Effects of Bacterial Enzyme Cooperative Fermentation Diet on Growth Performance, Blood Biochemical Indices, and Fecal Microflora of Growing–Finishing Pigs
Abstract
1. Introduction
2. Materials and Methods
2.1. Preparation of Compound Bacteria and Fungi in Cooperative Fermentation Feed
2.2. Experimental Design and Feeding Management
2.3. Determination of Indices
ADG = [(final weight − starting weight)/quantity]/test days
F/G = ADFI/ADG
2.4. Statistical Analysis
3. Results
3.1. Protein Structure Characteristics of Bacterial Enzyme Cooperative Fermentation Feed
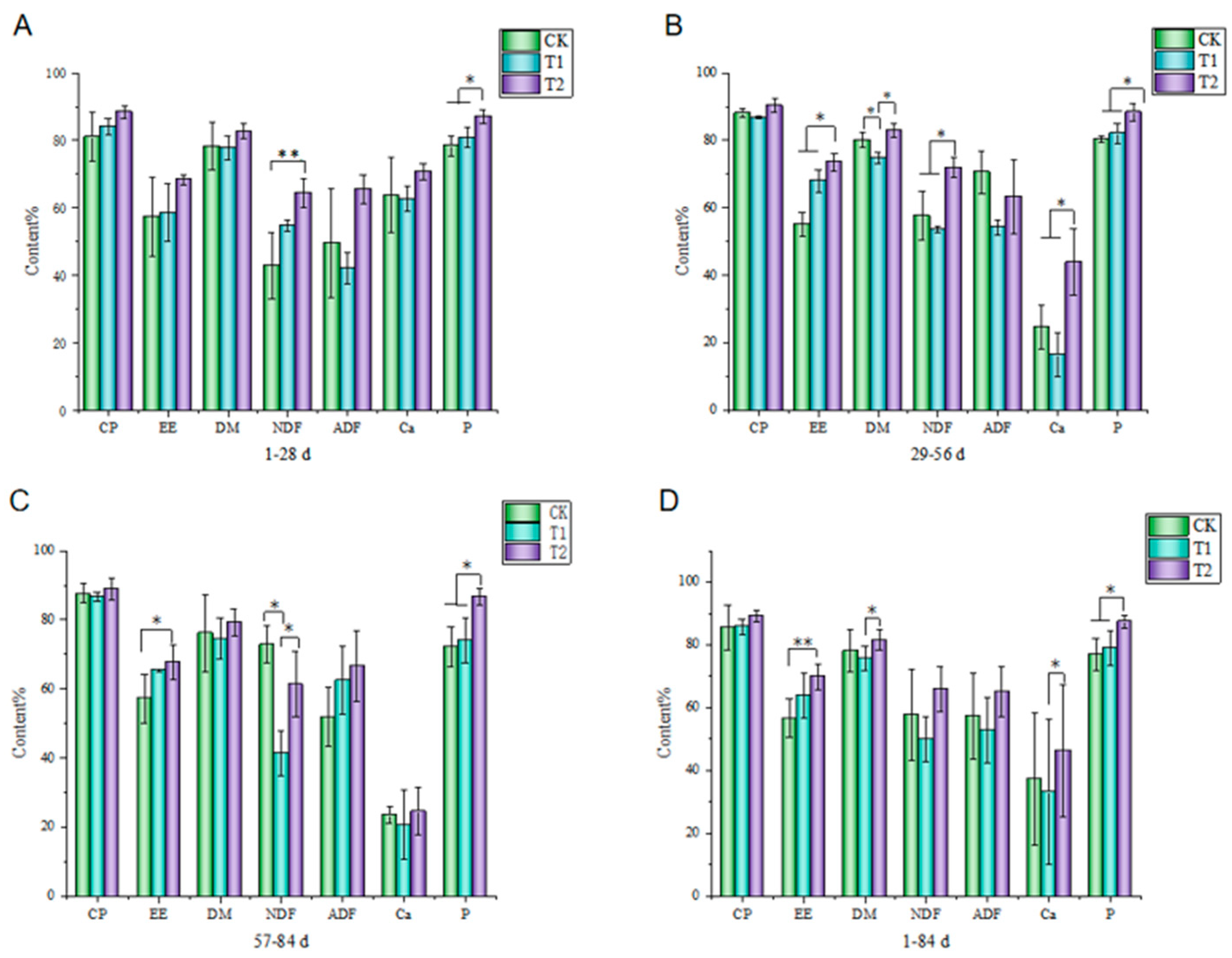
3.2. Effects of Bacterial Enzyme Cooperative Fermentation Feed on Growth Performance and Apparent Digestibility of Growing–Finishing Pigs
3.3. Effect of Bacterial Enzyme Cooperative Fermentation Feed on Serum Biochemical Indices of Growing–Finishing Pigs
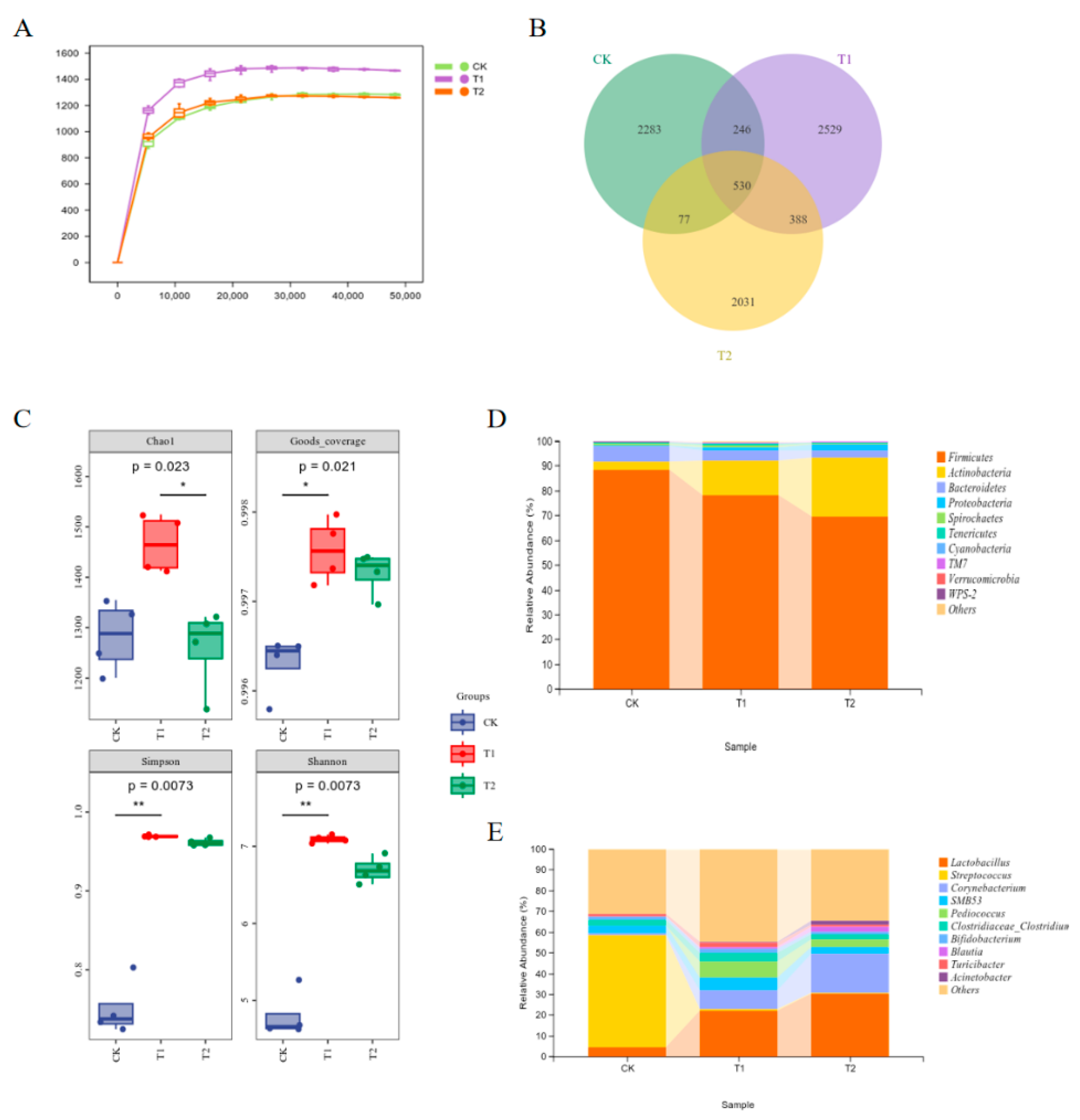
3.4. Effect of Bacterial Enzyme Cooperative Fermentation Feed on Fecal Microorganisms of Growing–Finishing Pigs
4. Discussion
4.1. Protein Structure Characteristics of Bacterial Enzyme Cooperative Fermentation Feed
4.2. Effect of Bacterial Enzyme Cooperative Fermentation Feed on Apparent Digestibility of Growing–Finishing Pigs
4.3. Effects of Bacterial Enzymes on Growth Performance and Serum Biochemistry of Growing–Finishing Pigs
4.4. Effects of Bacterial Enzyme Cooperative Fermentation Feed on Fecal Microorganisms of Growing–Finishing Pigs
5. Conclusions
Author Contributions
Funding
Institutional Review Board Statement
Informed Consent Statement
Data Availability Statement
Conflicts of Interest
References
- Liu, Z.; Zhong, X.; Xie, Y.; Xiao, Y.; Jiang, S.; Huang, S.; Huang, J.; Zhou, X. Effects of fermented corn-soybean meal full price feed on growth performance, fecal odor substances and microflora of growing pigs. J. Anim. Husb. Vet. Med. 2018, 49, 1169–1177. [Google Scholar]
- Anna, C.; Iwona, S.; Martyna, K. The Effects of a Fermented Rapeseed or/and Soybean Meal Additive on Antioxidant Parameters in the Blood and Tissues of Piglets. Animals 2021, 11, 1646. [Google Scholar] [CrossRef] [PubMed]
- Predescu, N.C.; Stefan, G.; Rosu, M.P.; Papuc, C. Fermented Feed in Broiler Diets Reduces the Antinutritional Factors, Improves Productive Performances and Modulates Gut Microbiome—A Review. Agriculture 2024, 14, 1752. [Google Scholar] [CrossRef]
- Felker, P.; Bunch, R.; Leung, A.M. Concentrations of thiocyanate and goitrin in human plasma, their precursor concentrations in brassica vegetables, and associated potential risk for hypothyroidism. Nutr. Rev. 2016, 74, 248–258. [Google Scholar] [CrossRef]
- Sharma, R.; Garg, P.; Kumar, P.; Bhatia, S.K.; Kulshrestha, S. Microbial Fermentation and Its Role in Quality Improvement of Fermented Foods. Fermentation 2020, 6, 106. [Google Scholar] [CrossRef]
- Fairbrother, J.M.; Nadeau, E.; Gyles, C.L. Escherichia coli in postweaningdiarrhea in pigs: An update on bacterial types, pathogenesis, and prevention strategies. Anim. Health Res. Rev. 2005, 6, 17–39. [Google Scholar] [CrossRef]
- Peterson, L.W.; Artis, D. Intestinal epithelial cells:regulators of barrier function and immune homeostasis. Nat. Rev. Immunol. 2014, 14, 141–153. [Google Scholar] [CrossRef]
- Zhao, J.; Benakanakere, M.R.; Hosur, K.B.; Galicia, J.C.; Martin, M.; Kinane, D.F. Mammalian target of rapamycin(mTOR)regulates TLR3 induced cytokines in human oral keratinocytes. Mol. Immunol. 2010, 48, 294–304. [Google Scholar] [CrossRef]
- Sakaguchi, T.; Köhler, H.; Gu, X.; McCormick, B.A.; Reinecker, H.C. Shigella flexneri regulates tight junction-associated proteins in human intestinal epithelial cells. Cell. Microbiol. 2010, 4, 367–381. [Google Scholar] [CrossRef]
- Lian, X.; Shi, M.; Liang, Y.; Lin, Q.; Zhang, L. The Effects of Unconventional Feed Fermentation on Intestinal Oxidative Stress in Animals. Antioxidants 2024, 13, 305. [Google Scholar] [CrossRef]
- Da Silva, L.C.A.; Honorato, T.L.; Cavalcante, R.S.; Franco, T.T.; Rodrigues, S. Effect of ph and temperature on enzyme activity of chitosanase produced under solid stated fermentation by Trichoderma spp. Indian J. Microbiol. 2012, 52, 60–65. [Google Scholar] [CrossRef] [PubMed]
- Xing, Z.; Hou, X.; Tang, Y.; He, R.; Mantah, B.K.; Dabbour, M.; Ma, H. Monitoring of polypeptide content in the solid-state fermentation process of rapeseed meal using NIRS and chemometrics. J. Food Process Eng. 2018, 41, e12853. [Google Scholar] [CrossRef]
- Ke, W.; Ding, W.; Xu, D.; Ding, L.; Zhang, P.; Li, F.; Guo, X. Effects of addition of malic or citric acids on fermentation quality and chemical characteristics of alfalfa silage. J. Dairy Sci. 2017, 100, 8958–8966. [Google Scholar] [CrossRef]
- Guo, J.; Xie, Y.; Yu, Z.; Meng, G.; Wu, Z. Effect of Lactobacillus plantarum expressing multifunctional glycoside hydrolases on the characteristics of alfalfa silage. Appl. Microbiol. Biotechnol. 2019, 103, 7983–7995. [Google Scholar] [CrossRef]
- Colombatto, D.; Hervás, G.; Yang, W.Z.; Beauchemin, K.A. Effects of enzyme supplementation of a total mixed ration on microbial fermentation in continuous culture, maintained at high and low pH. J. Anim. Sci. 2003, 81, 2617–2627. [Google Scholar] [CrossRef]
- Liu, X.; Feng, J.; Xu, Z.; Lu, Y.; Liu, Y. The effects of fermented soybean meal on growth performance and immune characteristics in weaned piglets. Turk. J. Vet. Anim. Sci. 2014, 31, 341–345. [Google Scholar]
- Woo, J.K.; Choi, S.; Kang, J.H.; Kim, D.E.; Hurh, B.S.; Jeon, J.E.; Kim, S.Y.; Oh, S.H. Fermented barley and soybean(BS)mixture enhances intestinal barrier function in dextran sulfate sodium(DSS)-induced colitis mouse model. BMC Complement. Altern. Med. 2016, 16, 498. [Google Scholar] [CrossRef]
- Ospina, D.; Ciro, J.; Román, Y.; Peláez, C.; López, A.; Parra, J. Changes in the enzymatic activity in duodenum and jejunum of pigs during several postweaning periods. Rev. Fac. Med. Vet. Zootec. 2011, 58, 156–165. [Google Scholar]
- GB/T 6435-2014; Determination of Moisture in Feedstuffs. Standards Press of China: Beijing, China, 2016.
- GB/T 6432-2018; Determination of Crude Protein in Feeds-Kjeldahl Method. Standards Press of China: Beijing, China, 2018.
- GB/T 6433-2006; Determination of Crude Fat in Feeds. Standards Press of China: Beijing, China, 2006.
- GB/T 6434-94; Feeding Stuffs-Determination of Crude Fiber Content-Method with Intermediate Filtration. Standards Press of China: Beijing, China, 2018.
- GB/T 20806-2022; Determination of Neutral Detergent Fiber (NDF) in Feeds. Standards Press of China: Beijing, China, 2018.
- NY/T 1459-202; Determination of Acid Detergent Fiber (ADF) in Feeds. Standards Press of China: Beijing, China, 2018.
- GB/T 6436-2018; Determination of Calcium in Feeds. Standards Press of China: Beijing, China, 2018.
- GB/T 6437-2018; Determination of Phosphorus in Feeds-Spectrophotometry. Standards Press of China: Beijing, China, 2018.
- Wealleans, A.L.; Walsh, M.C.; Romero, L.F.; Ravindran, V. Comparative effects of two multi-enzyme combinations and a Bacillus probiotic on growth performance, digestibility of energy and nutrients, disappearance of non-starch polysaccharides, and gut microflora in broiler chickens. Poult. Sci. 2017, 96, 4287–4297. [Google Scholar] [CrossRef]
- Yu, P. Protein sedondary structures (α-helix and β-sheet) at a cellular level and protein fractions in relation to rumen degardation behaviours of protein: A new approach. Br. J. Nutr. 2005, 94, 655–665. [Google Scholar] [CrossRef]
- Gu, X.; Zhang, D.; Zhang, S.; Lian, Z.; Cheng, A.; He, X.; Yang, L.; Dong, C. Establishment of quantitative model and determination of active components in Bupleuri by Fourier transform infrared spectroscopy. Chin. J. Tradit. Chin. Med. 2024, 5, 1–11. [Google Scholar]
- Dermauw, V.; Yisehak, K.; Dierenfeld, E.S.; Laing, G.; Buyse, J.; Wuyts, B.; Janssens, G.P.J. Effects of trace element supplementation on apparent nutrient digestibility and utilisation in grass-fed zebu (Bos indicus) cattle. Livest. Sci. 2013, 155, 255–261. [Google Scholar] [CrossRef]
- Wang, Y.; Wu, T.; Song, C.; Song, J.; Yu, G. Effects of Lactobacillus plantarum and Bacillus subtilis on Growth Performance, Nutrient apparent digestibility and Serum Biochemical Indices of finishing pigs. Chin. J. Anim. Sci. 2019, 57, 237–241. [Google Scholar]
- Liu, D.; Ding, Z.; Hu, L.; Zhang, L.; Wang, J. Effects of Fermented mulberry leaves Replacing Basic Diet on Growth Performance, Serum biochemical Indices, Nutrient apparent digestibility and Meat quality of finishing pigs. J. Feed Res. 2019, 46, 17–22. [Google Scholar]
- Yin, Y. Effects of Different Types of Diets Supplemented with Phytase on Phosphorus Metabolism and Intestinal Microorganisms of Growing Pigs. Master’s Thesis, Sichuan Agricultural University, Sichuan, China, 2022. [Google Scholar]
- Chang, J.; Yin, Q.Q.; Wang, P.P.; Wang, W.; Zuo, R. Effect of fermented protein feedstuffs on pig production performance, nutrient digestibility, and fecal microbes. Turk. J. Vet. Anim. Sci. 2012, 36, 143–151. [Google Scholar] [CrossRef]
- Wang, Y.; Liu, X.T.; Wang, H.L.; Li, D.F.; Piao, X.S.; Lu, W.Q. Optimization of processing conditions for solid-state fermented soybean meal and its effects on growth performance and nutrient digestibility of weanling pigs. Livest. Sci. 2014, 170, 91–99. [Google Scholar] [CrossRef]
- Guo, Z.; Fu, Z.; Wang, G.; Li, W.; Li, J.; Wang, W. A Bacterial Enzyme Co-Fermented Feed for Fattening Pigs and Its Preparation Method. Chinese Patent CN114651907A, 24 June 2022. [Google Scholar]
- Jin, J. Effects of xylanase on Growth performance, Serum biochemical indices and economic benefits of finishing pigs. J. Feed Res. 2019, 46, 29–33. [Google Scholar]
- Li, Z.; Li, Q.; Li, H.; Zhang, C. Effects of Coated Plant Essential Oil and acidifier Complex on Growth Performance, Serum Biochemical indices and Immune Function of finishing pigs. Mod. Agric. Sci. Technol. 2023, 837, 164–167+171. [Google Scholar]
- Hu, C.; Li, F.; Duan, Y.; Yin, Y.; Kong, X. Dietary supplementation with leucine or in combination with arginine decreases body fat weight and alters gut microbiota composition in finishing pigs. Front. Microbiol. 2019, 10, 1767. [Google Scholar] [CrossRef]
- Wu, Q.; Yin, Y.; Wang, M.; Pan, J.; Li, F. Effects of chlorogenic acid and leucine on Carcass Traits, Meat Quality and Serum biochemical indices of finishing pigs. Chin. J. Anim. Husb. Vet. Med. 2019, 51, 1060–1068. [Google Scholar]
- Missotten, J.A.; Michiels, J.; Degroote, J.; De Smet, S. Fermented liquid feed for pigs:an ancient technique for the future. J. Anim. Sci. Biotechnol. 2015, 6, 4. [Google Scholar] [CrossRef] [PubMed]
- Lan, J.T. Effects of Fermented Tail Vegetable Feed on Growth and Development and Intestinal Microflora of Conservation Pigs. Master’s Thesis, Northwest University for Nationalities, Lanzhou, China, 2021. [Google Scholar]
- Yuan, L.; Chang, J.; Yin, Q.; Lu, M.; Di, Y.; Wang, P.; Wang, Z.; Wang, E.; Lu, F. Fermented soybean meal improves the growth performance, nutrient digestibility, and microbial flora in piglets. Anim. Nutr. 2017, 3, 19–24. [Google Scholar] [CrossRef] [PubMed]
- Peng, Q.; Qi, Q.; Zhou, G.; Tang, M.; Cheng, D. Effects of Fermented mushroom Residue on Growth Performance, Colon volatile Fatty acid content and Microbial Structure of weaned piglets. Chin. J. Anim. Husb. Vet. Med. 2021, 48, 3985–3995. [Google Scholar]






| Items | Contents |
|---|---|
| (%) | |
| Cron | 66.15 |
| Soybean meal | 19 |
| Wheat bran | 8 |
| Premix 1 | 4 |
| Soybean oil | 1 |
| Limestone | 0.8 |
| Dicalcium phosphate | 0.3 |
| Lysine | 0.3 |
| NaCl | 0.25 |
| Methionine | 0.2 |
| Summation | 100 |
| Nutrient levels, % | |
| Digestive energy, MJ/Kg | 13.16 |
| Crude protein | 16.47 |
| Crude fat | 4.92 |
| Dry matter | 49.12 |
| Crude ash | 5.76 |
| Calcium | 0.46 |
| Phosphorus non-phytate | 0.15 |
| Neutral detergent fibre | 18.11 |
| Acid detergent fibre | 7.58 |
| Items | Basal Diet | Fermented Diet | Bacterial Enzyme Synergistic Diet | p-Value |
|---|---|---|---|---|
| Amide Ⅰ peak area | 1.42 ± 0.04 a | 1.62 ± 0.04 b | 2.06 ± 0.15 c | <0.01 |
| Amide I peak height | 1645.21 ± 0.63 | 1646.62 ± 2.12 | 1645.02 ± 1.42 | 0.421 |
| Amide II peak area | 0.39 ± 0.01 | 0.35 ± 0.02 | 0.46 ± 0.10 | 0.164 |
| Amide II peak height | 1542.2 ± 1.71 | 1538.12 ± 5.04 | 1544.86 ± 2.8 | 0.134 |
| β-sheet peak area | 0.16 ± 0.01 a | 0.25 ± 0.02 b | 0.31 ± 0.03 c | <0.01 |
| Random coil peak area | 0.19 ± 0.02 a | 0.22 ± 0.01 a | 0.32 ± 0.02 b | <0.01 |
| α-helix peak area | 0.23 ± 0.02 a | 0.27 ± 0.03 a | 0.32 ± 0.02 b | <0.01 |
| β-turn peak area | 0.19 ± 0.01 a | 0.25 ± 0.02 b | 0.22 ± 0.01 b | <0.01 |
Disclaimer/Publisher’s Note: The statements, opinions and data contained in all publications are solely those of the individual author(s) and contributor(s) and not of MDPI and/or the editor(s). MDPI and/or the editor(s) disclaim responsibility for any injury to people or property resulting from any ideas, methods, instructions or products referred to in the content. |
© 2024 by the authors. Licensee MDPI, Basel, Switzerland. This article is an open access article distributed under the terms and conditions of the Creative Commons Attribution (CC BY) license (https://creativecommons.org/licenses/by/4.0/).
Share and Cite
Geng, Y.; Wang, X.; Bao, X.; Li, M.; Gao, Y.; Qin, S.; Yang, H.; Pu, L.; Hong, L.; Zhang, J. Effects of Bacterial Enzyme Cooperative Fermentation Diet on Growth Performance, Blood Biochemical Indices, and Fecal Microflora of Growing–Finishing Pigs. Fermentation 2024, 10, 610. https://doi.org/10.3390/fermentation10120610
Geng Y, Wang X, Bao X, Li M, Gao Y, Qin S, Yang H, Pu L, Hong L, Zhang J. Effects of Bacterial Enzyme Cooperative Fermentation Diet on Growth Performance, Blood Biochemical Indices, and Fecal Microflora of Growing–Finishing Pigs. Fermentation. 2024; 10(12):610. https://doi.org/10.3390/fermentation10120610
Chicago/Turabian StyleGeng, Yanchao, Xin Wang, Xinyu Bao, Mengting Li, Yumeng Gao, Shunyi Qin, Hua Yang, Lei Pu, Liang Hong, and Jianbin Zhang. 2024. "Effects of Bacterial Enzyme Cooperative Fermentation Diet on Growth Performance, Blood Biochemical Indices, and Fecal Microflora of Growing–Finishing Pigs" Fermentation 10, no. 12: 610. https://doi.org/10.3390/fermentation10120610
APA StyleGeng, Y., Wang, X., Bao, X., Li, M., Gao, Y., Qin, S., Yang, H., Pu, L., Hong, L., & Zhang, J. (2024). Effects of Bacterial Enzyme Cooperative Fermentation Diet on Growth Performance, Blood Biochemical Indices, and Fecal Microflora of Growing–Finishing Pigs. Fermentation, 10(12), 610. https://doi.org/10.3390/fermentation10120610

