Numerical Study on the Impact Pressure of Droplets on Wind Turbine Blades Using a Whirling Arm Rain Erosion Tester
Abstract
1. Introduction
2. Numerical Methods
2.1. Numerical Simulation of Droplet Impact
2.2. Estimation of Liquid-Film Thickness
3. Results and Discussion
3.1. Droplet Impact Behavior on a Wet Wall
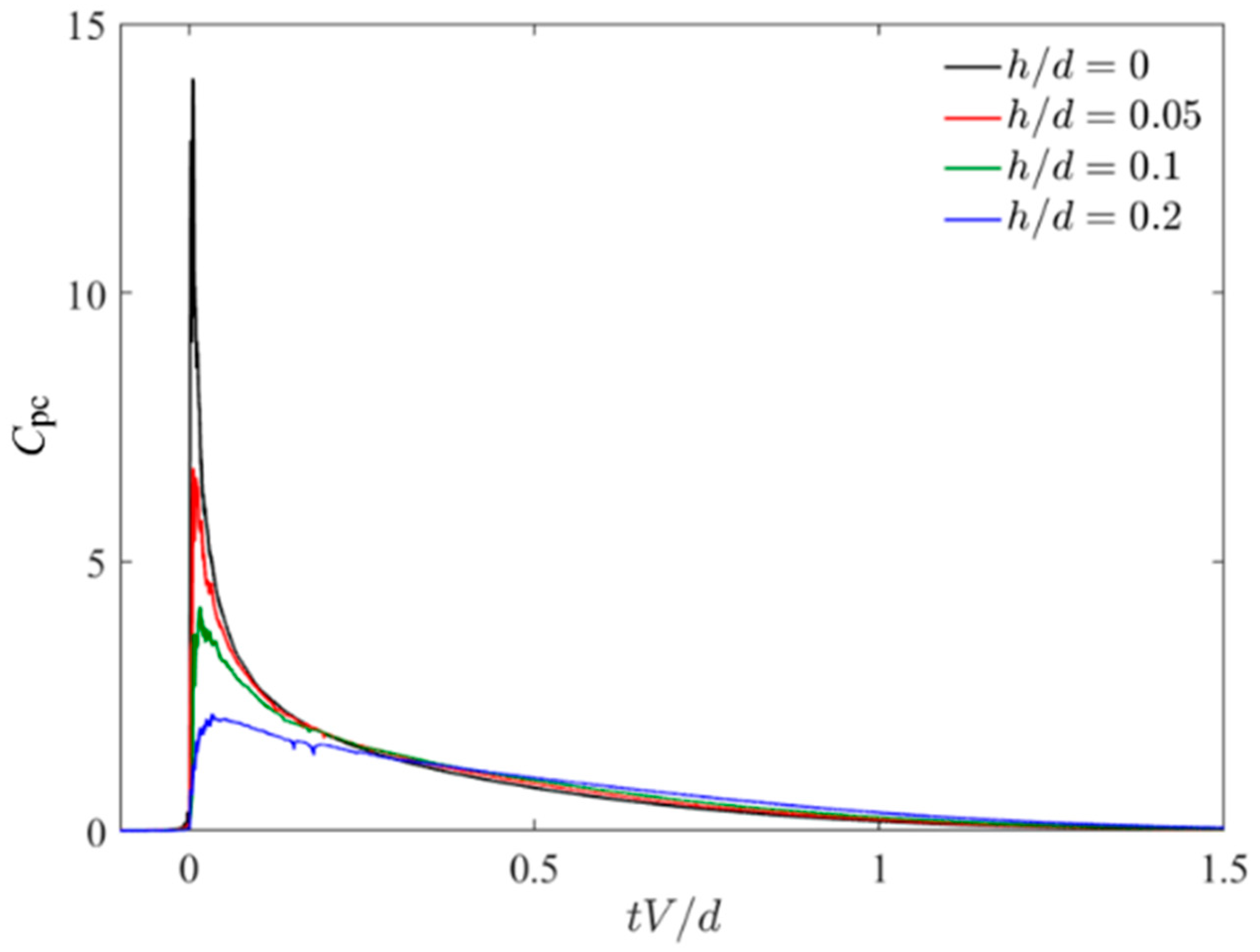
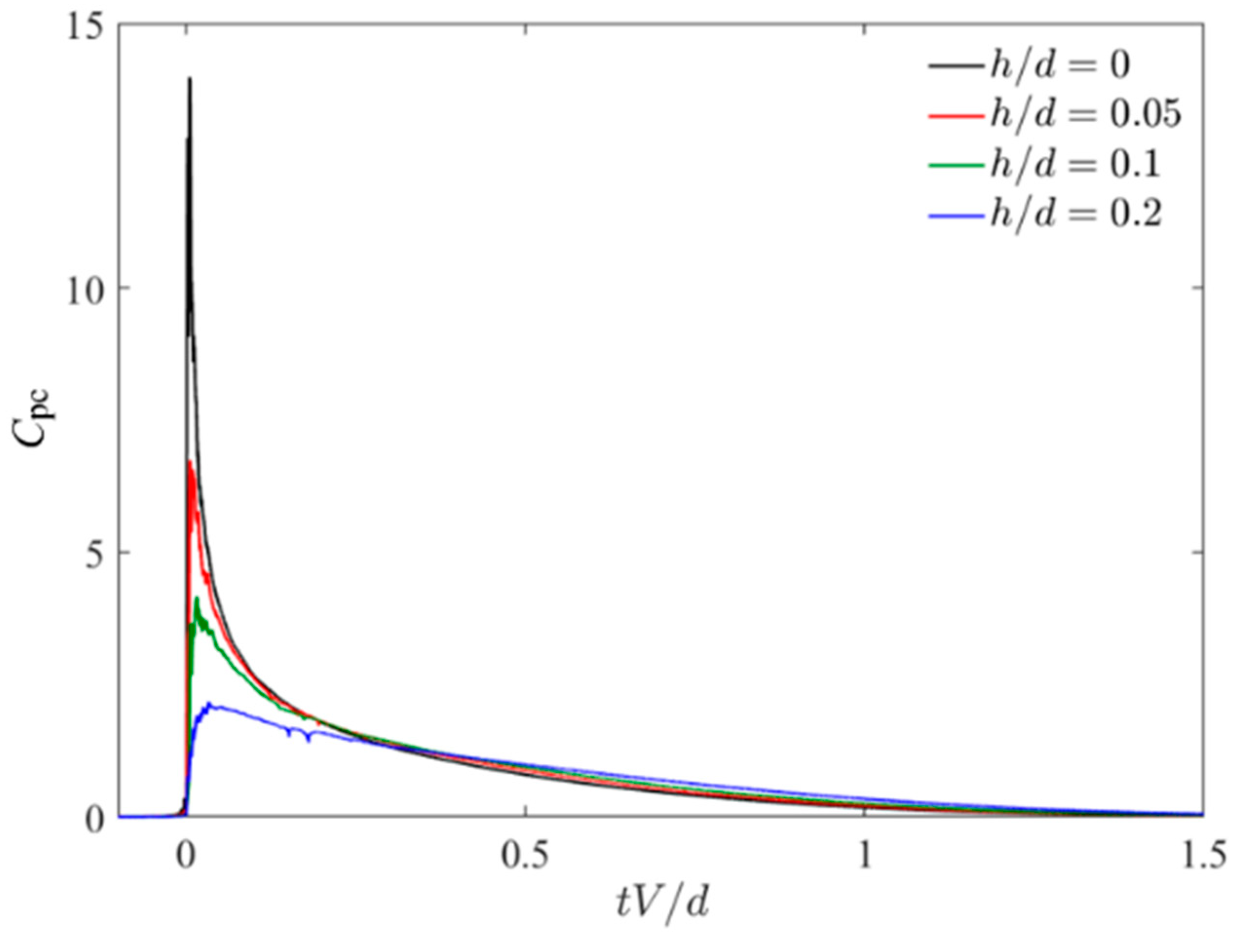
3.2. Variation in Impact Pressure with Liquid-Film Thickness
3.3. Impact Pressure of the Droplet on the Rotating Blade
3.4. Estimation of the V-N Curve for a Wind Turbine Blade
4. Conclusions
Author Contributions
Funding
Data Availability Statement
Acknowledgments
Conflicts of Interest
Nomenclature
| Cp | pressure coefficient (=(p − ps)/() (-) |
| Cpc | central pressure coefficient (-) |
| Cpcm | central peak pressure coefficient (-) |
| Df | impact pressure ratio (=pw/pd) (-) |
| d | droplet diameter (mm) |
| F | external forces (-) |
| f | scalar function (-) |
| h | liquid-film thickness (mm) |
| I | rainfall rate (mm/h) |
| N | number of impacts (-) |
| p | pressure (Pa) |
| pd | central pressure on drywall (Pa) |
| ps | surrounding pressure (Pa) |
| pw | central pressure on wet wall (Pa) |
| Q | volume flow rate (m3/s) |
| R | radius of blade (m) |
| t | time (s) |
| V | impact velocity (m/s) |
| V | velocity vector (-) |
| Vc | corrected impact velocity (m/s) |
| μ | viscosity of fluid (kg/(ms)) |
| ν | kinematic viscosity of fluid (m2/s). |
| ρ | density of fluid (kg/m3) |
| ω | angular velocity of rotation (rad/s) |
| Subscript | |
| 1 | condition for the rain erosion tester |
| 2 | condition for the wind turbine blade |
References
- Heymann, F.J. Liquid Impingement Erosion. In ASM Handbook; ASM International: Tama, Japan, 1992; pp. 221–232. [Google Scholar]
- Richman, R.H. Liquid-Impact Erosion, Failure Analysis and Prevention. In ASM Handbook; ASM International: Tama, Japan, 2002; pp. 1013–1018. [Google Scholar]
- Fujisawa, N.; Morita, R. Liquid Droplet Impingement Erosion. In ASM Handbook; ASM International: Tama, Japan, 2021; pp. 764–772. [Google Scholar]
- Mann, B.S.; Arya, V. HVOF coating and surface treatment for enhancing droplet erosion resistance of steam turbine blades. Wear 2003, 254, 652–667. [Google Scholar] [CrossRef]
- Ahmad, M.; Schatz, M.; Casey, M.V. An empirical approach to predict droplet impact erosion in low-pressure stages of steam turbines. Wear 2018, 402–403, 57–63. [Google Scholar] [CrossRef]
- Crockett, H.M.; Horowitz, J.S. Erosion in nuclear piping systems. J. Press. Vessel Technol. 2010, 132, 024501. [Google Scholar] [CrossRef]
- Fujisawa, N.; Yamagata, T.; Hayashi, K.; Takano, T. Experiments on liquid droplet impingement erosion by high-speed spray. Nucl. Eng. Des. 2012, 250, 101–107. [Google Scholar] [CrossRef]
- Gohardani, O. Impact of erosion testing aspects on current and future flight conditions. Prog. Aero. Sci. 2011, 247, 280–303. [Google Scholar] [CrossRef]
- Dalili, N.; Edrisy, A.; Carriveau, R. A review of surface engineering issues critical to wind turbine performance. Renew. Sustain. Energy Rev. 2009, 13, 428–438. [Google Scholar] [CrossRef]
- Keegan, M.H.; Nash, D.H.; Stack, M.M. On erosion issues associated with the leading edge of wind turbine blades. J. Phys. D Appl. Phys. 2013, 46, 383001. [Google Scholar] [CrossRef]
- Slot, H.M.; Gelinck, E.R.M.; Rentrop, C.; Heidevan, E. Leading edge erosion of coated wind turbine blades: Review of coating life models. Renew. Energy 2015, 80, 837–848. [Google Scholar] [CrossRef]
- Bartolomé, L.; Teuwen, J. Prospective challenges in the experimentation of the rain erosion on the leading edge of wind turbine blades. Wind Energy 2018, 22, 140–151. [Google Scholar] [CrossRef]
- Eisenberg, D.; Laustsen, S.; Stege, J. Wind turbine blade coating leading edge rain erosion model, Development and validation. Wind Energy 2018, 21, 942–951. [Google Scholar] [CrossRef]
- Herring, R.; Dyer, K.; Martin, F.; Ward, C. The increasing importance of leading-edge erosion and a review of existing protection solutions. Renew. Sustain. Energy Rev. 2019, 115, 109382. [Google Scholar] [CrossRef]
- Ibrahim, M.E.; Medraj, M. Water droplet erosion of wind turbine blades: Mechanics, testing, modeling and future perspectives. Materials 2020, 13, 157. [Google Scholar] [CrossRef] [PubMed]
- Fujisawa, N.; Johansen, N.F.-J.; Yamagata, T.; Fujisawa, K.; Tanaka, M. A review and comparative study of uncertainty in rain erosion testers for wind turbine blades. J. Flow Energy 2023, 1, 1–15. [Google Scholar]
- ASTM Standards G-73-10; Standard Test Method for Liquid Impingement Erosion Using Rotating Apparatus. ASM International: Tama, Japan, 2017; pp. 294–312.
- DNVGL. Testing of Rotor Blade Erosion Protection Systems, Edition February, DNVGL-RP-0171; DNVGL: Bærum, Norway, 2018; pp. 1–64. [Google Scholar]
- R&DA/S Rain Erosion Tester. Available online: https://www.rd-as.com/rain-erosion-tester/ (accessed on 15 April 2021).
- Bech, J.I.; Johansen, N.F.J.; Madsen, M.B.; Hannesdottir, A.; Hasager, C.B. Experimental study on the effect of drop size in rain erosion test and on lifetime prediction of wind turbine blades. Renew. Energy 2022, 197, 776–789. [Google Scholar] [CrossRef]
- Brunton, J.H.; Rochester, M.C. Erosion of solid surfaces by the impact of liquid drops. Treatise Mater. Sci. Technol. 1979, 16, 186–248. [Google Scholar]
- Tobin, E.F.; Young, T.M.; Raps, D.; Rohr, O. Comparison of liquid impingement results from whirling arm and water-jet rain erosion test facilities. Wear 2011, 271, 2625–2631. [Google Scholar] [CrossRef]
- Zhang, S.; Johansen, K.D.; Bernad, P.L., Jr.; Kiil, S. Rain erosion of wind turbine blade coatings using discrete water jets: Effects of water cushioning, substrate geometry, impact distance, and coating properties. Wear 2015, 328–329, 140–148. [Google Scholar] [CrossRef]
- Fujisawa, N.; Yamagata, T.; Saito, K.; Hayashi, K. The effect of liquid film on liquid droplet impingement erosion. Nucl. Eng. Des. 2013, 265, 909–917. [Google Scholar] [CrossRef]
- Fujisawa, K.; Yamagata, T.; Fujisawa, N. Damping effect on impact pressure from liquid droplet impingement on wet wall. Ann. Nucl. Energy 2018, 121, 260–268. [Google Scholar] [CrossRef]
- Haller, K.K.; Ventikos, Y.; Poulikakosa, D. Computational study of high-speed liquid droplet impact. J. Appl. Phys. 2002, 92, 2821–2828. [Google Scholar] [CrossRef]
- Xiong, J.; Koshizuka, S.; Sakai, M. Investigation of droplet impingement onto wet walls based on simulation using particle method. J. Nucl. Sci. Technol. 2011, 48, 145–153. [Google Scholar] [CrossRef]
- Sasaki, H.; Ochiai, N.; Iga, Y. Numerical analysis of damping effect of liquid film on material in high-speed liquid droplet impingement. Int. J. Fluid Mach. Syst. 2016, 9, 57–65. [Google Scholar] [CrossRef]
- Sasaki, H.; Ochiai, N.; Iga, Y. Numerical study of high-speed liquid droplet impingement phenomenon by fluid/material coupled numerical method. Jpn. J. Multiph. Flow 2016, 30, 65–74. (In Japanese) [Google Scholar] [CrossRef][Green Version]
- Fujisawa, K.; Yamagata, T.; Fujisawa, N. Liquid droplet impingement erosion on groove roughness. Nucl. Eng. Des. 2018, 330, 368–376. [Google Scholar] [CrossRef]
- Fujisawa, K.; Ohki, M.; Fujisawa, N. Influence of surface roughness on liquid droplet impingement erosion. Wear 2019, 432–433, 202955. [Google Scholar] [CrossRef]
- Fujisawa, N. Liquid droplet impingement erosion on multiple grooves. Wear 2020, 462, 203513. [Google Scholar] [CrossRef]
- Amirzadeh, B.; Louhghalam, A.; Raessi, M.; Tootkaboni, M. A computational framework for the analysis of rain-induced erosion in wind turbine blades, part I: Stochastic rain texture model and drop impact simulations. J. Wind Eng. Ind. Aerody. 2017, 163, 33–43. [Google Scholar] [CrossRef]
- Fujisawa, N.; Kawabata, H.; Tanaka, M. Observing the impact force and low-speed droplet behavior of wet surfaces with very-thin liquid films. Exp. Therm. Fluid Sci. 2023, 144, 110836. [Google Scholar] [CrossRef]
- Leshev, I.; Peev, G. Film flow on a horizontal rotating disk. Chem. Eng. Process. 2003, 42, 925–929. [Google Scholar] [CrossRef]
- Fujisawa, N.; Aihara, A. Rain erosion mechanism on a leading-edge half cylinder. Wear 2023, 532–533, 205103. [Google Scholar] [CrossRef]
- Yu, Y.; Hopkins, C. Experimental determination of forces applied by liquid water drops at high drop velocities impacting a glass plate with and without a shallow water layer using wavelet deconvolution. Exp. Fluids 2018, 259, 84. [Google Scholar] [CrossRef]












Disclaimer/Publisher’s Note: The statements, opinions and data contained in all publications are solely those of the individual author(s) and contributor(s) and not of MDPI and/or the editor(s). MDPI and/or the editor(s) disclaim responsibility for any injury to people or property resulting from any ideas, methods, instructions or products referred to in the content. |
© 2024 by the authors. Licensee MDPI, Basel, Switzerland. This article is an open access article distributed under the terms and conditions of the Creative Commons Attribution (CC BY) license (https://creativecommons.org/licenses/by/4.0/).
Share and Cite
Fujisawa, N.; Kawabata, H. Numerical Study on the Impact Pressure of Droplets on Wind Turbine Blades Using a Whirling Arm Rain Erosion Tester. Fluids 2024, 9, 160. https://doi.org/10.3390/fluids9070160
Fujisawa N, Kawabata H. Numerical Study on the Impact Pressure of Droplets on Wind Turbine Blades Using a Whirling Arm Rain Erosion Tester. Fluids. 2024; 9(7):160. https://doi.org/10.3390/fluids9070160
Chicago/Turabian StyleFujisawa, Nobuyuki, and Hirokazu Kawabata. 2024. "Numerical Study on the Impact Pressure of Droplets on Wind Turbine Blades Using a Whirling Arm Rain Erosion Tester" Fluids 9, no. 7: 160. https://doi.org/10.3390/fluids9070160
APA StyleFujisawa, N., & Kawabata, H. (2024). Numerical Study on the Impact Pressure of Droplets on Wind Turbine Blades Using a Whirling Arm Rain Erosion Tester. Fluids, 9(7), 160. https://doi.org/10.3390/fluids9070160

