Sign in to use this feature.

Years

Between: -

Subjects

remove_circle_outline
remove_circle_outline
remove_circle_outline
remove_circle_outline
remove_circle_outline
remove_circle_outline
remove_circle_outline
remove_circle_outline
remove_circle_outline

Journals

remove_circle_outline
remove_circle_outline
remove_circle_outline
remove_circle_outline
remove_circle_outline

Article Types

Countries / Regions

remove_circle_outline
remove_circle_outline
remove_circle_outline

Search Results (700)

Search Parameters:
Keywords = apparent digestibility

Order results
Result details
Results per page
Select all
Export citation of selected articles as:
13 pages, 613 KB  
Article
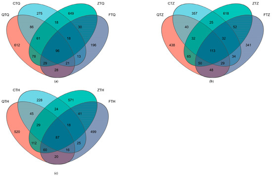
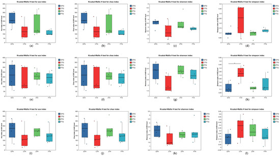
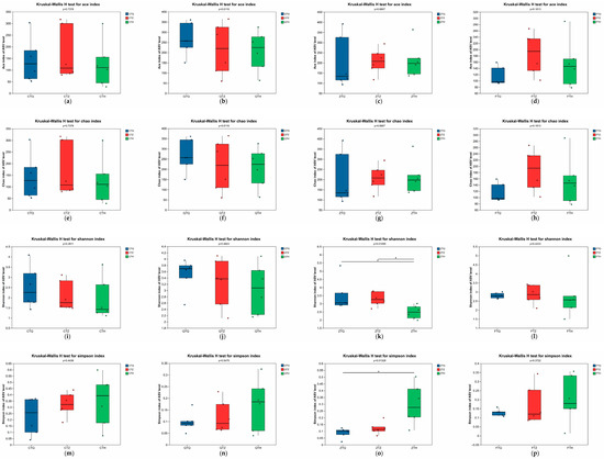
Effects of Enzyme–Microbe Co-Fermented Ganoderma lucidum Spent Substrate on Growth Performance, Apparent Nutrient Digestibility, Organ Indices, and Gut Microbiota in Yellow-Feathered Broilers
by Bo Fan, Mengyun Li, Zhifang Shi, Xuanyang Li, Tongshuai Liu, Pu Cheng and Lei Xi
Animals 2026, 16(6), 949; https://doi.org/10.3390/ani16060949 - 18 Mar 2026
Viewed by 43
Abstract
The effects of dietary supplementation of enzyme–microbe co-fermented Ganoderma lucidum spent substrate (EFGLS) on growth performance, apparent nutrient digestibility, organ indices, and cecal microbiota in yellow-feathered broilers are investigated. Healthy broilers (450 individuals of 22 days age) of similar body weight were randomly [...] Read more.
The effects of dietary supplementation of enzyme–microbe co-fermented Ganoderma lucidum spent substrate (EFGLS) on growth performance, apparent nutrient digestibility, organ indices, and cecal microbiota in yellow-feathered broilers are investigated. Healthy broilers (450 individuals of 22 days age) of similar body weight were randomly assigned to three dietary treatments (five replicates/treatment, 30 birds/replicate). A control group received a corn–soybean meal-based basal diet; treatments received diets containing 1.5% or 3.0% EFGLS. Over six weeks, treatment-group broilers exhibited significantly greater average daily gain and a lower feed-to-gain ratio compared with the control group (p < 0.001); differences in apparent nutrient digestibility in EFGLS-supplemented groups were not significant. A thymus index was significantly higher in the 1.5% than 3.0% EFGLS group (p < 0.05); Pielou’s evenness, Shannon, and Simpson indices of cecal microbiota were significantly higher in the 3.0% EFGLS group than control group (p < 0.05); and a dominance index was significantly higher in the control group than in treatment groups. Under study conditions, dietary supplementation with EFGLS improved growth performance in broilers, associated with favorable changes in apparent nutrient digestibility, immune organ development, and cecal microbial community structure. Accordingly, we recommend a dietary supplementation level of 1.5% EFGLS. Full article
(This article belongs to the Special Issue Feed Additives in Animal Nutrition)
Show Figures

Figure 1

16 pages, 244 KB  
Article
Dietary Protein Level in Late Gestation: Effects on Nutritional and Developmental Responses in Jennies and Their Foals
by Yongmei Guo, Jiarong Li, Yajun Shen, Sumei Yan, Binlin Shi, Yanli Zhao and Xiaoyu Guo
Animals 2026, 16(6), 929; https://doi.org/10.3390/ani16060929 - 16 Mar 2026
Viewed by 81
Abstract
This study evaluated the effects of dietary protein levels during late gestation on nutrient digestibility, plasma amino acid profiles in jennies, and donkey foal growth performance. Twenty-four pregnant jennies were randomly assigned to one of three diets with different crude protein (CP) contents [...] Read more.
This study evaluated the effects of dietary protein levels during late gestation on nutrient digestibility, plasma amino acid profiles in jennies, and donkey foal growth performance. Twenty-four pregnant jennies were randomly assigned to one of three diets with different crude protein (CP) contents during late gestation: 12.48% (HP), 11.52% (MP), and 10.54% (LP) on a dry matter basis. All animals received the same diet immediately after parturition for a duration of 30 days. During the trial, two digestion experiments were conducted, blood samples were collected at 28 and 7 days prepartum, and weekly weight measurements of jennies and foals were recorded. The results indicated that the dietary protein level did not significantly affect feed intake in late gestation. However, apparent nutrient digestibility of dry matter (DM), neutral detergent fiber (NDF), acid detergent fiber (ADF), crude protein (CP), and ether extract (EE), and calcium (Ca) and phosphorus (P) was generally higher in the MP and LP groups than in the HP group, with MP showing the most consistent improvements across nutrients and timepoints (p < 0.05). Although the HP diet increased plasma concentrations of certain amino acids, including glutamic acid (Glu), valine (Val), methionine (Met), leucine (Leu), essential amino acids (EAAs), functional amino acids (FAAs), and branched chain amino acids (BCAAs), and elevated serum levels of glucose (GLU), blood urea nitrogen (BUN), and creatinine (CRE), it failed to improve postpartum weight recovery in jennies, highlighting that weight dynamics during this period are governed by factors beyond dietary protein content alone. Specifically, the LP group exhibited significantly higher cumulative postpartum weight loss over weeks 1–4 than the HP group (p = 0.004). Regarding offspring performance, both HP and MP diets improved foal birth weight, weekly body weight up to 4 weeks, average daily gain, and body height compared to the LP group (p < 0.05), with no significant differences observed between the HP and MP groups. In conclusion, for jennies under the current confined feeding system, a late-gestation diet containing 11.52% CP was adequate to support higher nutrient digestibility in the jennies and better growth performance in their foals, compared to a lower protein level (10.54% CP). However, increasing the dietary CP to 12.48% provided no additional benefits in nutrient utilization or overall productivity. Full article
(This article belongs to the Section Animal Nutrition)
22 pages, 1946 KB  
Article
Comparative Evaluation of High-Throughput In Vitro Digestion Methods for Predicting In Vivo Digestibility and Fecal Odor Emissions in Pigs
by Ching-Yi Chen, Ruei-Yang Huang and Han-Tsung Wang
Animals 2026, 16(6), 918; https://doi.org/10.3390/ani16060918 - 14 Mar 2026
Viewed by 168
Abstract
Accurate and physiologically relevant in vitro models are needed to predict nutrient digestibility and hindgut fermentation in pigs, as conventional in vivo trials are resource-intensive and raise animal welfare concerns. This study evaluated and compared the predictive performance of three in vitro digestion [...] Read more.
Accurate and physiologically relevant in vitro models are needed to predict nutrient digestibility and hindgut fermentation in pigs, as conventional in vivo trials are resource-intensive and raise animal welfare concerns. This study evaluated and compared the predictive performance of three in vitro digestion approaches—shaking (S), dialysis (D), and a combined shaking plus dialysis (SD) method—for estimating in vivo apparent total tract digestibility (ATTD) and fermentation characteristics across weaning, growing, and finishing pigs. Commercial diets were subjected to simulated gastric and small-intestinal digestion using S, D, or SD, followed by fecal inoculation to model hindgut fermentation for 12 and 48 h. During the gastrointestinal phase, crude protein digestibility was highest with D (>75%), intermediate with SD, and lowest with S (50–60%), indicating that product removal by dialysis mitigated enzyme inhibition from metabolite accumulation. After 48 h of fermentation, all methods showed strong linear correlations with in vivo ATTD (r > 0.93), but only D achieved high absolute agreement (Lin’s CCC > 0.95 for dry matter and crude protein). Moreover, D and SD at 48 h closely reflected in vivo fecal profiles of skatole, indole, and microbial enzyme activities, with D at 12 h showing an especially strong correlation for protease (r = 0.98). While D provided the most precise predictions of absolute values, the SD method offered an optimal balance between physiological relevance and operational efficiency, supporting its use as a robust, high-throughput platform for porcine feed evaluation and fecal nitrogenous odorant prediction. Full article
(This article belongs to the Special Issue Advances in Farm Animal Feed and Nutrition)
Show Figures

Figure 1

28 pages, 20972 KB  
Article
Reciprocal Hybridization Between Herbivorous and Carnivorous Sub-Cold-Water Fish Reveals Divergent Intestinal Characteristics and Microbiome Assembly
by Xiao Yang, Kaixuan Liu, Wei Yang, Tianzhi Jin, Jiahong Li, Zhijian Wang and Fang Li
Animals 2026, 16(6), 895; https://doi.org/10.3390/ani16060895 - 12 Mar 2026
Viewed by 208
Abstract
Hybridization is pivotal for germplasm innovation, yet how reciprocal crossing regulates digestive characteristics in sub-cold-water fish remains unclear. This study systematically compared differences in intestinal morphology, physiological function, and microbial community assembly among herbivorous Schizothorax prenanti, carnivorous S. davidi, and their [...] Read more.
Hybridization is pivotal for germplasm innovation, yet how reciprocal crossing regulates digestive characteristics in sub-cold-water fish remains unclear. This study systematically compared differences in intestinal morphology, physiological function, and microbial community assembly among herbivorous Schizothorax prenanti, carnivorous S. davidi, and their reciprocal hybrids using histological analysis, digestive enzyme assays, and 16S rRNA sequencing. Results indicated that parental intestinal characteristics were highly consistent with their feeding habits. Orthogonal hybrids exhibited a mosaic phenotype, combining the maternal muscular gut structure with high paternal-like lipase activity, and were characterized by an enrichment of the potential probiotic Lactococcus. In contrast, reciprocal hybrids presented a mismatch between morphology and function: despite developed hindgut folds, key digestive enzyme activities were low, and the gut microbiota was dominated by environmental bacteria such as Methylobacterium. Our findings indicate a spatially dependent assembly dynamic: the host genetic background strongly drives microbiome divergence in the anterior segments (foregut and midgut), whereas the long-term administration of a standardized diet ultimately promotes structural convergence in the hindgut. The orthogonal cross yielded a phenotype characterized by an apparent co-occurrence of specific host enzymes and distinct microbiota, suggesting an inferred physiological potential for lipid digestion that requires further multi-omics validation. These findings provide preliminary insights into the associations between genetic background and intestinal traits, providing a theoretical basis for the targeted breeding of Schizothorax species. Full article
Show Figures

Graphical abstract

19 pages, 5299 KB  
Article
Formation of Amylose–Lipid Complexes in Green Banana (Musa × paradisiaca) Flour Enriched with Hot-Pressed and Cold-Pressed Virgin Coconut Oil
by Emma Santo, Maria Carmen Tan, Allysa Ysabelle De Mesa, Marwin Hared Eder, Christine Basilla Bongay, Cyril John Domingo, Kathrina Lois Taaca, Cedric Delattre and Aldrin Bonto
Appl. Sci. 2026, 16(6), 2675; https://doi.org/10.3390/app16062675 - 11 Mar 2026
Viewed by 330
Abstract
This work examined the development of amylose–lipid complexes in green banana flour (Musa × paradisiaca) incorporated with virgin coconut oil (VCO), focusing on their spectral, thermal, and in vitro digestibility characteristics. Firstly, the native banana flour was analyzed for apparent amylose [...] Read more.
This work examined the development of amylose–lipid complexes in green banana flour (Musa × paradisiaca) incorporated with virgin coconut oil (VCO), focusing on their spectral, thermal, and in vitro digestibility characteristics. Firstly, the native banana flour was analyzed for apparent amylose content using a spectrophotometric assay. To facilitate amylose–lipid complexation, both hot-pressed and cold-pressed VCO were incorporated into the banana flour under controlled thermal conditions, after which amylose–lipid interactions were characterized using Fourier-transform infrared and Raman spectroscopy for spectral features and differential scanning calorimetry for thermal behavior. The banana flour exhibited an AAC of 26.40 ± 0.002%. GCMS analysis of FAME derivatized VCO detected medium- to long-chain fatty acids, including octanoic (C8:0), decanoic (C10:0), dodecanoic (C12:0), tetradecanoic (C14:0), and hexadecanoic acids (C16:0) stearic acid (C18:0) and oleic acid (C18:1). FTIR coupled with multivariate analysis and Raman spectra confirmed lipid incorporation/retention in green banana flour through characteristic O–H, C–H, and C=O bands. While DSC revealed distinct endothermic transitions at 89.56 ± 2.17 °C (ΔHₘ = 0.8587 ± 0.1014 J g−1) for hot-pressed VCO and 89.18 ± 0.98 °C (ΔHₘ = 0.6267 ± 0.0777 J g−1) for cold-pressed VCO, consistent with the melting of V-type amylose–lipid complexes. Morphological analysis revealed that thermal treatment transformed native banana flour from irregular granular structures into an amorphous matrix via starch gelatinization, whereas subsequent incorporation of VCO promoted aggregation. In vitro enzymatic digestion showed a slight reduction in starch hydrolysis in VCO-treated samples. The incorporation of an exogenous lipid, such as VCO, into green banana flour promotes the formation of thermally stable amylose–lipid complexes that reduce enzymatic digestibility. Full article
Show Figures

Graphical abstract

20 pages, 800 KB  
Article
Phytosynbiotic Containing Double-Layer Microencapsulated Pediococcus acidilactici V202 and Tiliacora triandra Leaf Extract Improve Growth Performance and Gut Health in Broiler Chickens
by Manatsanun Nopparatmaitree, Juan J. Loor, Chaiwat Arjin, Noraphat Hwanhlem, Pranpriya Sudchamrong, Buachompooputr Buapa, Payungsuk Intawicha and Tossaporn Incharoen
Animals 2026, 16(5), 845; https://doi.org/10.3390/ani16050845 - 7 Mar 2026
Viewed by 268
Abstract
This study investigated the effects of a novel phytosynbiotic feed supplement derived from double-layer microencapsulated Pediococcus acidilactici V202 and Tiliacora triandra leaf extract (DMP) on the growth performance, nutrient utilization, gut fermentation, intestinal morphology, and cecal microbiota of broiler chickens. A total of [...] Read more.
This study investigated the effects of a novel phytosynbiotic feed supplement derived from double-layer microencapsulated Pediococcus acidilactici V202 and Tiliacora triandra leaf extract (DMP) on the growth performance, nutrient utilization, gut fermentation, intestinal morphology, and cecal microbiota of broiler chickens. A total of 250 one-day-old male Ross 308 broilers were randomly assigned to five dietary treatments: basal control diet, antibiotic growth promoter (AGP) with chlortetracycline at 0.07%, and DMP supplementation at 0.25, 0.50, or 1.00% (w/w) for 42 days. Compared with the control diet, feeding the DMP led to linear or quadratic responses (p < 0.05) on average daily gain, feed efficiency, productive index, and economic returns. Apparent digestibility of dry matter, crude protein, and apparent metabolizable energy was enhanced in DMP-fed broilers, indicating improved nutrient utilization efficiency. These performance responses were accompanied by pronounced alterations in cecal fermentation, characterized by increased lactic acid, total volatile fatty acids, and particularly acetic and butyric acid levels (p < 0.01). Microbiome analysis revealed that the DMP selectively enriched fermentative SCFA-producing bacterial orders, including Lachnospirales, Oscillospirales, and Lactobacillales. It also reduced the relative abundance of less desirable taxa. As evidenced by an increased villus height and surface area in the duodenum and jejunum, along with a higher villus height-to-crypt depth ratio in the ileum, feeding the DMP also enhanced small intestinal morphology. These coordinated morphological adaptations are indicative of enhanced epithelial maturation and reduced crypt hyperplasia, likely mediated by elevated microbial SCFA production in the gut. In conclusion, the DMP improved broiler growth performance by coordinating the modulation of the gut microbiota, SCFA levels, and intestinal morphology, resulting in enhanced nutrient digestibility and productivity. This phytosynbiotic strategy represents a sustainable plant-based alternative to antibiotic growth promoters for environmentally responsible poultry production. Full article
Show Figures

Figure 1

22 pages, 3376 KB  
Article
Effects of Dietary Non-Fibrous Carbohydrate to Neutral Detergent Fiber Ratio on Apparent Digestibility, Fecal Microbiota, and Plasma Metabolomics in Yili Horses
by Mengfei Li, Zihao Xu, Long Sun, Zhiqiang Cheng, Yingying Yu, Yong Chen, Fengming Li and Changjiang Zang
Animals 2026, 16(5), 844; https://doi.org/10.3390/ani16050844 - 7 Mar 2026
Viewed by 266
Abstract
This study aimed to investigate the effects of dietary NFC/NDF ratio on nutrient apparent digestibility, fecal fermentation parameters, microbial diversity, and plasma metabolomics in Yili horses. Twenty-four healthy Yili horses with similar body weights (406 ± 22.73 kg) were divided into four groups, [...] Read more.
This study aimed to investigate the effects of dietary NFC/NDF ratio on nutrient apparent digestibility, fecal fermentation parameters, microbial diversity, and plasma metabolomics in Yili horses. Twenty-four healthy Yili horses with similar body weights (406 ± 22.73 kg) were divided into four groups, each with six replicates: the Control Group (CG), Low-NFC Group (LG), Medium-NFC Group (MG), and High-NFC Group (HG). The experiment lasted 52 d, comprising a 7-day adaptation period and a 45-day experimental period. Total fecal collection was conducted from days 41 to 45 to calculate nutrient apparent digestibility. On the final day, rectal fecal samples and blood samples were collected for full-length 16S rRNA gene sequencing and plasma metabolomics analysis. The results revealed the following findings: (1) The apparent digestibility of crude protein (CP) in the MG and HG groups was significantly higher than in the CG (p < 0.01), and significantly higher in the LG group compared to the CG (p < 0.05). (2) Significant differences were observed in fecal pH, propionate concentration, and the acetate-to-propionate ratio between the CG and the experimental groups (p < 0.05). (3) At the phylum level, Firmicutes, Bacteroidota, and Verrucomicrobiota were dominant in the fecal microbiota of all groups. PICRUSt2 prediction indicated that the MG and HG groups primarily enhanced energy conversion efficiency through amino acid metabolism and pantothenate and CoA biosynthesis metabolic pathways. (4) A total of 204 differential metabolites were identified between the CG and MG groups, with 98 upregulated and 106 downregulated in the MG group compared to the CG. These metabolites were mainly enriched in pantothenate and CoA biosynthesis, fructose and mannose metabolism, pyruvate metabolism, and starch and sucrose metabolism pathways. In summary, appropriately increasing NFC/NDF content influences the gut microbiota composition and energy metabolism of Yili horses, thereby effectively improving their digestion and absorption of dietary nutrients. Full article
(This article belongs to the Special Issue Dietary Regulation of the Rumen Microbiome and Fermentation)
Show Figures

Figure 1

17 pages, 1704 KB  
Article
Uncovering the Protein Conversion Potential of Alfalfa (Medicago sativa L.) and Duckweed (Lemna minor L.) Through Enzymatic Hydrolysis and Digestibility Assessment
by Ingrida Pauliukaitytė, Milita Žygytė, Alvija Šalaševičienė and Karolina Almonaitytė
Foods 2026, 15(5), 885; https://doi.org/10.3390/foods15050885 - 5 Mar 2026
Viewed by 176
Abstract
The growing demand for sustainable protein alternatives has increased interest in underutilized plant biomasses with high nutritional potential. This study investigated the conversion efficiency of alfalfa (Medicago sativa L.) and duckweed (Lemna minor L.) proteins through multienzyme hydrolysis, with the aim [...] Read more.
The growing demand for sustainable protein alternatives has increased interest in underutilized plant biomasses with high nutritional potential. This study investigated the conversion efficiency of alfalfa (Medicago sativa L.) and duckweed (Lemna minor L.) proteins through multienzyme hydrolysis, with the aim of evaluating how carbohydrate–protein matrix interactions influence enzymatic accessibility and apparent protein digestibility. Three biotechnological hydrolysis schemes were applied, involving combinations of α-amylase, amyloglucosidase, protease, pepsin, pancreatin, and bile salts, including an in vitro gastrointestinal digestion simulation. The first hydrolysis scheme demonstrated that starch-rich matrices formed a viscous medium that reduced protease mobility and limited protein cleavage. Improved substrate accessibility was achieved when plant material was pre-treated with amylolytic and proteolytic enzymes, which resulted in a noticeably higher release of free amino acids. Amino acid profiling revealed that this enzymatic sequence was the most effective for disrupting carbohydrate-associated protein fractions in both species. In vitro digestion assays indicated higher apparent protein conversion for duckweed compared to alfalfa under standardized laboratory conditions. Overall, the results confirm that appropriate multienzyme strategies can enhance amino acid liberation from complex plant matrices and highlight duckweed biomass as a promising candidate for sustainable protein valorization. Full article
(This article belongs to the Section Food Physics and (Bio)Chemistry)
Show Figures

Figure 1

15 pages, 293 KB  
Article
Citrus Pulp as an Alternative Energy Source for High-Yielding Dairy Cows in Tropical Systems: Effects on Intake, Digestibility, Nitrogen Balance, and Dairy Performance
by Elmer Edgardo Corea Guillen, Gabriela Alejandra Flores Leiva, Manuel Vicente Mendoza, Aurora Hilda Ramirez-Perez, Augusto Cesar Lizarazo, Nelson Alirio Cruz, Joaquín Miguel Castro-Montoya, Ever del Jesus Flores Santiago and Juan Carlos Ángeles-Hernandez
Animals 2026, 16(5), 806; https://doi.org/10.3390/ani16050806 - 5 Mar 2026
Viewed by 317
Abstract
This study evaluated the impact of incorporating citrus pulp (CiP) into the rations of high-producing dairy cows under tropical conditions. Eighteen lactating dairy cows were assigned to two dietary treatments: corn meal (CM) or CiP as the main energy source. Dairy cows were [...] Read more.
This study evaluated the impact of incorporating citrus pulp (CiP) into the rations of high-producing dairy cows under tropical conditions. Eighteen lactating dairy cows were assigned to two dietary treatments: corn meal (CM) or CiP as the main energy source. Dairy cows were allocated to a crossover design comprising two 21-day periods. The rations were formulated to be isocaloric and isonitrogenous. Replacing CM with CiP reduced the intakes of dry matter (19.9 vs. 19.5 kg/d), organic matter (17.9 vs. 17.4 kg/d), digestible organic matter (12.3 vs. 11.7 kg/d), and crude protein (3.43 vs. 3.35 kg/d), while increasing neutral detergent fibre intake (7.39 vs. 7.63 kg/d). Apparent total tract digestibility decreased for all nutrients, including DM, OM, CP, NDF, and ADF, when CiP replaced CM. Milk production was lower in cows fed CiP than in those fed CM (23.7 vs. 22.7 kg/d), although milk feed efficiency (milk/DMI) was not different. An economic analysis showed that cows fed CM had higher milk gross income and income over feed cost. These results suggest that the partial replacement (60%) of CM with CiP may negatively affect feed intake, nutrient digestibility, milk production, and profitability in dairy cows in tropical regions. Full article
10 pages, 211 KB  
Article
Ileal Amino Acid Digestibility in Various Protein Sources Fed to Broiler Chickens
by Inho Cho, June Hyeok Yoon, Hyun Jung Jung and Changsu Kong
Animals 2026, 16(5), 779; https://doi.org/10.3390/ani16050779 - 2 Mar 2026
Viewed by 354
Abstract
This study aimed to determine the ileal digestibility of amino acids (AA) in various protein sources for 21-day-old broilers. A total of 448 Ross 308 male broilers were allocated to eight dietary treatments with eight replicates in a randomized complete block design. Experimental [...] Read more.
This study aimed to determine the ileal digestibility of amino acids (AA) in various protein sources for 21-day-old broilers. A total of 448 Ross 308 male broilers were allocated to eight dietary treatments with eight replicates in a randomized complete block design. Experimental diets included one nitrogen-free diet and seven test diets, each containing one of the following feed ingredients—dehulled soybean meal (SBM), fermented SBM (FSBM), rapeseed meal (RM), copra meal (CM), palm kernel meal (PKM), corn distillers dried grains with solubles (DDGS), and fish meal (FM), as the sole source of AA. On day 21, all birds were euthanized and subsequently ileal digesta was collected from the distal two-thirds of the ileum, extending from Meckel’s diverticulum to 1 cm proximal to the ileocecal junction. The ileal digestibility of AA in the FM was the greatest, followed by the SBM. The ileal digestibility for AA in the SBM was greater than that in the RM. The ileal AA digestibility in the RM was greater than or not different from that in the FSBM, except for Val and Pro, and superior to the CM and the PKM. The ileal digestibility of AA in the FSBM was greater than or not different from those in corn DDGS, except for Met and Cys. Corn DDGS exhibited greater or not different ileal digestibility of AA compared to that of the CM and the PKM, except for Val and Asp, and the PKM was the lowest. In conclusion, the ileal digestibility of AA was the greatest in the FM, followed by the SBM, FSBM, the RM, corn DDGS, the CM, and the PKM. Furthermore, the results underscore the necessity for continuous evaluation of ileal AA digestibility in various protein sources. Full article
(This article belongs to the Special Issue Optimizing Alternative Protein Sources for Sustainable Poultry Diet)
14 pages, 304 KB  
Review
Gut Dysbiosis, Malnutrition and Sarcopenia in Liver Cirrhosis: A Narrative Review
by Marian-Vlad Lăpădat, Claudia Georgeta Iacobescu, Ion Daniel Baboi, Maria Nedelcu, Lavinia Alice Bălăceanu, Valeria Ioana Grigorescu and Ion Dina
Diseases 2026, 14(3), 90; https://doi.org/10.3390/diseases14030090 - 2 Mar 2026
Viewed by 365
Abstract
Liver cirrhosis represents the end stage of chronic liver disease arising from diverse etiologies and is characterized by persistent hepatic injury, architectural distortion, extensive fibrosis, and nodular regeneration. While decompensated cirrhosis is commonly associated with overt, life-threatening complications such as hepatic encephalopathy, hepatorenal [...] Read more.
Liver cirrhosis represents the end stage of chronic liver disease arising from diverse etiologies and is characterized by persistent hepatic injury, architectural distortion, extensive fibrosis, and nodular regeneration. While decompensated cirrhosis is commonly associated with overt, life-threatening complications such as hepatic encephalopathy, hepatorenal syndrome and gastrointestinal bleeding, less apparent manifestations—including sarcopenia and metabolic disturbances—have emerged as major determinants of prognosis. Sarcopenia, defined by the progressive loss of skeletal muscle mass and function, is highly prevalent in cirrhotic patients and is closely linked to frailty, increased morbidity, mortality, and adverse liver transplantation outcomes. Increasing data support the role of gastrointestinal dysfunction in the pathogenesis of sarcopenia in liver cirrhosis. In chronic liver disease, intestinal dysfunction is exacerbated by portal hypertension, which promotes increased intestinal permeability and bacterial translocation. Furthermore, gut dysbiosis, a key feature of advanced liver disease, contributes to impaired digestion, malabsorption of macro- and micronutrients, increased intestinal permeability, malnutrition and systemic inflammation. These alterations promote negative energy balance, reduce muscle protein synthesis and enhance muscle catabolism, thereby accelerating muscle wasting. Despite increasing recognition of the individual roles of gut dysbiosis, malabsorption, and sarcopenia in cirrhosis, their complex interrelationship has not been comprehensively addressed. This narrative review synthesizes current evidence on the interplay between gut dysbiosis, malabsorption and sarcopenia in patients with liver cirrhosis. We discuss underlying pathophysiological mechanisms, clinical implications and potential therapeutic strategies, while highlighting existing knowledge gaps and future research directions. Improved understanding of the gut-liver-muscle axis may offer novel opportunities for early intervention and optimization of outcomes in this high-risk patient population. Full article
(This article belongs to the Section Gastroenterology)
Show Figures

Graphical abstract

8 pages, 200 KB  
Communication
Digestibility of Energy and Concentrations of Digestible and Metabolizable Energy in Pistachio Shell Powder and in Soybean Hulls Fed to Growing Pigs
by Yeonwoo Kim, Maryane S. F. Oliveira, Su A Lee and Hans H. Stein
Animals 2026, 16(5), 758; https://doi.org/10.3390/ani16050758 - 1 Mar 2026
Viewed by 250
Abstract
The hypothesis that the values obtained for the apparent total tract digestibility (ATTD) of energy and digestible energy (DE) and metabolizable energy (ME) in pistachio shell powder are not different from the values obtained for soybean hulls when fed to growing pigs. A [...] Read more.
The hypothesis that the values obtained for the apparent total tract digestibility (ATTD) of energy and digestible energy (DE) and metabolizable energy (ME) in pistachio shell powder are not different from the values obtained for soybean hulls when fed to growing pigs. A basal diet containing corn, a diet containing corn and 20% pistachio shell powder, and a diet containing corn and 20% soybean hulls were formulated. Twenty-four growing pigs (initial body weight: 32.0 ± 1.7 kg) were allotted to the three diets in a randomized complete block design with eight pigs per diet. After a 7-d adaptation period, feces and urine were quantitatively collected for 4 days. The diets and feces were analyzed for dry matter, and all samples were analyzed for gross energy (GE). The results indicated that the ATTD of GE was greater (p < 0.05) for soybean hulls than for pistachio shell powder, but less (p < 0.05) than for corn. Pistachio shell powder provided less (p < 0.05) DE than corn (i.e., 1778 kcal/kg vs. 3787 kcal/kg; dry matter basis), but the DE in pistachio shell powder was not different from that in soybean hulls (i.e., 2010 kcal/kg; dry matter basis). In conclusion, pistachio shell powder can be used as an alternative ingredient in diets for growing pigs and provides 1778 kcal/kg of DE on a dry matter basis. Full article
(This article belongs to the Section Pigs)
19 pages, 2331 KB  
Article
Effects of Rhodotorula Yeast Culture on Nutrient Apparent Digestibility and Rumen Health in Sheep
by Jie Ma, Jianlong Dang, Huiru Ma, Guang Yang, Ke Wang, Xinyu Lu, Xiangtan Su, Xinhao Zhang, Feilong Liu and Aiqin Gao
Biology 2026, 15(5), 390; https://doi.org/10.3390/biology15050390 - 27 Feb 2026
Viewed by 300
Abstract
The potential of Rhodotorula yeast culture (RYC) in animal production remains underexplored. This study investigated the effects of RYC supplementation on nutrient apparent digestibility, rumen tissue morphology, fermentation parameters, and fungal microbiota in sheep. Twenty-four three-month-old male Dorper × Han crossbred sheep (weight [...] Read more.
The potential of Rhodotorula yeast culture (RYC) in animal production remains underexplored. This study investigated the effects of RYC supplementation on nutrient apparent digestibility, rumen tissue morphology, fermentation parameters, and fungal microbiota in sheep. Twenty-four three-month-old male Dorper × Han crossbred sheep (weight 36 ± 4 kg) were selected and randomly divided into four groups, with six sheep in each group: the control group (CON) was fed a basal diet, and the three treatment groups were supplemented with 10, 20, or 40 g/d of RYC (RYC10, RYC20, RYC40), respectively. The results showed that RYC supplementation significantly increased (p < 0.05) the apparent digestibility of dry matter, crude protein, neutral detergent fiber, and acid detergent fiber, and the apparent digestibility of CP and ADF was significantly higher in the RYC20 than in the other groups (p < 0.05). Rumen papillae length and muscular layer thickness were significantly greater (p < 0.05) in RYC-treated groups compared to the CON group, and the RYC20 group exhibited significantly greater rumen papilla length and muscularis propria thickness than the other experimental groups (p < 0.05). Furthermore, ruminal pH and bacterial crude protein content were significantly elevated (p < 0.05), while ammonia nitrogen concentration was significantly reduced (p < 0.05). The RYC40 group exhibited significantly higher rumen pH and BCP concentrations, and significantly lower NH3-N concentration, compared to the other experimental groups (p < 0.05). The concentrations of acetate, propionate, butyrate, and total volatile fatty acids were also significantly higher (p < 0.05) in RYC groups. For RYC20, rumen acetic acid, propionic acid, butyric acid, isobutyric acid, total volatile fatty acid content and the acetate-to-propionate ratio were significantly higher than those of the other experimental groups (p < 0.05). Analysis of fungal community revealed that RYC increased the relative abundance of fibrolytic fungi (e.g., Neocallimastix, Caecomyce, Piromyces). Supplementation of RYC at 20 g/d optimizes apparent nutrient digestibility and rumen tissue development in ruminants, while maintaining favorable rumen fermentation characteristics and selectively enhancing the growth of core fibrolytic fungi; this dosage achieves the optimal balance of biological performance and economic feasibility, and is thus recommended as the optimal practical supplementation dosage for ruminant production. Full article
(This article belongs to the Section Zoology)
Show Figures

Figure 1

17 pages, 1188 KB  
Article
Effects of Microbial Biomass and Mineral Premixes on Growth Performance and Nutrient Utilisation in Penaeus monodon Fed Low Fishmeal Diets
by Ha H. Truong, Matthew R. P. Briggs, Barney M. Hines, Nicholas A. Bourne, Artur N. Rombenso and Cedric J. Simon
Fishes 2026, 11(3), 141; https://doi.org/10.3390/fishes11030141 - 26 Feb 2026
Viewed by 247
Abstract
The growth performance of Penaeus monodon is often reduced when fishmeal is extensively replaced with terrestrial ingredients. This study evaluated the efficacy of a marine microbial biomass, NovaqPro™ (NQ), and inorganic mineral premixes in improving the performance of low fishmeal diets. Diets containing [...] Read more.
The growth performance of Penaeus monodon is often reduced when fishmeal is extensively replaced with terrestrial ingredients. This study evaluated the efficacy of a marine microbial biomass, NovaqPro™ (NQ), and inorganic mineral premixes in improving the performance of low fishmeal diets. Diets containing soybean meal, soy protein concentrate, and bloodmeal were formulated with fishmeal limited to 6%. Treatments included 10% NQ, an experimental inorganic mineral premix, a commercial mineral premix, and their combinations added to the low fishmeal control. A high fishmeal diet was also assessed as a benchmark of performance. NQ supplementation significantly improved shrimp growth, increasing weight gain by 78.7% compared with the low fishmeal control (2.77 vs. 1.55 g shrimp−1) and numerically improved by 25.3% compared with the high fishmeal diet (2.21 g shrimp−1). Similar responses were observed for FCR where NQ diets (1.47–1.68), as well as the high fishmeal diet (1.59), were superior to that of the control diet (2.02). Growth improvements were associated with increased feed intake and higher retention of protein and gross energy. In contrast, mineral premix supplementation did not improve growth, and weight gain was numerically reduced relative to the low fishmeal control. The NQ diet showed higher apparent digestibility of calcium, phosphorus, and magnesium compared with the high fishmeal diet. These results demonstrate that NQ is an effective mitigation strategy to reduce growth limitations associated with low fishmeal diets in P. monodon, without the need for additional inorganic mineral supplementation. Full article
(This article belongs to the Special Issue Sustainable Aquaculture of Crustaceans)
Show Figures

Figure 1

13 pages, 249 KB  
Article
Effects of Multi-Strain Probiotic Supplementation in Low–Crude Protein Diets on Growth Performance, Apparent Nutrient Digestibility, Fecal Microbial Indicators, and Nitrogen Utilization in Weaned Piglets
by Wei Han Zhao, Hao-Yu Liu, De-Min Cai, Dae-Kyung Kang and In Ho Kim
Animals 2026, 16(5), 727; https://doi.org/10.3390/ani16050727 - 26 Feb 2026
Viewed by 325
Abstract
This study evaluated the effects of supplementing a multi-strain probiotic (MSP) in low–crude protein (LP) diets on growth performance, apparent nutrient digestibility, selected fecal microbial populations, and nitrogen (N) utilization in weaned piglets. A 7-week feeding trial was conducted using 105 weaned crossbred [...] Read more.
This study evaluated the effects of supplementing a multi-strain probiotic (MSP) in low–crude protein (LP) diets on growth performance, apparent nutrient digestibility, selected fecal microbial populations, and nitrogen (N) utilization in weaned piglets. A 7-week feeding trial was conducted using 105 weaned crossbred piglets (Duroc × [Landrace × Yorkshire]) with an initial body weight of 6.55 ± 1.09 kg. Based on initial body weight and sex, piglets were randomly assigned to three dietary treatments using a randomized complete block design, with seven replicates per treatment and five pigs per pen (two gilts and three barrows). The dietary treatments included CON: normal crude protein (CP) diet; TRT1: LP diet; and TRT2: LP diet supplemented with 0.01% MSP. At week 7, the final body weight (BW) was higher in CON and TRT2 than in TRT1 (p < 0.05). During weeks 1–3, the feed conversion ratio (FCR) was lower in CON than in TRT1 (p < 0.05). In weeks 5–7, average daily gain (ADG) was higher in CON and TRT2 than in TRT1 (p < 0.05), while only CON showed a reduced FCR (p < 0.05). Over the entire trial, ADG was highest in TRT2 (p < 0.05), and FCR was lower in both CON and TRT2 compared with TRT1 (p < 0.01). At the end of the experiment, apparent nitrogen digestibility was significantly improved in CON and TRT2 relative to TRT1 (p < 0.05). Fecal Lactobacillus counts were elevated, and Escherichia coli abundance decreased in TRT2 (p < 0.05), indicating a more favorable profile of selected fecal bacterial indicators. In the N balance trial, six healthy piglets (three barrows and three gilts) per treatment were randomly selected and housed individually in metabolism cages. After a 3-day adaptation, total feces and urine were collected for four days to determine N intake, fecal and urinary N excretion, and N retention. At week 7, DM and N intake were unaffected by dietary treatment, whereas fecal N excretion was lower in TRT2 and CON relative to TRT1 (p < 0.05). Overall, supplementation of MSP in LP diets partially mitigated the adverse effects associated with reduced dietary protein by enhancing feed efficiency and nitrogen utilization, resulting in growth performance comparable to that of piglets fed a normal CP diet. Full article
(This article belongs to the Special Issue Feeding Strategies to Improve the Health or Development of Piglets)
Back to TopTop