Theoretical Hydrodynamic Analysis of a Surface-Piercing Porous Cylindrical Body
Abstract
1. Introduction
2. Formulation of the Hydrodynamic Problem

3. Hydrodynamic Forces
4. Numerical Results
4.1. Validation
4.2. Test Cases
4.2.1. Coaxial Bottom-Mounted Porous Cylindrical System
4.2.2. Bottom-Mounted Porous Compound Cylindrical Body
4.2.3. Free Floating Porous Compound Cylindrical Body
5. Conclusions
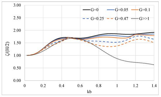
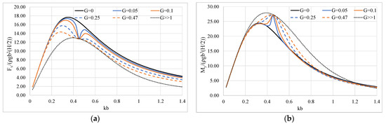
- The presence of the porous cylindrical surface reduces the hydrodynamic forces on the inner cylinder, as well as the wave run up. This could be beneficial for minimizing the environmental impact on pile-supported marine structures;
- Sloshing phenomena due to the fluid motion in the fluid volume confined between the porous surface and the inner cylinder are notable. Accordingly, sloshing phenomena create resonant peaks in the trends of the hydrodynamic loads and the wave elevations;
- In addition, resonances at specific wave numbers are encountered in the drift forces and the wave run-up. At the corresponding wave numbers, the porous surface cannot dissipate the wave energy, thus enhancing the wave impact on the porous system;
- The presence of the outer porous cylinder causes an increase on the hydrodynamic forces and added mass, which are bounded by the limiting cases G = 0 and G ≫ 1 On the other hand, the damping coefficient is not bounded by these limiting cases due to the existence of the additional porous damping, which increases the values of the total damping coefficient;
- The chosen porosity plays a key role in reducing/controlling the forces and moments on a system under consideration by dissipating the wave energy. The permeability of the outer porous surface increases with the increase of G, enhancing the wave impact on the inner cylinder. Hence, G needs to be chosen so as to have the optimum impact on the inner cylinder in addition to reducing the resonance effects.
Author Contributions
Funding
Conflicts of Interest
Nomenclature
| Wave amplitude | |
| k | Wave number |
| ω | Wave frequency |
| d | Constant water depth |
| h | Distance between the bottom of the body and the seabed |
| h1 | Distance between the bottom of the porous surface and the seabed |
| α | Radius of the porous cylindrical surface |
| b | Radius of the coaxial cylinder |
| Velocity potential around the porous body, k = I, II, III | |
| Velocity potential of the undisturbed incident regular wave | |
| Scattered velocity potential | |
| Diffraction velocity potential | |
| Radiation velocity potential, j = 1,3,5 | |
| Complex velocity amplitude of body motion in j-th direction | |
| m-th Bessel function of first kind | |
| Neumann’s symbol | |
| Principal unknowns of the diffraction and radiation problems, ℓ = D, 1, 3, 5; k= I, II, III | |
| S | Body’s impermeable wetted surface |
| Generalized normal vector | |
| μ | Dynamic viscosity |
| γ | Material constant |
| ρ | Fluid density |
| Porous coefficient | |
| τ | Opening rate of the material |
| ε | Wave slope |
| m-th order Hankel function of first kind | |
| m-th order modified Bessel function of second kind | |
| Orthonormal eigenfunctions | |
| m-th order modified Bessel function of first kind | |
| Fourier coefficients defined by the solution of the corresponding diffraction and radiation problems | |
| Horizontal exciting forces | |
| Vertical exciting forces | |
| M | Overturning moment |
| Hydrodynamic reaction forces | |
| Added mass coefficients | |
| Damping coefficients | |
| Mean drift wave forces | |
| Gravity acceleration | |
| M | Generalized mass matrix |
| First-order translations vector | |
| R | Rotational transformation matrix |
| First-order translational accelerations of body’s center of gravity | |
| Relative wave elevation | |
| Vertical distance of the body’s center of gravity from the seabed |
Appendix A
Appendix B
- for , then:
- for then:
References
- Sollitt, C.; Cross, R. Wave transmission through permeable breakwaters. In Proceedings of the 13th Coastal Engineering Conference, Vancouver, BC, Canada, 10–14 July 1972; pp. 1827–1846. [Google Scholar]
- Madsen, O. Wave transmission through porous structures. J. Waterw. Ports Coast. Ocean. Eng. Div. 1974, 100, 169–188. [Google Scholar]
- Solitt, C.; Cross, R. Wave Reflection and Transmission at Permeable Breakwaters; Tech. Paper 76-8; US Army Corps of Engineers, Coastal Engineering Research Center: Fort Belvoir, VA, USA, 1976. [Google Scholar]
- Sulisz, W. Wave reflection and transmission at permeable breakwaters of arbitrary cross section. Coast. Eng. 1985, 9, 371–386. [Google Scholar] [CrossRef]
- Dalrymple, R.; Losada, I.; Martin, O. Reflection and transmission from porous structures under oblique wave attack. J. Fluid Mech. 1991, 224, 625–644. [Google Scholar] [CrossRef]
- Darwiche, M.; Williams, A.; Wang, K. Wave interaction with a semi-porous cylindrical breakwater. J. Waterw. Ports Coast. Ocean. Eng. Div. 1994, 120, 382–403. [Google Scholar] [CrossRef]
- Losada, I.; Losada, M.; Martin, F. Experimental study of wave induced flow in a porous structure. Coast. Eng. 1995, 27, 77–98. [Google Scholar] [CrossRef]
- Pengzhi, L.; Karunarathna, S. Numerical study of solitary wave interaction with porous breakwaters. J. Waterw. Port. Coast. Ocean. Eng. 2007, 133, 352–363. [Google Scholar]
- Lan, Y.; Hsu, T.; Lai, J.; Chwang, C.; Ting, C. Bragg scattering of waves propagating over a series of poro-elastic submerged breakwaters. Wave Motion 2011, 48, 1–12. [Google Scholar] [CrossRef]
- Liu, Y.; Li, H.J. Wave reflection and transmission by porous breakwaters: A new analytical solution. Coast. Eng. 2013, 78, 46–52. [Google Scholar] [CrossRef]
- Pereira, E.; The, H.; Manoharan, L.; Lim, C. Design optimization of porous box-type breakwater subjected to regular waves. MATEC Web Conf. 2018, 203, 01018. [Google Scholar] [CrossRef][Green Version]
- Chwang, A. A porous-wavemaker theory. J. Fluid Mech. 1983, 132, 395–406. [Google Scholar] [CrossRef]
- Chwang, A.; Li, W. A piston-like porous wavemaker theory. J. Eng. Math. 1983, 17, 301–313. [Google Scholar] [CrossRef]
- Chwang, A.; Dong, Z. Wave-trapping due to a porous plate. In Proceedings of the 15th ONR Symposium on Naval Hydrodynamics, Hamburg, Germany, 2–7 September 1984; pp. 407–414. [Google Scholar]
- Yu, X.; Chwang, A. Water waves above submerged porous plate. J. Eng. Mech. 1994, 120, 1270–1280. [Google Scholar] [CrossRef]
- Behera, H.; Sahoo, T. Hydroelastic analysis of gravity wave interaction with submerged horizontal flexible porous plate. J. Fluid Struct. 2015, 54, 643–660. [Google Scholar] [CrossRef]
- Mohapatra, S.C.; Sahoo, T.; Guedes Soares, C. Surface gravity wave interaction with a submerged horizontal flexible porous plate. Appl. Ocean. Res. 2018, 78, 61–74. [Google Scholar] [CrossRef]
- Zheng, S.; Meylan, M.; Zhu, G.; Greaves, D.; Iglesias, G. Hydroelastic interaction between water waves and an array of circular floating porous elastic plates. J. Fluid Mech. 2020, 900, A20. [Google Scholar] [CrossRef]
- Zheng, S.; Meylan, M.; Fan, L.; Greaves, D.; Iglesias, G. Wave scattering by a floating porous elastic plate of arbitrary shape: A semi-analytical study. J. Fluids Struct. 2020, 92, 102827. [Google Scholar] [CrossRef]
- Zheng, S.; Meylan, M.; Greaves, D.; Iglesias, G. Water-wave interaction with submerged porous elastic disks. Phys. Fluids 2020, 32, 047106. [Google Scholar] [CrossRef]
- Mohapatra, S.C.; Guedes Soares, C. Hydroelastic response of a flexible submerged porous plate for wave energy absorption. J. Mar. Sci. Eng. 2020, 8, 698. [Google Scholar] [CrossRef]
- Mohapatra, S.C.; Guedes Soares, C. Hydroelastic behavior of a submerged horizontal flexible porous structure in three-dimensions. J. Fluids Struct. 2021, 104, 103319. [Google Scholar] [CrossRef]
- Wang, K.-H.; Ren, X. Wave interaction with a concentric porous cylinder system. Ocean. Eng. 1994, 21, 343–360. [Google Scholar] [CrossRef]
- Govare, G.; Silva, R.; Maza, J. Wave kinematics around a protected cylindrical impermeable pile. Coast. Struct. 1999, 1, 151–158. [Google Scholar]
- Williams, A.; Li, W. Water wave interaction with an array of bottom-mounted surface-piercing porous cylinders. Ocean. Eng. 2000, 27, 841–866. [Google Scholar] [CrossRef]
- Williams, A.; Li, W.; Wang, K.H. Water wave interaction with a floating porous cylinder. Ocean. Eng. 2000, 27, 1–28. [Google Scholar] [CrossRef]
- Teng, B.; Zhao, M.; Li, Y.C. Wave diffraction from a cylinder with porous upper wall and an inner column. ACTA Oceanol. Sin. 2001, 23, 133–142. [Google Scholar]
- Sankarbabu, K.; Sannasiraj, S.A.; Sundar, V. Interaction of regular waves with a group of dual porous circular cylinders. Appl. Ocean. Res. 2007, 29, 180–190. [Google Scholar] [CrossRef]
- Vijayalakshmi, K.; Sundaravadivelu, R.; Murali, K.; Neelamani, S. Hydrodynamics of a concentric twin perforated circular cylinder system. J. Waterw. Port. Coast. Ocean. Eng. 2008, 134, 166–177. [Google Scholar] [CrossRef]
- Bao, W.; Kinoshita, T.; Zhao, F. Wave forces on a semi-submerged porous circular cylinder. Proc. Inst. Mech. Eng. Part M J. Eng. Marit. Environ. 2009, 223, 349–360. [Google Scholar] [CrossRef]
- Park, M.S.; Koo, W.; Choi, Y. Hydrodynamic interaction with an array of porous circular cylinders. Int. J. Nav. Archit. Ocean. Eng. 2010, 2, 146–154. [Google Scholar] [CrossRef]
- Zhao, F.; Bao, W.-G.; Kinoshita, T.; Itakura, H. Theoretical and experimental study on a porous cylinder floating in waves. ASME J. Offshore Mech. Arct. Eng. 2011, 133, 011301. [Google Scholar] [CrossRef]
- Zhao, F.; Kinoshita, T.; Bao, W.-G.; Huang, L.-Y.; Liang, Z.; Wan, R. Interaction between waves and an array of floating porous circular cylinders. China Ocean. Eng. 2012, 26, 397–412. [Google Scholar] [CrossRef]
- Park, M.S.; Koo, W. Mathematical modeling of partial-porous circular cylinders with water waves. Hindawio Publishing Corporation. Math. Probl. Eng. 2015, 2015, 903748. [Google Scholar] [CrossRef]
- Ning, D.Z.; Zhao, X.-L.; Teng, B.; Johanning, L. Wave diffraction from a truncated cylinder with an upper porous sidewall and an inner column. Ocean. Eng. 2017, 130, 471–481. [Google Scholar] [CrossRef]
- Dokken, J.; Grue, J.; Karstensen, P. Wave analysis of porous geometry with linear resistance law. J. Mar. Sci. Appl. 2017, 16, 1–10. [Google Scholar] [CrossRef]
- Dokken, J.; Grue, J.; Karstensen, P. Wave forces on porous geometries with linear and quadratic pressure-velocity relations. In Proceedings of the 32nd International Workshop on Water Waves and Floating Bodies, IWWWFB, Dalin, China, 23–26 April 2017. [Google Scholar]
- Cong, P.; Bai, W.; Teng, B. Analytical modeling of water wave interaction with a bottom-mounted surface-piercing porous cylinder in front of a vertical wall. J. Fluids Struct. 2019, 88, 292–314. [Google Scholar] [CrossRef]
- Sankar, A.; Bora, S.N. Hydrodynamic forces due to water wave interaction with a bottom-mounted surface-piercing compound porous cylinder. Ocean. Eng. 2019, 171, 59–70. [Google Scholar] [CrossRef]
- Sankar, A.; Bora, S.N. Hydrodynamic coefficients for a floating semi-porous compound cylinder in finite ocean depth. Mar. Syst. Ocean. Technol. 2020, 15, 270–285. [Google Scholar] [CrossRef]
- Sankar, A.; Bora, S.N. Hydrodynamic forces and moments due to interaction of linear water waves with truncated partial-porous cylinders in finite depth. J. Fluids Struct. 2020, 94, 102898. [Google Scholar] [CrossRef]
- Mackay, E.; Liang, H.; Johanning, L. A BEM model for wave forces on structures with thin porous elements. J. Fluids Struct. 2021, 102, 103246. [Google Scholar] [CrossRef]
- Liang, H.; Housseine, C.; Chen, X.; Shao, Y. Efficient methods free of irregular frequencies in wave and solid/porous structure interactions. J. Fluids Struct. 2020, 98, 103130. [Google Scholar] [CrossRef]
- Li, L.; Fu, S.; Xu, Y.; Wang, J.; Yang, J. Dynamic responses of floating fish cage in waves and current. Ocean. Eng. 2013, 72, 297–303. [Google Scholar] [CrossRef]
- Mandal, S.; Sahoo, T. Wave interaction with floating flexible circular cage system. In Proceedings of the 11th International Conference on Hydrodynamics (ICHD 2014), Singapore, 19–24 October 2018. [Google Scholar]
- Su, W.; Zhan, J.M.; Huang, H. Wave interactions with a porous and flexible cylindrical fish cage. Procedia Eng. 2015, 126, 254–259. [Google Scholar] [CrossRef]
- Shen, Y.; Greco, M.; Faltinsen, O.M.; Nygaard, I. Numerical and experimental investigations on mooring loads of a marine fish farm in waves and current. J. Fluid Struct. 2018, 79, 115–136. [Google Scholar] [CrossRef]
- Faltinsen, O.M.; Shen, Y. Wave and current effects on floating fish farms. J. Mar. Sci. Appl. 2018, 17, 284–296. [Google Scholar] [CrossRef]
- Liu, Z.; Mohapatra, S.C.; Guedes Soares, C. Finite element analysis of the effect of currents on the dynamics of a moored flexible cylindrical net cage. J. Mar. Sci. Eng. 2021, 9, 159. [Google Scholar] [CrossRef]
- Chu, Y.I.; Wang, C.M. Combined Spar and partially porous wall fish cage for offshore site. In Lecture Notes in Civil Engineering; Wang, C.M., Dao, V., Eds.; EASEC16; Springer: Singapore, 2019; Volume 101. [Google Scholar] [CrossRef]
- Zitti, G.; Novelli, N.; Brocchini, M. Preliminary results on the dynamics of a pile-moored fish cage with elastic net in currents and waves. J. Mar. Sci. Eng. 2021, 9, 14. [Google Scholar] [CrossRef]
- Pinkster, J.A.; Oortmerssen, G.V. Computation of the first and second order wave forces on oscillating bodies in regular waves. In Proceedings of the 2nd International Conference on Numerical Ship Hydrodynamics, Berkeley, CA, USA, 19–21 September 1977. [Google Scholar]
- Kokkinowrachos, K.; Mavrakos, S.A.; Asorakos, S. Behaviour of vertical bodies of revolution in waves. Ocean. Eng. 1986, 13, 502–538. [Google Scholar] [CrossRef]
- Yu, X.P. Diffraction of water waves by porous breakwaters. J. Waterw. Port. Coast. Ocean. Eng. 1995, 121, 275–282. [Google Scholar] [CrossRef]
- Mavrakos, S.A.; Bardis, L. Hydrodynamic analysis of floating solar ponds. Soc. Nav. Archit. Mar. Eng. 1986, 24, 1–12. [Google Scholar]
- Mavrakos, S.A. Hydrodynamic characteristics of floating toroidal bodies. Ocean. Eng. 1997, 24, 381–399. [Google Scholar] [CrossRef]
- Molin, B. On second-order motion and vertical drift forces for three-dimensional bodies in regular waves. In Proceedings of the International Workshop on Ship and Platform Motion, Berkeley, CA, USA, 26–28 October 1983; pp. 344–357. [Google Scholar]
- Standing, R.G.; Dacunha, N.M.C. Slowly-varying and mean second-order wave forces on ships and offshore structures. In Proceedings of the 14th Symposium on Naval Hydrodynamics, Ann Arbor, MI, USA, 23–27 August 1982; pp. 279–318. [Google Scholar]
- Papanikolaou, A.; Zaraphonitis, G. On the improved method for the evaluation of second-order motions and loads on 3D floating bodies in waves. J. Schiffstechnik 1987, 34, 170–211. [Google Scholar]
- Mavrakos, S.A. User’s Manual for the Computer Code HAMVAB; Laboratory for Floating Bodies and Mooring Systems, National Technical University of Athens: Athens, Greece, 2001. [Google Scholar]
- Zhao, F.; Kinoshita, T.; Bao, W.-G.; Wan, R.; Liang, Z.; Huang, L. Hydrodynamics identities and wave-drift force of a porous body. Appl. Ocean. Res. 2011, 33, 169–177. [Google Scholar] [CrossRef]
- Cong, P.; Liu, Y. Local enhancement of the mean drift wave forces on a vertical column shielded by an exterior thin porous shell. J. Mar. Sci. Eng. 2020, 8, 349. [Google Scholar] [CrossRef]
- Silverman, S.; Abramson, H.N. The Dynamic Behavior of Liquids in Moving Containers; NASA SP-106; NASA: Washington, DC, USA, 1966.
- Mavrakos, S.A. Hydrodynamic coefficients for a thick bottomless cylindrical body floating in water of finite depth. Ocean. Eng. 1988, 15, 213–224. [Google Scholar] [CrossRef]













| τ | 0.037 | 0.08 | 0.12 | 0.22 | 0.41 | 0.60 |
| G | 0.100 | 0.468 | 1.015 | 3.118 | 9.309 | 17.482 |
Publisher’s Note: MDPI stays neutral with regard to jurisdictional claims in published maps and institutional affiliations. |
© 2021 by the authors. Licensee MDPI, Basel, Switzerland. This article is an open access article distributed under the terms and conditions of the Creative Commons Attribution (CC BY) license (https://creativecommons.org/licenses/by/4.0/).
Share and Cite
Konispoliatis, D.N.; Chatjigeorgiou, I.K.; Mavrakos, S.A. Theoretical Hydrodynamic Analysis of a Surface-Piercing Porous Cylindrical Body. Fluids 2021, 6, 320. https://doi.org/10.3390/fluids6090320
Konispoliatis DN, Chatjigeorgiou IK, Mavrakos SA. Theoretical Hydrodynamic Analysis of a Surface-Piercing Porous Cylindrical Body. Fluids. 2021; 6(9):320. https://doi.org/10.3390/fluids6090320
Chicago/Turabian StyleKonispoliatis, Dimitrios N., Ioannis K. Chatjigeorgiou, and Spyridon A. Mavrakos. 2021. "Theoretical Hydrodynamic Analysis of a Surface-Piercing Porous Cylindrical Body" Fluids 6, no. 9: 320. https://doi.org/10.3390/fluids6090320
APA StyleKonispoliatis, D. N., Chatjigeorgiou, I. K., & Mavrakos, S. A. (2021). Theoretical Hydrodynamic Analysis of a Surface-Piercing Porous Cylindrical Body. Fluids, 6(9), 320. https://doi.org/10.3390/fluids6090320
