Construction of Pt@BiFeO3 Xerogel-Supported O-g-C3N4 Heterojunction System for Enhanced Visible-Light Activity towards Photocatalytic Degradation of Rhodamine B
Abstract
1. Introduction
2. Results and Discussion
2.1. X-ray Diffraction (XRD) Measurements
2.2. FT-IR Measurements
2.3. Morphology Studies
2.4. Sorption Studies
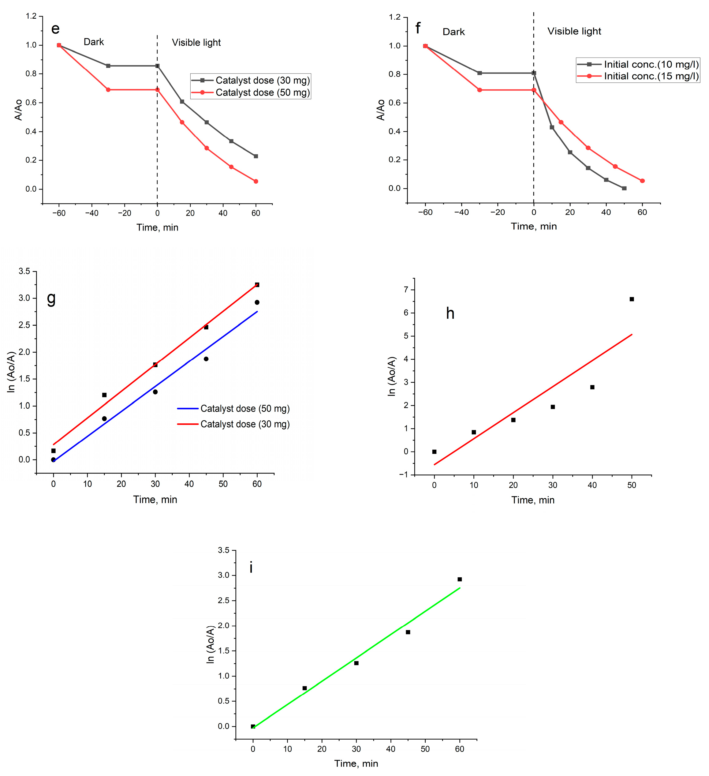
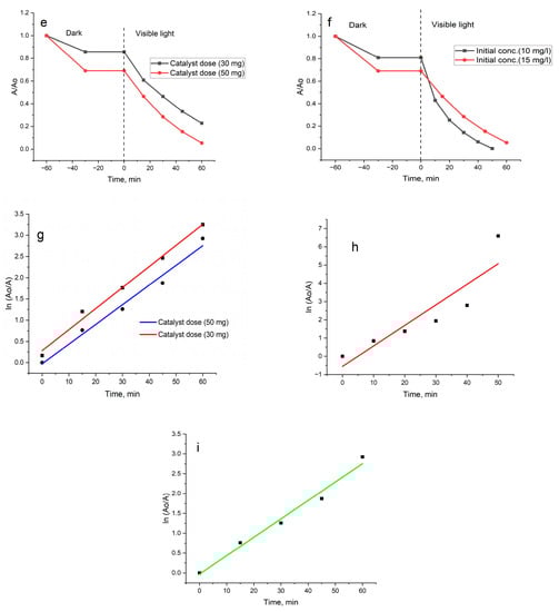
2.5. Photocatalytic Degradation of RhB
2.5.1. Kinetics
2.5.2. Free-Radical Species Assessment
2.5.3. Stability Assessment for the Catalyst
2.6. UV-Vis Diffuse Reflectance Spectroscopy (DRS) Analysis
2.7. Proposed Photodegradation Mechanism
3. Conclusions
4. Materials and Methods
4.1. Materials and Reagents
4.2. Synthesis of BiFEO3 Xerogels
4.3. Synthesis of O-g-C3N4
4.4. Synthesis of BiFeO3/O-g-C3N4
4.5. Synthesis of Pt@BiFeO3/O-g-C3N4
4.6. Sample Characterizations
4.7. Photocatalytic Studies
Author Contributions
Funding
Institutional Review Board Statement
Informed Consent Statement
Conflicts of Interest
References
- Horppila, J. Sediment nutrients, ecological status and restoration of lakes. Water Res. 2019, 1, 206–208. [Google Scholar] [CrossRef]
- Shi, K.; Song, N.; Zou, Y.; Zhu, S.; Tan, H.; Tian, Y.; Zhang, B.; Yao, H.; Guan, S. Porphyrin-based porous polyimides: Synthesis, porous structure, carbon dioxide adsorption. Polym. J. 2019, 169, 160–166. [Google Scholar] [CrossRef]
- Fan, M.; Lin, Y.; Huo, H.; Liu, Y.; Zhao, L.; Wang, E.; Wei, G. Microbial communities in riparian soils of a settling pond for mine drainage treatment. Water Res. 2016, 96, 198–207. [Google Scholar] [CrossRef] [PubMed]
- Yu, Y.; Duan, C.; Li, S.; Peng, C.; Yang, J.; Yan, K.; Bi, X.; Zou, P. Relationship between environmental pollution and economic development in late-developing regions shows an inverted V. Sci. Total Environ. 2022, 838, 156295. [Google Scholar] [CrossRef] [PubMed]
- Petrie, B.; Barden, R.; Kasprzyk-Hordern, B. A review on emerging contaminants in wastewaters and the environment: Current knowledge, understudied areas and recommendations for future monitoring. Water Res. 2015, 72, 3–27. [Google Scholar] [CrossRef]
- Murtaza, Z.M.; Alqassem, H.T.; Sabouni, R.; Ghommem, M. Degradation of micropollutants by metal organic framework composite-based catalysts: A review. Environ. Technol. 2023, 29, 102998. [Google Scholar] [CrossRef]
- Tarafdar, A.; Sirohi, R.; Balakumaran, P.A.; Reshmy, R.; Madhavan, A.; Sindhu, R.; Binod, P.; Kumar, Y.; Kumar, D.; Sim, S.J. The hazardous threat of Bisphenol A: Toxicity, detection and remediation. J. Hazard. Mater. 2022, 423, 127097–127111. [Google Scholar] [CrossRef]
- Rodrigues, M.; Roman, M.; Heijne, A.; Sleutels, T.; Cornelissen, E.R.; Verliefde, A.; Cees, J.N.; Kuntke, P. Characterization of the organic micropollutants behavior during electrochemical ammonia recovery. J. Environ. Chem. Eng. 2023, 11, 109613. [Google Scholar] [CrossRef]
- Schäfer, A.I.; Akanyeti, I.; Semião, A.J.C. Micropollutant sorption to membrane polymers: A review of mechanisms for estrogens. Adv. Colloid Interface Sci. 2011, 164, 100–117. [Google Scholar] [CrossRef]
- Rostkowski, P.; Haglund, P.; Aalizadeh, R.; Alygizakis, N.; Thomaidis, N.; Arandes, J.B.; Nizzetto, P.B.; Booij, P.; Budzinski, H.; Brunswick, P.; et al. The strength in numbers: Comprehensive characterization of house dust using complementary mass spectrometric techniques. Anal. Bioanal. Chem. 2019, 411, 1957–1977. [Google Scholar] [CrossRef]
- Xue, P.; Zhao, Y.; Zhao, D.; Chi, M.; Yin, Y.; Xuan, Y.; Wang, X. Mutagenicity, health risk, and disease burden of exposure to organic micropollutants in water from a drinking water treatment plant in the Yangtze River Delta, China. Ecotoxicol. Environ. Saf. 2021, 221, 112421. [Google Scholar] [CrossRef] [PubMed]
- Han, D.; Currell, M.J. Persistent organic pollutants in China’s surface water systems. Sci. Total Environ. 2017, 580, 602–625. [Google Scholar] [CrossRef] [PubMed]
- Gogoi, A.; Mazumder, P.; Tyagi, V.K.; Tushara Chaminda, G.G.; An, A.K.; Kumar, M. Occurrence and fate of emerging contaminants in water environment: A review. Groundw. Sustain. Dev. 2018, 6, 169–180. [Google Scholar] [CrossRef]
- Ali, E.A.; Ismail, M.N.; Elsabee, M.Z. Chitosan based polyelectrolyte complexes development for anionic and cationic dyes adsorption. Egypt. J. Chem. 2020, 63, 537–554. [Google Scholar] [CrossRef]
- Imam, S.S.; Babamale, H.F. A short review on the removal of rhodamine B dye using agricultural waste-based adsorbents. Asian J. Chem. Sci. 2020, 7, 25–37. [Google Scholar] [CrossRef]
- Liu, H.; Ren, X.; Chen, L. Synthesis and characterization of magnetic metal—Organic framework for the adsorptive removal of Rhodamine B from aqueous solution. J. Ind. Eng. Chem. 2016, 34, 278–285. [Google Scholar] [CrossRef]
- Rodriguez-Narvaez, O.M.; Peralta-Hernandez, J.M.; Goonetilleke, A.; Bandala, E.R. Treatment technologies for emerging contaminants in water: A review. Chem. Eng. J. 2017, 323, 361–380. [Google Scholar] [CrossRef]
- Ihaddaden, S.; Aberkane, D.; Boukerroui, A.; Robert, D. Removal of methylene blue (basic dye) by coagulation-flocculation with biomaterials (bentonite and Opuntia ficus indica). J. Water Process. Eng. 2022, 49, 102952. [Google Scholar] [CrossRef]
- Abdel-Aziz, M.H.; Bassyouni, M.I.; Zoromba, M.S.; Alshehri, A.A. Removal of Dyes from Waste Solutions by Anodic Oxidation on an Array of Horizontal Graphite Rods Anodes. Ind. Eng. Chem. Res. 2019, 58, 1004–1018. [Google Scholar] [CrossRef]
- Matei, D.; Katsina, A.U.; Mihai, S.; Cursaru, D.L.; Şomoghi, R.; Nistor, C.L. Synthesis of Ruthenium-Promoted ZnO/SBA-15 Composites for Enhanced Photocatalytic Degradation of Methylene Blue Dye. Polymers 2023, 15, 1210. [Google Scholar] [CrossRef]
- Senthil, K.P.; Varsha, M.; Senthil, R.B.; Rangasamy, G. Electrodeionization: Principle, techniques and factors influencing its performance. Environ. Res. 2023, 216, 114756. [Google Scholar] [CrossRef] [PubMed]
- Petrov, O.; Iwaszczuk, N.; Kharebava, T.; Bejanidze, I.; Pohrebennyk, V.; Nakashidze, N.; Petrov, A. Neutralization of Industrial Water by Electrodialysis. Membr. J. 2021, 11, 101. [Google Scholar] [CrossRef] [PubMed]
- Micheal, K.; Ayeshamariam, A.; Devanesan, S.; Bhuvaneswari, K.; Pazhanivel, T.; AlSalhi, M.S.; Aljaafreh, M.J. Environmental friendly Synthesis of Carbon Nanoplates Supported ZnO Nanorods for enhanced degradation of dyes and organic pollutants with Visible Light Driven Photocatalytic Performance. J. King Saud Univ. Sci. 2019, 32, 1081–1087. [Google Scholar] [CrossRef]
- Wu, J.; Wang, J.; Xiao, D.; Zhu, J. A Method to Improve Electrical Properties of BiFeO3 Thin Films. ACS Appl. Mater. Interfaces 2012, 4, 1182–1185. [Google Scholar] [CrossRef]
- Zhang, K.; Zhou, M.; Yang, K.; Yu, C.; Mu, P.; Yu, Z.; Lu, K.; Huang, W.; Dai, W. Photocatalytic H2O2 production and removal of Cr (VI) via a novel Lu3NbO7: Yb, Ho/CQDs/AgInS2/In2S3 heterostructure with broad spectral response. J. Hazard. Mater. 2022, 423, 127172. [Google Scholar] [CrossRef]
- Lan, Y.; Wang, Y.; Guan, Y.; Du, L.; Lv, Y. Synthesis and photocatalytic activity of g-C3N4/BiVO4/CNTs composites. Mater. Lett. 2023, 330, 133359. [Google Scholar] [CrossRef]
- Shi, H.; He, R.; Sun, L.; Cao, G.; Yuan, X.; Xia, D. Band gap tuning of g-C3N4 via decoration with AgCl to expedite the photocatalytic degradation and mineralization of oxalic acid. J. Environ. Sci. 2019, 84, 1–12. [Google Scholar] [CrossRef]
- Chen, J.; Yang, Q.; Zhong, J.; Li, J.; Hu, C.; Deng, Z.; Duan, R. In-situ construction of direct Z-scheme Bi2WO6/g-C3N4 composites with remarkably promoted solar-driven photocatalytic activity. Mater. Chem. Phys. 2018, 217, 207–215. [Google Scholar] [CrossRef]
- Ramadan, W.; Feldhoff, A.; Bahnemann, D. Assessing the photocatalytic oxygen evolution reaction of BiFeO3 loaded with IrO2 nanoparticles as co catalyst. Sol. Energy Mater. Sol. Cells 2021, 232, 111349. [Google Scholar] [CrossRef]
- Soltani, T.; Entezari, M.H. Solar photocatalytic degradation of RB5 by ferrite bismuth nanoparticles synthesized via ultrasound. Ultrason. Sonoc. 2013, 20, 1245–1253. [Google Scholar] [CrossRef]
- Maleki, H. Photocatalytic activity, optical and ferroelectric properties of Bi 0.8 Nd 0.2 FeO3 nanoparticles synthesized by sol-gel and hydrothermal methods. J. Magn. Magn. Mater. 2018, 458, 277–284. [Google Scholar] [CrossRef]
- Wani, W.A.; Kundu, S.; Ramaswamy, K. Optimizing phase formation of BiFeO3 and Mn-doped BiFeO3 nanoceramics via thermal treatment using citrate precursor method. SN Appl. Sci. 2020, 2, 1969. [Google Scholar] [CrossRef]
- Dhanalakshmi, R.; Muneeswaran, M.; Shalini, K.; Giridharan, N.V. Enhanced photocatalytic activity of La-substituted BiFeO3 nanostructures on the degradation of phenol red. Mater Lett. 2016, 165, 205–209. [Google Scholar] [CrossRef]
- Ong, W.J.; Tan, L.L.; Ng, Y.H.; Yong, S.T.; Chai, S.P. Graphitic carbon nitride (gC3N4)-based photocatalysts for artificial photosynthesis and environmental remediation: Are we a step closer to achieving sustainability? Chem. Rev. 2016, 116, 7159–7329. [Google Scholar] [CrossRef] [PubMed]
- Mousavi, M.; Habibi-Yangjeh, A.; Rahim, P.S. Review on magnetically separable graphitic carbon nitride-based nanocomposites as promising visible-lightdriven photocatalysts. J. Mater. Sci. Mater. Electron. 2018, 29, 1719–1747. [Google Scholar] [CrossRef]
- Wang, Y.; Sun, J.; Yao, Y.; Li, Z.; Meng, X. Investigation of Photo(electro)catalytic water splitting to evolve H2 on Pt-g-C3N4 nanosheets. Int. J. Hydrog Energy 2022, 47, 28007–28018. [Google Scholar] [CrossRef]
- Liu, S.; Li, D.; Sun, H.; Ang, H.M.; Tadé, M.O.; Wang, S. Oxygen functional groups in graphitic carbon nitride for enhanced photocatalysis. J. Colloid Interface Sci. 2016, 468, 176–182. [Google Scholar] [CrossRef] [PubMed]
- Ilkaeva, M.; Krivtsov, I.; García, J.R.; Díaz, E.; Ordóñez, S.; García-López, E.I.; Malato, S. Selective photocatalytic oxidation of 5-hydroxymethyl-2-furfural in aqueous suspension of polymeric carbon nitride and its adduct with H2O2 in a solar pilot plant. Catal. Today 2018, 315, 138–148. [Google Scholar] [CrossRef]
- Besteiro, L.V.; Yu, P.; Wang, Z.; Holleitner, A.W.; Hartland, G.V.; Wiederrecht, G.P.; Govorov, A.O. The fast and the furious: Uitrafast hot electrons in pasmonic metastructures. Size Struct. Matter Nanotoday 2019, 27, 120–145. [Google Scholar] [CrossRef]
- Usman, A.K.; Cursaru, D.-L.; Brănoiu, G.; Şomoghi, R.; Manta, A.-M.; Matei, D.; Mihai, S. A Modified Sol–Gel Synthesis of Anatase {001}-TiO2/Au Hybrid Nanocomposites for Enhanced Photodegradation of Organic Contaminants. Gels 2022, 8, 728. [Google Scholar] [CrossRef]
- Li, C.; Zhu, D.; Cheng, S.; Zuo, Y.; Wang, Y.; Ma, C.; Dong, H. Recent research progress of bimetallic phosphides-based nanomaterials as cocatalyst for photocatalytic hydrogen evolution. Chin. Chem. Lett. 2022, 33, 1141–1153. [Google Scholar] [CrossRef]
- Yu, Z.; Yang, K.; Yu, C.; Lu, K.; Huang, W.; Xu, L.; Zou, L.; Wang, S.; Chen, Z.; Hu, J.; et al. Steering unit cell dipole and internal electric field by highly dispersed Er atoms embedded into NiO for efficient CO2 photoreduction. Adv. Funct. Mater. 2022, 32, 2111999. [Google Scholar] [CrossRef]
- Liu, X.; Huang, W.Y.; Zhou, Q.; Chen, X.R.; Yang, K.; Li, D.; Dionysiou, D.D. Ag-decorated 3D flower-like Bi2MoO6/rGO with boosted photocatalytic performance for removal of organic pollutants. Rare Met. 2021, 40, 1086–1098. [Google Scholar] [CrossRef]
- Quiroz, J.; Barbosa, E.C.M.; Araujo, T.P.; Fiorio, J.L.; Wang, Y.C.; Zou, Y.C.; Mou, T.; Alves, T.V.; Oliveira, C.D.; Wang, B.; et al. Camargo Controlling reaction selectivity over hybrid plasmonic nanocatalysts. Nano. Lett. 2018, 18, 7289–7297. [Google Scholar] [CrossRef] [PubMed]
- Wang, P.-F.; Chen, K.; Ma, S.; Wang, W.; Qiu, Y.-H.; Ding, S.-J.; Liang, S.; Wang, Q.-Q. Asymmetric synthesis of Au-CdSe core-semishell nanorods for plasmon-enhanced visible-light driven hydrogen evolution. Nanoscale 2020, 12, 687–694. [Google Scholar] [CrossRef]
- Zhang, N.; Qi, M.; Yuan, L.; Fu, X.; Tang, Z.; Gong, J.; Xu, Y. Broadband light harvesting and unidirectional electron flow for efficient electron accumulation for hydrogen generation. Angew. Chem. Int. Ed. 2019, 58, 10003–10007. [Google Scholar] [CrossRef]
- Wu, S.; Zhang, J.; Liu, X.; Lv, S.; Gao, R.; Cai, W.; Fu, C. Micro-Area Ferroelectric, Piezoelectric and Conductive Properties of Single BiFeO3 Nanowire by Scanning Probe Microscopy. Nanomater 2019, 9, 190. [Google Scholar] [CrossRef]
- Wang, J. Epitaxial BiFeO3 Multiferroic Thin Film Heterostructures. Science 2003, 299, 1719–1722. [Google Scholar] [CrossRef]
- Patnaik, S.; Sahoo, D.P.; Parida, K. An overview on Ag modified g-C3N4 based nanostructured materials for energy and environmental applications. Renew. Sust. Energ. Rev. 2018, 82, 1297–1312. [Google Scholar] [CrossRef]
- Jaramillo, C.A.; Navío, J.A.; Hidalgo, M.C.; Macias, M. ZnO and Pt-ZnO photocatalysts: Characterization and photocatalytic activity assessing by means of three substrates. Catal. Today 2018, 313, 12–19. [Google Scholar] [CrossRef]
- Rodríguez-Padrón, D.; Puente-Santiago, A.R.; Balu, A.M.; Muñoz-Batista, M.J.; Luque, R. Continuous Flow Synthesis of High Valuable N-Heterocycles via Catalytic Conversion of Levulinic. Front. Chem. 2019, 7, 103. [Google Scholar] [CrossRef] [PubMed]
- Liu, H.; Cheng, D.-G.; Chen, F.; Zhan, X. 2D porous N-deficient g-C3N4 nanosheet decorated with CdS nanoparticles for enhanced visible-light-driven photocatalysis. ACS Sustain. Chem. Eng. 2020, 8, 16897–16904. [Google Scholar] [CrossRef]
- Guo, F.; Li, M.; Ren, H.; Huang, X.; Shu, K.; Shi, W.; Lu, C. Facile bottom-up preparation of Cl-doped porous g-C3N4 nanosheets for enhanced photocatalytic degradation of tetracycline under visible light. Sep. Purif. Technol. 2019, 228, 115770. [Google Scholar] [CrossRef]
- Shao, B.; Liu, X.; Liu, Z.; Zeng, G.; Liang, Q.; Liang, C.; Cheng, Y.; Zhang, W.; Liu, Y.; Gong, S. A novel double Z-scheme photocatalyst Ag3PO4/Bi2S3/Bi2O3 with enhanced visible-light photocatalytic performance for antibiotic degradation. Chem. Eng. J. 2019, 368, 730–745. [Google Scholar] [CrossRef]
- Shekofteh-Gohari, M.; Habibi-Yangjeh, A.; Abitorabi, M.; Rouhi, A. Magnetically separable nanocomposites based on ZnO and their applications in photocatalytic processes: A review. Crit. Rev. Environ. Sci. Technol. 2018, 48, 806–857. [Google Scholar] [CrossRef]
- Yang, L.; Wang, P.; Yin, J.; Wang, C.; Dong, G.; Wang, Y.; Ho, W. Engineering of Incorporation the Reduced Graphene Oxide on Nanosheet–g-C3N4/Perylene Imide Heterojunction for Enhanced Photocatalytic Redox Performance. Appl. Catal. B Environ. 2019, 250, 42–51. [Google Scholar] [CrossRef]
- Gholam, T.; Zheng, L.R.; Wang, J.O.; Qian, H.J.; Wu, R.; Wang, H.-Q. Synchrotron X-ray Absorption Spectroscopy Study of Local Structure in Al-Doped BiFeO3 Powders. Nanoscale Res. Lett. 2019, 14, 137. [Google Scholar] [CrossRef]
- Tong, R.; Wang, X.; Zhou, X.; Liu, Q.; Wang, H.; Peng, X.; Lund, P.D. Cobalt-Phosphate modified TiO2/BiVO4 nanoarrays photoanode for efficient water splitting. Int. J. Hydrog Energy 2017, 42, 5496–5504. [Google Scholar] [CrossRef]
- Ahmad, M.; Ali, R.; Rehman, A.; Ali, A.; Sultana, I.; Ali, I.; Asif, M. Insight into the Structural, Electrical, and Magnetic Properties of Al-Substituted BiFeO3 Synthesised by the Sol–Gel Method. Z. Für Nat. A 2020, 75, 249–256. [Google Scholar] [CrossRef]
- Carneiro, J.O.; Samantilleke, A.P.; Parpot, P.; Fernandes, F.; Pastor, M.; Correia, A.; Luís, A.; Chivanga, B.A.; Teixeira, A.V. Visible Light Induced Enhanced Photocatalytic Degradation of Industrial Effluents (Rhodamine B) in Aqueous Media Using TiO2 Nanoparticles. J. Nanomater. 2016, 2016, 4396175. [Google Scholar] [CrossRef]
- Thommes, M.; Kaneko, K.; Neimark, A.V.; Olivier, J.P.; Rodriguez-Reinoso, F.; Rouquerol, J.; Sing, K.S.W. Physisorption of gases, with special reference to the evaluation of surface area and pore size distribution (IUPAC Technical Report). Pure Appl. Chem. 2015, 87, 1051–1069. [Google Scholar] [CrossRef]
- Anh, H.Q.; Le, T.P.Q.; Da Le, N.; Lu, X.X.; Duong, T.T.; Garnier, J.; Rochelle-Newall, E.; Zhang, S.; Oh, N.-H.; Oeurng, C.; et al. Antibiotics in surface water of East and Southeast Asian countries: A focused review on contamination status, pollution sources, potential risks, and future perspectives. Sci. Total Environ. 2021, 764, 142865. [Google Scholar] [CrossRef] [PubMed]
- Vatanpour, V.; Paziresh, S.; Dehqan, A.; Asadzadeh-Khaneghah, S.; Habibi-Yangjeh, A. Hydrogen peroxide treated g-C3N4 as an effective hydrophilic nanosheet for modification of polyethersulfone membranes with enhanced permeability and antifouling characteristics. Chemosphere 2021, 279, 130616. [Google Scholar] [CrossRef] [PubMed]














| Catalyst | SABET (m2/g) | VT Total Pore Volume (cc/g) | Average Pore Diameter (nm) |
|---|---|---|---|
| O-CN | 59.915 | 0.158 | 3.732 |
| BFO25/O-CN75 | 44.925 | 0.073 | 3.941 |
| BFO50/O-CN50 | 34.099 | 0.068 | 4.464 |
| BFO75/O-CN25 | 31.237 | 0.062 | 6.465 |
| Pt@BFO50/O-CN50 | 28.094 | 0.054 | 4.258 |
| BFO | 3.584 | 0.035 | 10.459 |
Disclaimer/Publisher’s Note: The statements, opinions and data contained in all publications are solely those of the individual author(s) and contributor(s) and not of MDPI and/or the editor(s). MDPI and/or the editor(s) disclaim responsibility for any injury to people or property resulting from any ideas, methods, instructions or products referred to in the content. |
© 2023 by the authors. Licensee MDPI, Basel, Switzerland. This article is an open access article distributed under the terms and conditions of the Creative Commons Attribution (CC BY) license (https://creativecommons.org/licenses/by/4.0/).
Share and Cite
Katsina, A.U.; Mihai, S.; Matei, D.; Cursaru, D.-L.; Şomoghi, R.; Nistor, C.L. Construction of Pt@BiFeO3 Xerogel-Supported O-g-C3N4 Heterojunction System for Enhanced Visible-Light Activity towards Photocatalytic Degradation of Rhodamine B. Gels 2023, 9, 471. https://doi.org/10.3390/gels9060471
Katsina AU, Mihai S, Matei D, Cursaru D-L, Şomoghi R, Nistor CL. Construction of Pt@BiFeO3 Xerogel-Supported O-g-C3N4 Heterojunction System for Enhanced Visible-Light Activity towards Photocatalytic Degradation of Rhodamine B. Gels. 2023; 9(6):471. https://doi.org/10.3390/gels9060471
Chicago/Turabian StyleKatsina, Abubakar Usman, Sonia Mihai, Dănuţa Matei, Diana-Luciana Cursaru, Raluca Şomoghi, and Cristina Lavinia Nistor. 2023. "Construction of Pt@BiFeO3 Xerogel-Supported O-g-C3N4 Heterojunction System for Enhanced Visible-Light Activity towards Photocatalytic Degradation of Rhodamine B" Gels 9, no. 6: 471. https://doi.org/10.3390/gels9060471
APA StyleKatsina, A. U., Mihai, S., Matei, D., Cursaru, D.-L., Şomoghi, R., & Nistor, C. L. (2023). Construction of Pt@BiFeO3 Xerogel-Supported O-g-C3N4 Heterojunction System for Enhanced Visible-Light Activity towards Photocatalytic Degradation of Rhodamine B. Gels, 9(6), 471. https://doi.org/10.3390/gels9060471

