Optimization of Consolidated Bioprocessing Fermentation of Uncooked Sweet Potato Residue for Bioethanol Production by Using a Recombinant Amylolytic Saccharomyces cerevisiae Strain via the Orthogonal Experimental Design Method
Abstract
1. Introduction
2. Materials and Methods
2.1. Strains and Growth Conditions
2.2. SPR Fermentation Media Preparation
2.3. Single-Factor Experiments
2.4. Ethanol Production from the Optimized Fermentation Conditions
3. Results and Discussion
3.1. Effect of Initial pH on the Fermentation of Uncooked SPR Material
3.2. Effects of the Solid-to-Liquid Ratio on the Fermentation of Uncooked SPR Material
3.3. Effects of Inoculation Volume on the Fermentation of Uncooked SPR Material
3.4. Effects of Exogenous Enzyme Addition on the Fermentation of Uncooked SPR Material
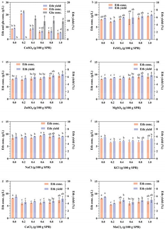
3.5. Effects of Metal Ions on the Fermentation of Uncooked SPR Material
3.6. Optimization of the Ethanol Production of the Strain via an Orthogonal Test
3.7. Verification of the Orthogonal Test Optimization
3.8. Economical Analysis of CBP Fermentation of SPR
4. Conclusions
Author Contributions
Funding
Institutional Review Board Statement
Informed Consent Statement
Data Availability Statement
Conflicts of Interest
References
- Hahn-Hägerdal, B.; Galbe, M.; Gorwa-Grauslund, M.-F.; Lidén, G.; Zacchi, G. Bio-ethanol–the fuel of tomorrow from the residues of today. Trends Biotechnol. 2006, 24, 549–556. [Google Scholar] [CrossRef]
- Peplow, M. Cellulosic ethanol fights for life. Nature 2014, 507, 152–153. [Google Scholar] [CrossRef]
- Jansen, M.L.A.; Bracher, J.M.; Papapetridis, I.; Verhoeven, M.D.; de Bruijn, H.; de Waal, P.P.; van Maris, A.J.A.; Klaassen, P.; Pronk, J.T. Saccharomyces cerevisiae strains for second-generation ethanol production: From academic exploration to industrial implementation. Fems Yeast Res. 2017, 17, fox044. [Google Scholar] [CrossRef]
- Niphadkar, S.; Bagade, P.; Ahmed, S. Bioethanol production: Insight into past, present and future perspectives. Biofuels 2018, 9, 229–238. [Google Scholar] [CrossRef]
- Zabed, H.; Sahu, J.N.; Suely, A.; Boyce, A.N.; Faruq, G. Bioethanol production from renewable sources: Current perspectives and technological progress. Renew. Sustain. Energy Rev. 2017, 71, 475–501. [Google Scholar] [CrossRef]
- Favaro, L.; Jooste, T.; Basaglia, M.; Rose, S.H.; Saayman, M.; Görgens, J.F.; Casella, S.; van Zyl, W.H. Designing industrial yeasts for the consolidated bioprocessing of starchy biomass to ethanol. Bioengineered 2013, 4, 97–102. [Google Scholar] [CrossRef] [PubMed]
- Yu, J.M.; Xu, Z.X.; Liu, L.; Chen, S.T.; Wang, S.W.; Jin, M.J. Process integration for ethanol production from corn and corn stover as mixed substrates. Bioresour. Technol. 2019, 279, 10–16. [Google Scholar] [CrossRef]
- Wang, X.; Liao, B.; Li, Z.J.; Liu, G.X.; Diao, L.Y.; Qian, F.H.; Yang, J.J.; Jiang, Y.; Zhao, S.M.; Li, Y.G.; et al. Reducing glucoamylase usage for commercial-scale ethanol production from starch using glucoamylase expressing Saccharomyces cerevisiae. Bioresour. Bioprocess. 2021, 8, 20. [Google Scholar] [CrossRef]
- Atitallah, I.B.; Antonopoulou, G.; Ntaikou, I.; Alexandropoulou, M.; Nasri, M.; Mechichi, T.; Lyberatos, G. On the evaluation of different saccharification schemes for enhanced bioethanol production from potato peels waste via a newly isolated yeast strain of Wickerhamomyces anomalus. Bioresour. Technol. 2019, 289, 121614. [Google Scholar] [CrossRef]
- Nizami, A.S.; Rehan, M.; Waqas, M.; Naqvi, M.; Ouda, O.K.M.; Shahzad, K.; Miandad, R.; Khan, M.Z.; Syamsiro, M.; Ismail, I.M.I.; et al. Waste biorefineries: Enabling circular economies in developing countries. Bioresour. Technol. 2017, 241, 1101–1117. [Google Scholar] [CrossRef]
- Ntaikou, I.; Menis, N.; Alexandropoulou, M.; Antonopoulou, G.; Lyberatos, G. Valorization of kitchen biowaste for ethanol production via simultaneous saccharification and fermentation using co-cultures of the yeasts Saccharomyces cerevisiae and Pichia stipitis. Bioresour. Technol. 2018, 263, 75–83. [Google Scholar] [CrossRef] [PubMed]
- Lyu, R.Q.; Ahmed, S.; Fan, W.J.; Yang, J.; Wu, X.Y.; Zhou, W.Z.; Zhang, P.; Yuan, L.; Wang, H.X. Engineering properties of sweet potato starch for industrial applications by biotechnological techniques including genome Editing. Int. J. Mol. Sci. 2021, 22, 9533. [Google Scholar] [CrossRef]
- Xia, J.; Shu, J.; Yao, K.; Xu, J.; Yu, X.; Xue, X.; Ma, D.; Lin, X. Synergism of cellulase, pectinase and xylanase on hydrolyzing differently pretreated sweet potato residues. Prep. Biochem. Biotechnol. 2020, 50, 181–190. [Google Scholar] [CrossRef]
- Liu, M.; Li, X.Z.; Zhou, S.M.; Wang, T.T.Y.; Zhou, S.H.; Yang, K.L.; Li, Y.X.; Tian, J.; Wang, J. Dietary fiber isolated from sweet potato residues promotes a healthy gut microbiome profile. Food Funct. 2020, 11, 689–699. [Google Scholar] [CrossRef]
- Liu, M.; Zhou, S.H.; Li, Y.X.; Tian, J.; Zhang, C.L. Structure, physicochemical properties and effects on nutrients digestion of modified soluble dietary fiber extracted from sweet potato residue. Food Res. Int. 2021, 150, 110761. [Google Scholar] [CrossRef] [PubMed]
- Arachchige, M.P.M.; Mu, T.; Ma, M. Structural, physicochemical and emulsifying properties of sweet potato pectin treated by high hydrostatic pressure and/or pectinase: A comparative study. J. Sci. Food Agric. 2020, 100, 4911–4920. [Google Scholar] [CrossRef] [PubMed]
- Arachchige, M.P.M.; Mu, T.H.; Ma, M.M. Effect of high hydrostatic pressure-assisted pectinase modification on the Pb2+ adsorption capacity of pectin isolated from sweet potato residue. Chemosphere 2021, 262, 128102. [Google Scholar] [CrossRef]
- Chen, X.F.; Peng, X.W.; Ma, X.Q.; Wang, J.J. Investigation of mannich reaction during co-liquefaction of microalgae and sweet potato waste. Bioresour. Technol. 2019, 284, 286–292. [Google Scholar] [CrossRef]
- Mei, X.; Mu, T.H.; Han, J.J. Composition and physicochemical properties of dietary fiber extracted from residues of 10 varieties of sweet potato by a sieving method. J. Agric. Food Chem. 2010, 58, 7305–7310. [Google Scholar] [CrossRef]
- Wang, F.Z.; Jiang, Y.; Guo, W.; Niu, K.L.; Zhang, R.Q.; Hou, S.L.; Wang, M.Y.; Yi, Y.; Zhu, C.X.; Jia, C.J.; et al. An environmentally friendly and productive process for bioethanol production from potato waste. Biotechnol. Biofuels 2016, 9, 50. [Google Scholar] [CrossRef]
- Zhu, L.L.; Mu, T.H.; Ma, M.M.; Sun, H.N.; Zhao, G.H. Nutritional composition, antioxidant activity, volatile compounds, and stability properties of sweet potato residues fermented with selected lactic acid bacteria and bifidobacteria. Food Chem. 2022, 374, 131500. [Google Scholar] [CrossRef]
- Huang, M.H.; Cheng, J.; Chen, P.; Zheng, G.W.; Wang, D.; Hu, Y.L. Efficient production of succinic acid in engineered Escherichia coli strains controlled by anaerobically-induced nirB promoter using sweet potato waste hydrolysate. J. Environ. Manag. 2019, 237, 147–154. [Google Scholar] [CrossRef] [PubMed]
- Wang, X.; Guo, N.; Hu, J.; Gou, C.; Xie, X.; Zheng, H.; Liao, A.; Huang, J.; Hui, M.; Liu, N. Construction of an amylolytic Saccharomyces cerevisiae strain with high copies of α-amylase and glucoamylase genes integration for bioethanol production from sweet potato residue. Front. Microbiol. 2024, 15, 1419293. [Google Scholar] [CrossRef] [PubMed]
- Gou, C.; Wang, X.; Yu, Y.; Huang, J.; Wang, X.; Hui, M. One-step enzymatic hydrolysis of sweet potato residue after gelatinization for bioethanol production by Saccharomyces cerevisiae. Biomass Convers. Biorefinery 2024, 14, 15853–15862. [Google Scholar] [CrossRef]
- Chandel, A.K.; Garlapati, V.K.; Singh, A.K.; Antunes, F.A.F.; da Silva, S.S. The path forward for lignocellulose biorefineries: Bottlenecks, solutions, and perspective on commercialization. Bioresour. Technol. 2018, 264, 370–381. [Google Scholar] [CrossRef]
- Sakwa, L.; Cripwell, R.A.; Rose, S.H.; Viljoen-Bloom, M. Consolidated bioprocessing of raw starch with Saccharomyces cerevisiae strains expressing fungal alpha-amylase and glucoamylase combinations. Fems Yeast Res. 2018, 18, foy085. [Google Scholar] [CrossRef]
- Meredith, J. Understanding energy use and energy users in contemporary ethanol plants. In The Alcohol Textbook, 4th ed.; Nottingham University Press: Nottingham, UK, 2003; pp. 355–361. [Google Scholar]
- Favaro, L.; Basaglia, M.; Saayman, M.; Rose, S.; Van Zyl, W.; Casella, S. Engineering amylolytic yeasts for industrial bioethanol production. In Chemical Engineering Transactions; AIDIC Servizi Srl.: Milano, Italy, 2010; pp. 97–102. [Google Scholar]
- Görgens, J.F.; Bressler, D.C.; van Rensburg, E. Engineering Saccharomyces cerevisiae for direct conversion of raw, uncooked or granular starch to ethanol. Crit. Rev. Biotechnol. 2015, 35, 369–391. [Google Scholar] [CrossRef]
- Cripwell, R.A.; Rose, S.H.; Viljoen-Bloom, M.; van Zyl, W.H. Improved raw starch amylase production by Saccharomyces cerevisiae using codon optimisation strategies. Fems Yeast Res. 2019, 19, foy127. [Google Scholar] [CrossRef]
- Viktor, M.J.; Rose, S.H.; van Zyl, W.H.; Viljoen-Bloom, M. Raw starch conversion by Saccharomyces cerevisiae expressing Aspergillus tubingensis amylases. Biotechnol. Biofuels 2013, 6, 167. [Google Scholar] [CrossRef]
- Favaro, L.; Viktor, M.J.; Rose, S.H.; Viljoen-Bloom, M.; van Zyl, W.H.; Basaglia, M.; Cagnin, L.; Casella, S. Consolidated bioprocessing of starchy substrates into ethanol by industrial Saccharomyces cerevisiae strains secreting fungal amylases. Biotechnol. Bioeng. 2015, 112, 1751–1760. [Google Scholar] [CrossRef]
- Cripwell, R.A.; Rose, S.H.; Favaro, L.; van Zyl, W.H. Construction of industrial Saccharomyces cerevisiae strains for the efficient consolidated bioprocessing of raw starch. Biotechnol. Biofuels 2019, 12, 201. [Google Scholar] [CrossRef] [PubMed]
- Apiwatanapiwat, W.; Murata, Y.; Kosugi, A.; Yamada, R.; Kondo, A.; Arai, T.; Rugthaworn, P.; Mori, Y. Direct ethanol production from cassava pulp using a surface-engineered yeast strain co-displaying two amylases, two cellulases, and β-glucosidase. Appl. Microbiol. Biotechnol. 2011, 90, 377–384. [Google Scholar] [CrossRef]
- Yamada, R.; Yamakawa, S.-i.; Tanaka, T.; Ogino, C.; Fukuda, H.; Kondo, A. Direct and efficient ethanol production from high-yielding rice using a Saccharomyces cerevisiae strain that express amylases. Enzym. Microb. Technol. 2011, 48, 393–396. [Google Scholar] [CrossRef] [PubMed]
- Wang, X.; Yang, J.J.; Yang, S.; Jiang, Y. Unraveling the genetic basis of fast l-arabinose consumption on top of recombinant xylose-fermenting Saccharomyces cerevisiae. Biotechnol. Bioeng. 2019, 116, 283–293. [Google Scholar] [CrossRef] [PubMed]
- Trancone, G.; Spasiano, D.; Race, M.; Luongo, V.; Petrella, A.; Pirozzi, F.; Fratino, U.; Piccinni, A. A combined system for asbestos-cement waste degradation by dark fermentation and resulting supernatant valorization in anaerobic digestion. Chemosphere 2022, 300, 134500. [Google Scholar] [CrossRef] [PubMed]
- Liu, X.Y.; Jia, B.; Sun, X.Y.; Ai, J.Y.; Wang, L.H.; Wang, C.; Zhao, F.; Zhan, J.C.; Huang, W.D. Effect of initial pH on growth characteristics and fermentation properties of Saccharomyces cerevisiae. J. Food Sci. 2015, 80, M800–M808. [Google Scholar] [CrossRef]
- Cripwell, R.A.; Favaro, L.; Viljoen-Bloom, M.; van Zyl, W.H. Consolidated bioprocessing of raw starch to ethanol by Saccharomyces cerevisiae: Achievements and challenges. Biotechnol. Adv. 2020, 42, 107579. [Google Scholar] [CrossRef]
- Zhang, B.; Dhital, S.; Gidley, M.J. Synergistic and antagonistic effects of α-amylase and amyloglucosidase on starch digestion. Biomacromolecules 2013, 14, 1945–1954. [Google Scholar] [CrossRef]
- Yingling, B.; Li, C.; Honglin, W.; Xiwen, Y.; Zongcheng, Y. Multi-objective optimization of bioethanol production during cold enzyme starch hydrolysis in very high gravity cassava mash. Bioresour. Technol. 2011, 102, 8077–8084. [Google Scholar] [CrossRef]
- Lai, F.; Jin, Y.L.; Tan, L.; He, K.Z.; Guo, L.; Tian, X.P.; Li, J.M.; Du, A.P.; Huang, Y.H.; Zhao, H.; et al. Bioconversion of wastewater-derived duckweed to lactic acid through fed-batch fermentation at high-biomass loading. Biomass Convers. Biorefinery 2021, 13, 2745–2756. [Google Scholar] [CrossRef]
- Cruz, A.G.; Scullin, C.; Mu, C.; Cheng, G.; Stavila, V.; Varanasi, P.; Xu, D.Y.; Mentel, J.; Chuang, Y.D.; Simmons, B.A.; et al. Impact of high biomass loading on ionic liquid pretreatment. Biotechnol. Biofuels 2013, 6, 52. [Google Scholar] [CrossRef] [PubMed]
- Modenbach, A.A.; Nokes, S.E. Enzymatic hydrolysis of biomass at high-solids loadings—A review. Biomass Bioenergy 2013, 56, 526–544. [Google Scholar] [CrossRef]
- Wanderley, A.d.A.; Soares, M.; Gouveia, E. Selection of inoculum size and Saccharomyces cerevisiae strain for ethanol production in simultaneous saccharification and fermentation (SSF) of sugar cane bagasse. Afr. J. Biotechnol. 2014, 13, 2762–2765. [Google Scholar]
- Udeh, H.; Kgatla, T.; Jideani, A. Effect of mineral ion addition on yeast performance during very high gravity wort fermentation. Int. J. Bioeng. Life Sci. 2014, 8, 1208–1216. [Google Scholar]
- Shi, H.; Jiang, Y.; Yang, Y.; Peng, Y.; Li, C. Copper metabolism in Saccharomyces cerevisiae: An update. Biometals 2021, 34, 3–14. [Google Scholar] [CrossRef] [PubMed]
- Ruta, L.L.; Popa, C.V.; Nicolau, I.; Farcasanu, I.C. Calcium signaling and copper toxicity in Saccharomyces cerevisiae cells. Environ. Sci. Pollut. Res. 2016, 23, 24514–24526. [Google Scholar] [CrossRef]
- Walker, G.M. Yeast Physiology and Biotechnology; John Wiley & Sons: Hoboken, NJ, USA, 1998. [Google Scholar]
- Zhao, X.Q.; Xue, C.; Ge, X.M.; Yuan, W.J.; Wang, J.Y.; Bai, F.W. Impact of zinc supplementation on the improvement of ethanol tolerance and yield of self-flocculating yeast in continuous ethanol fermentation. J. Biotechnol. 2009, 139, 55–60. [Google Scholar] [CrossRef]
- Casey, E.; Mosier, N.S.; Adamec, J.; Stockdale, Z.; Ho, N.; Sedlak, M. Effect of salts on the Co-fermentation of glucose and xylose by a genetically engineered strain of Saccharomyces cerevisiae. Biotechnol. Biofuels 2013, 6, 83. [Google Scholar] [CrossRef]
- Bothast, R.; Schlicher, M. Biotechnological processes for conversion of corn into ethanol. Appl. Microbiol. Biotechnol. 2005, 67, 19–25. [Google Scholar] [CrossRef]
- Robertson, G.H.; Wong, D.W.; Lee, C.C.; Wagschal, K.; Smith, M.R.; Orts, W.J. Native or raw starch digestion: A key step in energy efficient biorefining of grain. J. Agric. Food Chem. 2006, 54, 353–365. [Google Scholar] [CrossRef]






| Factors | Levels | ||||||
|---|---|---|---|---|---|---|---|
| pH | 3.0 | 4.0 | 5.0 | 6.0 | 7.0 | ||
| Solid-to-liquid ratio (g/mL) | 1:8 | 1:7 | 1:6 | 1:5 | 1:4 | 1:3 | |
| Inoculation volume (%) | 6 | 8 | 10 | 12 | 14 | ||
| a Cellulase/C, hemicellulase/H, pectinase/P | C | H | P | C + H | C + P | H + P | C + H + P |
| CuSO4 (g/100 g SPR) | 0 | 0.2 | 0.4 | 0.6 | 0.8 | 1.0 | |
| FeSO4 (g/100 g SPR) | 0 | 0.2 | 0.4 | 0.6 | 0.8 | 1.0 | |
| ZnSO4 (g/100 g SPR) | 0 | 0.2 | 0.4 | 0.6 | 0.8 | 1.0 | |
| MgSO4 (g/100 g SPR) | 0 | 0.2 | 0.4 | 0.6 | 0.8 | 1.0 | |
| NaCl (g/100 g SPR) | 0 | 0.2 | 0.4 | 0.6 | 0.8 | 1.0 | |
| KCl (g/100 g SPR) | 0 | 0.2 | 0.4 | 0.6 | 0.8 | 1.0 | |
| CaCl2 (g/100 g SPR) | 0 | 0.2 | 0.4 | 0.6 | 0.8 | 1.0 | |
| MnCl2 (g/100 g SPR) | 0 | 0.2 | 0.4 | 0.6 | 0.8 | 1.0 | |
| Run | A: Solid-to-Liquid Ratio | B: pH | C: Enzymes | D: CuSO4 (g/100 g SPR) | Ethanol Concentration (g/L) | Ethanol Yield (%) |
|---|---|---|---|---|---|---|
| 1 | 2 (1:6) | 3 (5.0) | 3 (C + H + P) | 1 (0.0) | 30.7 ± 0.55 | 18.48 ± 0.33 |
| 2 | 3 (1:5) | 1 (3.0) | 3 (C + H + P) | 2 (0.2) | 18.70 ± 0.16 | 9.35 ± 0.09 |
| 3 | 2 (1:6) | 2 (4.0) | 1 (H + P) | 2 (0.2) | 32.6 ± 0.41 | 19.66 ± 0.25 |
| 4 | 3 (1:5) | 2 (4.0) | 2 (C + P) | 1 (0.0) | 30.5 ± 1.59 | 15.23 ± 0.80 |
| 5 | 1 (1:7) | 2 (4.0) | 3 (C + H + P) | 3 (0.4) | 8.3 ± 0.45 | 5.79 ± 0.31 |
| 6 | 1 (1:7) | 1 (3.0) | 1 (H + P) | 1 (0.0) | 21.2 ± 2.27 | 14.9 ± 1.59 |
| 7 | 1 (1:7) | 3 (5.0) | 2 (C + P) | 2 (0.2) | 26.4 ± 1.11 | 18.5 ± 0.77 |
| 8 | 3 (1:5) | 3 (5.0) | 1 (H + P) | 3 (0.4) | 6.1 ± 0.67 | 3.04 ± 0.33 |
| 9 | 2 (1:6) | 1 (3.0) | 2 (C + P) | 3 (0.4) | 9.9 ± 0.88 | 6.0 ± 0.53 |
| K1 | 55.86 | 49.80 | 59.89 | 82.32 | ||
| K2 | 73.17 | 71.34 | 66.72 | 77.70 | ||
| K3 | 55.21 | 63.11 | 57.63 | 24.22 | ||
| k1 | 18.62 | 16.60 | 19.96 | 27.44 | ||
| k2 | 24.39 | 23.78 | 22.24 | 25.90 | ||
| k3 | 18.40 | 21.04 | 19.21 | 8.07 | ||
| R | 5.99 | 7.18 | 3.03 | 19.37 | ||
| Order | D > B > A > C | |||||
| Source | Sum of Squares | Degree of Freedom | Mean Square | F-Value | p-Value |
|---|---|---|---|---|---|
| Model | 1716.67 | 8 | 214.58 | 178.01 | < 0.0001 |
| A | 138.36 | 2 | 69.18 | 57.39 | < 0.0001 |
| B | 157.59 | 2 | 78.80 | 65.37 | < 0.0001 |
| C | 29.86 | 2 | 14.93 | 12.39 | 0.0026 |
| D | 1390.86 | 2 | 695.43 | 576.90 | < 0.0001 |
| Error | 10.85 | 9 | 1.21 | ||
| Total | 1727.52 | 17 | |||
| R2Adj | 0.9881 | ||||
| R2 | 0.9937 |
| Materials and Strain | SPR, 1974-GA-temA |
|---|---|
| Solid-to-liquid ratio | 1:6 |
| pH | 4.0 |
| Enzyme addition | C + P |
| Substrate concentration | 166.67 g/L |
| Theoretical maximum amount of glucose a | 86.57 g/L |
| Ethanol concentration | 34.83 |
| Ethanol yield from SPR b | 20.90% |
| Ethanol productivity (g/L h) | 0.18 |
| Estimated ethanol yield from glucose c | 0.40 g/g |
| Estimated ethanol yield from glucose (% of theoretical yield) d | 78.89 |
| Conventional Corn Starch Ethanol Production | SPR Ethanol Production with CBP Process | |
|---|---|---|
| Raw material cost a | 7500 | 3000 |
| Exogenous enzyme addition cost b | 100 | 100 |
| Water and electricity consumption c | 232 | 174 |
| Strain cost | 10 | 10 |
| DDGS priced | 2500 | 2000 |
| Ethanol price e | 7500 | 6000 |
| Production profit f | 2158 | 4716 |
Disclaimer/Publisher’s Note: The statements, opinions and data contained in all publications are solely those of the individual author(s) and contributor(s) and not of MDPI and/or the editor(s). MDPI and/or the editor(s) disclaim responsibility for any injury to people or property resulting from any ideas, methods, instructions or products referred to in the content. |
© 2024 by the authors. Licensee MDPI, Basel, Switzerland. This article is an open access article distributed under the terms and conditions of the Creative Commons Attribution (CC BY) license (https://creativecommons.org/licenses/by/4.0/).
Share and Cite
Wang, X.; Gou, C.; Zheng, H.; Guo, N.; Li, Y.; Liao, A.; Liu, N.; Tian, H.; Huang, J. Optimization of Consolidated Bioprocessing Fermentation of Uncooked Sweet Potato Residue for Bioethanol Production by Using a Recombinant Amylolytic Saccharomyces cerevisiae Strain via the Orthogonal Experimental Design Method. Fermentation 2024, 10, 471. https://doi.org/10.3390/fermentation10090471
Wang X, Gou C, Zheng H, Guo N, Li Y, Liao A, Liu N, Tian H, Huang J. Optimization of Consolidated Bioprocessing Fermentation of Uncooked Sweet Potato Residue for Bioethanol Production by Using a Recombinant Amylolytic Saccharomyces cerevisiae Strain via the Orthogonal Experimental Design Method. Fermentation. 2024; 10(9):471. https://doi.org/10.3390/fermentation10090471
Chicago/Turabian StyleWang, Xin, Chenchen Gou, Haobo Zheng, Na Guo, Yanling Li, Aimei Liao, Na Liu, Hailong Tian, and Jihong Huang. 2024. "Optimization of Consolidated Bioprocessing Fermentation of Uncooked Sweet Potato Residue for Bioethanol Production by Using a Recombinant Amylolytic Saccharomyces cerevisiae Strain via the Orthogonal Experimental Design Method" Fermentation 10, no. 9: 471. https://doi.org/10.3390/fermentation10090471
APA StyleWang, X., Gou, C., Zheng, H., Guo, N., Li, Y., Liao, A., Liu, N., Tian, H., & Huang, J. (2024). Optimization of Consolidated Bioprocessing Fermentation of Uncooked Sweet Potato Residue for Bioethanol Production by Using a Recombinant Amylolytic Saccharomyces cerevisiae Strain via the Orthogonal Experimental Design Method. Fermentation, 10(9), 471. https://doi.org/10.3390/fermentation10090471

