Microgels of N-Isopropylacrylamide Copolymerized with an Amphiphilic Acid for the Delivery of Doxorubicin
Abstract
1. Introduction
2. Results and Discussion
2.1. Synthesis and Characterization of Microgels
2.1.1. FTIR
2.1.2. Determination of Acid Content
2.1.3. Particle Size, Zeta Potential, and Transition Temperature
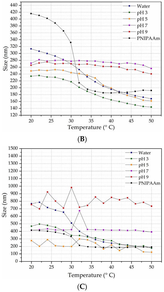
2.1.4. Particle Size in Respect to Temperature
2.2. Drug Loading
2.3. Drug Release Study
2.4. Cell Viability
3. Conclusions
4. Materials and Methods
4.1. Materials
4.2. Synthesis of Microgels
4.2.1. Synthesis of Amphiphilic Monomer: 6-Methacryloylamidohexanoic Acid (CAM5)
4.2.2. Synthesis of Microgels
4.3. Characterization of Microgels
4.3.1. Infrared Spectra
4.3.2. Particle Size
4.3.3. Transition Temperature
4.3.4. Z-Potential
4.3.5. Determination of the Acid Content
4.4. Drug Loading Study
4.5. In-Vitro Drug Release
Quantification of Dox
4.6. Cell Viability
Author Contributions
Funding
Institutional Review Board Statement
Informed Consent Statement
Data Availability Statement
Acknowledgments
Conflicts of Interest
References
- Pérez-Herrero, E.; Fernández-Medarde, A. Advanced targeted therapies in cancer: Drug nanocarriers, the future of chemotherapy. Eur. J. Pharm. Biopharm. 2015, 93, 52–79. [Google Scholar] [CrossRef] [PubMed]
- Sung, H.; Ferlay, J.; Siegel, R.L.; Laversanne, M.; Soerjomataram, I.; Jemal, A.; Bray, F. Global Cancer Statistics 2020: GLOBOCAN Estimates of Incidence and Mortality Worldwide for 36 Cancers in 185 Countries. CA A Cancer J. Clin. 2021, 71, 209–249. [Google Scholar] [CrossRef]
- Attama, A.A.; Nnamani, P.O.; Onokala, O.B.; Ugwu, A.A.; Onugwu, A.L. Nanogels as target drug delivery systems in cancer therapy: A review of the last decade. Front. Pharmacol. 2022, 13, 874510. [Google Scholar] [CrossRef] [PubMed]
- Peña, Q.; Wang, A.; Zaremba, O.; Shi, Y.; Scheeren, H.W.; Metselaar, J.M.; Kiessling, F.; Pallares, R.M.; Wuttke, S.; Lammers, T. Metallodrugs in cancer nanomedicine. Chem. Soc. Rev. 2022, 51, 2544–2582. [Google Scholar] [CrossRef] [PubMed]
- Matsumura, Y.; Maeda, H. A new concept for macromolecular therapeutics in cancer chemotherapy: Mechanism of tumoritropic accumulation of proteins and the antitumor agent smancs. Cancer Res. 1986, 46 Pt 1, 6387–6392. [Google Scholar]
- Murphy, E.A.; Majeti, B.K.; Mukthavaram, R.; Acevedo, L.M.; Barnes, L.A.; Cheresh, D.A. Targeted Nanogels: A Versatile Platform for Drug Delivery to Tumors. Mol. Cancer Ther. 2011, 10, 972–982. [Google Scholar] [CrossRef]
- Whiteside, T.L. The tumor microenvironment and its role in promoting tumor growth. Oncogene 2008, 27, 5904–5912. [Google Scholar] [CrossRef]
- He, Q.; Chen, J.; Yan, J.; Cai, S.; Xiong, H.; Liu, Y.; Peng, D.; Mo, M.; Liu, Z. Tumor microenvironment responsive drug delivery systems. Asian J. Pharm. Sci. 2020, 15, 416–448. [Google Scholar] [CrossRef]
- Yang, M.; Li, J.; Gu, P.; Fan, X. The application of nanoparticles in cancer immunotherapy: Targeting tumor microenvironment. Bioact. Mater. 2021, 6, 1973–1987. [Google Scholar] [CrossRef]
- Guan, Z.; Katla, S.K.; Dahanayake, V.; Bae, J. 3D Printable Poly(N-isopropylacrylamide) Microgel Suspensions with Temperature-Dependent Rheological Responses. ACS Appl. Polym. Mater. 2024. [Google Scholar] [CrossRef]
- Neamtu, I.; Rusu, A.G.; Diaconu, A.; Nita, L.E.; Chiriac, A.P. Basic concepts and recent advances in nanogels as carriers for medical applications. Drug Deliv. 2017, 24, 539–557. [Google Scholar] [CrossRef] [PubMed]
- Cao, Z.; Zhou, X.; Wang, G. Selective Release of Hydrophobic and Hydrophilic Cargos from Multi-Stimuli-Responsive Nanogels. ACS Appl. Mater. Interfaces 2016, 8, 28888–28896. [Google Scholar] [CrossRef] [PubMed]
- Iyer, S.; Das, A. Responsive nanogels for anti-cancer therapy. Mater. Today: Proc. 2021, 44, 2330–2333. [Google Scholar] [CrossRef]
- Bordbar-Khiabani, A.; Gasik, M. Smart Hydrogels for Advanced Drug Delivery Systems. Int. J. Mol. Sci. 2022, 23, 3665. [Google Scholar] [CrossRef]
- Qureshi, M.A.; Khatoon, F. Different types of smart nanogel for targeted delivery. J. Sci. Adv. Mater. Devices 2019, 4, 201–212. [Google Scholar] [CrossRef]
- Kanwal, U.; Bukhari, N.I.; Ovais, M.; Abass, N.; Hussain, K.; Raza, A. Advances in nano-delivery systems for doxorubicin: An updated insight. J. Drug Target. 2018, 26, 296–310. [Google Scholar] [CrossRef]
- Soni, K.S.; Desale, S.S.; Bronich, T.K. Nanogels: An overview of properties, biomedical applications and obstacles to clinical translation. J. Control. Release 2016, 240, 109–126. [Google Scholar] [CrossRef]
- Yang, Y.; Xiao, Y.; Wu, X.; Deng, J.; Wei, R.; Liu, A.; Chai, H.; Wang, R. Microgel-Crosslinked Thermo-Responsive Hydrogel Actuators with High Mechanical Properties and Rapid Response. Macromol. Rapid Commun. 2024, 45, e2300643. [Google Scholar] [CrossRef]
- Han, F.; Armstrong, T.; Andres-Arroyo, A.; Bennett, D.; Soeriyadi, A.; Chamazketi, A.A.; Bakthavathsalam, P.; Tilley, R.D.; Gooding, J.J.; Reece, P.J. Optical tweezers-based characterisation of gold core–satellite plasmonic nano-assemblies incorporating thermo-responsive polymers. Nanoscale 2019, 12, 1680–1687. [Google Scholar] [CrossRef]
- Leite, D.C.; Sampaio, N.M.F.M.; de Oliveira, T.E.; Riegel-Vidotti, I.C.; da Silva, B.J.G. Microgels based on thermo-responsive poly(N-isopropylacrylamide) as sorbent of bisphenol A and parabens in water. J. Polym. Sci. 2024, 62, 4753–4762. [Google Scholar] [CrossRef]
- Magaña, H.; Cornejo-Bravo, J.M.; Cordova-Guerrero, I.; Palomino, K.; Serrano-Medina, A. pH-dependent release of antihypertensives from complexes with poly(carboxyalkyl methacrylamides). J. Drug Deliv. Sci. Technol. 2017, 39, 508–515. [Google Scholar] [CrossRef]
- Sanzari, I.; Buratti, E.; Huang, R.; Tusan, C.G.; Dinelli, F.; Evans, N.D.; Prodromakis, T.; Bertoldo, M. Poly(N-isopropylacrylamide) based thin microgel films for use in cell culture applications. Sci. Rep. 2020, 10, 6126. [Google Scholar] [CrossRef] [PubMed]
- Shoyama, K.; Yamaguchi, S.; Ogawa, S.; Takamuku, T.; Kawakita, H.; Ohto, K.; Morisada, S. Poly(N-isopropylacrylamide) copolymer nanogels with thermogelling ability prepared by a single step of dispersion polymerization. Adv. Powder Technol. 2022, 33, 103553. [Google Scholar] [CrossRef]
- Kunene, S.C.; Lin, K.S.; Weng, M.T.; Espinoza, M.J.; Lin, Y.S.; Wu, C.M.; Tsai, W.C. Dual stimuli-responsive polymeric microgels for enhanced doxorubicin delivery to hepatocellular carcinoma. J. Drug Deliv. Sci. Technol. 2023, 87, 104776. [Google Scholar] [CrossRef]
- Tian, H.; Yu, L.; Zhang, M.; He, J.; Sun, X.; Ni, P. Dextran-doxorubicin prodrug nanoparticles conjugated with CD147 monoclonal antibody for targeted drug delivery in hepatoma therapy. Colloids Surf. B Biointerfaces 2023, 228, 113400. [Google Scholar] [CrossRef]
- Zhang, W.; Mao, Z.; Gao, C. Preparation of TAT peptide-modified poly(N-isopropylacrylamide) microgel particles and their cellular uptake, intracellular distribution, and influence on cytoviability in response to temperature change. J. Colloid Interface Sci. 2014, 434, 122–129. [Google Scholar] [CrossRef]
- Bhattacharjee, S. DLS and zeta potential—What they are and what they are not? J. Control. Release 2016, 235, 337–351. [Google Scholar] [CrossRef] [PubMed]
- Cornejo-Bravo, J.M.; Becerra, C.D.; Palomino, K.; Magaña, H.; Rivero, I.; López-Maldonado, E.; Serrano-Medina, A. Copolymeric nano/microgels of N-isopropylacrylamide and carboxyalkyl methacrylamides: Effect of methylene chains and the ionization state of the weak acids on size and sensitivity to pH and temperature. Soft Mater. 2021, 19, 89–99. [Google Scholar] [CrossRef]
- Murillo, E.A.; Percino, J.; López, B.L. Colloidal, morphological, thermal, rheological, and film properties of waterborne hyperbranched alkyd–acrylic resins. J. Coat. Technol. Res. 2019, 16, 1223–1232. [Google Scholar] [CrossRef]
- Xiao, X.; Teng, F.; Shi, C.; Chen, J.; Wu, S.; Wang, B.; Meng, X.; Essiet Imeh, A.; Li, W. Polymeric nanoparticles—Promising carriers for cancer therapy. Front. Bioeng. Biotechnol. 2022, 10, 1024143. [Google Scholar] [CrossRef]
- Knapp, J.P.; Kakish, J.E.; Bridle, B.W.; Speicher, D.J. Tumor Temperature: Friend or Foe of Virus-Based Cancer Immunotherapy. Biomedicines 2022, 10, 2024. [Google Scholar] [CrossRef] [PubMed]
- Ye, B.; Zheng, R.; Ruan, X.; Zheng, Z.; Cai, H. Chitosan-coated doxorubicin nano-particles drug delivery system inhibits cell growth of liver cancer via p53/PRC1 pathway. Biochem. Biophys. Res. Commun. 2018, 495, 414–420. [Google Scholar] [CrossRef] [PubMed]
- Singh, A.K. Experimental methodologies for the characterization of nanoparticles. Eng. Nanoparticles 2016, 7, 125–170. [Google Scholar] [CrossRef]
- Serrano-Medina, A.; Oroz-Parra, I.; Gomez-Resendiz, V.E.; Licea-Navarro, A.; Licea-Claverie, A.; Cornejo-Bravo, J.M. Temperature- and pH-sensitive core–shell nanogels as efficient carriers of doxorubicin with potential application in lung cancer treatment. Int. J. Polym. Mater. Polym. Biomater. 2018, 67, 20–26. [Google Scholar] [CrossRef]
- Islam, M.S.; Haque, P.; Rashid, T.U.; Khan, M.N.; Mallik, A.K.; Khan, M.N.; Khan, M.; Rahman, M.M. Core–shell drug carrier from folate conjugated chitosan obtained from prawn shell for targeted doxorubicin delivery. J. Mater. Sci. Mater. Med. 2017, 28, 55. [Google Scholar] [CrossRef]
- Magaña, H.; Becerra, C.D.; Serrano-Medina, A.; Palomino, K.; Palomino-Vizcaíno, G.; Olivas-Sarabia, A.; Bucio, E.; Cornejo-Bravo, J.M. Radiation Grafting of a Polymeric Prodrug onto Silicone Rubber for Potential Medical/Surgical Procedures. Polymers 2020, 12, 1297. [Google Scholar] [CrossRef]









| % CAM5 Theoretical | 5 | 10 | 15 |
| % CAM5 Obtained | 4.6 | 10.5 | 16.9 |
| Dispersion Media | Data | 5% | 10% | 15% |
|---|---|---|---|---|
| Water | Size (nm) | 349 | 286 | 1265 |
| ±SD | 5.4 | 0.7 | 345 | |
| PDI | 0.129 | 0.099 | 0.556 | |
| pH 3 | Size | 260 **** | 230 * | 1080 |
| ±SD | 7.6 | 0.7 | 373 | |
| PDI | 0.112 | 0.116 | 0.52 | |
| pH 5 | Size (nm) | 268 **** | 246 | 821 |
| ±SD | 1 | 1 | 105 | |
| PDI | 0.106 | 0.076 | 0.425 | |
| pH 7 | Size (nm) | 281 **** | 275 | 966 |
| ±SD | 0.6 | 31.5 | 185 | |
| PDI | 0.104 | 0.102 | 0.393 | |
| pH 9 | Size (nm) | 275.8 **** | 268.9 | 800.7 |
| ±SD | 2.8 | 0.8 | 375 | |
| PDI | 0.086 | 0.089 | 0.51 |
| Content of CAM5 | |||
|---|---|---|---|
| Dispersion media | 5% | 10% | 15% |
| Zeta Potential (mV) (±SD) | |||
| water | −9.99 (±0.4) | −11.77 (±0.6) | −4.33 (±0.2) |
| pH 3 | −3.32 (±0.5) | −3.52 (±0.95) | −2.7 (±0.9) |
| pH 5 | −4.34 (±1) | −13.66 (±2.1) | −5.16 (±0.5) |
| pH 7 | −7.32 (±0.4) | −12.3 (±1.85) | −16.46 (±2) |
| pH 9 | −7.56 (±4) | −9.17 (±0.3) | −10.19 (±0.7) |
| Dispersion Media | Content of CAM5 | ||
|---|---|---|---|
| 5% | 10% | 15% | |
| Temperature (°C) | |||
| Water | 42 | 38 | 36 |
| pH 3 | 38 | 36 | * |
| pH 5 | 42 | 42 | * |
| pH 7 | 34 | 40 | * |
| pH 9 | 42 | 42 | * |
Disclaimer/Publisher’s Note: The statements, opinions and data contained in all publications are solely those of the individual author(s) and contributor(s) and not of MDPI and/or the editor(s). MDPI and/or the editor(s) disclaim responsibility for any injury to people or property resulting from any ideas, methods, instructions or products referred to in the content. |
© 2024 by the authors. Licensee MDPI, Basel, Switzerland. This article is an open access article distributed under the terms and conditions of the Creative Commons Attribution (CC BY) license (https://creativecommons.org/licenses/by/4.0/).
Share and Cite
Rodriguez-Tellez, T.G.; Magaña, H.; Cornejo-Bravo, J.M.; Palomino-Vizcaino, G.; Palomino-Vizcaino, K. Microgels of N-Isopropylacrylamide Copolymerized with an Amphiphilic Acid for the Delivery of Doxorubicin. Gels 2024, 10, 806. https://doi.org/10.3390/gels10120806
Rodriguez-Tellez TG, Magaña H, Cornejo-Bravo JM, Palomino-Vizcaino G, Palomino-Vizcaino K. Microgels of N-Isopropylacrylamide Copolymerized with an Amphiphilic Acid for the Delivery of Doxorubicin. Gels. 2024; 10(12):806. https://doi.org/10.3390/gels10120806
Chicago/Turabian StyleRodriguez-Tellez, Teresa G., Héctor Magaña, José M. Cornejo-Bravo, Giovanni Palomino-Vizcaino, and Kenia Palomino-Vizcaino. 2024. "Microgels of N-Isopropylacrylamide Copolymerized with an Amphiphilic Acid for the Delivery of Doxorubicin" Gels 10, no. 12: 806. https://doi.org/10.3390/gels10120806
APA StyleRodriguez-Tellez, T. G., Magaña, H., Cornejo-Bravo, J. M., Palomino-Vizcaino, G., & Palomino-Vizcaino, K. (2024). Microgels of N-Isopropylacrylamide Copolymerized with an Amphiphilic Acid for the Delivery of Doxorubicin. Gels, 10(12), 806. https://doi.org/10.3390/gels10120806

