Abstract
The mean dissipation rate of turbulent energy reaches a constant value at high Taylor–Reynolds numbers (). This value is associated with the well-scaling dissipation spectrum in Kolmogorov units, where the maximum corresponds to the bottleneck peak. Even the scalar dissipation rate at the high considered in the present direct numerical simulations attains a constant value as increases. In this scenario, the maximum of the scalar dissipation spectra reaches its peak within the bottleneck, starting at . A qualitative explanation for the formation of the two bottlenecks is related to the blockage of energy transfer from large to small scales in the inertial ranges. Within the bottleneck, the self-similar, ribbon-like structures transition into the rod-like structures characteristic of the exponential decay range. Investigating the viscous dependence of the bottleneck’s amplitude may be aided by examining the evolution of a passive scalar. As decreases, the scalar spectra undergo changes across the wave number k range. The bottleneck is dismantled, and at very low values, the spectrum tends towards Batchelor’s theoretical prediction, diminishing proportionally to . To comprehend the flow structures responsible for the bottleneck, visualizations of and probability density functions at various values are presented and compared with those of . The numerical method employed for generating three-dimensional spectra and quantities such as energy and scalar variance dissipation in physical space must be accurate, particularly in resolving small scales. This paper additionally demonstrates that the second-order finite difference scheme conserving kinetic energy and scalar variance in the inviscid limit in viscous simulations accurately predicts the exponential decay range in one-dimensional and three-dimensional turbulent kinetic energy and scalar variance spectra.
1. Introduction
In a previous work by Orlandi and Pirozzoli [1], direct numerical simulations (DNS) of forced isotropic turbulence at a relatively high Taylor–Reynolds number, driving passive scalars at various values of , were performed. This study follows the trend of previous simulations by Bogucki et al. [2], Wang et al. [3], Watanabe and Gotoh [4], Donzis et al. [5], Donzis et al. [6], and experiments by Dillon and Caldwell [7], and Oakey [8] that focused on values of . In Orlandi and Pirozzoli [1], the DNS results reported the formation of a spectrum range starting from , with its width increasing with the number. This result was also predicted by Gibson [9], suggesting that the occurrence of the range does not need , based on the Batchelor [10] arguments. The other limit of scalar spectra for , arising from the theory of Batchelor et al. [11] and Gibson [9] leads to scalar spectra with a wide range of . All the ranges of Schmidt numbers have been investigated by DNS, whose exhaustive list is reported by Sreenivasan [12]. To better understand the formation of these ranges, it is worth analyzing the normalized scalar dissipation spectra (Bogucki et al. [2]). At high and intermediate values of the maximum of scalar dissipation does not depend on , with the peak at a normalized wave number equal to , consistent with the oceanic data by Oakey [8]. In previous studies was not investigated at which value of the collapse of the spectra ended, and this is one of the goals of the present research. The interest of the physics of passive scalar at was less investigated due to few real applications that those at . The theoretical Batchelor’s prediction was confirmed by the DNS of Yeung and Sreenivasan [13]. At the analysis of mixing is relevant in oceanography, in combustion and in many industrial applications. The conditions are of interest, for instance, to have directions how to take into account the distortion of rays by the atmospheric turbulence on modern astronomical observations. In high speed flows in several conditions the mixing occurs in conditions. In the present paper the DNS at are used to understand how the spectra change with respect to the , in particular in the range of wave numbers before the peak of the scalar dissipation spectra.
The DNS results of Orlandi and Pirozzoli [1], focusing briefly on the differences between the bottleneck that occurs in the three-dimensional and one-dimensional energy and scalar spectra, support the conclusion of Dobler et al. [14], who argued that a strong bottleneck is observed only in numerical simulations in which three-dimensional spectra can be evaluated directly. In contrast, experimental spectra are generally derived from frequency spectra using the Taylor hypothesis, which explains why a clear spectral bottleneck is not deeply investigated. Orlandi and Pirozzoli [1] also observed that at the amplitude of the bottleneck of the scalar spectra is larger than that of the energy spectra. The analysis was performed by evaluating quantities aligned with the principal axes of the strain field. The study shows that the enstrophy is primarily influenced by the vorticity, which is aligned with the intermediate principal strain axis, while the scalar gradient is mainly controlled by the compressive strain. This suggests that compressive strain plays a crucial role in determining the presence of the region in the scalar spectra within the bottleneck, supporting the absence of a region in the energy spectrum dominated by the vorticity structures aligned with the intermediate strain. In this work, we further our understanding of the complex physics by examining flow visualizations of and at different Schmidt (Sc) numbers, where is the Péclet number. These two quantities, representing the rate of change in kinetic energy and scalar variance, can be locally positive or negative. However, their total contribution is negative, corresponding to the rates of energy and scalar dissipation. Notably, the positive contribution of may vary with , a behavior that has been analyzed through the Probability Density Function (PDF) of its fluctuating component and through flow visualizations in a plane.
2. Numerical Setup
The momentum and continuity equations for incompressible flows are as follows:
where are the components of the velocity vector in the i directions, p is the pressure, , and are the three orthogonal space directions, and is the external forcing to prevent decay of the turbulence kinetic energy . The passive scalar is transported by the velocity field, according to
where is introduced to prevent the decay of the passive scalar variance, /2. The numerical simulations are initiated with velocity and scalar fields with random phases, representing flows without structures but with high energy at low wave numbers and small energy at large wave numbers. The initial kinetic energy spectrum is given by the equation , with and . The reference velocity is , and the Taylor–Reynolds number (later defined) is related to the initial spectrum through
The value of is determined by assigning a value to , as well as specifying the values of . The same spectrum is used to generate the initial distribution of the passive scalar field . The velocity components and the passive scalar in physical space are obtained using the method described by Rogallo [15].
The equations subjected to periodic boundary conditions are solved in the computational domain that is a cube of side discretized by N uniform intervals. The finite difference scheme described in Orlandi [16] is summarized here. For the time integration, an implicit Crank–Nicholson scheme was used for the viscous terms, while a third-order Runge–Kutta scheme was employed for the convective terms. The staggered ordering of the velocity components by Harlow and Welch [17] effectively eliminated all odd decoupling phenomena, ensuring the discrete conservation of the total kinetic energy in the inviscid limit, as also confirmed and extended by Grammeltvedt [18]. The dimensionless temperature was placed at the same location as , which is particularly advantageous in the presence of mean stratification, since it preserves the sum of potential and kinetic energy. In the Appendix A are reported the results demonstrating the conservation properties of energy and scalar variance. To facilitate the implementation of MPI (Message Passing Interface) coding, the computational domain was divided into layers parallel to the direction.
It is important to report what has been written in Orlandi and Pirozzoli [1] about forcing, since we believe that the differences between some of the global results on energy and passive scalar dissipation rate could be attributed to the type of forcing necessary to reach a statistical equilibrium state. Various forcing methods were discussed by Eswaran and Pope [19] based on the concept that at high Reynolds numbers the dynamics of the small scales should be decoupled from the large scales. However, manipulation of the large scales can affect the rate of energy dissipation. A statistical equilibrium state is reached when the dissipation rate oscillates around a constant value over time. Without forcing, the mean square velocity at any time has a total energy component smaller than the initial energy . By selecting a threshold wave number , the energy within the range is evaluated to determine the quantity , which represents the fraction of energy lost. By modifying the components for by , the total energy can be kept constant over time. In the simulations described here, a numerical scheme in physical space is used so that three-dimensional FFT operations are used for the transition between physical and wave number space. Within the wave number space, the components are modified for . Then, an inverse three-dimensional FFT is applied to obtain the modified velocity in physical space. To save computational time, forcing is applied only during the last of the three Runge–Kutta steps used for time progress. The same forcing approach is also used in solving the passive scalar transport equation, resulting in a constant throughout the time evolution.
In contrast to the forcing scheme just described, Donzis et al. [6] used a forcing term for the scalar transport equation of the type , which mimics the action of a mean passive scalar gradient found in natural convection flows. They assumed a constant gradient . In this scenario, not only does the rate of scalar dissipation vary with time, but also the magnitude is subject to time variations. Both forcing methods described by Eswaran and Pope [19] and Donzis et al. [6] were used in Orlandi and Pirozzoli [1]. Based on the results obtained, the present DNS was performed with a forcing that keeps the total energy and the total scalar variance constant.
3. Results
3.1. Scaling
The numerical simulations were performed at various Reynolds and Schmidt numbers, with the resolution chosen so that the maximum resolved wave number is , where the superscript ∗ indicates the normalization in Kolmogorov units. The following definitions are needed to obtain this normalization from non-dimensional computational units:
These quantities have been evaluated through the three-dimensional energy and scalar variance spectra. As usual, and indicate the energy and scalar variance dissipation that are necessary to evaluate the Kolmogorov and Batchelor scales. The Taylor scale allows to obtain , usually used in isotropic turbulent flows. The energy spectra in Kolmogorov units are obtained by scaling the velocity spectra by , which is the normalization factor for the energy. Similarly, the rms velocity is normalized by . The scalar energy spectrum is scaled by , while the passive scalar rms value is normalized by .
3.2. Global Flow Parameters and Validation
The objective of Donzis et al. [5]’s work was focused on the scalar dissipation rate. Therefore, the global results they reported were given to look at the trend of dissipation as a function of . Along with their results, they have published tables by other authors, e.g., Bogucki et al. [2], Wang et al. [3], Watanabe and Gotoh [4], and several experiments cited by Donzis et al. [5] with questionable data as discussed in Donzis et al. [5] and in Wang et al. [3]. The present data are reported in Table 1 in the same format as that of the tables in Donzis et al. [5].
Table 1.
The present global data in the same format as that in the table of Donzis et al. [5], with and .
One significant difference between our simulations and the findings reported in Donzis et al. [5] is that, in our setup, both and remain constant, whereas in their simulations, variations are observed. This choice has the consequence of reducing the variation in the quantities of our primary interest, namely, and . In Table 1 of Donzis et al. [5], the global results are reported at very low and moderately high values of , limiting the comparison to their results in a range of similar to our current study. Additionally, similar to the rate of dissipation, our present integral length scales also exhibit smaller variations compared to their data. Figure 1a illustrates the variations in the normalized energy dissipation rate versus in both numerical simulations, emphasizing a constant behavior in both cases. This observation aligns with previous investigations that suggest increases with the Reynolds number, while remains constant, one of the fundamental concepts in the Kolmogorov theory. Furthermore, the behavior reported by Watanabe and Gotoh [4] indicates a constant value slightly smaller than ours, which may be attributed to differences in the forcing methodology. Another contributing factor may be related to the dealiazing procedure in the pseudospectral numerical method. As depicted in Figure 3 of Watanabe and Gotoh [4], the normalized energy dissipation spectrum at exhibited a slight rise near the cutoff wave number, implying an inadequate resolution of the smallest scales. In contrast, our current numerical method yields an exponential decay at , as it is discussed later on. Our present simulations encompass the evolution of the passive scalar over a broad range of numbers, spanning from to . It is crucial to emphasize that the highest value chosen can be viewed as a limiting threshold, as the normalized spectra do not largely change at higher values. This phenomenon was previously observed in the DNS conducted by Orlandi and Pirozzoli [1], where they observed stabilizing around starting at . At even higher numbers, this range widens, aligning with the theoretical predictions made by Batchelor [10].
Figure 1.
(a) Normalized energy dissipation rate versus ; (b) scalar dissipation rate normalized with in the inset of (b) versus ; present: red solid circle indicated by , blue open circle indicated by ; green solid circle, Watanabe and Gotoh [4], orange solid circle, Donzis et al. [5].
In Figure 1b, we depict the scalar dissipation rate normalized by as a function of the Schmidt number. Notably, differences emerge when compared to the results of Watanabe and Gotoh [4] and Donzis et al. [5]. Across all the simulations considered, different values of are evident at the same , indicating an influence of . Our present findings reveal a declining trend in the normalized scalar dissipation rate, with a high probability of reaching a constant value, approximately equal to . The ratio , despite some scattered data, decreases with increasing , as illustrated in the inset of Figure 1b.
4. Dissipation Spectra: The Exponential Decay Range
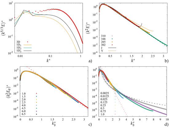
The primary objective of this study is to investigate the formation of a bottleneck which, as emphasized by Dobler et al. [14], is more pronounced in three-dimensional energy and scalar spectra. Figure 2a demonstrates, at , that in the compensated transverse one-dimensional spectra (green and black lines), the bottleneck is barely visible, and that it disappears in the longitudinal one. On the other hand, the bottleneck has a rather large amplitude in the three-dimensional spectra (red solid symbols). Figure 2b demonstrates that the amplitude and location of the bottleneck are independent of if all dissipative scales are resolved. The bottleneck forms only when the exponential decay range is reproduced, which is associated with the inhibition of energy transfer from large to small scales in the inertial range. The energy cascade in this range is driven by self-similar ribbon-like structures that transform into rod-like shapes at a viscosity-determined size within the exponential decay range. As a result, the bottleneck region scales well in Kolmogorov units.
As shown by Orlandi and Pirozzoli [1], in the dissipation spectra, the bottleneck exhibits a higher amplitude compared to the compensated energy spectra, allowing for a better sign of the dissipating flow structures. Figure 2b–d displays these spectra in semi-logarithmic plots, which are also suitable for examining the accuracy of the resolution of small scales. In Figure 2b, the black dashed line, which fits the present data, exhibits an exponential decay with a prefactor value of The one-dimensional spectra measured by Saddoughi and Veeravalli [20] in an experiment conducted at very high Reynolds numbers found an exponential decay with a value of . To investigate whether the exponential decay rate for the three-dimensional spectrum differs from that of the one-dimensional spectra, semi-logarithmic plots of the present and of the Jiménez et al. [21] compensated one- and three-dimensional spectra indicate that the one-dimensional longitudinal and transverse spectra fit well an exponential decay with a prefactor equal to in perfect agreement with Saddoughi and Veeravalli [20]. Moreover, the dissipation energy spectrum reported by Jiménez et al. [21] fits approximately with , while the results from Ishihara et al. [22] differ from both the present findings and those of Jiménez et al. [21]. This figure demonstrates that the present finite difference second-order numerical method does not introduce any numerical viscosity. Conversely, the pseudospectral method leads to an energy pile-up at the smallest scales. The dealiazing procedure may have a slight effect on the exponential decay range, as evidenced by comparing the trends of the two pseudospectral simulations.
In Figure 2c, the scalar dissipation spectra that Batchelor scaled at show a notable collapse of the results that fit an exponential decay, similar to that of the energy dissipation spectra with a value instead of . This collapse of the spectra is particularly pronounced for and indicates that the maximum is reached at approximately , consistent with the oceanic spectra measurements by Oakey [8] and the data shown in Figure 3 of Watanabe and Gotoh [4]. Conversely, the results in Figure 2d at reveal the significant impact of decreasing numbers on the exponential decay range, as well as an effect on the low which we will analyze in more detail later. This figure underscores that at , the dissipation spectrum up to fits rather well with the spectrum predicted by the Batchelor et al. [11] theory, with . Our present findings indicate a continuous trend towards this decay and a simultaneous reduction in the amplitude of the bottleneck, which we will delve into further in the next section.
Figure 2.
(a) Three- (red solid) and one-dimensional (lines) compensated energy spectra at , with yellow longitudinal and green and black transverse; (b) energy dissipation rate compared with the DNS of the Jiménez et al. [21] black line and the Ishihara et al. [22] orange line; (c) scalar dissipation rate at high ; (d) scalar dissipation rate at low ; in (b), the black dashed line is , in (c), the red dashed line is , and in (d) the black line is ; the values of are in the legend of (c,d), and the values of in the legend of (b).
Figure 2.
(a) Three- (red solid) and one-dimensional (lines) compensated energy spectra at , with yellow longitudinal and green and black transverse; (b) energy dissipation rate compared with the DNS of the Jiménez et al. [21] black line and the Ishihara et al. [22] orange line; (c) scalar dissipation rate at high ; (d) scalar dissipation rate at low ; in (b), the black dashed line is , in (c), the red dashed line is , and in (d) the black line is ; the values of are in the legend of (c,d), and the values of in the legend of (b).

5. The Bottleneck in the Energy and Scalar Variance Dissipation Spectra
The same dataset utilized to generate Figure 2 is also presented in Figure 3, where we employ the conventional log–log scales for spectral analysis. These log–log scales are typically used to examine spectra, and in the case of three-dimensional energy dissipation spectra, they help to emphasize the enstrophy-containing structures. These structures are the ones responsible for dissipating energy, contributing to the term in the turbulent energy transport equation. The same principle applies to the scalar variance transport equation, where dissipating scalar structures contribute to . These two quantities, which represent the rates of change in kinetic energy and scalar variance, can be locally positive or negative, although their total contribution is negative, corresponding to the rates of energy and scalar dissipation. Each term can be expressed for the velocity variance as and for the scalar variance as . In homogeneous isotropic flows (Pope [23] pg. 132), the first term on the right-hand side has a zero total contribution, while the second term defined as pseudo-dissipation corresponds to the usual rate of energy dissipation: , with the rate of strain tensor and the components of the vorticity vectors. For the scalar field, the second term gives the rate of scalar dissipation .
Figure 3.
Spectra of (a) energy dissipation rate compared with the DNS of Jiménez et al. [21] (black line) and that by Ishihara et al. [22] (orange line). The black dashed line is and the orange one is ; in (b) are plotted the (red) and the (green) by Ishihara et al. [22] (open circles) and for one of the present DNS (solid circles). The dotted fitting lines have values discussed in the text; (c) scalar dissipation rate at high ; (d) scalar dissipation rate at low ; in (c,d), the black solid line is ; in (c), the blue solid line is ; in (d), the black dashed line is : the values of are in the legend of Figure 2 and in the inset of (c) are plotted the (red) and the at (blue); the blue line is , the red line is , and the vertical dashed are at and at .
As the Taylor number increases, the width of the inertial range in the energy spectra also widens, as demonstrated in Figure 3a through the comparison among our spectra, those of Jiménez et al. [21] at moderate and Ishihara et al. [22] at high . Notably, in Figure 3b, the compensated energy spectra in green exhibit a flat slope in the inertial range, while the spectra in red have a slope. Ishihara et al. [22] observed that their spectrum closely follows the orange dashed line () over a wide range and touches the line at , corresponding to the maximum of the bottleneck in the compensated energy spectrum . Figure 3b demonstrates that our spectra align quite well with the Ishihara et al. [22] spectrum. For the range , the spectra in Figure 3a fit the black dashed line (), corresponding to . As indicated in Figure 2a, the spectra start to exhibit exponential decay for , which implies that the most significant contribution to energy dissipation comes from structures within the range of . In the inset of Figure 3a, one of our spectra, along with the Ishihara et al. [22] spectrum, obtain indicating the formation of a bottleneck in the spectrum. From the Ishihara et al. [22] spectrum, it has been inferred that within the range of , these structures contribute to of the total energy and to of the total energy dissipation.
In Figure 3c, the normalized scalar dissipation three-dimensional spectra for in Batchelor scales are superimposed on each other, particularly in the region of the bottleneck. For a significant portion of , the spectra fit well with the black line represented by , which corresponds to a scalar spectrum . It is worth noting that Watanabe and Gotoh [4] have shown in their Figure 3 that at the compensated energy and scalar spectra have different shapes, with the energy spectrum peaking at and the scalar spectrum peaking at . Additionally, they observed that the amplitude of the bottleneck is greater for than for . Similar differences were discussed in Orlandi and Pirozzoli [1] by plotting the energy and scalar dissipation spectra. In the inset of Figure 3c, the and results for the DNS corresponding to that at in Figure 2c are presented on a different scale. This clearly illustrates the distinct trends in the spectra beyond the short inertial range. Notably, for , scalar dissipation contributes to of the total, which is comparable to the energy dissipation evaluated by the Ishihara et al. [22] spectrum at high . The rightward shift of the corresponding to the maximum of indicates that the scalar dissipation structures are smaller than the energy structures.
In Figure 3d, the normalized scalar dissipation three-dimensional spectra for in Batchelor scales exhibit a notably different trend as the Schmidt number decreases. The well-defined trend in Figure 3c becomes less visible. This absence is gradually accompanied by a reduction in the amplitude of the bottleneck, which disappears at . This transition occurs directly from the inertial range to the exponential decay range, as may be depicted by the profile of versus . For , even the inertial range is disrupted, and decays at low wave numbers with a steeper slope than . This slope increases at higher wave numbers and eventually reaches at , in agreement with the DNS by Yeung and Sreenivasan [13], the theoretical prediction by Batchelor et al. [11] for very low , where .
Three-dimensional spectra provide a representation of the distribution of energetic or dissipating scales. When appropriately normalized, these spectra reveal that the large-scale characteristics of energy and scalar fields are influenced by the Reynolds and Schmidt numbers. Conversely, for , the dissipating energy and scalar structures appear to be largely unaffected by changes in and . However, in the case of scalar structures transported in flows with , their strength experiences a significant decrease. DNS enables the evaluation of various quantities, particularly the dissipating terms in the kinetic energy and scalar variance transport equations. Further insights into the spatial distributions of these terms are discussed in the following section.
6. Visualizations of the Dissipative Structures
The spectra presented in Figure 3 offer valuable insights into the changes in the rate of scalar dissipation concerning the Schmidt number. However, they do not provide an insight on the shape and on the spatial distribution of the structures contributing to the spectra bottlenecks in Figure 3c,d. When appropriately scaled, these structures appear independent of at high Schmidt numbers (Figure 3c), suggesting a degree of physical similarity. Conversely, as decreases, the bottleneck diminishes in amplitude and eventually disappears (Figure 3d), indicating changes in the scalar dissipation structures.
These structures are generated by a velocity field exhibiting a bottleneck in the spectrum due to the rate of kinetic energy dissipation, which is shifted to lower wave numbers compared to that of scalar dissipation, as shown in the inset of Figure 3c. Consequently, vortical and scalar gradient structures should exhibit distinct shapes. Among the various simulations discussed previously, four specific cases have been selected: the first two at and with , representative of the cases in Figure 3c, and two at and with spectra as in Figure 3d and . For the case at , the spectrum in Figure 3c shows a short range with (short blue line) followed by a relatively long range with fitting the black line. In contrast, for the case at , the spectrum exhibits a decay fitting the power law at high wave numbers (the black symbols in Figure 3d), differing from the exponential decay range at (refer to Figure 2d).
From the values of and in the entire computational domain and for a single realization, the mean values and are calculated. These mean values are then used to compute their fluctuating variables . Subsequently, these fluctuating values are used to determine their probability density functions (PDF) denoted as ) and standardized moments (), with . While the terms are typically negative and equal to , there may be several locations with positive , indicating a local generation of kinetic energy or scalar variance.
Table 2 provides data for the two simulations scrutinized in this section, including the values of , the total negative contribution (), , and the values of the and standardized moments. This table highlights that positive rate of change () for the kinetic energy is slightly smaller than that for scalar variance; the former increases with increasing while the latter remains relatively constant for . Conversely, the decreases as decreases for . This outcome is closely related to the shape of small-scale energy-dissipating structures, which tend to be more rod-like compared to the scalar variance-dissipating structures influenced by the Schmidt number. In high scenarios, these structures are thin and convoluted, as will be illustrated later through contours of in a plane.
Table 2.
Global quantities related to the rate of energy (the rows with ), and scalar variance dissipation (the rows with the value of ): the five rows on the top are related to the simulation at , the others at .
The root mean square (rms) values of and their higher moments in Table 2 indicate that, despite the significantly greater values of compared to , the higher moments for the former are close to those for the latter. Furthermore, Table 2 emphasizes that these statistics are relatively independent of for and their values decrease as decreases for . To give an explanation of these results, we will further explore the PDF of , the joint PDF , and visualizations in a horizontal plane of . We recognize the importance of using three-dimensional visualizations to distinguish rod-like or ribbon-like structures. Clear visual representations were provided by Orlandi and Pirozzoli [1], where the vorticity and scalar gradient components were projected onto the principal axes of the strain field. However, three-dimensional visualizations of fail to convey the formation of adjacent positive and negative layers of at high numbers and their disappearance at low numbers.
The simulation at involved the transport of four scalars at . Initially, a cursory examination of the PDF suggests its independence from , as shown by the superposition of the four curves in Figure 4a. Minor differences are observed, particularly at high negative and positive values of . It is noteworthy that the distribution of exhibits a highly negative skew, resembling the distribution of . The higher value of the at than those at the may be related to a insufficient resolution suggesting, how the visualizations are shown in Figure 4 at and . The similar distribution of PDFs of and may suggest a similarity between the structures corresponding to and those of . Indeed, the visualizations show that these structures are different, and that the size of the scalar dissipating structures decrease by increasing the number. Figure 4d clearly illustrates that the intense energy-dissipating structures exhibit, in certain locations, a rod-like shape, a phenomenon previously discussed by Orlandi and Pirozzoli [1]. This shape is attributed to the alignment of the vorticity vector with the intermediate principal axes strain component. The positive red contours, which have smaller amplitudes than the blue-coloured patches, are situated in close proximity to them. This suggests a diffusive contribution that is effectively balanced by the nearby negative contributions. Consequently, the total energy dissipation primarily stems from the contribution of the intense blue patches, which have a more rounded shape.
Figure 4.
(a) PDF of (dashed lines) and (open symbols) with the numbers indicated in the labels; contour lines in planes for at in (b) of , in (c) of at , and in (d) at , red is positive and blue is negative with increment ; the quadrant contributions to for are for , for , for , and for : for the contributions are for , for , for , and for .
The correlation coefficients are evaluated by the , that, being similar, are not shown. The values of the correlation coefficients in Table 2 stress a weak correlation between the energy and scalar variance rate of change that cannot be gathered looking at the visualizations in Figure 4. The quadrants contribution obtained by the given in the caption of Figure 4d leads to the establishment of a prevalence of the positive on the negative quadrants and a balance between the small contribution of the I and quadrants. A qualitative comparison of at in Figure 4c and at in Figure 4d emphasizes that regions of intense scalar variance rate of change may be disconnected from those exhibiting a high rate of change in energy, as seen in Figure 4b.
Additional insights on the evolution and interaction of passive scalars with different diffusivity can be provided by evaluating correlation coefficients following the method described by Fox [24]. Preliminary evaluations of the correlation coefficients between two scalars, one at and the other at , yield . From the weak correlation between the two scalar variances and the even smaller values of in Table 2, it can be inferred that a passive scalar with a high value has its own distinct time evolution. Consequently, in applications involving combustion or pollution, passive scalars with different diffusivities transported by a turbulent flow may have a low probability of interacting with each other.
For , the simulations were conducted at . The probability density functions and the visualizations, similar to those presented in Figure 4, are provided in Figure 5. In these conditions, the PDFs of the energy rate of change in Figure 5a exhibit notable differences compared to the rate of change in scalar variance at but align closely with those at . The subtle distinctions observed at the extremes of in Figure 5a account for the disparities between the third and fourth moments reported in Table 2. Figure 5c,d reveal significant disparities in the spatial distributions of the respective rates of change in scalar variance. Notably, is small or nearly absent in regions characterized by strong in Figure 5b. Even in this case at in Figure 5d, the rate of change in scalar variance tends to concentrate within structures of a more convoluted nature compared to those associated with the rate of change in kinetic energy. However, both types of structures, thin and elongated, are primarily characterized by positive red values, which are counterbalanced by adjacent blue regions. The rather good correspondence of the white regions in Figure 5d with those in Figure 5c may suggest that the scalar correlation coefficient , with representing at and at , is likely greater than that computed for and . Indeed, a value of approximately has been determined. Even if the scalar variance correlations at increase with respect to that at , the weak correlation between energy and scalar variance rate of change is stressed by the values of in Table 2. The quadrants contribution (in the caption of Figure 5) obtained by the show that for there is also a prevalence in the positive on the negative quadrants and a balance between the small contribution of the I and quadrants.

Figure 5.
(a) PDF of (dashed lines) and (open symbols) with the numbers indicated in the labels; contours lines in planes for at in (b) of , in (c) of at , and in (d) at , with red being positive and blue being negative with increment ; the quadrants contributions to for are for , for , for , for : for are for , for , for , for .
7. Conclusions
The appearance of a bottleneck is more pronounced in three-dimensional spectra rather than one-dimensional spectra, which can be assessed through numerical simulations. The time evolution of three-dimensional spectra can be investigated by spectral closures like EDQNM (Eddy Dumped Quasi-Normal Markovian) [25] using a model to calculate the transfer term in the transport equation of the energy spectrum. In the energy spectra, the bottleneck forms at the end of the inertial range, signifying the conclusion of the energy cascade resulting from self-similar structures. [25] in the EDQNM closure demonstrated that in the inertial range, the triadic interaction entering in the transfer function is locally prevalent. The symmetry of the non-local interactions leads to an irrelevant contribution. At the end of the inertial range, the symmetry reduces and the non-local triadic interactions contribute to give the maximum of the transfer function in correspondence to the peak of the bottleneck. The simulation of two colliding dipoles by Orlandi et al. [26] allowed the investigation of the formation of three-dimensional spectra similar to those occurring in forced isotropic turbulence. Therefore, it was possible to see that at the end of the inertial range, the ribbon-like unstable structures evolve into the rod-like structures typically found in the exponential decay range. This scenario for kinetic energy remains unaltered at rather high Reynolds numbers and serves as the foundation for the Kolmogorov theory.
On the flip side, in the context of scalar variance, variations in the Schmidt number can result in the complete disruption of the bottleneck at specific values when . This disruption has been convincingly demonstrated in this study through the analysis of scalar variance dissipation spectra. Furthermore, it has been shown that when , the inertial range undergoes a transition towards exponential decay with different slopes depending on , eventually converging toward the well-established range, as reported by Sreenivasan [12]. Whether or , the dissipating scalar structures exhibit significant differences. However, the joint probability density function of the fluctuating change in energy and scalar variances is rather independent of the number, establishing that they are not correlated.
Having established that numerical simulation is the most appropriate tool to generate three-dimensional spectra and quantities such as the changes in energy and scalar variance in physical space, it should be demonstrated that the numerical method used is accurate, particularly in resolving small scales. Typically, pseudospectral numerical methods are employed, heavily relying on dealiazing procedures. This paper further demonstrates that a conservative second-order finite difference scheme predicts the correct behavior of the exponential decay range in one-dimensional and three-dimensional turbulent kinetic energy and scalar variance spectra. This understanding is crucial for advancing the knowledge of the complex physics governing the flow and scalar structures, which are responsible for the similarities and differences in the bottlenecks observed in the respective spectra.
In the direct numerical simulation (DNS) discussed in this paper, several scalars were transported by a single turbulent flow, providing a setup conducive to a more comprehensive exploration of differential diffusion in passive scalars, similarly to the study conducted by Yeung et al. [27]. Such research could be particularly relevant to combustion-related issues, where statistics derived from DNS can inform the development of models applicable at high Reynolds numbers. However, it is essential to clarify that this in-depth study lies beyond the scope of the present paper.
Funding
This research received no external funding.
Data Availability Statement
Dataset available on request from the authors.
Acknowledgments
A particular thanks is devoted to Sergio Pirozzoli for his comments on the first draft of this paper. The results reported in this paper have been achieved using the PRACE Research Infrastructure resource LUMIC.
Conflicts of Interest
The author declares no conflicts of interest.
Appendix A. Conservation Properties of the Numerical Method
The second-order finite difference scheme, with staggered velocity components located at the cell center, has been widely used in simulations of turbulent flows. However, several scholars still do not believe that the results from this method can be comparable to or even better than those obtained from pseudospectral simulations under certain conditions. A comparison of the present solver with fourth-order accurate schemes and pseudospectral methods was reported by Duponcheel et al. [28], demonstrating that in terms of energy conservation and time-reversibility, it produces results that are comparable to, and sometimes superior to, the other methods. The Taylor–Green vortex has often been used in inviscid simulations (Chichowlas and Brachet [29]) to investigate the occurrence of a finite time singularity (FTS) in the Euler equations. This initial condition concentrates kinetic energy at a single wave number, meaning that the evolution towards a turbulent state requires significant energy transfer from large to small scales before any considerable energy appears in the small-scale spectra. Theoretical considerations suggest that, near an FTS, the energy spectrum should develop an infinite range. In pseudospectral simulations, the dealiazing procedure often produces an energy pile-up followed by an exponential energy decay. However, such oscillations are not observed in finite difference spectra, allowing for the easier formation of a wide range.
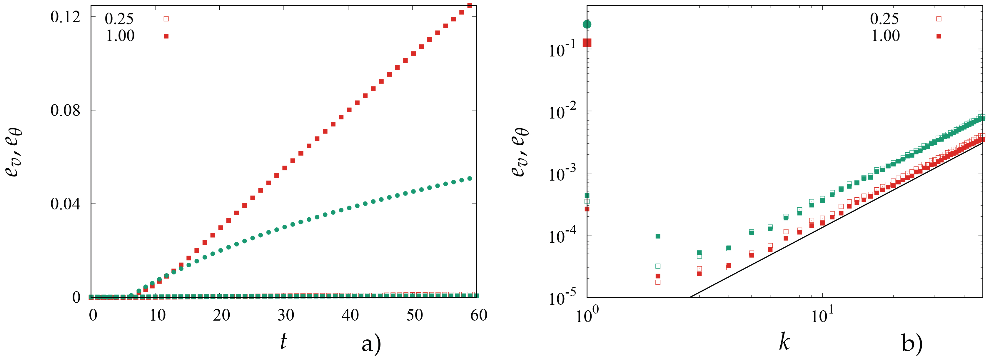
In this work, the Taylor–Green vortex is used to demonstrate the conservation of kinetic energy and scalar variance in inviscid simulations as . Unresolved simulations should lead to equipartition spectra characterized by a range at small scales. Two simulations were performed using the initial velocity distributions, and , from the Taylor–Green vortex in Chichowlas and Brachet [29], and a passive scalar distribution given by (where is the vorticity component). Figure A1a shows the evolution of errors, and , obtained from two coarse simulations. One simulation uses a Courant–Friedrichs–Lewy (CFL) condition of , while the other a value of . A significant reduction in errors for both energy and scalar variance is observed with a lower CFL condition. The evolution of energy and scalar spectra in Figure A1b shows that, at , the range at large k is not visible. Instead, a wide spectrum is present, with small-scale content being generated from large-scale structures. This behavior is nonphysical, but it highlights the necessity of the proper discretization of the nonlinear terms. A physical explanation why the error of the turbulent energy is smaller than that for the scalar variance is linked to the difference discussed above, where the energy dissipating structures or the enstrophy are more rod-like while the scalar dissipating ones are ribbon-like.
Figure A1.
(a) Evolution of the errors and in time open solid symbols : red scalar, green kinetic energy; (b) energy and scalar spectra: closed symbols , green energy, and red scalar at ; the black solid line is the theoretical equipartition distribution.
Figure A1.
(a) Evolution of the errors and in time open solid symbols : red scalar, green kinetic energy; (b) energy and scalar spectra: closed symbols , green energy, and red scalar at ; the black solid line is the theoretical equipartition distribution.

References
- Orlandi, P.; Pirozzoli, S. Effect of Schmidt number on forced isotropic turbulence with passive scalar. Fluids 2023, 8, 248. [Google Scholar] [CrossRef]
- Bogucki, D.; Domaradzki, J.; Yeung, P. Direct numerical simulations of passive scalars with Pr > 1 advected by turbulent flow. J. Fluid Mech. 1997, 343, 111–130. [Google Scholar] [CrossRef]
- Wang, L.; Chen, S.; Brasseur, J. Examination of hypotheses in the Kolmogorov refined turbulence theory through high-resolution simulations. Part 2. Passive scalar field. J. Fluid Mech. 1999, 400, 163–197. [Google Scholar] [CrossRef]
- Watanabe, T.; Gotoh, T. Statistics of passive scalar in homogeneous turbulence. New J. Phys. 2004, 6, 40. [Google Scholar] [CrossRef]
- Donzis, D.; Sreenivasan, K.; Yeung, P. Scalar dissipation rate and dissipative anomaly in isotropic turbulence. J. Fluid Mech. 2005, 532, 199–216. [Google Scholar] [CrossRef]
- Donzis, D.; Sreenivasan, K.; Yeung, P. The Batchelor Spectrum for Mixing of Passive Scalars in Isotropic Turbulence. Flow Turbul. Combust. 2010, 85, 549–566. [Google Scholar] [CrossRef]
- Dillon, T.; Caldwell, D. The Batchelor spectrum and dissipation in the upper ocean. J. Geophys. Res. Ocean. 1980, 85, 1910–1916. [Google Scholar] [CrossRef]
- Oakey, N. Determination of the rate of dissipation of turbulent energy from simultaneous temperature and velocity shear microstructure measurements. J. Phys. Oceanogr. 1982, 12, 256–271. [Google Scholar] [CrossRef]
- Gibson, C.H. Fine structure of scalar fields mixed by turbulence. II. Spectral theory. Phys. Fluids 1968, 11, 2316–2327. [Google Scholar] [CrossRef]
- Batchelor, G. Small-scale variation of convected quantities like temperature in turbulent fluid. General discussion and the case of small conductivity. J. Fluid Mech. 1959, 5, 113–133. [Google Scholar] [CrossRef]
- Batchelor, G.; Howels, I.; Townsend, A. Small scale variation of convected quantities like temperature in a turbulent fluid. Part.2 The case of large conductivity. J. Fluid Mech. 1959, 5, 134–139. [Google Scholar] [CrossRef]
- Sreenivasan, K.R. Turbulent mixing: A perspective. Proc. Natl. Acad. Sci. USA 2019, 116, 18175–18183. [Google Scholar] [CrossRef] [PubMed]
- Yeung, P.; Sreenivasan, K. Direct numerical simulation of turbulent mixing at very low Schmidt number with a uniform mean gradient. Phys. Fluids 2014, 26, 015107. [Google Scholar] [CrossRef]
- Dobler, W.; Haugen, N.E.L.; Yousef, T.A.; Brandenburg, A. Bottleneck effect in three-dimensional turbulence simulations. Phys. Rev. E 2003, 68, 026304. [Google Scholar] [CrossRef] [PubMed]
- Rogallo, R. Numerical Experiments in Homogeneous Turbulence; Technical Memorandum 81315; NASA: Washington, DC, USA, 1981.
- Orlandi, P. Fluid Flow Phenomena—A Numerical Toolkit; Kluwer Academic Publisher: Dordrecht, The Netherlands, 2000. [Google Scholar]
- Harlow, F.; Welch, J. Numerical Calculation of Time-Dependent Viscous Incompressible Flow of Fluid with Free Surface. Phys. Fluids 1965, 8, 2182–2189. [Google Scholar] [CrossRef]
- Grammeltvedt, A. A survey of finite-difference schemes for the primitive equations for a barotropic fluid. Mon. Weather. Rev. 1969, 97, 384–404. [Google Scholar] [CrossRef]
- Eswaran, V.; Pope, S. An examination of forcing in direct numerical simulations of turbulence. Comput. Fluids 1988, 16, 257–278. [Google Scholar] [CrossRef]
- Saddoughi, S.; Veeravalli, S. Local isotropy in turbulent boundary layers at high Reynolds number. J. Fluid Mech. 1994, 268, 333–372. [Google Scholar] [CrossRef]
- Jiménez, J.; Wray, A.A.; Saffman, P.G.; Rogallo, R.S. The structure of intense vorticity in isotropic turbulence. J. Fluid Mech. 1993, 255, 65–90. [Google Scholar] [CrossRef]
- Ishihara, T.; Gotoh, T.; Kaneda, Y. Study of High Reynolds Number Isotropic Turbulence by Direct Numerical Simulation. Annu. Rev. Fluid Mech. 2008, 41, 165–180. [Google Scholar] [CrossRef]
- Pope, S.B. Turbulent Flows; Cambridge University Press: Cambridge, UK, 2000. [Google Scholar]
- Fox, R. The Lagrangian spectral relaxation model for differential diffusion in homogeneous turbulence. Phys. Fluids 1999, 11, 1550–1571. [Google Scholar] [CrossRef]
- Crocco, L.; Orlandi, P. A transformation for the energy-transfer term in isotropic turbulence. J. Fluid Mech. 1985, 161, 405–424. [Google Scholar] [CrossRef]
- Orlandi, P.; Pirozzoli, S.; Carnevale, G. Vortex events in Euler and Navier–Stokes simulations with smooth initial conditions. J. Fluid Mech. 2012, 690, 288–320. [Google Scholar] [CrossRef]
- Yeung, P.; Sykes, M.; Vedula, P. Direct numerical simulation of differential diffusion with Schmidt numbers up to 4.0. J. Fluid Mech. 2000, 12, 1601–1604. [Google Scholar] [CrossRef]
- Duponcheel, M.; Orlandi, P.; Winckelmans, G. Time-reversibility of the Euler equations as a benchmark for energy conserving schemes. J. Comput. Phys. 2008, 227, 8736–8752. [Google Scholar] [CrossRef]
- Chichowlas, C.; Brachet, M. Evolution of complex singularities in Kida-Pelz and Taylor-Green inviscid flows. Fluid Dyn. Res. 2005, 36, 239–248. [Google Scholar] [CrossRef]
Disclaimer/Publisher’s Note: The statements, opinions and data contained in all publications are solely those of the individual author(s) and contributor(s) and not of MDPI and/or the editor(s). MDPI and/or the editor(s) disclaim responsibility for any injury to people or property resulting from any ideas, methods, instructions or products referred to in the content. |
© 2024 by the author. Licensee MDPI, Basel, Switzerland. This article is an open access article distributed under the terms and conditions of the Creative Commons Attribution (CC BY) license (https://creativecommons.org/licenses/by/4.0/).




