Active Displacement of a Unique Diatom–Ciliate Symbiotic Association
Abstract
1. Introduction
2. Materials and Methods
2.1. Sampling
2.2. Optical Setup
2.3. Experimental Procedures and Data Acquisition
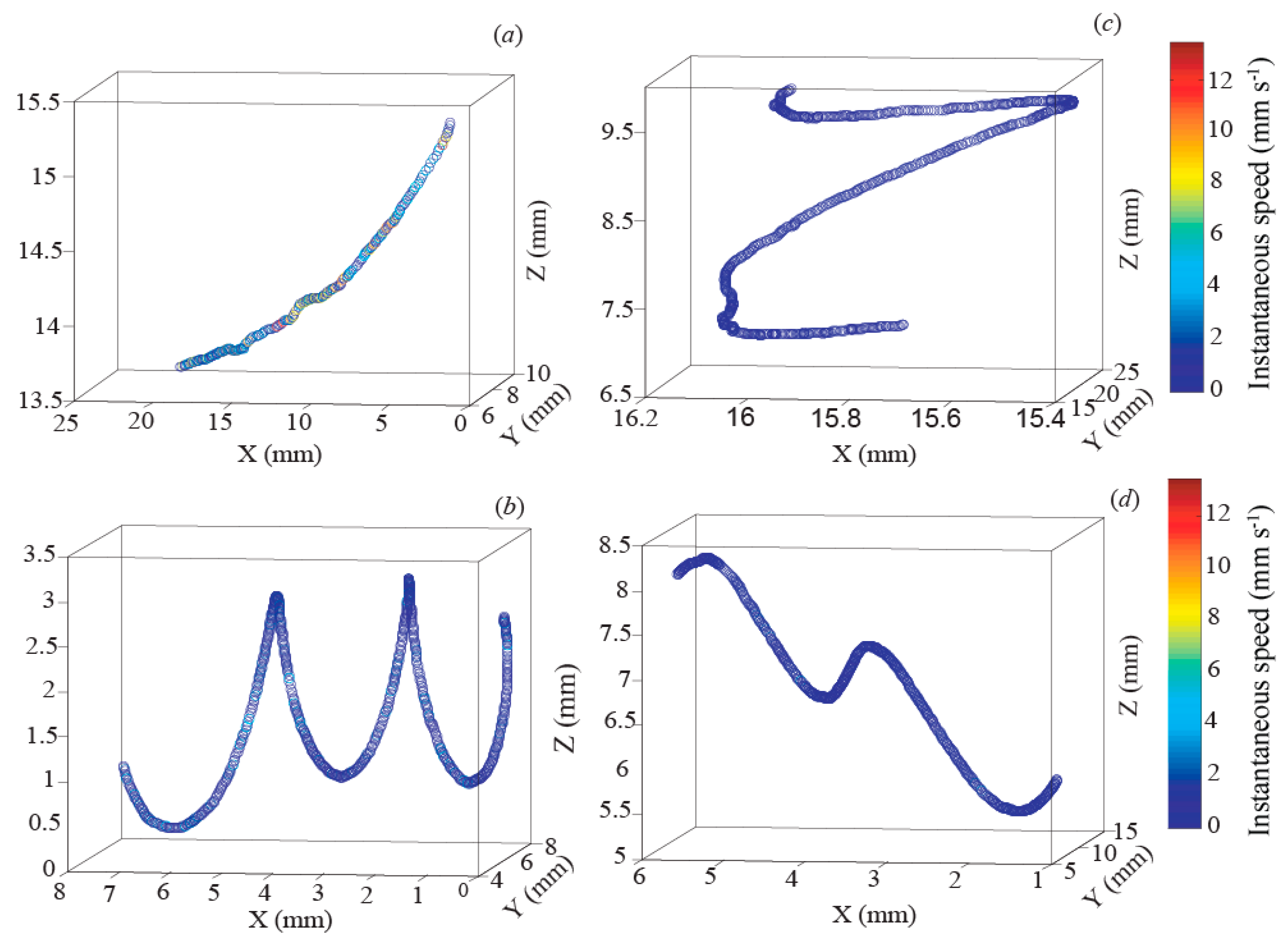
2.4. Trajectories Portrayal: Features, Behavioral States, and Statistical Analyses
2.5. Simulation Model
3. Results
3.1. Displacement Speed, Sinuosity, Cluster, and Symbolic Analysis in the Absence of Food
3.2. Displacement Speed, Sinuosity, Cluster, and Symbolic Analysis at Different Food Concentrations
3.3. Displacement Behavior in the Layered Environment
3.4. Simulation Comparisons
4. Discussion
Supplementary Materials
Author Contributions
Funding
Data Availability Statement
Acknowledgments
Conflicts of Interest
References
- Nathan, R.; Getz, W.M.; Revilla, E.; Holyoak, M.; Kadmon, R.; Saltz, D.; Smouse, P.E. A Movement Ecology Paradigm for Unifying Organismal Movement Research. Proc. Natl. Acad. Sci. USA 2008, 105, 19052–19059. [Google Scholar] [CrossRef] [PubMed]
- Crenshaw, H.C. A New Look at Locomotion in Microorganisms: Rotating and Translating. Am. Zool. 1996, 36, 608–618. [Google Scholar] [CrossRef]
- Bianco, G.; Mariani, P.; Visser, A.W.; Mazzocchi, M.G.; Pigolotti, S. Analysis of Self-Overlap Reveals Trade-Offs in Plankton Swimming Trajectories. J. R. Soc. Interface 2014, 11, 20140164. [Google Scholar] [CrossRef]
- Bowman, K. Movement Matters: Essays On: Movement Science, Movement Ecology and the Nature of Movement; Uphill Books: Olympic Peninsula, WA, USA, 2016; ISBN 978-1-943370-03-0. [Google Scholar]
- Viswanathan, G.M.; da Luz, M.G.E.; Raposo, E.P.; Stanley, H.E. The Physics of Foraging: An Introduction to Random Searches and Biological Encounters; Cambridge University Press: Cambridge, UK, 2011; ISBN 978-1-139-49755-8. [Google Scholar]
- Wosniack, M.E.; Santos, M.C.; Pie, M.R.; Marques, M.C.M.; Raposo, E.P.; Viswanathan, G.M.; da Luz, M.G.E. Unveiling a Mechanism for Species Decline in Fragmented Habitats: Fragmentation Induced Reduction in Encounter Rates. J. R. Soc. Interface 2014, 11, 20130887. [Google Scholar] [CrossRef] [PubMed]
- Wosniack, M.E.; Santos, M.C.; Raposo, E.P.; Viswanathan, G.M.; Luz, M.G.E. da The Evolutionary Origins of Lévy Walk Foraging. PLoS Comput. Biol. 2017, 13, e1005774. [Google Scholar] [CrossRef] [PubMed]
- Leigh, E.G., Jr. The Evolution of Mutualism. J. Evol. Biol. 2010, 23, 2507–2528. [Google Scholar] [CrossRef]
- Valdovinos, F.S. Mutualistic Networks: Moving Closer to a Predictive Theory. Ecol. Lett. 2019, 22, 1517–1534. [Google Scholar] [CrossRef]
- Veit, R.R.; Harrison, N.M. Positive Interactions among Foraging Seabirds, Marine Mammals and Fishes and Implications for Their Conservation. Front. Ecol. Evol. 2017, 5. [Google Scholar] [CrossRef]
- Orr, M.R.; Nelson, J.D.; Watson, J.W. Heterospecific Information Supports a Foraging Mutualism between Corvids and Raptors. Anim. Behav. 2019, 153, 105–113. [Google Scholar] [CrossRef]
- Baigrie, B.D.; Thompson, A.M.; Flower, T.P. Interspecific Signalling between Mutualists: Food-Thieving Drongos Use a Cooperative Sentinel Call to Manipulate Foraging Partners. Proc. R. Soc. B Biol. Sci. 2014, 281, 20141232. [Google Scholar] [CrossRef] [PubMed]
- Stahler, D.; Heinrich, B.; Smith, D. Common Ravens, Corvus corax, Preferentially Associate with Grey Wolves, Canis lupus, as a Foraging Strategy in Winter. Anim. Behav. 2002, 64, 283–290. [Google Scholar] [CrossRef]
- Middlebrooks, M.L.; Pierce, S.K.; Bell, S.S. Foraging Behavior under Starvation Conditions Is Altered via Photosynthesis by the Marine Gastropod, Elysia clarki. PLoS ONE 2011, 6, e22162. [Google Scholar] [CrossRef] [PubMed]
- Clutton-Brock, T. Cooperation between Non-Kin in Animal Societies. Nature 2009, 462, 51–57. [Google Scholar] [CrossRef]
- Kushlan, J.A. Commensalism in the Little Blue Heron. Auk 1978, 95, 677–681. [Google Scholar] [CrossRef]
- Assaneo, F.; Coutinho, R.M.; Lin, Y.; Mantilla, C.; Lutscher, F. Dynamics and Coexistence in a System with Intraguild Mutualism. Ecol. Complex. 2013, 14, 64–74. [Google Scholar] [CrossRef]
- Santos, M.C.; Raposo, E.P.; Viswanathan, G.M.; Luz, M.G.E. da Can Collective Searches Profit from Lévy Walk Strategies? J. Phys. A Math. Theor. 2009, 42, 434017. [Google Scholar] [CrossRef]
- Amarasekare, P. Spatial Dynamics of Mutualistic Interactions. J. Anim. Ecol. 2004, 73, 128–142. [Google Scholar] [CrossRef]
- Sequeira, A.M.M.; Rodríguez, J.P.; Eguíluz, V.M.; Harcourt, R.; Hindell, M.; Sims, D.W.; Duarte, C.M.; Costa, D.P.; Fernández-Gracia, J.; Ferreira, L.C.; et al. Convergence of Marine Megafauna Movement Patterns in Coastal and Open Oceans. Proc. Natl. Acad. Sci. USA 2018, 115, 3072–3077. [Google Scholar] [CrossRef]
- Hernández-Becerril, D.U. The Morphology and Taxonomy of the Planktonic Diatom Chaetoceros coarctatus Lauder (Bacillariophyceae). Diatom Res. 1991, 6, 281–287. [Google Scholar] [CrossRef]
- Bosak, S.; Sarno, D. The Planktonic Diatom Genus Chaetoceros Ehrenberg (Bacillariophyta) from the Adriatic Sea. Phytotaxa 2017, 314, 1–44. [Google Scholar] [CrossRef]
- Ryu, S.; Pepper, R.E.; Nagai, M.; France, D.C. Vorticella: A Protozoan for Bio-Inspired Engineering. Micromachines 2016, 8, 4. [Google Scholar] [CrossRef]
- Moriyama, Y.; Hiyama, S.; Asai, H. High-Speed Video Cinematographic Demonstration of Stalk and Zooid Contraction of Vorticella convallaria. Biophys. J. 1998, 74, 487–491. [Google Scholar] [CrossRef] [PubMed]
- Nagasawa, S.; Warren, A. Redescription of Vorticella oceanica Zacharias, 1906 (Ciliophora: Peritrichia) with Notes on Its Host, the Marine Planktonic Diatom Chaetoceros coarctatum Lauder, 1864. Hydrobiologia 1996, 337, 27–36. [Google Scholar] [CrossRef]
- Zacharias, O. Über Periodizität, Variation Und Verbreitung Verschiedener Planktonwesen in Südlichen Meeren. Arch. Hydrobiol. 1906, 1, 498–575. [Google Scholar]
- Cupp, E.E. Marine Plankton Diatoms of the West Coast of North America; University of California Press: Berkeley, CA, USA, 1943. [Google Scholar]
- Hallegraeff, G.; Jeffrey, S. Tropical Phytoplankton Species and Pigments of Continental Shelf Waters of North and North-West Australia. Mar. Ecol. Prog. Ser. 1984, 20, 59–74. [Google Scholar] [CrossRef]
- Sahu, G.; Mohanty, A.K.; Panigrahi, S.; Satpathy, K.K. First Record of Association of Planktonic Diatom Chaetoceros coarctatus Lauder, 1864 with a Peritrich Ciliate Epibiont Vorticella Oceanica Zacharias, 1906 (Ciliophora: Peritricha) from the Indian Ocean Region. IJMS Vol.46(09) [September 2017]. 2017. Available online: http://nopr.niscpr.res.in/handle/123456789/42605 (accessed on 26 March 2024).
- Gómez, F.; Wang, L.; Lin, S. Morphology and Molecular Phylogeny of Peritrich Ciliate Epibionts on Pelagic Diatoms: Vorticella oceanica and Pseudovorticella coscinodisci sp. nov. (Ciliophora, Peritrichia). Protist 2018, 169, 268–279. [Google Scholar] [CrossRef] [PubMed]
- Buskey, E.J.; Stoecker, D.K. Behavioral Responses of the Marine Tintinnid Favella sp. to Phytoplankton: Influence of Chemical, Mechanical and Photic Stimuli. J. Exp. Mar. Biol. Ecol. 1989, 132, 1–16. [Google Scholar] [CrossRef]
- Buskey, E.J.; Coulter, C.; Strom, S. Locomotory Patterns of Microzooplankton: Potential Effects on Food Selectivity of Larval Fish. Bull. Mar. Sci. 1993, 53, 29–43. [Google Scholar]
- Vandromme, P.; Schmitt, F.G.; Souissi, S.; Buskey, E.J.; Strickler, J.R.; Wu, C.-H.; Hwang, J.-S. Symbolic Analysis of Plankton Swimming Trajectories: Case Study of Strobilidium sp. (Protista) Helical Walking under Various Food Conditions. Zool. Stud. 2010, 49, 289–303. [Google Scholar]
- Nagai, M.; Oishi, M.; Oshima, M.; Asai, H.; Fujita, H. Three-Dimensional Two-Component Velocity Measurement of the Flow Field Induced by the Vorticella picta Microorganism Using a Confocal Microparticle Image Velocimetry Technique. Biomicrofluidics 2009, 3, 014105. [Google Scholar] [CrossRef] [PubMed]
- Zhou, J.; Ryu, S.; Admiraal, D. Flow and Transport Effect Caused by the Stalk Contraction Cycle of Vorticella convallaria. Biomicrofluidics 2017, 11, 034119. [Google Scholar] [CrossRef] [PubMed]
- Peñalva-Arana, D.C.; Moore, P.A.; Feinberg, B.A.; DeWall, J.; Strickler, J.R. Studying Daphnia Feeding Behavior as a Black Box: A Novel Electrochemical Approach. Hydrobiologia 2007, 594, 153–163. [Google Scholar] [CrossRef]
- Suwaki, C.H.; De-La-Cruz, L.T.; Lopes, R.M. Impacts of Microplastics on the Swimming Behavior of the Copepod Temora turbinata (Dana, 1849). Fluids 2020, 5, 103. [Google Scholar] [CrossRef]
- Almeida, P.J.A.L.; Vieira, M.V.; Kajin, M.; Forero-Medina, G.; Cerqueira, R. Indices of Movement Behaviour: Conceptual Background, Effects of Scale and Location Errors. Zool. (Curitiba) 2010, 27, 674–680. [Google Scholar] [CrossRef]
- Visser, A.W.; Kiørboe, T. Plankton Motility Patterns and Encounter Rates. Oecologia 2006, 148, 538–546. [Google Scholar] [CrossRef]
- Lasley-Rasher, R.S.; Nagel, K.; Angra, A.; Yen, J. Intoxicated Copepods: Ingesting Toxic Phytoplankton Leads to Risky Behaviour. Proc. R. Soc. B Biol. Sci. 2016, 283, 20160176. [Google Scholar] [CrossRef]
- Chen, B.; Tai, P.C.; Harrison, R.; Pan, Y. Novel Hybrid Hierarchical-K-Means Clustering Method (H-K-Means) for Microarray Analysis. In Proceedings of the 2005 IEEE Computational Systems Bioinformatics Conference-Workshops (CSBW’05), Stanford, CA, USA, 8–11 August 2005; pp. 105–108. [Google Scholar]
- Rousseeuw, P.J. Silhouettes: A Graphical Aid to the Interpretation and Validation of Cluster Analysis. J. Comput. Appl. Math. 1987, 20, 53–65. [Google Scholar] [CrossRef]
- Thorndike, R.L. Who Belongs in the Family? Psychometrika 1953, 18, 267–276. [Google Scholar] [CrossRef]
- Ebeling, W.; Nicolis, G. Word Frequency and Entropy of Symbolic Sequences: A Dynamical Perspective. Chaos Solitons Fractals 1992, 2, 635–650. [Google Scholar] [CrossRef]
- Guttorp, P. Stochastic Modeling of Scientific Data; Chapman and Hall/CRC: New York, NY, USA, 1995; ISBN 978-0-203-73825-2. [Google Scholar]
- Vegetabile, B.G.; Stout-Oswald, S.A.; Davis, E.P.; Baram, T.Z.; Stern, H.S. Estimating the Entropy Rate of Finite Markov Chains With Application to Behavior Studies. J. Educ. Behav. Stat. 2019, 44, 282–308. [Google Scholar] [CrossRef]
- Shapiro, S.S.; Wilk, M.B. An Analysis of Variance Test for Normality (Complete Samples)†. Biometrika 1965, 52, 591–611. [Google Scholar] [CrossRef]
- Kruskal, W.H.; Wallis, W.A. Use of Ranks in One-Criterion Variance Analysis. J. Am. Stat. Assoc. 1952, 47, 583–621. [Google Scholar] [CrossRef]
- Dunn, O.J. Multiple Comparisons among Means. J. Am. Stat. Assoc. 1961, 56, 52–64. [Google Scholar] [CrossRef]
- Dunn, D.A. Test: Dunn’s Test of Multiple Comparisons Using Rank Sums; R Package Version 1; R Foundation for Statistical Computing: Vienna, Austria, 2015. [Google Scholar]
- Wilcoxon, F. Individual Comparisons by Ranking Methods. Biom. Bull. 1945, 1, 80–83. [Google Scholar] [CrossRef]
- Signorell, A.; Aho, K.; Alfons, A.; Anderegg, N.; Aragon, T.; Arppe, A. DescTools: Tools for Descriptive Statistics; R Package Version 0.99.28; R Foundation for Statistical Computing: Vienna, Austria, 2019. [Google Scholar]
- Hinkle, D.E.; Wiersma; Jurs, S.G. Applied Statistics for the Behavioral Sciences|Wageningen University and Research Library Catalog. Available online: https://library.wur.nl/WebQuery/titel/1944963 (accessed on 6 April 2024).
- McNemar, Q. Note on the Sampling Error of the Difference between Correlated Proportions or Percentages. Psychometrika 1947, 12, 153–157. [Google Scholar] [CrossRef]
- Maddock, L.; Bone, Q.; Rayner, J.M.V. (Eds.) The Mechanics and Physiology of Animal Swimming; Cambridge University Press: Cambridge, UK, 1994; ISBN 978-0-521-06495-8. [Google Scholar]
- Gómez, F. Symbioses of Ciliates (Ciliophora) and Diatoms (Bacillariophyceae): Taxonomy and Host–Symbiont Interactions. Oceans 2020, 1, 133–155. [Google Scholar] [CrossRef]
- Kanso, E.A.; Lopes, R.M.; Strickler, J.R.; Dabiri, J.O.; Costello, J.H. Teamwork in the Viscous Oceanic Microscale. Proc. Natl. Acad. Sci. USA 2021, 118, e2018193118. [Google Scholar] [CrossRef] [PubMed]
- Yamaguchi, T.; Ishikawa, T.; Imai, Y. (Eds.) Swimming Microorganisms. In Integrated Nano-Biomechanics; Micro and Nano Technologies; Elsevier: Boston, MA, USA, 2018; pp. 175–216. ISBN 978-0-323-38944-0. [Google Scholar]
- Schmitt, F.G.; Seuront, L.; Hwang, J.-S.; Souissi, S.; Tseng, L.-C. Scaling of Swimming Sequences in Copepod Behavior: Data Analysis and Simulation. Phys. A Stat. Mech. Its Appl. 2006, 364, 287–296. [Google Scholar] [CrossRef]
- Bartumeus, F.; Peters, F.; Pueyo, S.; Marrasé, C.; Catalan, J. Helical Lévy Walks: Adjusting Searching Statistics to Resource Availability in Microzooplankton. Proc. Natl. Acad. Sci. USA 2003, 100, 12771–12775. [Google Scholar] [CrossRef]
- Vater, S.M.; Weiße, S.; Maleschlijski, S.; Lotz, C.; Koschitzki, F.; Schwartz, T.; Obst, U.; Rosenhahn, A. Swimming Behavior of Pseudomonas aeruginosa Studied by Holographic 3D Tracking. PLoS ONE 2014, 9, e87765. [Google Scholar] [CrossRef] [PubMed]
- Fenchel, T. Ecology of Protozoa; Brock/Springer Series in Contemporary Bioscience; Springer: Berlin, Heidelberg, 1987; ISBN 978-3-662-06819-9. [Google Scholar]
- Su, T.-W.; Xue, L.; Ozcan, A. High-Throughput Lensfree 3D Tracking of Human Sperms Reveals Rare Statistics of Helical Trajectories. Proc. Natl. Acad. Sci. USA 2012, 109, 16018–16022. [Google Scholar] [CrossRef] [PubMed]
- First, M.; Hollibaugh, J. The Model High Molecular Weight DOC Compound, Dextran, Is Ingested by the Benthic Ciliate Uronema marinum but Does Not Supplement Ciliate Growth. Aquat. Microb. Ecol. 2009, 57, 79–87. [Google Scholar] [CrossRef][Green Version]
- Boakes, D.E.; Codling, E.A.; Thorn, G.J.; Steinke, M. Analysis and Modelling of Swimming Behaviour in Oxyrrhis marina. J. Plankton Res. 2011, 33, 641–649. [Google Scholar] [CrossRef]
- Taylor, F. Symbioses in Marine Microplankton. Ann. De L’Institut Oceanogr. 1982, 58, 61–90. [Google Scholar]
- Kimor, B.; Gordon, N.; Neori, A. Symbiotic Associations among the Microplankton in Oligotrophic Marine Environments, with Special Reference to the Gulf of Aqaba, Red Sea. J. Plankton Res. 1992, 14, 1217–1231. [Google Scholar] [CrossRef]
- Pettigrosso, R.E.; Popovich, C.A. Phytoplankton-Aloricate Ciliate Community in the Bahía Blanca Estuary (Argentina): Seasonal Patterns and Trophic Groups. Braz. J. Ocean. 2009, 57, 215–227. [Google Scholar] [CrossRef]
- Echevarria, M.L.; Wolfe, G.V.; Strom, S.L.; Taylor, A.R. Connecting Alveolate Cell Biology with Trophic Ecology in the Marine Plankton Using the Ciliate Favella as a Model. FEMS Microbiol. Ecol. 2014, 90, 18–38. [Google Scholar] [CrossRef]
- Lamersdorf, N.P.; Meyer, M. Nutrient Cycling and Acidification of a Northwest German Forest Site with High Atmospheric Nitrogen Deposition. For. Ecol. Manag. 1993, 62, 323–354. [Google Scholar] [CrossRef]
- Buhse, H.E.; McCutcheon, S.M.; Clamp, J.C.; Sun, P. Vorticella. In Encyclopedia of Life Sciences; John Wiley & Sons, Ltd.: Hoboken, NJ, USA, 2011; ISBN 978-0-470-01590-2. [Google Scholar]
- Gemmell, B.J.; Oh, G.; Buskey, E.J.; Villareal, T.A. Dynamic Sinking Behaviour in Marine Phytoplankton: Rapid Changes in Buoyancy May Aid in Nutrient Uptake. Proc. R. Soc. B Biol. Sci. 2016, 283, 20161126. [Google Scholar] [CrossRef]
- Kessler, J.O. Hydrodynamic Focusing of Motile Algal Cells. Nature 1985, 313, 218–220. [Google Scholar] [CrossRef]
- Gurarie, E.; Grünbaum, D.; Nishizaki, M.T. Estimating 3D Movements from 2D Observations Using a Continuous Model of Helical Swimming. Bull. Math. Biol. 2010, 73, 1358–1377. [Google Scholar] [CrossRef] [PubMed]
- Andersen, A.; Kiørboe, T. The Effect of Tethering on the Clearance Rate of Suspension-Feeding Plankton. Proc. Natl. Acad. Sci. USA 2020, 117, 30101–30103. [Google Scholar] [CrossRef] [PubMed]
- Sarmento, H.; Gasol, J.M. Use of Phytoplankton-Derived Dissolved Organic Carbon by Different Types of Bacterioplankton. Environ. Microbiol. 2012, 14, 2348–2360. [Google Scholar] [CrossRef] [PubMed]
- Vincent, F.J.; Colin, S.; Romac, S.; Scalco, E.; Bittner, L.; Garcia, Y.; Lopes, R.M.; Dolan, J.R.; Zingone, A.; de Vargas, C.; et al. The Epibiotic Life of the Cosmopolitan Diatom Fragilariopsis doliolus on Heterotrophic Ciliates in the Open Ocean. ISME J. 2018, 12, 1094–1108. [Google Scholar] [CrossRef]
- Gómez, F. On the Consortium of the Tintinnid Eutintinnus and the Diatom Chaetoceros in the Pacific Ocean. Mar. Biol. 2007, 151, 1899–1906. [Google Scholar] [CrossRef]
- Larsen, P.S.; Riisgård, H.U. Viscosity and Not Biological Mechanisms Often Controls the Effects of Temperature on Ciliary Activity and Swimming Velocity of Small Aquatic Organisms. J. Exp. Mar. Biol. Ecol. 2009, 381, 67–73. [Google Scholar] [CrossRef]
- Lim, A.S.; Jeong, H.J.; Jang, T.Y.; Jang, S.H.; Franks, P.J.S. Inhibition of Growth Rate and Swimming Speed of the Harmful Dinoflagellate Cochlodinium polykrikoides by Diatoms: Implications for Red Tide Formation. Harmful Algae 2014, 37, 53–61. [Google Scholar] [CrossRef]
- Lee, S.D.; Lee, J.H. Morphology and Taxonomy of the Planktonic Diatom Chaetoceros Species (Bacillariophyceae) with Special Intercalary Setae in Korean Coastal Waters. Algae 2011, 26, 153–165. [Google Scholar] [CrossRef]
- Moison, M.; Schmitt, F.G.; Souissi, S.; Seuront, L.; Hwang, J.-S. Symbolic Dynamics and Entropies of Copepod Behaviour under Non-Turbulent and Turbulent Conditions. J. Mar. Syst. 2009, 77, 388–396. [Google Scholar] [CrossRef]
- Obertegger, U.; Cieplinski, A.; Raatz, M.; Colangeli, P. Switching between Swimming States in Rotifers—Case Study Keratella cochlearis. Mar. Freshw. Behav. Physiol. 2018, 51, 159–173. [Google Scholar] [CrossRef]
- Spedicato, G.A.; Kang, T.S.; Yalamanchi, S.B.; Yadav, D.; Cordón, I. The Markovchain Package: A Package for Easily Handling Discrete Markov Chains in R. 2016. Available online: https://mirror.las.iastate.edu/CRAN/web/packages/markovchain/vignettes/an_introduction_to_markovchain_package.pdf (accessed on 19 November 2024).
- Anderson, T.W.; Goodman, L.A. Statistical Inference about Markov Chains. Ann. Math. Stat. 1957, 28, 89–110. [Google Scholar] [CrossRef]
- Moison, M.; Schmitt, F.G.; Souissi, S. Effect of Temperature on Temora longicornis Swimming Behaviour: Illustration of Seasonal Effects in a Temperate Ecosystem. Aquat. Biol. 2012, 16, 149–162. [Google Scholar] [CrossRef][Green Version]
- Davis, E.P.; Stout, S.A.; Molet, J.; Vegetabile, B.; Glynn, L.M.; Sandman, C.A.; Heins, K.; Stern, H.; Baram, T.Z. Exposure to Unpredictable Maternal Sensory Signals Influences Cognitive Development across Species. Proc. Natl. Acad. Sci. USA 2017, 114, 10390–10395. [Google Scholar] [CrossRef] [PubMed]
- Polin, M.; Tuval, I.; Drescher, K.; Gollub, J.P.; Goldstein, R.E. Chlamydomonas Swims with Two “Gears” in a Eukaryotic Version of Run-and-Tumble Locomotion. Science 2009, 325, 487–490. [Google Scholar] [CrossRef] [PubMed]
- Chen, M.-R.; Hwang, J.-S. The Swimming Behavior of the Calanoid Copepod Calanus Sinicus Under Different Food Concen-trations. Zool. Stud. 2018, 57, e13. [Google Scholar] [CrossRef]






| 3D | 2D xy | 2D xz | 2D yz | |
|---|---|---|---|---|
| Speed mm/s | 0.45 ± 0.31 | 0.32 ± 0.24 | 0.35 ± 0.30 | 0.36 ± 0.31 |
| NGDR | 0.90 ± 0.17 | 0.85 ± 0.31 | 0.88 ± 0.22 | 0.95 ± 0.17 |
| CR state | 70% | 52% | 67% | 74% |
| HL state | 19% | 24% | 24% | 14% |
| FR state | 11% | 24% | 09% | 12% |
| Entropy rate, H | 1.00 | 1.28 | 1.04 | 0.94 |
| No Food | Low | Medium | High | |
|---|---|---|---|---|
| CR state | 67% | 58% | 82% | 83% |
| HL state | 24% | 42% | 18% | 17% |
| FR state | 09% | − | − | − |
| Entropy rate, H | 1.04 | 1.28 | 0.68 | 0.66 |
Disclaimer/Publisher’s Note: The statements, opinions and data contained in all publications are solely those of the individual author(s) and contributor(s) and not of MDPI and/or the editor(s). MDPI and/or the editor(s) disclaim responsibility for any injury to people or property resulting from any ideas, methods, instructions or products referred to in the content. |
© 2024 by the authors. Licensee MDPI, Basel, Switzerland. This article is an open access article distributed under the terms and conditions of the Creative Commons Attribution (CC BY) license (https://creativecommons.org/licenses/by/4.0/).
Share and Cite
Garcia, Y.; Neves, F.M.; Rusch, F.R.; De La Cruz, L.T.; Wosniack, M.E.; Strickler, J.R.; da Luz, M.G.E.; Lopes, R.M. Active Displacement of a Unique Diatom–Ciliate Symbiotic Association. Fluids 2024, 9, 283. https://doi.org/10.3390/fluids9120283
Garcia Y, Neves FM, Rusch FR, De La Cruz LT, Wosniack ME, Strickler JR, da Luz MGE, Lopes RM. Active Displacement of a Unique Diatom–Ciliate Symbiotic Association. Fluids. 2024; 9(12):283. https://doi.org/10.3390/fluids9120283
Chicago/Turabian StyleGarcia, Yonara, Felipe M. Neves, Flavio R. Rusch, Leandro T. De La Cruz, Marina E. Wosniack, J. Rudi Strickler, Marcos G. E. da Luz, and Rubens M. Lopes. 2024. "Active Displacement of a Unique Diatom–Ciliate Symbiotic Association" Fluids 9, no. 12: 283. https://doi.org/10.3390/fluids9120283
APA StyleGarcia, Y., Neves, F. M., Rusch, F. R., De La Cruz, L. T., Wosniack, M. E., Strickler, J. R., da Luz, M. G. E., & Lopes, R. M. (2024). Active Displacement of a Unique Diatom–Ciliate Symbiotic Association. Fluids, 9(12), 283. https://doi.org/10.3390/fluids9120283

