The Removal of Hydrophobic Matter from Thermosensitive Poly[oligo(ethylene glycol) Monomethyl Ether Acrylate] Gel Adsorbent in Alcohol–Water Mixtures
Abstract
:1. Introduction
2. Results and Discussion
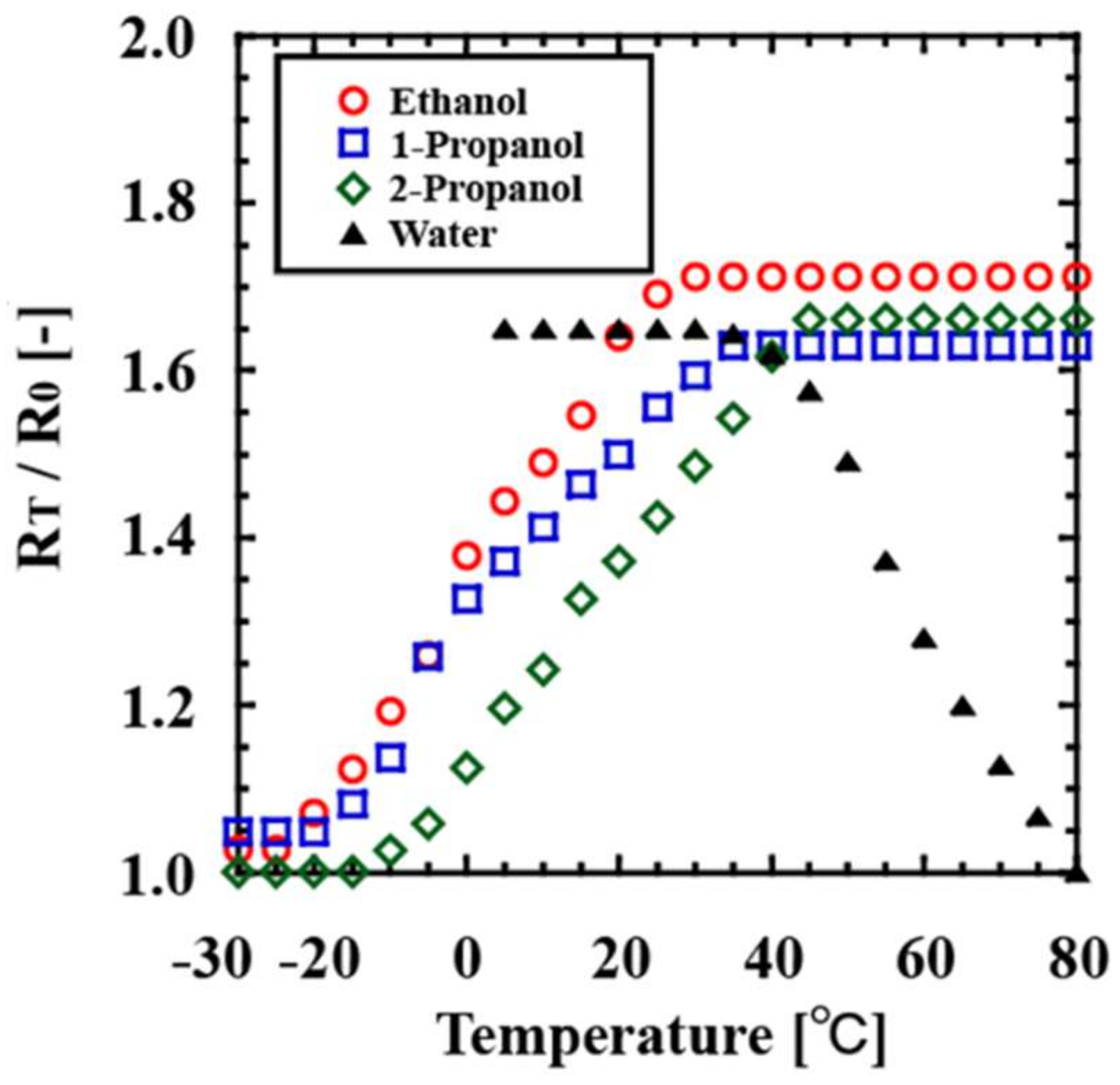
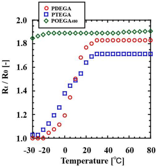
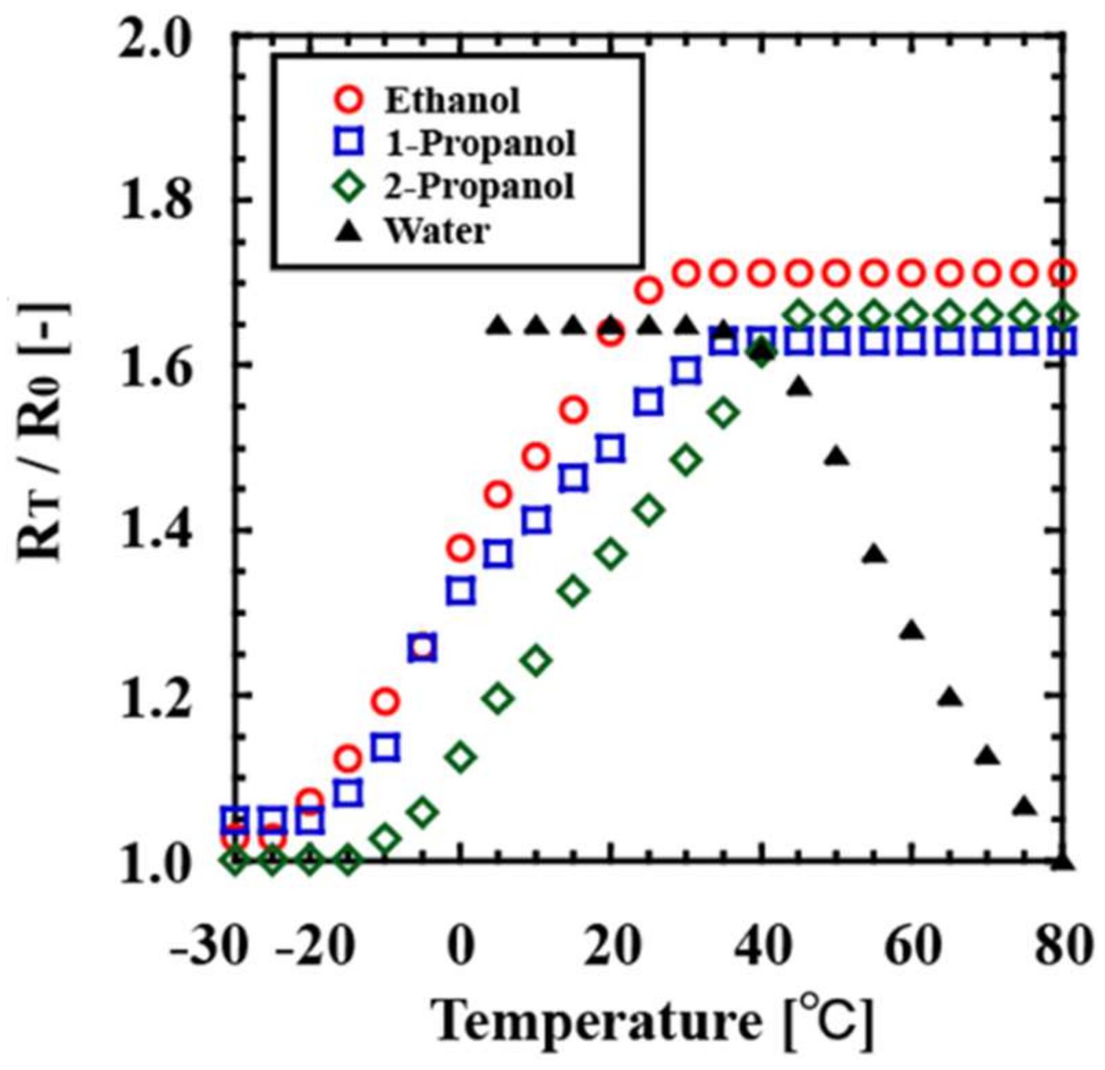
2.1. Transition Behavior of POEG(M)A Gels in Water and Alcohol
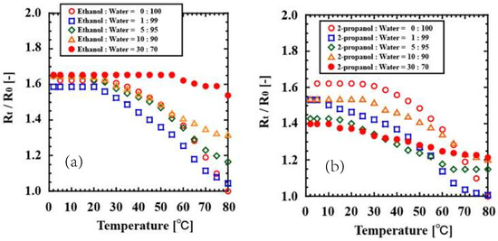
2.2. Adsorption and Desorption of BPA by the POEGA and POEGMA Gels
3. Conclusions
4. Materials and Methods
4.1. Materials
4.2. Preparing the Thermosensitive Porous Gels
4.3. Examining the LCST and UCST Behavior of the Porous Gels
4.4. Measurement of the Contact Angle of the Gel
Supplementary Materials
Author Contributions
Funding
Institutional Review Board Statement
Informed Consent Statement
Data Availability Statement
Conflicts of Interest
References
- Gil, E.S.; Hudson, S.M. Stimuli-responsive polymers and their bioconjugates. Prog. Polym. Sci. 2004, 29, 1173–1222. [Google Scholar] [CrossRef]
- Lutz, J.-F. Polymerization of oligo(ethylene glycol) (meth)acrylates: Toward new generations of smart biocompatible materials. J. Polym. Sci. Pt. A Polym. Chem. 2008, 46, 3459–3470. [Google Scholar] [CrossRef]
- Lutz, J.-F.; Akdemir, Ö.; Hoth, A. Point by Point Comparison of Two Thermosensitive Polymers Exhibiting a Similar LCST: Is the Age of Poly(NIPAM) Over? J. Am. Chem. Soc. 2006, 128, 13046–13047. [Google Scholar] [CrossRef] [PubMed]
- Vancoillie, G.; Frank, D.; Hoogenboom, R. Thermoresponsive poly(oligo ethylene glycol acrylates). Prog. Polym. Sci. 2014, 39, 1074–1095. [Google Scholar] [CrossRef]
- Badi, N. Non-linear PEG-based thermoresponsive polymer systems. Prog. Polym. Sci. 2017, 66, 54–79. [Google Scholar] [CrossRef]
- Boyer, C.; Whittaker, M.R.; Luzon, M.; Davis, T.P. Design and Synthesis of Dual Thermoresponsive and Antifouling Hybrid Polymer/Gold Nanoparticles. Macromolecules 2009, 42, 6917–6926. [Google Scholar] [CrossRef]
- Lutz, J.-F.; Hoth, A. Preparation of Ideal PEG Analogues with a Tunable Thermosensitivity by Controlled Radical Copolymerization of 2-(2-Methoxyethoxy)ethyl Methacrylate and Oligo(ethylene glycol) Methacrylate. Macromolecules 2006, 39, 893–896. [Google Scholar] [CrossRef]
- Roth, P.J.; Jochum, F.D.; Theato, P. UCST-type behavior of poly[oligo(ethylene glycol) methyl ether methacrylate] (POEGMA) in aliphatic alcohols; solvent, cosolvent, molecular weight, and endo group depedences. Soft Matter. 2011, 7, 2484–2492. [Google Scholar] [CrossRef] [Green Version]
- Roth, P.J.; Davis, T.; Lowe, P.A.B. UCST-driven self-assembly and crosslinking of diblock copolymer micelles. Polym. Chem. 2012, 3, 2228–2235. [Google Scholar] [CrossRef]
- Roth, P.J.; Davis, T.P.; Lowe, A.B. Comparison between the LCST and UCST Transitions of Double Thermoresponsive Diblock Copolymers: Insights into the Behavior of POEGMA in Alcohol. Macromolecules 2012, 45, 3221–3230. [Google Scholar] [CrossRef]
- Iizawa, T.; Yamamoto, D.; Gotoh, T.; Sakohara, S. Synthesis of porous poly[oligo(ethylene glycol) methyl ether methacrylate] gels that exhibit thermosensitivity in highly concentrated aqueous NaCl solution. Polymer 2012, 53, 3417–3420. [Google Scholar] [CrossRef]
- Safi, S.R.; Nakata, T.; Hara, S.; Gotoh, T.; Iizawa, T.; Nakai, S. Synthesis, Phase-Transition Behaviour, and Oil Adsorption Performance of Porous Poly[oligo(ethylene glycol) Alkyl Ether Acrylate] Gels. Polymers 2020, 12, 1405. [Google Scholar] [CrossRef] [PubMed]
- Wu, C.X.; Huang, X.L.; Lin, J.; Liu, J.T. Occurrence and fate of selected endocrine-disrupting chemicals in water and sediment from an urban lake. Arch. Environ. Contam. Toxicol. 2015, 68, 225–236. [Google Scholar] [CrossRef] [PubMed] [Green Version]
- Maqbool, F.; Mostafalou, S.; Bahadar, H.; Abdollahi, M. Review of endocrine disorders associated with environmental toxicants and possible involved mechanisms. Life Sci. 2016, 145, 265–273. [Google Scholar] [CrossRef] [PubMed]
- Rovani, S.; Santos, J.J.; Guilhen, S.N.; Coriob, P.; Fungaro, D.A. Fast, efficient and clean adsorption of bisphenol-A using renewable mesoporous silica nanoparticles from sugarcane waste ash. RSC Adv. 2020, 10, 27706–27712. [Google Scholar] [CrossRef]
- Wang, J.; Zhang, M. Adsorption Characteristics and Mechanism of Bisphenol A by Magnetic Biochar. Int. J. Environ. Res. Public Health 2020, 17, 1075. [Google Scholar] [CrossRef] [Green Version]
- Mohamed, M.G.M.; Atayde, E.C.; Matsagar, B.M.; Na, J.; Yamauchi, Y.; Wu, K.C.-W.; Kuo, S.-W. Construction Hierarchically Mesoporous/Microporous Materials Based on Block Copolymer and Covalent Organic Framework. J. Taiwan Inst. Chem. Eng. 2020, 112, 180–192. [Google Scholar] [CrossRef]
- Gómez-Serrano, V.; Adame-Pereira, M.; Alexandre-Franco, M.; Fernández-González, C. Adsorption of bisphenol A by activated carbon developed from PET waste by KOH activation. Environ. Sci. Pollut. Res. 2021, 28, 24342–24354. [Google Scholar] [CrossRef]
- Bautista-Toledo, I.; Ferro-García, M.A.; Rivera-Utrilla, J.; Moreno-Castilla, C.; Vegas Fernández, F.J. Bisphenol A Removal from Water by Activated Carbon, Effects of Carbon Characteristics and Solution Chemistry. Environ. Sci. Technol. 2005, 39, 6246–6250. [Google Scholar] [CrossRef]
- Zheng, S.; Sun, Z.; Park, Y.; Ayoko, G.A.; Frost, R.L. Removal of bisphenol A from wastewater by Ca-montmorillonite modified with selected surfactants. Chem. Eng. J. 2013, 234, 416–422. [Google Scholar] [CrossRef] [Green Version]
- Rathnayake, S.I.; Xi, Y.; Frost, R.L.; Ayoko, G.A. Environmental applications of inorganic–organic clays for recalcitrant organic pollutants removal: Bisphenol A. J. Colloid Interface Sci. 2016, 470, 183–195. [Google Scholar] [CrossRef] [Green Version]
- De Farias, M.B.; Silva, M.G.C.; Vieira, M.G.A. Adsorption of bisphenol A from aqueous solution onto organoclay: Experimental design, kinetic, equilibrium and thermodynamic study. Powder Technol. 2022, 395, 695–707. [Google Scholar] [CrossRef]
- Genc, N.; Durna, E.; Kilicoglu, O. Removal of Bisphenol from Aqueous Solution by Surfactant-Modified Bentonite. J. Water Chem. Technol. 2019, 41, 236–241. [Google Scholar] [CrossRef]
- Tsai, W.-T.; Hsu, H.-C.; Su, T.-Y.; Lin, K.-Y.; Lin, C.-M. Adsorption characteristics of bisphenol-A in aqueous solutions onto hydrophobic zeolite. J. Colloid. Interface Sci. 2006, 299, 513–519. [Google Scholar] [CrossRef]
- Li, J.; Zhan, Y.; Lin, J.; Jiang, A.; Xi, W. Removal of bisphenol A from aqueous solution using cetylpyridinium bromide (CPB)-modified natural zeolites as adsorbents. Environ. Earth Sci. 2014, 72, 3969–3980. [Google Scholar] [CrossRef]
- Kimura, Y.; Yamamoto, M.; Shimazaki, R.; Kashiwada, A.; Matsuda, K.; Yamada, K. Use of chitosan for removal of bisphenol a from aqueous solutions through quinone oxidation by polyphenol oxidase. J. Appl. Polym. Sci. 2012, 124, 796–804. [Google Scholar] [CrossRef]
- Dehghani, M.H.; Ghadermazi, M.; Bhatnagar, A.; Sadighara, P.; Jahed-Khaniki, G.; Heibati, B.; McKay, G. Adsorptive removal of endocrine disrupting bisphenol A from aqueous solution using chitosan. J. Environ. Chem. Eng. 2016, 4, 2647–2655. [Google Scholar] [CrossRef]
- Balarak, D. Kinetics, isotherm and thermodynamics studies on bisphenol A adsorption using barley husk. Int. J. ChemTech Res. 2016, 9, 681–690. [Google Scholar]
- Orimolade, B.; Adekola, F.; Aminat, M.; Idris, A.; Saliu, O.; Yusuf, T. Removal of Bisphenol-A from Aqueous Solution Using Rice Husk Nanosilica: Adsorption Kinetics, Equilibrium and Thermodynamic Studies. J. Appl. Chem. Res. 2018, 12, 8–21. [Google Scholar]
- Pan, B.; Lin, D.; Mashayekhi, H.; Xing, B. Adsorption and Hysteresis of Bisphenol A and 17α-Ethinyl Estradiol on Carbon Nanomaterials. Environm. Sci. Technol. 2008, 42, 5480–5485. [Google Scholar]
- Asada, T.; Oikawa, K.; Kawata, K.; Ishihara, S.; Iyobe, T.; Yamada, A. Study of Removal Effect of Bisphenol A and β-Estradiol by Porous Carbon. J. Health Sci. 2004, 50, 588–593. [Google Scholar] [CrossRef] [Green Version]
- Kono, H.; Onishi, K.; Nakamura, T. Characterization and bisphenol A adsorption capacity of β-cyclodextrin–carboxymethylcellulose-based hydrogels. Carbohydr. Polym. 2013, 98, 784–792. [Google Scholar] [CrossRef] [PubMed]
- Fuzil, N.S.; Othman, N.H.; Jamal, N.A.S.R.A.; Mustapa, A.N.; Alias, N.H.; Dollah, ’A.; Him, N.R.N.; Marpani, F. Bisphenol A Adsorption from Aqueous Solution Using Graphene Oxide-Alginate Beads. J. Polym. Environ. 2022, 30, 597–612. [Google Scholar] [CrossRef]
- Nakano, Y.; Saito, M.; Hirokawa, Y. Reversible Adsorption/Desorption of Target Molecules with Novel Temperature-Sensitive Heteropolymer Gels. Adsorption 2005, 11, 675–678. [Google Scholar] [CrossRef]
- Cao, H.; Guo, F.; Chen, Z.; Kong, X.Z. Preparation of Thermoresponsive Polymer Nanogels of Oligo(Ethylene Glycol) Diacrylate-Methacrylic Acid and Their Property Characterization. Nanoscale Res. Lett. 2018, 13, 209. [Google Scholar] [CrossRef] [Green Version]
- Shoaib, M.M.; Huynh, V.; Shad, Y.; Ahmed, R.; Jesmer, A.H.; Melacini, G.; Wylie, R.G. Controlled degradation of low-fouling poly(oligo(ethylene glycol)methyl ether methacrylate) hydrogels. RSC Adv. 2019, 9, 18978–18988. [Google Scholar] [CrossRef] [Green Version]
- Tsai, B.; Garcia-Valdez, O.; Champagne, P.; Cunningham, M.F. Poly(poly(ethylene glycol) methyl ether methacrylate) grafted chitosan for dye removal from water. Processes 2017, 5, 12. [Google Scholar] [CrossRef] [Green Version]
- Martín-Lara, M.A.; Calero, M.; Ronda, A.; Iáñez-Rodríguez, I.; Escudero, C. Adsorptive Behavior of an Activated Carbon for Bisphenol A Removal in Single and Binary (Bisphenol A—Heavy Metal) Solutions. Water 2020, 12, 2150. [Google Scholar] [CrossRef]
- Chen, X.; Li, P.; Kang, Y.; Zeng, X.; Xie, Y.; Zhang, Y.; Wang, Y.; Xie, T. Preparation of temperature-sensitive Xanthan/NIPA hydrogel using citric acid as crosslinking agent for bisphenol A adsorption. Carbohydr. Polym. 2019, 206, 94–101. [Google Scholar] [CrossRef]
- Du, H.; Shi, S.; Liu, W.; Che, G.; Piao, M. Hydrophobic-force-driven adsorption of bisphenol A from aqueous solution by polyethylene glycol diacrylate hydrogel microsphere. Environ. Sci. Pollut. Res. 2019, 26, 22362–22371. [Google Scholar] [CrossRef]








| Gel | Crosslinker | Degree of Crosslinking (mol%) | Solvent (wt%) |
|---|---|---|---|
| PDEGA (n = 2) | DEGDA | 1 | 15 wt% Aqueous ethanol solution |
| PTEGA (n = 3) | DEGDA | 1 | Water |
| POEGA480 (n = 8–9) | DEGDA | 1 | 8 wt% Aqueous NaCl solution |
| PDEGMA (n = 2) | DEGDMA | 2 | 80 wt% Aqueous ethanol solution |
| PTEGMA (n = 3) | DEGDMA | 2 | 20 wt% Aqueous ethanol solution |
| POEGMA300 (n = 4–5) | DEGDMA | 2 | Water |
| PNIPA | MBAA | 1 | 20 wt% Aqueous DMF solution |
Publisher’s Note: MDPI stays neutral with regard to jurisdictional claims in published maps and institutional affiliations. |
© 2022 by the authors. Licensee MDPI, Basel, Switzerland. This article is an open access article distributed under the terms and conditions of the Creative Commons Attribution (CC BY) license (https://creativecommons.org/licenses/by/4.0/).
Share and Cite
Safi, S.R.; Kaneko, T.; Nakahara, K.; Gotoh, T.; Iizawa, T. The Removal of Hydrophobic Matter from Thermosensitive Poly[oligo(ethylene glycol) Monomethyl Ether Acrylate] Gel Adsorbent in Alcohol–Water Mixtures. Gels 2022, 8, 200. https://doi.org/10.3390/gels8040200
Safi SR, Kaneko T, Nakahara K, Gotoh T, Iizawa T. The Removal of Hydrophobic Matter from Thermosensitive Poly[oligo(ethylene glycol) Monomethyl Ether Acrylate] Gel Adsorbent in Alcohol–Water Mixtures. Gels. 2022; 8(4):200. https://doi.org/10.3390/gels8040200
Chicago/Turabian StyleSafi, Syed Ragib, Toshiki Kaneko, Katsuhiro Nakahara, Takehiko Gotoh, and Takashi Iizawa. 2022. "The Removal of Hydrophobic Matter from Thermosensitive Poly[oligo(ethylene glycol) Monomethyl Ether Acrylate] Gel Adsorbent in Alcohol–Water Mixtures" Gels 8, no. 4: 200. https://doi.org/10.3390/gels8040200
APA StyleSafi, S. R., Kaneko, T., Nakahara, K., Gotoh, T., & Iizawa, T. (2022). The Removal of Hydrophobic Matter from Thermosensitive Poly[oligo(ethylene glycol) Monomethyl Ether Acrylate] Gel Adsorbent in Alcohol–Water Mixtures. Gels, 8(4), 200. https://doi.org/10.3390/gels8040200

