Ultraviolet Radiation Protective and Anti-Inflammatory Effects of Kaempferia galanga L. Rhizome Oil and Microemulsion: Formulation, Characterization, and Hydrogel Preparation
Abstract
1. Introduction
2. Results and Discussion
2.1. K. galanga Rhizome Oil Distillation Yield
2.2. K. galanga Rhizome Oil Constituents Analyzed by GC-MS
2.3. Quantitative Analysis of Ethyl Cinnamate in K. galanga Rhizome Oil via UV-Vis Spectrophotometry
2.4. Construction of the Pseudo-Ternary Phase Diagram
2.5. Type of K. galanga Rhizome Oil Microemulsion
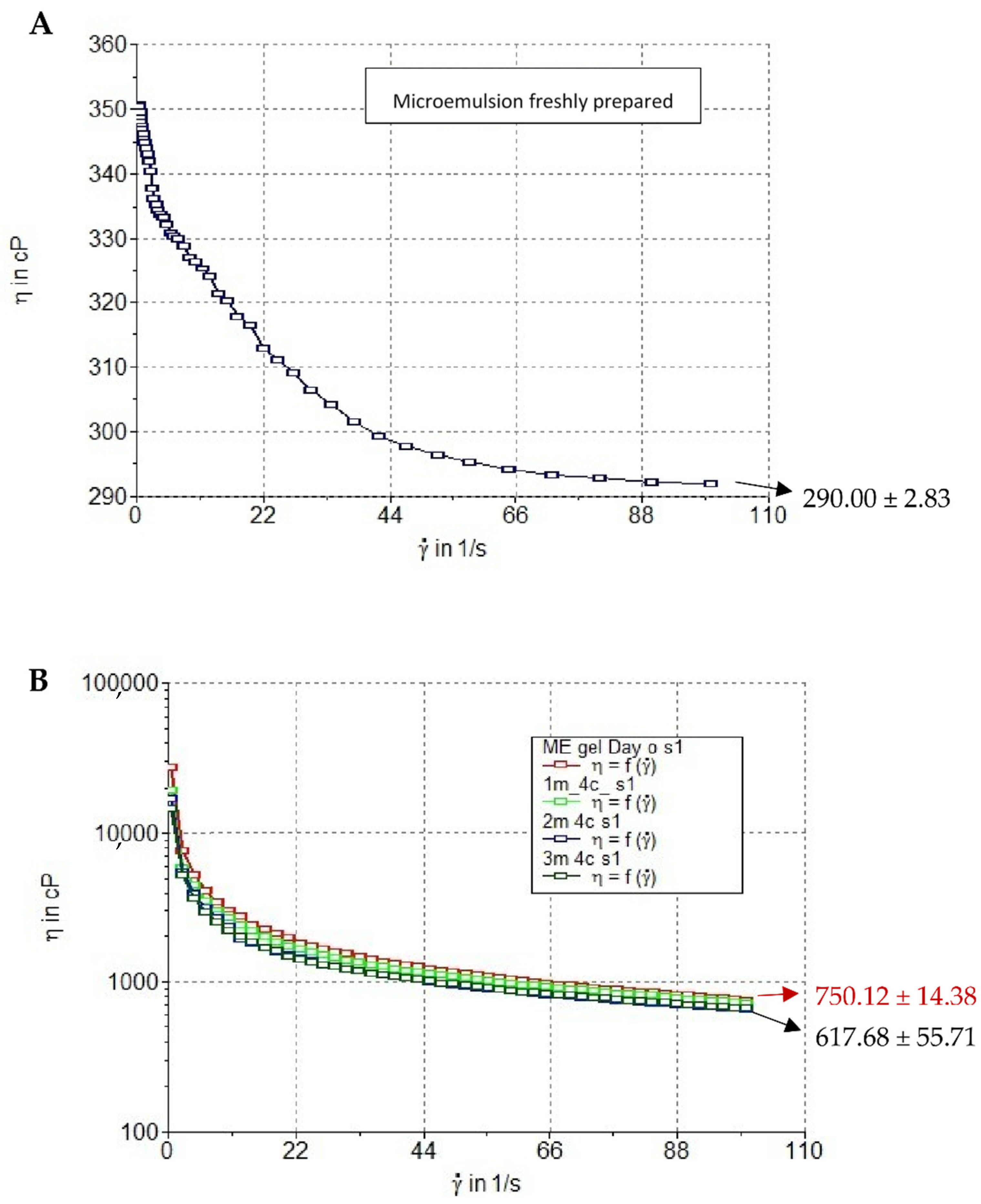
2.6. Physical Characteristics and Stability of Microemulsion
2.7. Chemical Characterization of K. galanga Rhizome Oil and Microemulsion and Chemical Stability of K. galanga Rhizome Oil Microemulsion
2.8. In Vitro Photoprotective Effect of K. galanga Rhizome Oil and Microemulsion
2.9. In Vitro Cytotoxicity of K. galanga Rhizome Oil and Microemulsion on RAW 264.7 Cells
2.10. Anti-Inflammatory Effects of K. galanga Rhizome Oil and Microemulsion
2.11. Formulation of K. galanga Rhizome Oil Microemulsion Based Hydrogel
2.12. Physical Stability of K. galanga Rhizome Oil Microemulsion Based Hydrogel
3. Conclusions
4. Materials and Methods
4.1. Materials
4.2. Plant Collection and Identification
4.3. Hydrodistillation of K. galanga Rhizome
4.4. Chemical Analysis of K. galanga Rhizome Oil Constituents via Gas Chromatography Coupled with Mass Spectrometry
4.5. Chemical Characterization of K. galanga Rhizome Oil by UV-Vis Spectrophotometry
4.6. Preparation of K. galanga Rhizome Oil Microemulsion by the Phase Titration Method
4.7. Measurement of Size, PDI, and Zeta Potential Values of K. galanga Rhizome Oil Microemulsion
4.8. Type of K. galanga Rhizome Oil Microemulsion
4.9. Determination of the Physical Stability of K. galanga Rhizome Oil Microemulsion
4.10. Determination of % Recovery of Ethyl Cinnamate in K. galanga Rhizome Oil Microemulsion
4.11. Chemical Stability of Ethyl Cinnamate in K. galanga Rhizome Oil Microemulsion
4.12. In Vitro Determination of UV Protective Effect of K. galanga Rhizome Oil and Microemulsion
4.13. In Vitro Cytotoxicity of K. galanga Rhizome Oil and Microemulsion against RAW 264.7 Cells
4.14. In Vitro Anti-Inflammatory Assay of K. galanga Rhizome Oil and Microemulsion
4.15. Formulation of K. galanga Rhizome Oil Microemulsion-Based Hydrogel
4.16. Appearance, Rheology, pH, and Physical Stability of K. galanga Rhizome Oil Microemulsion-Based Hydrogel
4.17. Statistical Analyses
Author Contributions
Funding
Institutional Review Board Statement
Informed Consent Statement
Data Availability Statement
Conflicts of Interest
References
- Romanhole, R.C.; Ataide, J.A.; Moriel, P.; Mazzola, P.G. Update on ultraviolet A and B radiation generated by the sun and artificial lamps and their effects on skin. Int. J. Cosmet. Sci. 2015, 37, 366–370. [Google Scholar] [CrossRef] [PubMed]
- González, S.; Fernández-Lorente, M.; Gilaberte-Calzada, Y. The latest on skin photoprotection. Clin. Dermatol. 2008, 26, 614–626. [Google Scholar] [CrossRef] [PubMed]
- de Gruijl, F.R.; van der Leun, J.C. Environment and health: 3. Ozone depletion and ultraviolet radiation. Cmaj 2000, 163, 851–855. [Google Scholar] [PubMed]
- Poon, F.; Kang, S.; Chien, A.L. Mechanisms and treatments of photoaging. Photodermatol. Photoimmunol. Photomed. 2015, 31, 65–74. [Google Scholar] [CrossRef] [PubMed]
- Salminen, A.; Kaarniranta, K.; Kauppinen, A. Photoaging: UV radiation-induced inflammation and immunosuppression accelerate the aging process in the skin. Inflamm. Res. 2022, 71, 817–831. [Google Scholar] [CrossRef] [PubMed]
- Kaur, C.D.; Saraf, S. In vitro sun protection factor determination of herbal oils used in cosmetics. Pharmacogn. Res. 2010, 2, 22–25. [Google Scholar] [CrossRef]
- Badea, G.; Lăcătuşu, I.; Badea, N.; Ott, C.; Meghea, A. Use of various vegetable oils in designing photoprotective nanostructured formulations for UV protection and antioxidant activity. Ind. Crops Prod. 2015, 67, 18–24. [Google Scholar] [CrossRef]
- Raina, A.P.; Abraham, Z. Chemical profiling of essential oil of Kaempferia galanga L. germplasm from India. J. Essent. Oil Res. 2016, 28, 29–34. [Google Scholar] [CrossRef]
- Indrayan, A.K.; Shatru, A.; Rathi, A.K.R. Antibacterial and Antifungal Investigations of Essential Oil and Various Extracts from the Rhizomes of Kaempferia galanga Linn. Indian Drugs 2007, 44, 312. [Google Scholar]
- Munda, S.; Saikia, P.; Lal, M. Chemical composition and biological activity of essential oil of Kaempferia galanga: A review. J. Essent. Oil Res. 2018, 30, 303–308. [Google Scholar] [CrossRef]
- Lawrence, M.J.; Rees, G.D. Microemulsion-based media as novel drug delivery systems. Adv. Drug Deliv. Rev. 2000, 45, 89–121. [Google Scholar] [CrossRef]
- Moulik, S.; Rakshit, A.K. Physicochemisty and applications of microemulsions. J. Surf. Sci. Technol. 2006, 22, 159–186. [Google Scholar]
- Pumival, P.; Tadtong, S.; Athikomkulchai, S.; Chittasupho, C. Antifungal Activity and the Chemical and Physical Stability of Microemulsions Containing Citrus hystrix DC Leaf Oil. Nat. Prod. Commun. 2020, 15, 1934578X20957755. [Google Scholar] [CrossRef]
- Tunit, P.; Chittasupho, C.; Sriyakul, K.; Tungsuruthai, P.; Chakkavittumrong, P.; Na-Bangchang, K.; Kietinun, S. Emulgels Containing Perilla frutescens Seed Oil, Moringa oleifera Seed Oil, and Mixed Seed Oil: Microemulsion and Safety Assessment. Polymers 2022, 14, 2348. [Google Scholar] [CrossRef] [PubMed]
- Aboudzadeh, M.A.; Mehravar, E.; Fernandez, M.; Lezama, L.; Tomovska, R. Low-Energy Encapsulation of α-Tocopherol Using Fully Food Grade Oil-in-Water Microemulsions. ACS Omega 2018, 3, 10999–11008. [Google Scholar] [CrossRef] [PubMed]
- Rahdar, A.; Sargazi, S.; Barani, M.; Shahraki, S.; Sabir, F.; Aboudzadeh, M.A. Lignin-Stabilized Doxorubicin Microemulsions: Synthesis, Physical Characterization, and In Vitro Assessments. Polymers 2021, 13, 641. [Google Scholar] [CrossRef]
- Klier, J.; Tucker, C.J.; Kalantar, T.H.; Green, D.P. Properties and Applications of Microemulsions. Adv. Mater. 2000, 12, 1751–1757. [Google Scholar] [CrossRef]
- Setyawati, A.; Indah, F.F.; Ardani, Y.K. The effect of essential oil concentrations on particle size of kencur (Kaempferia galanga L.) nanoemulsions with maltodextrin and tween 80 as emulgators. J. Pijar Mipa 2022, 17, 544–548. [Google Scholar] [CrossRef]
- Kundu, A.; Mandal, A.; Dutta, A.; Saha, S.; Raina, A.P.; Kumar, R.; Ghosh, A. Nanoemulsification of Kaempferia galanga essential oil: Characterizations and molecular interactions explaining fungal growth suppression. Process Biochem. 2022, 121, 228–239. [Google Scholar] [CrossRef]
- Praseptiangga, D.; Ferichani, I.P.; Mufida, N. Development and Characterization of Bioactive Edible Films Based on Semi-Refined Kappa Carrageenan Incorporated with Honey and Kaempferia galanga L. Essential Oil. Trends Sci. 2022, 19, 5761. [Google Scholar] [CrossRef]
- Muchtaridi, M.; Abdullah, D.A.; Suhandi, C.; Sumiwi, S.A.; Ikram, N.K.K. Anti-Inflammatory Activity of Alpinia malaccensis (Burm. f.) Roscoe and Kaempferia galanga L. Rhizome Essential Oil Gel Formulations by Carrageenan Induction Method. Sains Malays. 2022, 51, 1411–1424. [Google Scholar] [CrossRef]
- Athikomkulchai, S.; Vayumhasuwan, P.; Tunvichien, S.; Piyapong, S.; Malaipuang, S.; Ruangrungsi, N. The Development of Sunscreen Products from Kaempferia galanga. J. Health Res. 2018, 21, 253–256. [Google Scholar]
- Charisma, S.L.; Rahayu, W.S.; Wahyuingrum, R. Determination of Sun Protection Factor and Antioxidant Properties of Cream Formulation of Kencur (Kaempferia galanga L.) and Temu Kunci (Boesenbergia pandurata (Roxb.) Schlecht) Rhizomes Extract. Pharmaciana 2018, 8, 321–330. [Google Scholar] [CrossRef]
- Elya, B.; Kusuma, I.; Jufri, M.; Handayani, R. Antibacterial Tests Against Acne in vitro, the Physical Stability and Patch Test using Cream Containing Ethyl p-methoxycinnamate Extracted from Kaempferia galanga L., Rhizoma. Res. J. Med. Plants 2016, 10, 426–434. [Google Scholar] [CrossRef][Green Version]
- Pratama, G.; Yanuarti, R.; Ilhamdy, A.F.; Suhana, M.P. Formulation of sunscreen cream from Eucheuma cottonii and Kaempferia galanga (zingiberaceae). IOP Conf. Ser. Earth Environ. Sci. 2019, 278, 012062. [Google Scholar] [CrossRef]
- Sahoo, S.; Parida, R.; Singh, S.; Padhy, R.N.; Nayak, S. Evaluation of yield, quality and antioxidant activity of essential oil of in vitro propagated Kaempferia galanga Linn. J. Acute Dis. 2014, 3, 124–130. [Google Scholar] [CrossRef]
- Bhuiyan, M.N.I.; Begum, J.; Anwar, M.N. Essential oils of leaves and rhizomes of Kaempferia galanga Linn. Chittagong Univ. J. Biol. Sci. 2013, 3, 65–76. [Google Scholar] [CrossRef]
- Srivastava, G.K.; Alonso-Alonso, M.L.; Fernandez-Bueno, I.; Garcia-Gutierrez, M.T.; Rull, F.; Medina, J.; Coco, R.M.; Pastor, J.C. Comparison between direct contact and extract exposure methods for PFO cytotoxicity evaluation. Sci. Rep. 2018, 8, 1425. [Google Scholar] [CrossRef]
- Wong, K.C.; Ong, K.S.; Lim, C.L. Compositon of the essential oil of rhizomes of kaempferia galanga L. Flavour Fragr. J. 1992, 7, 263–266. [Google Scholar] [CrossRef]
- Barra, A. Factors Affecting Chemical Variability of Essential Oils: A Review of Recent Developments. Nat. Prod. Commun. 2009, 4, 1147–1154. [Google Scholar] [CrossRef]
- Singpanna, K.; Nuntharatanapong, N.; Rojanarata, T.; Panupan, L.; Patrojanasophon, P.; Opanasopit, P. Development and evaluation of p-chlorophenyl benzyl ether-loaded microemulsions for transdermal delivery. J. Curr. Sci. Technol. 2021, 11, 90–99. [Google Scholar] [CrossRef]
- Sirotti, C.; Coceani, N.; Colombo, I.; Lapasin, R.; Grassi, M. Modeling of drug release from microemulsions: A peculiar case. J. Membr. Sci. 2002, 204, 401–412. [Google Scholar] [CrossRef]
- Gaikwad, V.L.; Choudhari, P.B.; Bhatia, N.M.; Bhatia, M.S. Chapter 2—Characterization of pharmaceutical nanocarriers: In vitro and in vivo studies. In Nanomaterials for Drug Delivery and Therapy; Grumezescu, A.M., Ed.; William Andrew Publishing: Norwich, NY, USA, 2019; pp. 33–58. [Google Scholar] [CrossRef]
- Chizawa, Y.; Miyagawa, Y.; Yoshida, M.; Adachi, S. Effect of crystallization of oil phase on the destabilization of O/W emulsions containing vegetable oils with low melting points. Colloids Surf. A Physicochem. Eng. Asp. 2019, 582, 123824. [Google Scholar] [CrossRef]
- Ak, S. Kinetics and Solvent Effect in Hydrolysis of Ethyl Cinnamate in Water- Methanol Mixture. J. Phys. Chem. Biophys. 2017, 7, 1–4. [Google Scholar] [CrossRef]
- Gorman, W.G.; Hall, G.D. Use of dielectric constants in the classification of surfactants. J. Pharm. Sci. 1963, 52, 442–446. [Google Scholar] [CrossRef]
- Buranasukhon, W.; Athikomkulchai, S.; Tadtong, S.; Chittasupho, C. Wound healing activity of Pluchea indica leaf extract in oral mucosal cell line and oral spray formulation containing nanoparticles of the extract. Pharm. Biol. 2017, 55, 1767–1774. [Google Scholar] [CrossRef]
- Gundogdu, E.; Karasulu, H.Y.; Koksal, C.; Karasulu, E. The novel oral imatinib microemulsions: Physical properties, cytotoxicity activities and improved Caco-2 cell permeability. J. Microencapsul. 2013, 30, 132–142. [Google Scholar] [CrossRef]
- Lv, X.; Liu, T.; Ma, H.; Tian, Y.; Li, L.; Li, Z.; Gao, M.; Zhang, J.; Tang, Z. Preparation of Essential Oil-Based Microemulsions for Improving the Solubility, pH Stability, Photostability, and Skin Permeation of Quercetin. AAPS PharmSciTech 2017, 18, 3097–3104. [Google Scholar] [CrossRef]
- Forouz, F.; Dabbaghi, M.; Namjoshi, S.; Mohammed, Y.; Roberts, M.S.; Grice, J.E. Development of an Oil-in-Water Self-Emulsifying Microemulsion for Cutaneous Delivery of Rose Bengal: Investigation of Anti-Melanoma Properties. Pharmaceutics 2020, 12, 947. [Google Scholar] [CrossRef]
- Lopes, L.B. Overcoming the cutaneous barrier with microemulsions. Pharmaceutics 2014, 6, 52–77. [Google Scholar] [CrossRef]
- Umar, M.I.; Asmawi, M.Z.; Sadikun, A.; Majid, A.M.; Al-Suede, F.S.; Hassan, L.E.; Altaf, R.; Ahamed, M.B. Ethyl-p-methoxycinnamate isolated from Kaempferia galanga inhibits inflammation by suppressing interleukin-1, tumor necrosis factor-α, and angiogenesis by blocking endothelial functions. Clinics 2014, 69, 134–144. [Google Scholar] [CrossRef]
- George, G.; Shyni, G.L.; Abraham, B.; Nisha, P.; Raghu, K.G. Downregulation of TLR4/MyD88/p38MAPK and JAK/STAT pathway in RAW 264.7 cells by Alpinia galanga reveals its beneficial effects in inflammation. J. Ethnopharmacol. 2021, 275, 114132. [Google Scholar] [CrossRef] [PubMed]
- Adegbaju, O.D.; Otunola, G.A.; Afolayan, A.J. Anti-inflammatory and cytotoxic evaluation of extracts from the flowering stage of Celosia argentea. BMC Complement. Med. Ther. 2020, 20, 152. [Google Scholar] [CrossRef]
- Jabit, M.L.; Wahyuni, F.S.; Khalid, R.; Israf, D.A.; Shaari, K.; Lajis, N.H.; Stanslas, J. Cytotoxic and nitric oxide inhibitory activities of methanol extracts of Garcinia species. Pharm. Biol. 2009, 47, 1019–1026. [Google Scholar] [CrossRef]
- Sugiartanti, D.; Wiedosari, E. Immunomodulation Effect of Kaempferia galanga Ethanolic Extract On In Vitro Lymphocyte Cell Proliferation. Bul. Penelit. Tanam. Rempah Obat 2021, 32, 31. [Google Scholar] [CrossRef]
- Dash, S.; Ray, M.; Parida, R.; Achary, K.G.; Nayak, S.; Singh, S. Edible plant-derived essential oils synergistically enhance the Th1, Th2 and anti-inflammatory cytokines in neonatal cord blood monocytic cell line. Food Agric. Immunol. 2018, 29, 346–357. [Google Scholar] [CrossRef]
- Yousofi, A.; Daneshmandi, S.; Soleimani, N.; Bagheri, K.; Karimi, M.H. Immunomodulatory effect of Parsley (Petroselinum crispum) essential oil on immune cells: Mitogen-activated splenocytes and peritoneal macrophages. Immunopharmacol. Immunotoxicol. 2012, 34, 303–308. [Google Scholar] [CrossRef]
- Lukić, M.; Pantelic, I.; Savić, S.D. Towards Optimal pH of the Skin and Topical Formulations: From the Current State of the Art to Tailored Products. Cosmetics 2021, 8, 69. [Google Scholar] [CrossRef]
- Adams, T.B.; Cohen, S.M.; Doull, J.; Feron, V.J.; Goodman, J.I.; Marnett, L.J.; Munro, I.C.; Portoghese, P.S.; Smith, R.L.; Waddell, W.J.; et al. The FEMA GRAS assessment of cinnamyl derivatives used as flavor ingredients. Food Chem. Toxicol. 2004, 42, 157–185. [Google Scholar] [CrossRef]
- Uk, I.; Singh, A. Kinetics and Solvent Effect on Hydrolysis of Ethyl Cinnamate in Water-Methanol Mixture. Int. J. Eng. Appl. Comput. Sci. 2017, 2, 255–258. [Google Scholar] [CrossRef]
- Jones, B.; Watkinson, J.G. 817. The alkaline hydrolysis of nuclear-substituted ethyl cinnamates. The cumulative effects of substituents. J. Chem. Soc. 1958, 4064–4069. [Google Scholar] [CrossRef]
- Hauser, C.R.; Breslow, D.S. The Mechanism of Elimination of Water from Organic Compounds in the Presence of Bases1. J. Am. Chem. Soc. 1940, 62, 3344–3346. [Google Scholar] [CrossRef]
- Yang, X.H.; Zhu, W.L. Viscosity properties of sodium carboxymethylcellulose solutions. Cellulose 2007, 14, 409–417. [Google Scholar] [CrossRef]
- European Directorate for the Quality of Medicines & HealthCare. Essential oils in herbal drugs. In European Pharmacopoeia, 8th ed.; European Directorate for the Quality of Medicines & HealthCare: Strasbourg, France, 2014. [Google Scholar]
- Shindo, Y.; Horie, K.; Mita, I. Rate for Photodimerization of Ethyl Cinnamate in dilute solution. Chem. Lett. 1983, 12, 639–642. [Google Scholar] [CrossRef]
- Yotsawimonwat, S.; Okonoki, S.; Krauel, K.; Sirithunyalug, J.; Sirithunyalug, B.; Rades, T. Characterisation of microemulsions containing orange oil with water and propylene glycol as hydrophilic components. Pharmazie 2006, 61, 920–926. [Google Scholar]
- Tsuzuki, T.; Wang, X. Nanoparticle Coatings for UV Protective Textiles. Res. J. Text. Appar. 2010, 14, 9–20. [Google Scholar] [CrossRef]
- Chittasupho, C.; Kengtrong, K.; Chalermnithiwong, S.; Sarisuta, N. Anti-angiogenesis by dual action of R5K peptide conjugated itraconazole nanoparticles. AAPS PharmSciTech 2020, 21, 74. [Google Scholar] [CrossRef] [PubMed]
- Tunit, P.; Thammarat, P.; Okonogi, S.; Chittasupho, C. Hydrogel Containing Borassus flabellifer L. Male Flower Extract for Antioxidant, Antimicrobial, and Anti-Inflammatory Activity. Gels 2022, 8, 126. [Google Scholar] [CrossRef]














| Retention Time (min) | % Area | Chemical Name | CAS NO. | Quality |
|---|---|---|---|---|
| 4.354 | 0.11 | α–Tricyclene | 508-32-7 | 96 |
| 4.507 | 0.53 | L-α-Pinene | 7785-26-4 | 97 |
| 4.728 | 1.45 | Camphene | 79-92-5 | 97 |
| 5.024 | 0.25 | 3,7,7-Trimethyl-1,3,5-cycloheptatriene | 3479-89-8 | 97 |
| 5.126 | 0.25 | 2(10)-Pinene | 123-91-3 | 95 |
| 5.256 | 0.14 | β-Myrcene | 123-35-3 | 97 |
| 5.426 | 0.10 | Octanal | 124-13-0 | 87 |
| 5.589 | 3.79 | 3-Carene | 13466-78-9 | 96 |
| 5.790 | 0.81 | o-Cymene | 527-84-4 | 97 |
| 5.854 | 0.50 | D-Limonene | 5989-27-5 | 99 |
| 5.910 | 6.19 | Eucaliptol | 470-82-6 | 98 |
| 7.637 | 0.09 | Camphor | 76-22-2 | 97 |
| 7.810 | 0.75 | p-Mentha-1,5-dien-8-ol | 1686-20-0 | 83 |
| 7.926 | 4.32 | endo-Borneol | 507-700-0 | 97 |
| 8.054 | 0.20 | 2-Caren-4-ol | 6617-35-2 | 97 |
| 8.103 | 0.40 | m-Cymen-8-ol | 5208-37-7 | 95 |
| 8.165 | 0.24 | p-Cymen-8-ol | 1197-01-9 | 93 |
| 8.262 | 0.20 | L-α-Terpineol | 10482-56-1 | 91 |
| 8.739 | 0.15 | Eucarvone | 503-93-5 | 86 |
| 10.010 | 0.16 | 4,7,7-Trimethylbicyclo (4.1.0) hept-3-en-2-one | 81800-50-2 | 99 |
| 11.035 | 0.19 | Tetradecane | 629-59-4 | 98 |
| 11.248 | 0.71 | Cyperene | 2387-78-2 | 98 |
| 11.348 | 0.12 | α-Gurjunene | 489-40-7 | 97 |
| 11.965 | 36.33 | Ethyl cinnamate | 103-36-6 | 98 |
| 12.079 | 0.22 | 1-Ethyl-2-methyl cyclododecane | 22681-52-3 | 94 |
| 12.296 | 13.12 | Pentadecane | 629-62-9 | 98 |
| 12.643 | 0.40 | γ-Cadinene | 39029-41-9 | 99 |
| 12.728 | 0.36 | δ-Cadinene | 483-76-1 | 98 |
| 12.844 | 0.16 | Cubebol | 23445-02-5 | 95 |
| 13.213 | 0.27 | Germacrene B | 15423-57-1 | 99 |
| 14.403 | 0.89 | Ethyl p-methoxycinnamate | 1929-30-2 | 99 |
| 14.490 | 0.22 | 6(E),8(E)-Heptadecadiene | 2000321-41-2 | 93 |
| 14.568 | 0.30 | (Z)-3-Heptadecene | 2000328-51-7 | 98 |
| 14.808 | 0.31 | Heptadecane | 629-78-7 | 98 |
| 15.486 | 23.77 | (E)-Ethyl-p-methoxycinnamate | 24393-56-4 | 99 |
Publisher’s Note: MDPI stays neutral with regard to jurisdictional claims in published maps and institutional affiliations. |
© 2022 by the authors. Licensee MDPI, Basel, Switzerland. This article is an open access article distributed under the terms and conditions of the Creative Commons Attribution (CC BY) license (https://creativecommons.org/licenses/by/4.0/).
Share and Cite
Chittasupho, C.; Ditsri, S.; Singh, S.; Kanlayavattanakul, M.; Duangnin, N.; Ruksiriwanich, W.; Athikomkulchai, S. Ultraviolet Radiation Protective and Anti-Inflammatory Effects of Kaempferia galanga L. Rhizome Oil and Microemulsion: Formulation, Characterization, and Hydrogel Preparation. Gels 2022, 8, 639. https://doi.org/10.3390/gels8100639
Chittasupho C, Ditsri S, Singh S, Kanlayavattanakul M, Duangnin N, Ruksiriwanich W, Athikomkulchai S. Ultraviolet Radiation Protective and Anti-Inflammatory Effects of Kaempferia galanga L. Rhizome Oil and Microemulsion: Formulation, Characterization, and Hydrogel Preparation. Gels. 2022; 8(10):639. https://doi.org/10.3390/gels8100639
Chicago/Turabian StyleChittasupho, Chuda, Sakdanai Ditsri, Sudarshan Singh, Mayuree Kanlayavattanakul, Natthachai Duangnin, Warintorn Ruksiriwanich, and Sirivan Athikomkulchai. 2022. "Ultraviolet Radiation Protective and Anti-Inflammatory Effects of Kaempferia galanga L. Rhizome Oil and Microemulsion: Formulation, Characterization, and Hydrogel Preparation" Gels 8, no. 10: 639. https://doi.org/10.3390/gels8100639
APA StyleChittasupho, C., Ditsri, S., Singh, S., Kanlayavattanakul, M., Duangnin, N., Ruksiriwanich, W., & Athikomkulchai, S. (2022). Ultraviolet Radiation Protective and Anti-Inflammatory Effects of Kaempferia galanga L. Rhizome Oil and Microemulsion: Formulation, Characterization, and Hydrogel Preparation. Gels, 8(10), 639. https://doi.org/10.3390/gels8100639

