 c | 72.61 ± 1.09 b | 77.13 ± 1.89 a | 72.52 ± 0.77 b | 70.48 ± 0.89 b |
Publisher’s Note: MDPI stays neutral with regard to jurisdictional claims in published maps and institutional affiliations. |
© 2022 by the authors. Licensee MDPI, Basel, Switzerland. This article is an open access article distributed under the terms and conditions of the Creative Commons Attribution (CC BY) license (https://creativecommons.org/licenses/by/4.0/).
Share and Cite
Yuan, X.; Wang, Z.; Liu, L.; Mu, D.; Wu, J.; Li, X.; Wu, X. Changes of Physicochemical Properties in Black Garlic during Fermentation. Fermentation 2022, 8, 653. https://doi.org/10.3390/fermentation8110653
Yuan X, Wang Z, Liu L, Mu D, Wu J, Li X, Wu X. Changes of Physicochemical Properties in Black Garlic during Fermentation. Fermentation. 2022; 8(11):653. https://doi.org/10.3390/fermentation8110653
Chicago/Turabian StyleYuan, Xinyu, Zhuochen Wang, Lanhua Liu, Dongdong Mu, Junfeng Wu, Xingjiang Li, and Xuefeng Wu. 2022. "Changes of Physicochemical Properties in Black Garlic during Fermentation" Fermentation 8, no. 11: 653. https://doi.org/10.3390/fermentation8110653
APA StyleYuan, X., Wang, Z., Liu, L., Mu, D., Wu, J., Li, X., & Wu, X. (2022). Changes of Physicochemical Properties in Black Garlic during Fermentation. Fermentation, 8(11), 653. https://doi.org/10.3390/fermentation8110653

