Mesoscopic Characterization of the Early Stage of the Glucono-δ-Lactone-Induced Gelation of Milk via Image Analysis Techniques
Abstract
1. Introduction
2. Results and Discussion
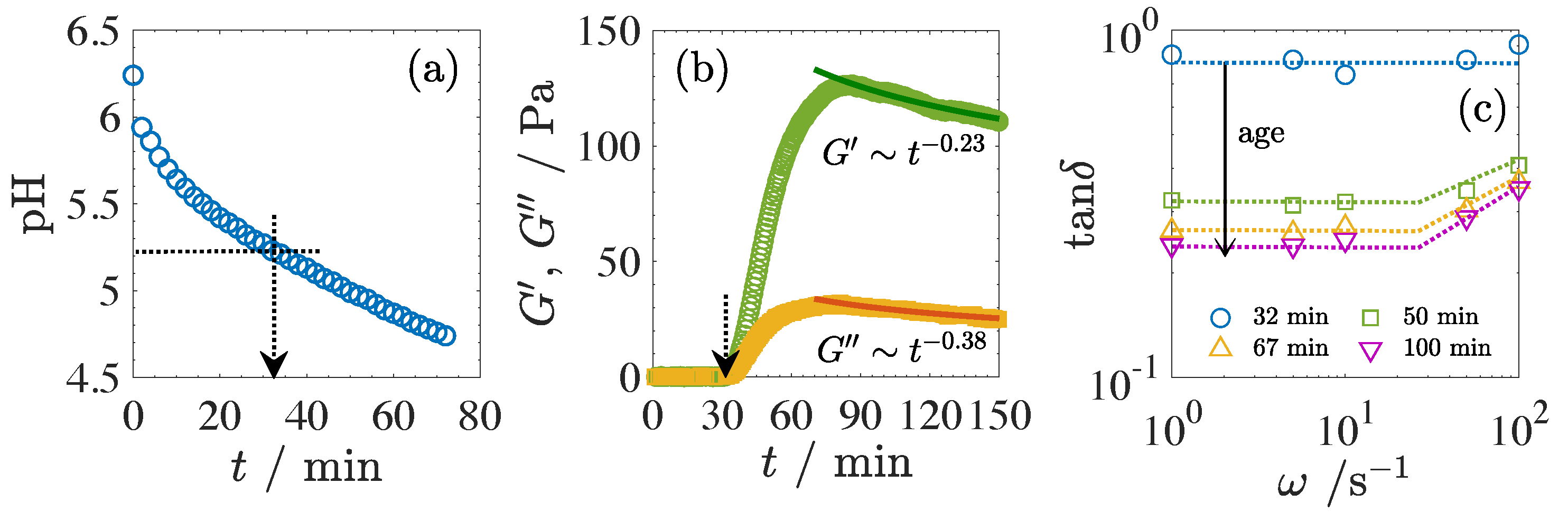
2.1. Bulk Rheology
2.2. Image Analysis
2.2.1. Particle Image Velocimetry (PIV)
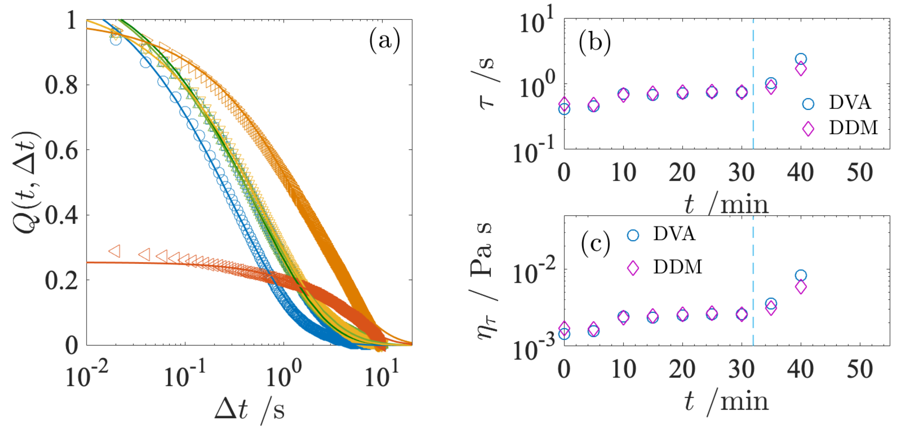
2.2.2. Differential Variance Analysis (DVA)
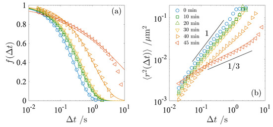
2.2.3. Differential Dynamic Microscopy (DDM)
2.2.4. Application of the Image Analysis
3. Conclusions
4. Materials and Methods
4.1. Sample Preparation
4.2. Rheometry
4.3. Light Microscopy
Author Contributions
Funding
Institutional Review Board Statement
Informed Consent Statement
Data Availability Statement
Conflicts of Interest
References
- Dalgleish, D.G.; Law, A.J.R. pH-induced dissociation of bovine casein micelles. II. Mineral solubilization and its relation to casein release. J. Dairy Res. 1989, 56, 727–735. [Google Scholar] [CrossRef]
- De Kruif, C.G. The structure of casein micelles: A review of small-angle scattering data. J. Appl. Crystallogr. 2014, 47, 1479–1489. [Google Scholar] [CrossRef]
- Pink, D.A.; Peyronel, F.; Quinn, B.; Marangoni, A.G. Spontaneous aggregation of bovine milk casein micelles: Ultra-small angle x-ray scattering and mathematical modeling. Phys. Fluids 2019, 31, 077105. [Google Scholar] [CrossRef]
- Moitzi, C.; Menzel, A.; Schurtenberger, P.; Stradner, A. The pH induced sol-gel transition in skim milk revisited. A detailed study using time-resolved light and X-ray scattering experiments. Langmuir 2011, 27, 2195–2203. [Google Scholar] [CrossRef]
- Erturk, M.Y.; Bonilla, J.C.; Kokini, J. Relationship of non-linear rheological properties and quantitative network analysis parameters as a function of increasingly large amplitude deformations in non-fat, low-fat and high-fat yogurt products. Food Hydrocoll. 2021, 111, 106194. [Google Scholar] [CrossRef]
- Sato, K.; Shima, H.; Nakamura, K.; Kobayashi, N.; Endo, M.; Tanimoto, M. Rheological properties of milk coagulation by crude enzyme from Hericium erinaceum. Milk Sci. 2016, 65, 161–169. [Google Scholar]
- Mellema, M.; Heesakkers, J.W.M.; van Opheusden, J.H.J.; van Vliet, T. Structure and scaling behavior of aging rennet-induced casein gels examined by confocal microscopy and permeametry. Langmuir 2000, 16, 6847–6854. [Google Scholar] [CrossRef]
- Ong, L.; Dagastine, R.R.; Kentish, S.E.; Gras, S.L. Microstructure of milk gel and cheese curd observed using cryo scanning electron microscopy and confocal microscopy. LWT 2011, 44, 1291–1302. [Google Scholar] [CrossRef]
- Silva, J.V.; Legland, D.; Cauty, C.; Kolotuev, I.; Floury, J. Characterization of the microstructure of dairy systems using automated image analysis. Food Hydrocoll. 2015, 44, 360–371. [Google Scholar] [CrossRef]
- Gaygadzhiev, Z.; Alexander, M.; Corredig, M. Sodium caseinate-stabilized fat globules inhibition of the rennet-induced gelation of casein micelles studied by diffusing wave spectroscopy. Food Hydrocoll. 2009, 23, 1134–1138. [Google Scholar] [CrossRef]
- Hemar, Y.; Singh, H.; Horne, D.S. Determination of early stages of rennet-induced aggregation of casein micelles by diffusing wave spectroscopy and rheological measurements. Curr. Appl. Phys. 2014, 4, 362–365. [Google Scholar] [CrossRef]
- Sandra, S.; Alexander, M.; Dalgleish, D.G. The rennet coagulation mechanism of skim milk as observed by transmission diffusing wave spectroscopy. J. Colloid Interface Sci. 2007, 308, 364–373. [Google Scholar] [CrossRef] [PubMed]
- Lee, W.; Lucey, J.A. Structure and physical properties of yogurt gels: Effect of inoculation rate and incubation temperature. J. Dairy Sci. 2004, 87, 3153–3164. [Google Scholar] [CrossRef]
- Le Feunteun, S.; Ouethrani, M.; Mariette, F. The rennet coagulation mechanisms of a concentrated casein suspension as observed by PFG-NMR diffusion measurements. Food Hydrocoll. 2021, 27, 456–463. [Google Scholar] [CrossRef]
- Li, Z.; Yang, Z.; Otter, D.; Rehm, C.; Li, N.; Zhou, P.; Hemar, Y. Rheological and structural properties of coagulated milks reconstituted in D2O: Comparison between rennet and a tamarillo enzyme (tamarillin). Food Hydrocoll. 2018, 79, 170–178. [Google Scholar] [CrossRef]
- Xu, J.; Dong, X.; Zhang, L.F.; Jiang, Y.G.; Zhou, L.W. Diffusing wave spectroscopy method based on high-speed charge coupled device for nonergodic systems of electrorheological fluids. Rev. Sci. Instrum. 2002, 73, 3575–3578. [Google Scholar] [CrossRef]
- Alexander, M.; Piska, I.; Dalgleish, D.G. Investigation of particle dynamics in gels involving casein micelles: A diffusing wave spectroscopy and rheology approach. Food Hydrocoll. 2008, 22, 1124–1134. [Google Scholar] [CrossRef]
- Norisuye, T.; Inoue, M.; Shibayama, M.; Tamaki, R.; Chujo, Y. Time-resolved dynamic light scattering study on the dynamics of silica gels during gelation process. Macromolecules 2000, 33, 900–905. [Google Scholar] [CrossRef]
- Glover, Z.J.; Ersch, C.; Andersen, U.; Holmes, M.J.; Povey, M.J.; Brewer, J.R.; Simonsen, A.C. Super-resolution microscopy and empirically validated autocorrelation image analysis discriminates microstructures of dairy derived gels. Food Hydrocoll. 2019, 90, 62–71. [Google Scholar] [CrossRef]
- Glover, Z.J.; Bisgaard, A.H.; Andersen, U.; Povey, M.J.; Brewer, J.R.; Simonsen, A.C. Cross-correlation analysis to quantify relative spatial distributions of fat and protein in super-resolution microscopy images of dairy gels. Food Hydrocoll. 2019, 97, 105225. [Google Scholar] [CrossRef]
- Koyama, Y.; Tanimoto, M.; Fujii, S. Detection of meso-scale heterogeneity in the rennet-induced gelation process via image analysis technique. Milk Sci. 2021, 70, 108–117. [Google Scholar]
- Koyama, Y.; Tanimoto, M.; Fujii, S. Quantification of the rennet-induced gelation kinetics using image analysis technique. Milk Sci. 2021, 70, 118–126. [Google Scholar]
- Lucey, J.A. Formation, structural properties, and rheology of acid-coagulated milk gels. In Cheese, 4th ed.; McSweeney, P.L.H., Fox, P.F., Cotter, P.D., Everett, D.W., Eds.; Academic Press: San Diego, CA, USA; London, UK, 2017; pp. 179–197. [Google Scholar]
- Chambon, F.; Winter, H.H. Linear viscoelasticity at the gel point of a crosslinking PDMS with imbalanced stoichiometry. J. Rheol. 1987, 31, 683–697. [Google Scholar] [CrossRef]
- Leocmach, M.; Nespoulous, M.; Manneville, S.; Gibaud, T. Hierarchical wrinkling in a confined permeable biogel. Sci. Adv. 2015, 1, e1500608. [Google Scholar] [CrossRef] [PubMed]
- Horne, D.S. Casein micelles as hard spheres: Limitations of the model in acidified gel formation. Colloids Surfaces A Physicochem. Eng. Asp. 2013, 213, 255–263. [Google Scholar] [CrossRef]
- Jacob, M.; Noebel, S.; Jaros, D.; Rohm, H. Physical properties of acid milk gels: Acidification rate significantly interacts with cross-linking and hear treatment of milk. Food Hydrocoll. 2011, 25, 928–934. [Google Scholar] [CrossRef]
- Tseng, Q.; Duchemin-Pelletier, E.; Deshiere, A.; Balland, M.; Guillou, H.; Filhol, O.; Théry, M. Spatial organization of the extracellular matrix regulates cell–cell junction positioning. Proc. Nat. Acad. Sci. USA 2012, 109, 1506–1511. [Google Scholar] [CrossRef]
- Lucey, J.A.; Teo, C.T.; Munro, P.A.; Singh, H. Microstructure, permeability and appearance of acid gels made from heated skim milk. Food Hydrocoll. 1998, 12, 159–165. [Google Scholar] [CrossRef]
- Pastore, R.; Pesce, G.; Caggioni, M. Differential variance analysis: A direct method to quantify and visualize dynamic heterogeneities. Sci. Rep. 2017, 7, 43496. [Google Scholar] [CrossRef]
- Jones, R.A.L. Soft Condensed Matter; Oxford Press: Oxford, UK, 2016; pp. 50–51. [Google Scholar]
- Furst, E.M.; Squires, T.M. Microrheology; Oxford Press: Oxford, UK, 2017; pp. 86–134. [Google Scholar]
- Bakshi, A.S.; Smith, D.E. Effect of fat content and temperature on viscosity in relation to pumping requirements of fluid milk products. J. Diary Sci. 1984, 67, 1157–1160. [Google Scholar] [CrossRef]
- Giavazzi, F.; Crotti, S.; Speciale, A.; Serra, F.; Zanchetta, G.; Trappe, V.; Buscaglia, M.; Bellini, T.; Cerbino, R. Viscoelasticity of nematic liquid crystals at a glance. Soft Matter 2014, 10, 3938–3949. [Google Scholar] [CrossRef]
- Reufer, M.; Martinez, V.A.; Schurtenberger, P.; Poon, W.C.K. Differential dynamic microscopy for anisotropic colloidal dynamics. Langmuir 2012, 28, 4618–4624. [Google Scholar] [CrossRef] [PubMed]
- Alexander, M.; Dalgleish, D.G. Application of transmission diffusing wave spectroscopy to the study of gelation of milk by acidification and rennet. Colloids Surfaces B Biointerfaces 2004, 38, 83–90. [Google Scholar] [CrossRef] [PubMed]
- Donato, L.; Alexander, M.; Dalgleish, D.G. Acid gelation in heated and unheated milks: Interactions between serum protein complexes and the surfaces of casein micelles. J. Agric. Food Chem. 2007, 55, 4160–4168. [Google Scholar] [CrossRef] [PubMed]






| Disclaimer/Publisher’s Note: The statements, opinions and data contained in all publications are solely those of the individual author(s) and contributor(s) and not of MDPI and/or the editor(s). MDPI and/or the editor(s) disclaim responsibility for any injury to people or property resulting from any ideas, methods, instructions or products referred to in the content. | 
© 2023 by the authors. Licensee MDPI, Basel, Switzerland. This article is an open access article distributed under the terms and conditions of the Creative Commons Attribution (CC BY) license (https://creativecommons.org/licenses/by/4.0/).
Share and Cite
Sekiguchi, K.; Tanimoto, M.; Fujii, S. Mesoscopic Characterization of the Early Stage of the Glucono-δ-Lactone-Induced Gelation of Milk via Image Analysis Techniques. Gels 2023, 9, 202. https://doi.org/10.3390/gels9030202
Sekiguchi K, Tanimoto M, Fujii S. Mesoscopic Characterization of the Early Stage of the Glucono-δ-Lactone-Induced Gelation of Milk via Image Analysis Techniques. Gels. 2023; 9(3):202. https://doi.org/10.3390/gels9030202
Chicago/Turabian StyleSekiguchi, Kento, Morimasa Tanimoto, and Shuji Fujii. 2023. "Mesoscopic Characterization of the Early Stage of the Glucono-δ-Lactone-Induced Gelation of Milk via Image Analysis Techniques" Gels 9, no. 3: 202. https://doi.org/10.3390/gels9030202
APA StyleSekiguchi, K., Tanimoto, M., & Fujii, S. (2023). Mesoscopic Characterization of the Early Stage of the Glucono-δ-Lactone-Induced Gelation of Milk via Image Analysis Techniques. Gels, 9(3), 202. https://doi.org/10.3390/gels9030202
 
        
