Microbial Biotechnologies to Produce Biodiesel and Biolubricants from Dairy Effluents
Abstract
1. Introduction
2. Materials and Methods
2.1. Microorganisms and Culture Conditions
2.2. Dairy Effluent and Its Chemical–Physical Characterization
2.3. Fermentations
2.4. Lipid Extraction and Fermentation Yields
2.5. Lipids Analysis and Characterization
2.6. Statistical Analyses
3. Results
3.1. Yeast Cell Growth and Substrate Consumption
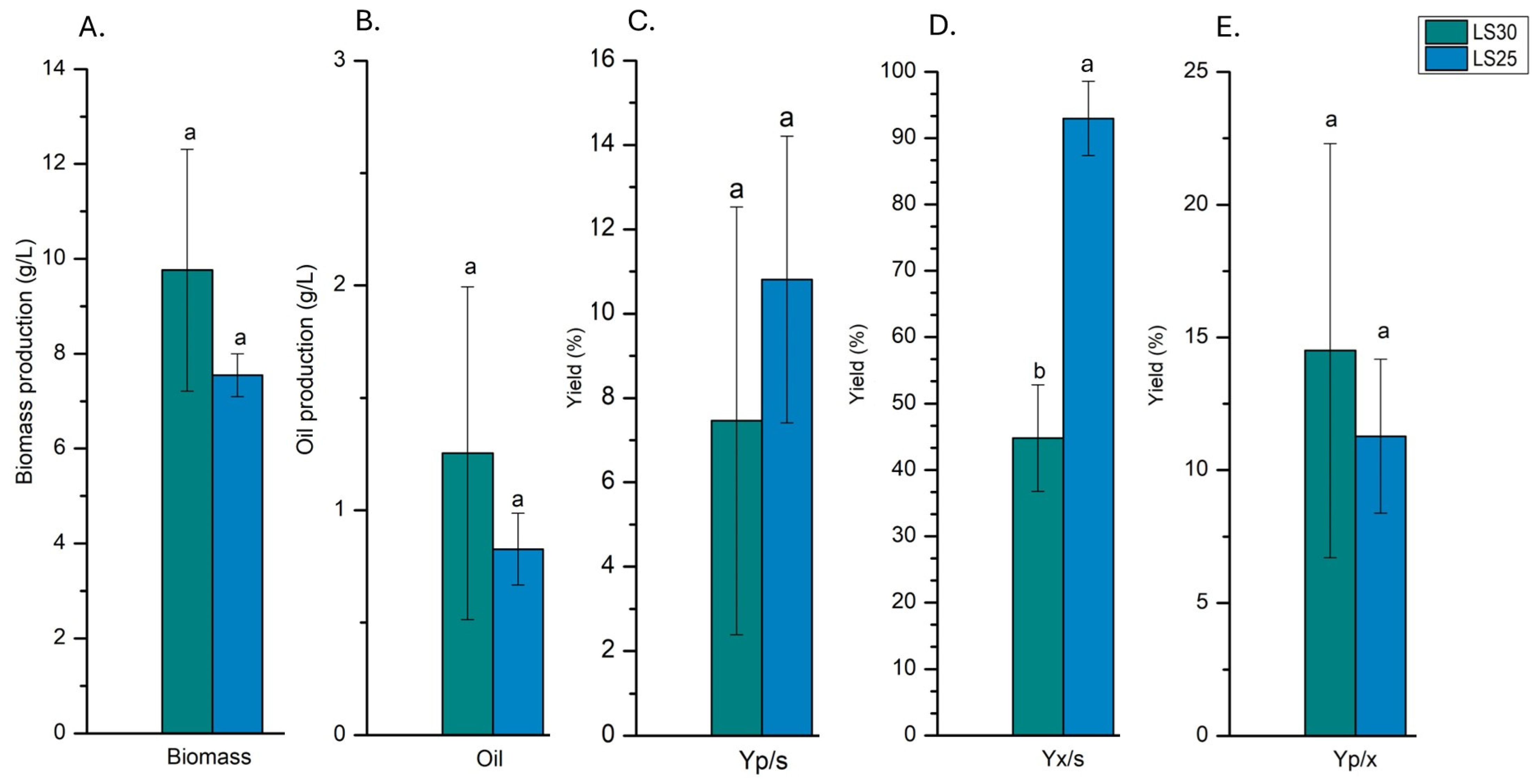
3.2. Fermentation Yields
3.3. Fatty Acid Profiles
3.4. SCO Technical Properties
4. Discussion
5. Conclusions
Supplementary Materials
Author Contributions
Funding
Institutional Review Board Statement
Informed Consent Statement
Data Availability Statement
Acknowledgments
Conflicts of Interest
References
- Brandenburg, J. Lipid Production from Lignocellulosic Material by Oleaginous Yeasts. Ph.D. Thesis, Department of Molecular Sciences, Swedish University of Agricultural Sciences, Uppsala, Sweden, 2021. [Google Scholar]
- Bandhu, S.; Srivastava, A.; Ghosh, D.; Chaudhuri, T.K. Yeast Single Cell Oils from Bioresources: Current Developments in Production and Applications. Curr. Sustain. Energy Rep. 2020, 7, 109–120. [Google Scholar] [CrossRef]
- Statista Search Department, 2024 March 14th, Supply of Biodiesel Worldwide in 2021 with a Forecast from 2025 to 2045 [Infographic]. Statista. Available online: https://www.statista.com/statistics/1364388/global-biodiesel-supply/ (accessed on 16 April 2024).
- Statista Search Department, 2022 February 13th, Leading Biodiesel Producers Worldwide in 2022, by Country [Infographic]. Statista. Available online: https://www.statista.com/statistics/271472/biodiesel-production-in-selected-countries/ (accessed on 16 April 2024).
- Emmanouilidou, M.G.; Koukourikou-Petridou, M.; Gerasopoulos, D.; Kyriacou, M.C. Evolution of Physicochemical Constitution and Cultivar-Differential Maturity Configuration in Olive (Olea europaea L.) Fruit. Sci. Hortic. 2020, 272, 109516. [Google Scholar] [CrossRef]
- Yilmaz, N.; Vigil, F.M. Potential Use of a Blend of Diesel, Biodiesel, Alcohols and Vegetable Oil in Compression Ignition Engines. Fuel 2014, 124, 168–172. [Google Scholar] [CrossRef]
- Raj, T.; Singh, V. Natural Deep Eutectic Solvents (NADES) Assisted Deconstruction of Oilcane Bagasse for High Lipid and Sugar Recovery. Ind. Crops Prod. 2024, 210, 118127. [Google Scholar] [CrossRef]
- Steen, E.J.; Kang, Y.; Bokinsky, G.; Hu, Z.; Schirmer, A.; McClure, A.; Del Cardayre, S.B.; Keasling, J.D. Microbial Production of Fatty-Acid-Derived Fuels and Chemicals from Plant Biomass. Nature 2010, 463, 559–562. [Google Scholar] [CrossRef] [PubMed]
- Chatzifragkou, A.; Makri, A.; Belka, A.; Bellou, S.; Mavrou, M.; Mastoridou, M.; Mystrioti, P.; Onjaro, G.; Aggelis, G.; Papanikolaou, S. Biotechnological Conversions of Biodiesel Derived Waste Glycerol by Yeast and Fungal Species. Energy 2011, 36, 1097–1108. [Google Scholar] [CrossRef]
- Lee, S.K.; Chou, H.; Ham, T.S.; Lee, T.S.; Keasling, J.D. Metabolic Engineering of Microorganisms for Biofuels Production: From Bugs to Synthetic Biology to Fuels. Curr. Opin. Biotechnol. 2008, 19, 556–563. [Google Scholar] [CrossRef] [PubMed]
- Papanikolaou, S.; Aggelis, G. Lipids of Oleaginous Yeasts. Part I: Biochemistry of Single Cell Oil Production. Eur. J. Lipid Sci. Technol. 2011, 113, 1031–1051. [Google Scholar] [CrossRef]
- Passoth, V. Molecular Mechanisms in Yeast Carbon Metabolism; Springer: Berlin/Heidelberg, Germany, 2014; ISBN 9783642550133. [Google Scholar]
- Peralta-Yahya, P.P.; Keasling, J.D. Advanced Biofuel Production in Microbes. Biotechnol. J. 2010, 5, 147–162. [Google Scholar] [CrossRef]
- Ratledge, C. Microbial Oils: An Introductory Overview of Current Status and Future Prospects. OCL—Oilseeds Fats Crop. Lipids 2013, 20, D602. [Google Scholar] [CrossRef]
- Shi, S.; Valle-Rodríguez, J.O.; Siewers, V.; Nielsen, J. Prospects for Microbial Biodiesel Production. Biotechnol. J. 2011, 6, 277–285. [Google Scholar] [CrossRef] [PubMed]
- Reeves, C.J.; Menezes, P.L.; Jen, T.C.; Lovell, M.R. The Influence of Fatty Acids on Tribological and Thermal Properties of Natural Oils as Sustainable Biolubricants. Tribol. Int. 2015, 90, 123–134. [Google Scholar] [CrossRef]
- Erhan, S.Z.; Sharma, B.K.; Perez, J.M. Oxidation and Low Temperature Stability of Vegetable Oil-Based Lubricants. Ind. Crops Prod. 2006, 24, 292–299. [Google Scholar] [CrossRef]
- Ratledge, C.; Cohen, Z. Microbial and Algal Oils: Do They Have a Future for Biodiesel or as Commodity Oils? Lipid Technol. 2008, 20, 155–160. [Google Scholar] [CrossRef]
- Papanikolaou, S.; Aggelis, G. Lipids of Oleaginous Yeasts. Part II: Technology and Potential Applications. Eur. J. Lipid Sci. Technol. 2011, 113, 1052–1073. [Google Scholar] [CrossRef]
- Ratledge, C. Single Cell Oil; Moreton, R.S., Ed.; Longman Scientific & Technical: Harlow, UK, 1988; pp. 33–70. [Google Scholar]
- Vicente, G.; Bautista, L.F.; Gutiérrez, F.J.; Rodríguez, R.; Martínez, V.; Rodríguez-Frómeta, R.A.; Ruiz-Vázquez, R.M.; Torres-Martínez, S.; Garre, V. Direct Transformation of Fungal Biomass from Submerged Cultures into Biodiesel. Energy Fuels 2010, 24, 3173–3178. [Google Scholar] [CrossRef]
- Eisenberg, T.; Büttner, S. Lipids and Cell Death in Yeast. FEMS Yeast Res. 2014, 14, 179–197. [Google Scholar] [CrossRef]
- Caporusso, A.; Capece, A.; De Bari, I. Oleaginous Yeasts as Cell Factories for the Sustainable Production of Microbial Lipids by the Valorization of Agri-Food Wastes. Fermentation 2021, 7, 50. [Google Scholar] [CrossRef]
- Poontawee, R.; Lorliam, W.; Polburee, P.; Limtong, S. Oleaginous Yeasts: Biodiversity and Cultivation. Fungal Biol. Rev. 2023, 44, 100295. [Google Scholar] [CrossRef]
- Bardi, L. Production of Bio-Oils from Microbial Biomasses. In Mycoremediation and Environmental Sustainability, Fungal Biology; Prasad, R., Ed.; Springer: Berlin/Heidelberg, Germany, 2018; pp. 61–89. ISBN 9783319773865. [Google Scholar] [CrossRef]
- Rahman, S.M.E.; Park, J.; Song, K.B.; Al-Harbi, N.A.; Oh, D.H. Effects of Slightly Acidic Low Concentration Electrolyzed Water on Microbiological, Physicochemical, and Sensory Quality of Fresh Chicken Breast Meat. J. Food Sci. 2012, 77, M35–M41. [Google Scholar] [CrossRef]
- Subramaniam, R.; Dufreche, S.; Zappi, M.; Bajpai, R. Microbial Lipids from Renewable Resources: Production and Characterization. J. Ind. Microbiol. Biotechnol. 2010, 37, 1271–1287. [Google Scholar] [CrossRef] [PubMed]
- Sutanto, S.; Zullaikah, S.; Tran-Nguyen, P.L.; Ismadji, S.; Ju, Y.H. Lipomyces starkeyi: Its Current Status as a Potential Oil Producer. Fuel Process. Technol. 2018, 177, 39–55. [Google Scholar] [CrossRef]
- Ageitos, J.M.; Vallejo, J.A.; Veiga-Crespo, P.; Villa, T.G. Oily Yeasts as Oleaginous Cell Factories. Appl. Microbiol. Biotechnol. 2011, 90, 1219–1227. [Google Scholar] [CrossRef] [PubMed]
- Donzella, S.; Fumagalli, A.; Arioli, S.; Pellegrino, L.; D’Incecco, P.; Molinari, F.; Speranza, G.; Ubiali, D.; Robescu, M.S.; Compagno, C. Recycling Food Waste and Saving Water: Optimization of the Fermentation Processes from Cheese Whey Permeate to Yeast Oil. Fermentation 2022, 8, 341. [Google Scholar] [CrossRef]
- Knothe, G. Fuel Properties of Highly Polyunsaturated Fatty Acid Methyl Esters. Prediction of Fuel Properties of Algal Biodiesel. Energy Fuels 2012, 26, 5265–5273. [Google Scholar] [CrossRef]
- Beopoulos, A.; Cescut, J.; Haddouche, R.; Uribelarrea, J.L.; Molina-Jouve, C.; Nicaud, J.M. Yarrowia lipolytica as a Model for Bio-Oil Production. Prog. Lipid Res. 2009, 48, 375–387. [Google Scholar] [CrossRef]
- Bharathiraja, B.; Sridharan, S.; Sowmya, V.; Yuvaraj, D.; Praveenkumar, R. Microbial Oil—A Plausible Alternate Resource for Food and Fuel Application. Bioresour. Technol. 2017, 233, 423–432. [Google Scholar] [CrossRef] [PubMed]
- Huang, C.; Chen, X.; Xiong, L.; Ma, L.; Chen, Y. Single Cell Oil Production from Low-Cost Substrates: The Possibility and Potential of Its Industrialization. Biotechnol. Adv. 2013, 31, 129–139. [Google Scholar] [CrossRef] [PubMed]
- Qin, L.; Liu, L.; Zeng, A.P.; Wei, D. From Low-Cost Substrates to Single Cell Oils Synthesized by Oleaginous Yeasts. Bioresour. Technol. 2017, 245, 1507–1519. [Google Scholar] [CrossRef]
- Valdés, G.; Mendonça, R.T.; Aggelis, G. Lignocellulosic Biomass as a Substrate for Oleaginous Microorganisms: A Review. Appl. Sci. 2020, 10, 7698. [Google Scholar] [CrossRef]
- Pirozzi, D.; Ausiello, A.; Zuccaro, G.; Sannino, F.; Yousuf, A. Culture of Oleaginous Yeasts in Dairy Industry Wastewaters to Obtain Lipids Suitable for the Production of II-Generation Biodiesel. Int. J. Chem. Mol. Nucl. Metall. Eng. 2013, 7, 162–166. [Google Scholar]
- Buchanan, D.; Martindale, W.; Romeih, E.; Hebishy, E. Recent Advances in Whey Processing and Valorisation: Technological and Environmental Perspectives. Int. J. Dairy Technol. 2023, 76, 291–312. [Google Scholar] [CrossRef]
- Durham, R.J.; Hourigan, J.A. Waste Management and Co-Product Recovery in Dairy Processing; Woodhead Publishing Limited: Sawston, UK, 2007; Volume 1, ISBN 9781845692520. [Google Scholar]
- Ahmad, T.; Aadil, R.M.; Ahmed, H.; ur Rahman, U.; Soares, B.C.V.; Souza, S.L.Q.; Pimentel, T.C.; Scudino, H.; Guimarães, J.T.; Esmerino, E.A.; et al. Treatment and Utilization of Dairy Industrial Waste: A Review. Trends Food Sci. Technol. 2019, 88, 361–372. [Google Scholar] [CrossRef]
- Monti, L.; Donati, E.; Zambrini, A.V.; Contarini, G. Application of Membrane Technologies to Bovine Ricotta Cheese Exhausted Whey (Scotta). Int. Dairy J. 2018, 85, 121–128. [Google Scholar] [CrossRef]
- Monari, S.; Ferri, M.; Russo, C.; Prandi, B.; Tedeschi, T.; Bellucci, P.; Zambrini, A.V.; Donati, E.; Tassoni, A. Enzymatic Production of Bioactive Peptides from Scotta, an Exhausted by-Product of Ricotta Cheese Processing. PLoS ONE 2019, 14, e0226834. [Google Scholar] [CrossRef] [PubMed]
- Sansonetti, S.; Curcio, S.; Calabrò, V.; Iorio, G. Bio-Ethanol Production by Fermentation of Ricotta Cheese Whey as an Effective Alternative Non-Vegetable Source. Biomass Bioenergy 2009, 33, 1687–1692. [Google Scholar] [CrossRef]
- Takaku, H.; Matsuzawa, T.; Yaoi, K.; Yamazaki, H. Lipid Metabolism of the Oleaginous Yeast Lipomyces starkeyi. Appl. Microbiol. Biotechnol. 2020, 104, 6141–6148. [Google Scholar] [CrossRef] [PubMed]
- Eggers, L.F.; Schwudke, D. Encyclopedia of Lipidomics; Springer: Berlin/Heidelberg, Germany, 2016; pp. 2007–2009. [Google Scholar] [CrossRef]
- Belviso, S.; Bardi, L.; Bartolini, A.B.; Marzona, M. Lipid Nutrition of Saccharomyces cerevisiae in Winemaking. Can. J. Microbiol. 2004, 50, 669–674. [Google Scholar] [CrossRef] [PubMed]
- Chiu, H.H.; Kuo, C.H. Gas Chromatography-Mass Spectrometry-Based Analytical Strategies for Fatty Acid Analysis in Biological Samples. J. Food Drug Anal. 2020, 28, 60–73. [Google Scholar] [CrossRef]
- Ma, L.; Zhou, M.; Feng, Y. Determination of Fatty Acid Methyl Ester Ethoxylates by Gas Chromatography. Chin. J. Chromatogr. 2004, 22, 84–86. [Google Scholar]
- Oxytester CDR-Methodolgy. Available online: https://www.cdrfoodlab.it/cdrfoodlab/analisi/perossidi-oli-grassi (accessed on 16 April 2024).
- Cianchetta, S.; Ceotto, E.; Galletti, S. Microbial Oil Production from Alkali Pre-Treated Giant Reed (Arundo donax L.) by Selected Fungi. Energies 2023, 16, 5398. [Google Scholar] [CrossRef]
- ASTM D6751; Standard Specification for Biodiesel Fuel Blend Stock (B100) for Middle Distillate Fuels. ASTM International: West Conshohocken, PA, USA, 2023.
- EN 14214; European Standard EN 14214: 2012+A1. European Committee for Standardization: Brussels, Belgium, 2014; pp. 1–21.
- Madani, M.; Enshaeieh, M.; Abdoli, A. Single Cell Oil and Its Application for Biodiesel Production. Process Saf. Environ. Prot. 2017, 111, 747–756. [Google Scholar] [CrossRef]
- Dobrowolski, A.; Mituła, P.; Rymowicz, W.; Mirończuk, A.M. Efficient Conversion of Crude Glycerol from Various Industrial Wastes into Single Cell Oil by Yeast Yarrowia lipolytica. Bioresour. Technol. 2016, 207, 237–243. [Google Scholar] [CrossRef] [PubMed]
- Fakas, S. Lipid Biosynthesis in Yeasts A Comparison of the Lipid Biosynthetic Pathway between the Model. Eng. Life Sci. 2017, 17, 292–302. [Google Scholar] [CrossRef] [PubMed]
- Chang, Y.H.; Chang, K.S.; Lee, C.F.; Hsu, C.L.; Huang, C.W.; Jang, H. Der Microbial Lipid Production by Oleaginous Yeast Cryptococcus sp. in the Batch Cultures Using Corncob Hydrolysate as Carbon Source. Biomass Bioenergy 2015, 72, 95–103. [Google Scholar] [CrossRef]
- Angerbauer, C.; Siebenhofer, M.; Mittelbach, M.; Guebitz, G.M. Conversion of Sewage Sludge into Lipids by Lipomyces starkeyi for Biodiesel Production. Bioresour. Technol. 2008, 99, 3051–3056. [Google Scholar] [CrossRef] [PubMed]
- Rodrigues, G.; Pais, C. The Influence of Acetic and Other Weak Carboxylic Acids on Growth and Cellular Death of the Yeast Yarrowia lipolytica. Food Technol. Biotechnol. 2000, 38, 27–32. [Google Scholar]
- Zoppellari, F.; Bardi, L. Production of Bioethanol from Effluents of the Dairy Industry by Kluyveromyces marxianus. N. Biotechnol. 2013, 30, 607–613. [Google Scholar] [CrossRef] [PubMed]
- Lin, J.; Shen, H.; Tan, H.; Zhao, X.; Wu, S.; Hu, C.; Zhao, Z.K. Lipid Production by Lipomyces starkeyi Cells in Glucose Solution without Auxiliary Nutrients. J. Biotechnol. 2011, 152, 184–188. [Google Scholar] [CrossRef]
- Donot, F.; Fontana, A.; Baccou, J.C.; Strub, C.; Schorr-Galindo, S. Single Cell Oils (SCOs) from Oleaginous Yeasts and Moulds: Production and Genetics. Biomass Bioenergy 2014, 68, 135–150. [Google Scholar] [CrossRef]
- Calvey, C.H.; Su, Y.K.; Willis, L.B.; McGee, M.; Jeffries, T.W. Nitrogen Limitation, Oxygen Limitation, and Lipid Accumulation in Lipomyces starkeyi. Bioresour. Technol. 2016, 200, 780–788. [Google Scholar] [CrossRef] [PubMed]
- Anschau, A.; Xavier, M.C.A.; Hernalsteens, S.; Franco, T.T. Effect of Feeding Strategies on Lipid Production by Lipomyces starkeyi. Bioresour. Technol. 2014, 157, 214–222. [Google Scholar] [CrossRef] [PubMed]
- Kaleem, A.; Aziz, S.; Iqtedar, M.; Abdullah, R.; Aftab, M.; Rashid, F.; Shakoori, F.R.; Naz, S. Investigating Changes and Effect of Peroxide Values in Cooking Oils Subject to Light and Heat. Fuuast J. Biol 2015, 5, 191–196. [Google Scholar]
- Alajtal, A.I.; Sherami, F.E.; Elbagermi, M.A. Acid, Peroxide, Ester and Saponification Values for Some Vegetable Oils before and after Frying. Am. Assoc. Sci. Technol. 2018, 4, 43–47. [Google Scholar]
- Awuchi, G.C.; Amagwula, I.O.; Igwe, S.V.; Allan, I.G. Effects of Repeated Deep Frying on Refractive Index and Peroxide Value of Selected Vegetable Oils. Int. J. Adv. Acad. Res. 2018, 4, 105–119. [Google Scholar]
- Longobardi, F.; Contillo, F.; Catucci, L.; Tommasi, L.; Caponio, F.; Paradiso, V.M. Analysis of Peroxide Value in Olive Oils with an Easy and Green Method. Food Control 2021, 130, 108295. [Google Scholar] [CrossRef]
- Probst, K.V.; Schulte, L.R.; Durrett, T.P.; Rezac, M.E.; Vadlani, P.V. Oleaginous Yeast: A Value-Added Platform for Renewable Oils. Crit. Rev. Biotechnol. 2016, 36, 942–955. [Google Scholar] [CrossRef] [PubMed]
- Bonturi, N.; Matsakas, L.; Nilsson, R.; Christakopoulos, P.; Miranda, E.A.; Berglund, K.A.; Rova, U. Single Cell Oil Producing Yeasts Lipomyces starkeyi and Rhodosporidium toruloides: Selection of Extraction Strategies and Biodiesel Property Prediction. Energies 2015, 8, 5040–5052. [Google Scholar] [CrossRef]
- Huang, L.; Zhang, B.; Gao, B.; Sun, G. Application of Fishmeal Wastewater as a Potential Low-Cost Medium for Lipid Production by Lipomyces starkeyi HL. Environ. Technol. 2011, 32, 1975–1981. [Google Scholar] [CrossRef]
- Refaat, A.A.; Refaat, A.A. Archive of SID Different Techniques for the Production of Biodiesel from Waste Vegetable Oil. Int. J. Environ. Sci. Technol. 2010, 7, 183–213. [Google Scholar] [CrossRef]
- Zambiazi, R.C.; Przybylski, R.; Weber Zambiazi, M.; Barbosa Mendonça, C. Fatty Acid Composition of Vegetable Oils and Fats. Bol. Cent. Pesqui. Process. Aliment. 2007, 25, 111–120. [Google Scholar]
- Kostik, V.; Memeti, S.; Bauer, B. Fatty Acid Composition of Edible Oils and Fats. J. Hyg. Eng. Des. 2013, 4, 112–116. [Google Scholar]
- Giakoumis, E.G. Analysis of 22 Vegetable Oils’ Physico-Chemical Properties and Fatty Acid Composition on a Statistical Basis, and Correlation with the Degree of Unsaturation. Renew. Energy 2018, 126, 403–419. [Google Scholar] [CrossRef]
- Issariyakul, T.; Dalai, A.K. Biodiesel from Vegetable Oils. Renew. Sustain. Energy Rev. 2014, 31, 446–471. [Google Scholar] [CrossRef]
- Folayan, A.J.; Anawe, P.A.L.; Aladejare, A.E.; Ayeni, A.O. Experimental Investigation of the Effect of Fatty Acids Configuration, Chain Length, Branching and Degree of Unsaturation on Biodiesel Fuel Properties Obtained from Lauric Oils, High-Oleic and High-Linoleic Vegetable Oil Biomass. Energy Rep. 2019, 5, 793–806. [Google Scholar] [CrossRef]
- Igbum, O.G.; Leke, L.; Okoronkwo, M.U.; Eboka, A.; Nwadinigwe, C.A. Evaluation of Fuel Properties from Free Fatty Acid Compositions of Methyl Esters Obtained from Four Tropical Virgin Oils. Int. J. Appl. Chem. 2013, 9, 37–49. [Google Scholar]
- Mannazzu, I.; Angelozzi, D.; Belviso, S.; Budroni, M.; Farris, G.A.; Goffrini, P.; Lodi, T.; Marzona, M.; Bardi, L. Behaviour of Saccharomyces cerevisiae Wine Strains during Adaptation to Unfavourable Conditions of Fermentation on Synthetic Medium: Cell Lipid Composition, Membrane Integrity, Viability and Fermentative Activity. Int. J. Food Microbiol. 2008, 121, 84–91. [Google Scholar] [CrossRef]
- Bardi, L.; Cocito, C.; Marzona, M. Saccharomyces cerevisiae Cell Fatty Acid Composition and Release during Fermentation without Aeration and in Absence of Exogenous Lipids. Int. J. Food Microbiol. 1999, 47, 133–140. [Google Scholar] [CrossRef]
- Al-Fatlawi, A.M.L.; Abbas, N.M. Investigating Peroxides and Acid Value in Used Edible Vegetable Oils. Iraqi J. Agric. Sci. 2010, 41, 123–132. [Google Scholar]
- Karakaya, S.; Şimşek, Ş. Changes in Total Polar Compounds, Peroxide Value, Total Phenols and Antioxidant Activity of Various Oils Used in Deep Fat Frying. JAOCS J. Am. Oil Chem. Soc. 2011, 88, 1361–1366. [Google Scholar] [CrossRef]
- Park, J.M.; Kim, J.M. Monitoring of Used Frying Oils and Frying Times for Frying Chicken Nuggets Using Peroxide Value and Acid Value. Korean J. Food Sci. Anim. Resour. 2016, 36, 612–616. [Google Scholar] [CrossRef]
- Mehta, B.M.; Darji, V.B.; Aparnathi, K.D. Comparison of Five Analytical Methods for the Determination of Peroxide Value in Oxidized Ghee. Food Chem. 2015, 185, 449–453. [Google Scholar] [CrossRef]
- Fındık, O.; Andiç, S. Some Chemical and Microbiological Properties of the Butter and the Butter Oil Produced from the Same Raw Material. LWT 2017, 86, 233–239. [Google Scholar] [CrossRef]
- Gonzalez, S.; Duncan, S.E.; O’Keefe, S.F.; Sumner, S.S.; Herbein, J.H. Oxidation and Textural Characteristics of Butter and Ice Cream with Modified Fatty Acid Profiles. J. Dairy Sci. 2003, 86, 70–77. [Google Scholar] [CrossRef]
- Sanz-Tejedor, M.A.; Arroyo, Y.; San José, J. Influence of Degree of Unsaturation on Combustion Efficiency and Flue Gas Emissions of Burning Five Refined Vegetable Oils in an Emulsion Burner. Energy Fuels 2016, 30, 7357–7386. [Google Scholar] [CrossRef]
- Jiménez-Sanchidrián, C.; Ruiz, J.R. Use of Raman Spectroscopy for Analyzing Edible Vegetable Oils. Appl. Spectrosc. Rev. 2016, 51, 417–430. [Google Scholar] [CrossRef]
- Carvalho, A.K.F.; Rivaldi, J.D.; Barbosa, J.C.; de Castro, H.F. Biosynthesis, Characterization and Enzymatic Transesterification of Single Cell Oil of Mucor circinelloides—A Sustainable Pathway for Biofuel Production. Bioresour. Technol. 2015, 181, 47–53. [Google Scholar] [CrossRef]
- Jiru, T.M.; Steyn, L.; Pohl, C.; Abate, D. Production of Single Cell Oil from Cane Molasses by Rhodotorula kratochvilovae (Syn, Rhodosporidium Kratochvilovae) SY89 as a Biodiesel Feedstock. Chem. Cent. J. 2018, 12, 91. [Google Scholar] [CrossRef]
- Pereira, A.S.; Lopes, M.; Miranda, S.M.; Belo, I. Bio-Oil Production for Biodiesel Industry by Yarrowia lipolytica from Volatile Fatty Acids in Two-Stage Batch Culture. Appl. Microbiol. Biotechnol. 2022, 106, 2869–2881. [Google Scholar] [CrossRef]
- Sierra-Cantor, J.F.; Guerrero-Fajardo, C.A. Methods for Improving the Cold Flow Properties of Biodiesel with High Saturated Fatty Acids Content: A Review. Renew. Sustain. Energy Rev. 2017, 72, 774–790. [Google Scholar] [CrossRef]
- Appiah, G.; Tulashie, S.K.; Akpari, E.E.A.; Rene, E.R.; Dodoo, D. Biolubricant Production via Esterification and Transesterification Processes: Current Updates and Perspectives. Int. J. Energy Res. 2022, 46, 3860–3890. [Google Scholar] [CrossRef]
- Rodrigues, J.D.A.; Cardoso, F.D.P.; Lachter, E.R.; Estevão, L.R.M.; Lima, E.; Nascimento, R.S.V. Correlating Chemical Structure and Physical Properties of Vegetable Oil Esters. J. Am. Oil Chem. Soc. 2006, 83, 353–357. [Google Scholar] [CrossRef]
- Mohan, S.V.; Rohit, M.V.; Subhash, G.V.; Chandra, R.; Devi, M.P.; Butti, S.K.; Rajesh, K. Algal Oils as Biodiesel, 2nd ed.; Elsevier: Amsterdam, The Netherlands, 2018; ISBN 9780444641922. [Google Scholar]
- Ramos, M.J.; Fernández, C.M.; Casas, A.; Rodríguez, L.; Pérez, Á. Influence of Fatty Acid Composition of Raw Materials on Biodiesel Properties. Bioresour. Technol. 2009, 100, 261–268. [Google Scholar] [CrossRef]
- Singh, D.; Sharma, D.; Soni, S.L.; Sharma, S.; Kumari, D. Chemical Compositions, Properties, and Standards for Different Generation Biodiesels: A Review. Fuel 2019, 253, 60–71. [Google Scholar] [CrossRef]

| Treatments | |||
|---|---|---|---|
| LS30 | LS25 | ||
| Total residual sugars (g L−1) | 17.73 ± 9.39 | 40.58 ± 1.63 | * |
| Consumed sugars (%) | 55.39 ± 24.05 | 16.86 ± 3.26 | * |
| pH | 6.8 ± 0.98 | 6.2 ± 0.01 | ns |
| Treatments | ||||
|---|---|---|---|---|
| Fatty Acid | LS30 (%) | LS25 (%) | ||
| Caprylic acid | (C8:0) | 0.4750 ± 0.15 | 0.0133 ± 0.02 | * |
| Pelargonic acid | (C9:0) | 0.0316 ± 0.01 | 0.0266 ± 0.02 | ns |
| Capric acid | (C10:0) | 1.2816 ± 0.61 | 0.0616 ± 0.03 | * |
| Undecanoic acid | (C11:0) | 0.0983 ± 0.03 | 0.0216 ± 0.01 | * |
| Lauric acid | (C12:0) | 1.7450 ± 0.99 | 0.0483 ± 0.04 | * |
| Tridecanoic acid | (C13:0) | 0.6250 ± 0.85 | 0.3183 ± 0.33 | ns |
| Myristic acid | (C14:0) | 6.7566 ± 4.01 | 0.9816 ± 0.35 | * |
| Myristoleic acid | (C14:1) | 1.0766 ± 0.78 | 0.0616 ± 0.02 | ns |
| Pentadecanoic acid | (C15:0) | 0.820 ± 0.45 | 0.2283 ± 0.01 | ns |
| Palmitic acid | (C16:0) | 34.025 ± 1.31 | 36.1483 ± 1.42 | ns |
| Palmitoleic acid | (C16:1) | 2.7316 ± 0.16 | 3.9366 ± 0.26 | * |
| Heptadecanoic acid | (C17:0) | 0.3333 ± 0.11 | 0.1416 ± 0.03 | * |
| Heptadecenoic acid | (C17:1) | 0.2783 ± 0.01 | 0.2933 ± 0.03 | ns |
| Stearic acid | (C18:0) | 7.7616 ± 0.89 | 6.480 ± 0.90 | ns |
| Oleic acid | (C18:1) | 36.566 ± 8.11 | 44.5033 ± 1.43 | * |
| Linoleic acid | (C18:2) | 4.4316 ± 1.11 | 5.5383 ± 0.20 | ns |
| Arachidic acid | (C20:0) | 0.250 ± 0.10 | 0.290 ± 0.06 | ns |
| Linolenic acid | (C18:3) | 0.2283 ± 0.09 | 0.540 ± 0.04 | * |
| Eicosenoic acid | (C20:1) | 0.1866 ± 0.07 | 0.0916 ± 0.02 | ns |
| Behenic acid | (C22:0) | 0.1733 ± 0.15 | 0.2633 ± 0.09 | ns |
| Erucic acid | (C22:1) | 0.080 ± 0.04 | 0 | * |
| Lignoceric acid | (C24:0) | 0.0450 ± 0.067 | 0.0116 ± 0.02 | ns |
| Treatments | |||
|---|---|---|---|
| Fatty Acids (%) | LS30 | LS25 | |
| Total saturated FAs | 54.42 ± 8.35 | 45.03 ± 1.49 | ns |
| -Medium-chain saturated FAs | 11.01 ± 6.61 | 1.47 ± 0.61 | * |
| -Long-chain saturated FAs | 43.19 ± 2.27 | 43.28 ± 1.91 | ns |
| Total unsaturated FAs | 45.58 ± 8.35 | 54.96 ± 1.49 | * |
| -Medium-chain unsaturated FAs | 1.07 ± 0.78 | 0.06 ± 0.02 | ns |
| -Long-chain unsaturated FAs | 44.42 ± 9.18 | 54.90 ± 1.46 | * |
| Monounsaturated FAs | 40.92 ± 7.37 | 48.88 ± 1.57 | ns |
| Polyunsaturated FAs | 4.66 ± 1.02 | 6.08 ± 0.24 | ns |
| Saturated/unsaturated FA ratio | 1.25 ± 0.46 | 0.82 ± 0.05 | * |
| Treatments | Standards | ||||
|---|---|---|---|---|---|
| Parameters | LS30 | LS25 | ASTM D6751 | EN 14214 | |
| IV (gI2/100 g) | 43.75 ± 7.8 | 53.22 ± 1.2 | ns | <120 | |
| SV (mg KOH/g) | 200 ± 4.4 | 197 ± 0.3 | ns | 370 | |
| DU (%) | 50.24 ± 9.3 | 61.04 ± 1.4 | ns | ||
| LCSF (%) | 7.9 ± 0.1 | 7.56 ± 0.7 | ns | ||
| CFPP (°C) | 10.46 ± 0.4 | 9.37 ± 2.5 | ns | ||
| OS (h) | 28.81 ± 6.3 | 22.01 ± 0.8 | ns | >3 | >8 |
| HHV (MJ/kg) | 39.58 ± 0.1 | 39.75 ± 0 | ns | 44 | |
| D (g/cm3) | 0.87 ± 0 | 0.87 ± 0 | ns | 0.86–0.9 | |
| CN | 66.21 ± 0.3 | 65.98 ± 0.4 | ns | >47 | >51 |
| KV (mm2/s) | 4.25 ± 0.1 | 4.45 ± 0 | ns | 1.9–6.0 | 3.5–5.0 |
| C18:3 (%) | 0.23 ± 0.1 | 0.54 ± 0 | * | <12 | |
| Peroxide (meq O2/kg) | 0.15 ± 0.1 | 0 | ns | ||
Disclaimer/Publisher’s Note: The statements, opinions and data contained in all publications are solely those of the individual author(s) and contributor(s) and not of MDPI and/or the editor(s). MDPI and/or the editor(s) disclaim responsibility for any injury to people or property resulting from any ideas, methods, instructions or products referred to in the content. |
© 2024 by the authors. Licensee MDPI, Basel, Switzerland. This article is an open access article distributed under the terms and conditions of the Creative Commons Attribution (CC BY) license (https://creativecommons.org/licenses/by/4.0/).
Share and Cite
Bencresciuto, G.F.; Mandalà, C.; Migliori, C.A.; Giansante, L.; Di Giacinto, L.; Bardi, L. Microbial Biotechnologies to Produce Biodiesel and Biolubricants from Dairy Effluents. Fermentation 2024, 10, 278. https://doi.org/10.3390/fermentation10060278
Bencresciuto GF, Mandalà C, Migliori CA, Giansante L, Di Giacinto L, Bardi L. Microbial Biotechnologies to Produce Biodiesel and Biolubricants from Dairy Effluents. Fermentation. 2024; 10(6):278. https://doi.org/10.3390/fermentation10060278
Chicago/Turabian StyleBencresciuto, Grazia Federica, Claudio Mandalà, Carmela Anna Migliori, Lucia Giansante, Luciana Di Giacinto, and Laura Bardi. 2024. "Microbial Biotechnologies to Produce Biodiesel and Biolubricants from Dairy Effluents" Fermentation 10, no. 6: 278. https://doi.org/10.3390/fermentation10060278
APA StyleBencresciuto, G. F., Mandalà, C., Migliori, C. A., Giansante, L., Di Giacinto, L., & Bardi, L. (2024). Microbial Biotechnologies to Produce Biodiesel and Biolubricants from Dairy Effluents. Fermentation, 10(6), 278. https://doi.org/10.3390/fermentation10060278

