Composite Contrast Enhancement of Hydrogel-Based Implants for Photon-Counting Computed Tomography Studies
Abstract
1. Introduction
2. Results and Discussion
2.1. Calibration of Material Determination by PCCT and Material Choice for Contrasted Implants
2.2. Preparation and Phantom PCCT Studies of Gelatin-Filled Implant Models
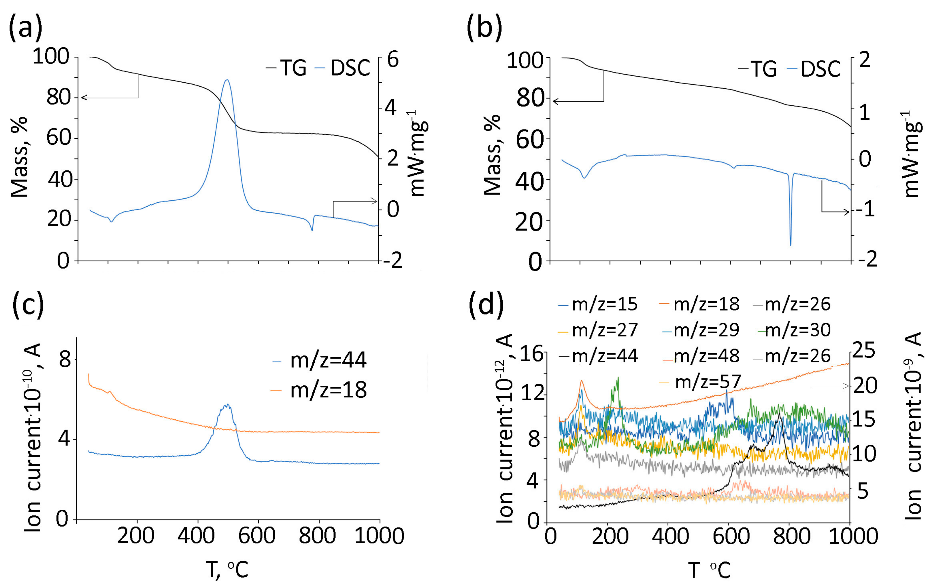
2.3. Synthesis and Characterization of Cross-Linked Ln2O3/PAM Samples
2.4. Preparation and Phantom PCCT Studies of PAM-Filled Implant Models
3. Conclusions
4. Materials and Methods
4.1. Synthesis of Cross-Linked Ln2O3/PAM Samples
4.1.1. Synthesis of Contrast Agents
4.1.2. Synthesis of PAM
4.1.3. Synthesis of Ln2O3/PAM Composites
4.2. Methods
4.3. PCCT Studies
Supplementary Materials
Author Contributions
Funding
Institutional Review Board Statement
Informed Consent Statement
Data Availability Statement
Acknowledgments
Conflicts of Interest
References
- Chamkouri, H.; Chamkouri, M. A Review of Hydrogels, Their Properties and Applications in Medicine. Am. J. Biomed. Sci. Res. 2021, 11, 485–493. [Google Scholar] [CrossRef]
- Peppas, N.A.; Hilt, J.Z.; Khademhosseini, A.; Langer, R. Hydrogels in Biology and Medicine: From Molecular Principles to Bionanotechnology. Adv. Mat. 2006, 18, 1345–1360. [Google Scholar] [CrossRef]
- Hameed, H.; Faheem, S.; Paiva-Santos, A.C.; Sarwar, H.S.; Jamshaid, M. A Comprehensive Review of Hydrogel-Based Drug Delivery Systems: Classification, Properties, Recent Trends, and Applications. AAPS PharmSciTech 2024, 25, 64. [Google Scholar] [CrossRef] [PubMed]
- Martinea, G.; Begines, B.; Pajuelo, E.; Vazquez, J.; Rodriguez-Alberlo, L.M.; Cofini, D.; Torres, Y.; Alcudia, A. Versatile Biodegradable Poly(acrylic acid)-Based Hydrogels Infiltrated in Porous Titanium Implants to Improve the Biofunctional Performance. Biomacromolecules 2023, 24, 4743–4758. [Google Scholar] [CrossRef]
- Wong, T.; Lo, L.W.; Fung, P.Y.E.; Lai, H.Y.M.; She, H.L.H.; Ng, W.K.C.; Kwok, K.M.K.; Lee, C.M. Magnetic resonance imaging of breast augmentation: A pictorial review. Insights Imaging 2016, 7, 399–410. [Google Scholar] [CrossRef]
- Dong, Y.C.; Bouché, M.; Uman, S.; Burdick, J.A.; Cormode, D.P. Cormode Detecting and Monitoring Hydrogels with Medical Imaging. ACS Biomater. Sci. Eng. 2021, 7, 4027. [Google Scholar] [CrossRef] [PubMed]
- Wu, H.-H.; Weng, Y.-T.; Chou, Y.-Y.; Wang, C.-H. Rupture of 40-year-old silicone gel breast implants: A case report. BMC Geriatr. 2023, 23, 589. [Google Scholar] [CrossRef]
- Mottu, F.; Rüfenacht, D.A.; Doelker, E. Radiopaque polymeric materials for medical applications. Current aspects of biomaterial research. Investig. Radiol. 1999, 34, 323. [Google Scholar] [CrossRef]
- Li, Q.F.; Wang, J.T.; Wang, Z. Implementation of functional integration of hydrogel matrices with rare earth elements and related applications. J. Rare Earths2024, in press. [CrossRef]
- Koc, M.M.; Aslan, N.; Kao, A.P.; Barber, A.H. Evaluation of X-Ray tomography contrast agents: A review of production, protocols, and biological applications. Microsc. Res. Technol. 2019, 82, 812. [Google Scholar] [CrossRef]
- Becerra, C.F.; Silva, V.B.; Ahmed, E.; Bear, J.C.; Feng, Z.; Chau, D.Y.S.; Parker, S.G.; Halligan, S.; Lythgoe, M.F.; Stuckey, D.J.; et al. X-Ray Visible Protein Scaffolds by Bulk Iodination. Adv. Sci. 2024, 11, 2306246. [Google Scholar] [CrossRef] [PubMed]
- Houston, K.R.; Brosnan, S.M.; Burk, L.M.; Lee, Y.Z.; Luft, J.C.; Ashby, V.S. Iodinated polyesters as a versatile platform for radiopaque biomaterials. J. Polym. Sci. A Polym. Chem. 2017, 55, 2171. [Google Scholar] [CrossRef]
- Kiran, S.; James, N.R.; Joseph, R.; Jayakrishnan, A. Synthesis and characterization of iodinated polyurethane with inherent radiopacity. Biomaterials 2009, 30, 5552. [Google Scholar] [CrossRef]
- Davy, K.W.M.; Anseau, M.R. Novel iodinated methacrylates as X-Ray opaque denture base polymers. J. Mater. Sci. Lett. 1996, 15, 686. [Google Scholar] [CrossRef]
- Barnett, B.P.; Arepally, A.; Stuber, M.; Arifin, D.R.; Kraitchman, D.L.; Bulte, J.W. Synthesis of magnetic resonance-, X-Ray- and ultrasound-visible alginate microcapsules for immunoisolation and noninvasive imaging of cellular therapeutics. Nat. Protoc. 2011, 6, 1142–1151. [Google Scholar] [CrossRef]
- Patrick, P.S.; Bear, J.C.; Fitzke, H.E.; Zaw-Thin, M.; Parkin, I.P.; Lythgoe, M.F.; Kalber, T.L.; Stuckey, D.J. Radio-metal cross-linking of alginate hydrogels for non-invasive in vivo imaging. Biomaterials 2020, 243, 119930. [Google Scholar] [CrossRef]
- Dong, Y.C.; Kumar, A.; Rosario-Berrios, D.N.; Si-Mohamed, S.; Hsu, J.C.; Nieves, L.M.; Douek, P.; Noёl, P.B.; Cormode, D.P. Ytterbium Nanoparticle Contrast Agents for Conventional and Spectral Photon-Counting CT and Their Applications for Hydrogel Imaging. ACS Appl. Mater. Interfaces 2022, 14, 39274. [Google Scholar] [CrossRef] [PubMed]
- Wu, Y.; Ye, Z.; Chen, J.; Deng, L.; Song, B. Photon Counting CT: Technical Principles, Clinical Applications, and Future Prospects. Acad. Radiol. 2023, 30, 2362–2382. [Google Scholar] [CrossRef]
- Willemink, M.J.; Persson, M.; Pourmorteza, A.; Pelc, N.J.; Fleischmann, D. Photon-counting CT: Technical Principles and Clinical Prospects. Radiology 2018, 289, 293–312. [Google Scholar] [CrossRef]
- Douek, P.C.; Boccalini, S.; Oei, E.; Cormode, D.; Pourmorteza, A.; Boussel, L.; Si-Mohamed, S.; Budde, R. Clinical Applications of Photon-counting CT: A Review of Pioneer Studies and a Glimpse into the Future. Radiology 2023, 309. [Google Scholar] [CrossRef]
- Bie, J.; Straten, M.; Booij, R.; Bos, D.; Dijkshoorn, M.L.; Hirsch, A.; Sharma, S.P.; Oei, E.H.G.; Budde, R.P.J. Photon-counting CT: Review of initial clinical results. Eur. J. Radiol. 2023, 163, 110829. [Google Scholar] [CrossRef] [PubMed]
- Lachance, C.; Horton, J. Photon-Counting CT: High Resolution, Less Radiation: Emerging Health Technologies; Report No.: EH0124; Canadian Agency for Drugs and Technologies in Health: Ottawa, ON, USA, 2024. [Google Scholar] [PubMed]
- Suslova, E.V.; Kozlov, A.P.; Shashurin, D.A.; Rozhkov, V.A.; Sotenskii, R.V.; Maximov, S.V.; Savilov, S.V.; Medvedev, O.S.; Chelkov, G.A. New Composite Contrast Agents Based on Ln and Graphene Matrix for Multi-Energy Computed Tomography. Nanomaterials 2022, 12, 4110. [Google Scholar] [CrossRef]
- Kim, J.; Bar-Ness, D.; Si-Mohamed, S.; Coulon, P.; Blevis, I.; Douek, P.; Cormode, D.P. Assessment of candidate elements for development of spectral photon-counting CT specific contrast agents. Sci. Rep. 2018, 8, 12119. [Google Scholar] [CrossRef]
- Suslova, E.; Shashurin, D.; Kozlov, A.; Maximov, S.V.; Rozhkov, V.A.; Sotenskii, R.V.; Savilov, S.V.; Medvedev, O.S.; Chelkov, G.A. Development of La-graphene composite contrasting agents for photon-counting computed tomography. Funct. Mater. Lett. 2022, 15, 2250029. [Google Scholar] [CrossRef]
- Dunning, C.A.S.; O’connell, J.; Robinson, S.M.; Murphy, K.J.; Frencken, A.L.; van Veggel, F.C.J.M.; Iniewski, K.; Bazalova-Carter, M. Multi energy Computed Tomography of Lanthanide Contrast Agents with a High-Flux 330-Mm-Pitch Cadmium Zinc Telluride Detector in a Table-Top System. J. Med. Imaging 2022, 7, 033502. [Google Scholar] [CrossRef]
- Smith, K.; Getzin, M.; Garfield, J.J.; Suvarnapathaki, S.; Camci-Unal, G.; Wang, G.; Gkikas, M. Nanophosphor-Based Contrast Agents for Spectral X-Ray Imaging. Nanomaterials 2019, 9, 1092. [Google Scholar] [CrossRef] [PubMed]
- Richtsmeier, D.; Dunning, C.A.S.; Iniewski, K.; Bazalova-Carter, M. Multi-Contrast K-Edge Imaging on a Bench-Top Multi energy CT System: Acquisition Parameter Study. J. Instrum. 2020, 15, 10029. [Google Scholar] [CrossRef]
- Ostadhossein, F.; Tripathi, I.; Benig, L.; LoBato, D.; Moghiseh, M.; Lowe, C.; Raja, A.; Butler, A.; Panta, R.; Anjomrouz, M.; et al. Multi-“Color” Delineation of Bone Microdamages Using Ligand-Directed Sub-5 Nm Hafnia Nanodots and Photon Counting CT Imaging. Adv. Funct. Mater. 2020, 30, 1904936. [Google Scholar] [CrossRef]
- Amato, C.; Klein, L.; Wehrse, E.; Rotkopf, L.T.; Sawall, S.; Maier, J.; Ziener, C.H.; Schlemmer, H.; Kachelrieß, M. Potential of Contrast Agents Based on High-Z Elements for Contrast-enhanced Photon-counting Computed Tomography. Med. Phys. 2020, 47, 6179. [Google Scholar] [CrossRef]
- Cormode, D.P.; Roessl, E.; Thran, A.; Skajaa, T.; Gordon, R.E.; Schlomka, J.-P.; Fuster, V.; Fisher, E.A.; Mulder, W.J.M.; Proksa, R.; et al. Atherosclerotic Plaque Composition: Analysis with Multicolor CT and Targeted Gold Nanoparticles. Radiology 2020, 256, 774. [Google Scholar] [CrossRef]
- Do, C.; DeAguero, J.; Brearley, A.; Trejo, X.; Howard, T.; Escobar, G.P.; Wagner, B. Gadolinium-Based Contrast Agent Use, Their Safety, and Practice Evolution. Kidney360 2020, 1, 561–568. [Google Scholar] [CrossRef] [PubMed]
- Holmes, B.; Sanampudi, S.; Ananthakrishnan, L. Diagnostic CT cystography with diluted gadolinium-based contrast: A viable alternative to an iodinated contrast-based cystogram. Urol. Case Rep. 2024, 26, 102856. [Google Scholar] [CrossRef] [PubMed]
- Yang, J.; Zhao, Q.; Zang, Z.; Zhang, S.; Wang, Z.; Li, L.; Yu, X.; Yang, X.; Lu, Z.; Zhang, X. A dual-mode T1 MRI/CT contrast agent of Gd2O3/Au@MSNs for tumor imaging with high performance. Materialia 2022, 24, 101494. [Google Scholar] [CrossRef]
- Levine, D.; McDonald, R.J.; Kressel, H.Y. Gadolinium Retention After Contrast-Enhanced MRI. JAMA 2018, 320, 1853–1854. [Google Scholar] [CrossRef]
- Fatima, A.; Ahmad, M.W.; Al Saidi, A.K.A.; Choudhury, A.; Chang, Y.; Lee, G.H. Recent Advances in Gadolinium Based Contrast Agents for Bioimaging Applications. Nanomaterials 2021, 11, 2449. [Google Scholar] [CrossRef]
- Wang, F.; Peng, E.; Zheng, B.; Li, S.F.Y.; Xue, J.M. Synthesis of Water-Dispersible Gd2O3/GO Nanocomposites with Enhanced MRI T1 Relaxivity. J. Phys. Chem. C 2015, 119, 23735–23742. [Google Scholar] [CrossRef]
- Pellico, J.; Ellis, C.M.; Davis, J.J. Nanoparticle-Based Paramagnetic Contrast Agents for Magnetic Resonance Imaging. Contrast Media Mol. Imaging 2019, 2019, 1845637. [Google Scholar] [CrossRef]
- Li, Z.; Guo, J.; Zhang, M.; Li, G.; Hao, L. Gadolinium-Coated Mesoporous Silica Nanoparticle for Magnetic Resonance Imaging. Front. Chem. 2022, 10, 837032. [Google Scholar] [CrossRef] [PubMed]
- Miao, X.; Ho, S.L.; Tegafaw, T.; Cha, H.; Chang, Y.; Oh, I.T.; Yaseen, A.M.; Marasini, S.; Ghazanfari, A.; Yue, H.; et al. Stable and non-toxic ultrasmall gadolinium oxide nanoparticle colloids (coating material = polyacrylic acid) as high-performance T1 magnetic resonance imaging contrast agents. RSC Adv. 2018, 8, 3189–3197. [Google Scholar] [CrossRef]
- Davies, J.; Siebenhandl-Wolff, P.; Tranquart, F.; Jones, P.; Evans, P. Gadolinium: Pharmacokinetics and toxicity in humans and laboratory animals following contrast agent administration. Arch. Toxicol. 2022, 96, 403–429. [Google Scholar] [CrossRef]
- Gadavist (Gadobutrol) Injection, for Intravenous Use. Labelling Information. Available online: https://www.accessdata.fda.gov/drugsatfda_docs/label/2011/201277s000lbl.pdf (accessed on 28 November 2024).
- Akhtar, M.J.; Ahamed, M.; Alhadlaq, H.; Alrokayan, S. Toxicity Mechanism of Gadolinium Oxide Nanoparticles and Gadolinium Ions in Human Breast Cancer Cells. Curr. Drug Metab. 2019, 20, 907–917. [Google Scholar] [CrossRef] [PubMed]
- Sotenskii, R.V.; Rozhkov, V.A.; Shashurin, D.A.; Suslova, E.V.; Chelkov, G.A. Novel algorithm for qualitative and quantitative material analysis by the K-edges for photon-counting computed tomography. JINST 2024, 19, P04009. [Google Scholar] [CrossRef]
- Bateman, C.J.; Knight, D.; Brandwacht, B.; Mc Mahon, J.; Healy, J.; Panta, R.; Aamir, R.; Rajendran, K.; Moghiseh, M.; Ramyar, M.; et al. MARS-MD: Rejection based image domain material decomposition. JINST 2018, 13, P05020. [Google Scholar] [CrossRef]
- Suslova, E.; Shashurin, D.; Zoirova, Z.; Shumyantsev, A.; Medvedev, O.; Chelkov, G. Gd2O3-based contrasting agents for photon-counting computed tomography: Effect of structure, composition, and particle size. Mater. Chem. Phys. 2024, 313, 128733. [Google Scholar] [CrossRef]
- Mikhnevich, E.A.; Safronov, A.P.; Beketov, I.V.; Medvedev, A.I. Carbon coated Nickel Nanoparticles in Polyacrylamide Ferrogels: Interaction with Polymeric Network and Impact on Swelling. Chim. Techno Acta 2020, 7, 116. [Google Scholar] [CrossRef]
- Olăreț, E.; Voicu, Ș.I.; Oprea, R.; Miculescu, F.; Butac, L.; Stancu, I.C.; Serafim, A. Nanostructured Polyacrylamide Hydrogels with Improved Mechanical Properties and Antimicrobial Behavior. Polymers 2022, 14, 2320. [Google Scholar] [CrossRef] [PubMed]
- Porwal, S.; Diwedi, A.; Kamal, M. 13C NMR and Raman Studies of Fullerene-Based Poly (Acrylamides). Int. J. Org. Chem. 2012, 2, 377–386. [Google Scholar] [CrossRef]
- Wu, W.; Wu, X.; He, M.; Yuan, X.; Lai, J.; Sun, H. A novel carbon dot/polyacrylamide composite hydrogel film for reversible detection of the antibacterial drug ornidazole. RSC Adv. 2021, 11, 22993. [Google Scholar] [CrossRef]
- Abo-Zahra, S.F.; Abdelmonem, I.M.; Siyam, T.E.; El-Masry, A.M.; Abdel-Aziz, H.M. Radiation synthesis of polyacrylamide/functionalized multiwalled carbon nanotubes composites for the adsorption of Cu(II) metal ions from aqueous solution. Polym. Bull. 2022, 79, 4395. [Google Scholar] [CrossRef]
- El-Sweify, F.H.; Abdelmonem, I.M.; El-Masry, A.M.; Siyam, T.E.; Abo-Zahra, S.F. Adsorption Behavior of Co(II) and Eu(III) on Polyacrylamide/Multiwalled Carbon Nanotube Composites. Radiochemistry 2019, 61, 323. [Google Scholar] [CrossRef]
- Cheng, M.-M.; Huang, L.-J.; Wang, Y.-X.; Zhao, Y.-C.; Tang, J.-G.; Wang, Y.; Zhang, Y.; Hedayati, M.; Kipper, M.J.; Wickramasinghe, S.R. Synthesis of graphene oxide/polyacrylamide composite membranes for organic dyes/water separation in water purification. J. Mater. Sci. 2019, 54, 252. [Google Scholar] [CrossRef]
- Yu, S.; Li, N.; Higgins, D.; Li, D.; Li, Q.; Xu, H.; Spendelow, J.S.; Wu, G. Self-Assembled Reduced Graphene Oxide/Polyacrylamide Conductive Composite Films. ACS Appl. Mater. Interfaces 2014, 6, 19783. [Google Scholar] [CrossRef] [PubMed]
- Gayathri, K.; Palanisamy, N. Methylene blue adsorption onto an eco-friendly modified polyacrylamide/graphite composites: Investigation of kinetics, equilibrium, and thermodynamic studies. Sep. Sci. Technol. 2020, 55, 266. [Google Scholar] [CrossRef]
- Xie, S.; Chen, Y.; Guo, Z.; Luo, Y.; Tan, H.; Xu, L.; Xu, J.; Zheng, J. Agar/carbon dot crosslinked polyacrylamide double-network hydrogels with robustness, self-healing, and stimulus-response fluorescence for smart anti-counterfeiting. Mater. Chem. Front. 2021, 5, 5418–5428. [Google Scholar] [CrossRef]
- Suslova, E.V.; Ulyanov, A.N.; Kozlov, A.P.; Shashurin, D.A.; Savilov, S.V.; Chelkov, G.A. Composition and Electronic Structure of La2O3/CNFs@C Core-Shell Nanoparticles with Variable Oxygen Content. Nanomaterials 2023, 13, 2945. [Google Scholar] [CrossRef]
- Kozlov, A.; Suslova, E.; Maksimov, S.; Isaikina, O.; Maslakov, K.; Shashurin, D.; Savilov, S.; Shelkov, G. The Preparation of Nanocomposite with a Core–Shell Structure Made of Carbon Matrices and Lanthanum Nanoparticles. Phys. Part. Nucl. Lett. 2023, 20, 1254. [Google Scholar] [CrossRef]
- Suslova, E.V.; Kozlov, A.P.; Shashurin, D.A.; Maximov, S.V.; Maslakov, K.I.; Savilov, S.V. La2O3-carbon composite with core–shell structure and features of its gas-phase oxidation. Mendeleev Commun. 2024, 34, 90. [Google Scholar] [CrossRef]
- Sivtsov, E.V.; Kalinin, A.V.; Gostev, A.I.; Smirnov, A.V.; Agibalova, L.V.; Shumilov, F.A. In Situ Preparation of Polymer Nanocomposites Based on Sols of Surface-Modified Detonation Nanodiamonds by Classical and Controlled Radical Polymerization. Polym. Sci. Ser. B 2020, 62, 734. [Google Scholar] [CrossRef]
- Hamon, M.A.; Chen, J.; Hu, H.; Chen, Y.; Itkis, M.E.; Rao, A.M.; Eklund, P.C.; Haddon, R.C. Dissolution of Single-Walled Carbon Nanotubes. Adv. Mater. 1999, 11, 834. [Google Scholar] [CrossRef]
- Sudesh; Kumar, N.; Das, S.; Bernhard, C.; Varma, G.D. Effect of graphene oxide doping on superconducting properties of bulk MgB2. Supercond. Sci. Technol. 2013, 26, 095008. [Google Scholar] [CrossRef]
- Brusko, V.; Khannanov, A.; Rakhmatullin, A.; Dimiev, A.M. Unraveling the infrared spectrum of graphene oxide. Carbon 2024, 229, 119507. [Google Scholar] [CrossRef]
- Savilov, S.V.; Ivanov, A.S.; Chernyak, S.A.; Kirikova, M.N.; Ni, J.; Lunin, V.V. Features of the oxidation of multiwalled carbon nanotubes. Russ. J. Phys. Chem. 2015, 89, 1989. [Google Scholar] [CrossRef]
- Il’ves, V.G.; Sokovnin, S.Y.; Uporov, S.A.; Zuev, M.G. Properties of the amorphous-nanocrystalline Gd2O3 powder prepared by pulsed electron beam evaporation. Phys. Solid State 2013, 55, 1262. [Google Scholar] [CrossRef]
- Gayathri, T.; Kumar, R.A.; Dhilipkumaran, S.; Jayasankar, C.K.; Saravanan, P.; Devanand, B. Microwave-assisted combustion synthesis of silica-coated Eu:Gd2O3 nanoparticles for MRI and optical imaging of cancer cells. J. Mater. Sci. Mater. Electron. 2019, 30, 6860. [Google Scholar] [CrossRef]
- Li, J.P.H.; Zhou, X.; Pang, Y.; Zhu, L.; Vovk, E.I.; Cong, L.; van Bavel, A.P.; Li, S.; Yang, Y. Understanding of Binding Energy Calibration in XPS of Lanthanum Oxide by In Situ Treatment. Phys. Chem. Chem. Phys. 2019, 21, 22351–22358. [Google Scholar] [CrossRef]
- Uranta, K.G.; Rezaei-Gomari, S.; Russell, P.; Hamad, F. Studying the Effectiveness of Polyacrylamide (PAM) Application in Hydrocarbon Reservoirs at Different Operational Conditions. Energies 2018, 11, 2201. [Google Scholar] [CrossRef]
- Gaabour, L.H. Spectroscopic and thermal analysis of polyacrylamide/chitosan (PAM/CS) blend loaded by gold nanoparticles. Res. Phys. 2017, 7, 2153. [Google Scholar] [CrossRef]
- Xu, S.; Wang, Y.; Hu, J.; Liu, Z. Atomic Understanding of the Swelling and Phase Transition of Polyacrylamide Hydrogel. Int. J. Appl. Mech. 2016, 8, 1640002. [Google Scholar] [CrossRef]
- Dehkordi, N.K.; Shojaei, S.; Asefnejad, A.; Hassani, K.; Benisi, S.Z. The effect of three types of cross-linked hydrogels and volume fraction of polyacrylamide on the swelling and thermal behavior using molecular dynamics simulation. J. Mater. Res. Technol. 2023, 24, 4627–4638. [Google Scholar] [CrossRef]
- Sawall, S.; Amato, C.; Klein, L.; Wehrse, E.; Maier, J.; Kachelrieß, M. Toward molecular imaging using spectral photon-counting computed tomography? Curr. Opin. Chem. Biol. 2021, 63, 163–170. [Google Scholar] [CrossRef]
- Hemmer, E.; Yamano, T.; Kishimoto, H.; Venkatachalam, N.; Hyodo, H.; Soga, K. Cytotoxic aspects of gadolinium oxide nanostructures for up-conversion and NIR bioimaging. Acta Biomater. 2013, 9, 4734–4743. [Google Scholar] [CrossRef] [PubMed]
- Savilov, S.V.; Strokova, N.E.; Ivanov, A.S.; Arkhipova, E.A.; Desyatov, A.V.; Hui, X.; Aldoshin, S.M.; Lunin, V.V. Nanoscale Carbon Materials from Hydrocarbons Pyrolysis: Structure, Chemical Behavior, Utilisation for Non-Aqueous Supercapacitors. Mater. Res. Bull. 2015, 69, 13. [Google Scholar] [CrossRef]
- Shabadrov, P.A.; Safronov, A.P. Superswelling of Hydrogels Based on the Copolymer of Acrylamide and Methacrylic Acid. Polym. Sci. Ser. A 2018, 60, 628. [Google Scholar] [CrossRef]
- Neamtu, I.; Chiriac, A.P.; Nita, L.E. Characterization of poly(acrylamide) as temperature-sensitive hydrogel. J. Optoelectron. Adv. Mater. 2006, 8, 1939. [Google Scholar]
- Shen, J.; Yan, B.; Li, T.; Long, Y.; Li, N.; Ye, M. Study on graphene-oxide-based polyacrylamide composite hydrogels. Compos. Part A Appl. Sci. Manuf. 2012, 43, 1476. [Google Scholar] [CrossRef]
- Thakur, S.; Arotiba, O. Synthesis, Characterization and Adsorption Studies of an Acrylic Acid-Grafted Sodium Alginate-Based TiO2 Hydrogel Nanocomposite. Adsorpt. Sci. Technol. 2018, 36, 458. [Google Scholar] [CrossRef]
- Marsh, J.F.; Jorgensen, S.M.; Rundle, D.S.; Vercnocke, A.J.; Leng, S.; Butler, P.H.; McCollough, C.H.; Ritman, E.L. Evaluation of a photon counting Medipix3RX cadmium zinc telluride spectral X-Ray detector. J. Med. Imaging 2018, 5, 043503. [Google Scholar] [CrossRef]











| Shell | CT Number (HU) | Filling | CT Number (HU) |
|---|---|---|---|
| Silicone | 649 ± 43 | Gelatin | 75 ± 5 |
| Gd2O3-doped silicone | 1041 ± 69 | Gelatin capsules | 356 ± 28 |
| Yb2O3-doped silicone | 1056 ± 71 | La2O3-doped gelatin | 2211 ± 119 |
| Shell | CT Number (HU) | Filling | CT Number (HU) |
|---|---|---|---|
| Silicone | 1025 ± 84.6 | PAM | 1104 ± 985 |
| (La2O3/GNFs)@C-COOCH2C2H3/PAM | 264 ± 25 | ||
| Gd2O3/GNFs)@C-COOCH2C2H3/PAM | 171 ± 15 |
Disclaimer/Publisher’s Note: The statements, opinions and data contained in all publications are solely those of the individual author(s) and contributor(s) and not of MDPI and/or the editor(s). MDPI and/or the editor(s) disclaim responsibility for any injury to people or property resulting from any ideas, methods, instructions or products referred to in the content. |
© 2024 by the authors. Licensee MDPI, Basel, Switzerland. This article is an open access article distributed under the terms and conditions of the Creative Commons Attribution (CC BY) license (https://creativecommons.org/licenses/by/4.0/).
Share and Cite
Suslova, E.V.; Shashurin, D.A.; Maslakov, K.I.; Kupreenko, S.Y.; Luneva, T.O.; Medvedev, O.S.; Chelkov, G.A. Composite Contrast Enhancement of Hydrogel-Based Implants for Photon-Counting Computed Tomography Studies. Gels 2024, 10, 807. https://doi.org/10.3390/gels10120807
Suslova EV, Shashurin DA, Maslakov KI, Kupreenko SY, Luneva TO, Medvedev OS, Chelkov GA. Composite Contrast Enhancement of Hydrogel-Based Implants for Photon-Counting Computed Tomography Studies. Gels. 2024; 10(12):807. https://doi.org/10.3390/gels10120807
Chicago/Turabian StyleSuslova, Evgeniya V., Denis A. Shashurin, Konstantin I. Maslakov, Stepan Yu. Kupreenko, Tatyana O. Luneva, Oleg S. Medvedev, and Georgy A. Chelkov. 2024. "Composite Contrast Enhancement of Hydrogel-Based Implants for Photon-Counting Computed Tomography Studies" Gels 10, no. 12: 807. https://doi.org/10.3390/gels10120807
APA StyleSuslova, E. V., Shashurin, D. A., Maslakov, K. I., Kupreenko, S. Y., Luneva, T. O., Medvedev, O. S., & Chelkov, G. A. (2024). Composite Contrast Enhancement of Hydrogel-Based Implants for Photon-Counting Computed Tomography Studies. Gels, 10(12), 807. https://doi.org/10.3390/gels10120807

