Geographical Origin Does Not Modulate Pathogenicity or Response to Climatic Variables of Fusarium oxysporum Associated with Vascular Wilt on Asparagus
Abstract
:1. Introduction
2. Materials and Methods
2.1. Isolates
2.2. DNA Extraction, Primers, PCR Assays, and DNA Sequencing
2.3. Sequence Alignment and Phylogenetic Analysis
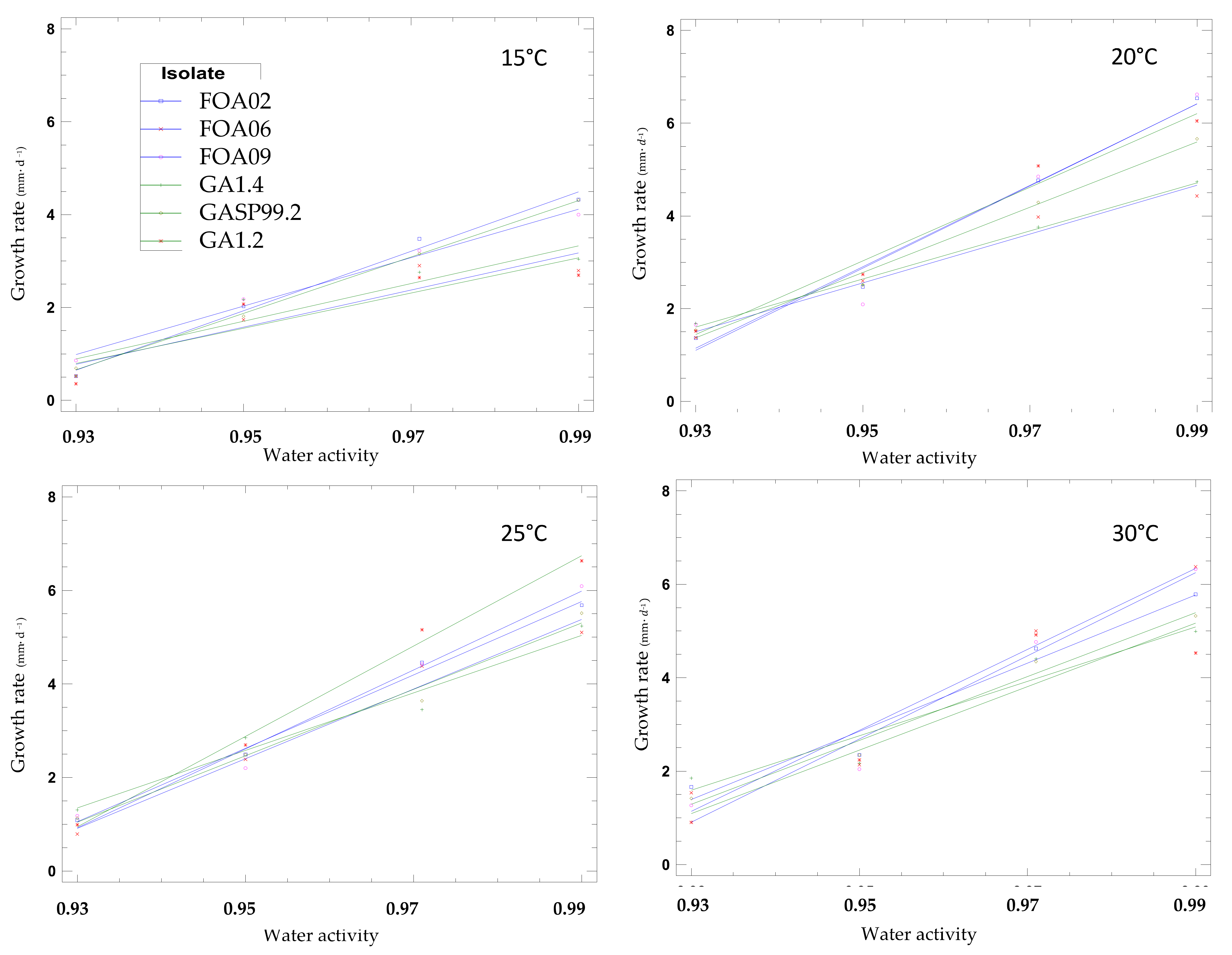
2.4. Analysis of the Effect of Climate Variables on the Mycelial Growth of Isolates
2.5. Pathogenicity Test on Plants
2.6. Statistical Analysis of Data
3. Results
3.1. Phylogenetic Analysis
3.2. Response to Temperature and Water Activity
3.3. Pathogenicity Study
4. Discussion
5. Conclusions
Supplementary Materials
Author Contributions
Funding
Institutional Review Board Statement
Informed Consent Statement
Conflicts of Interest
References
- Food and Agriculture Organization of the United Nations. FAOSTAT. 2019. Available online: http://www.fao.org/faostat/es/#rankings/countries_by_commodity_exports (accessed on 10 July 2021).
- Federación Española de Asociaciones de Productores Exportadores de Frutas, Hortalizas, Flores y Plantas Vivas. 2019. Available online: https://www.fepex.es/datos-del-sector/exportacion-importacion-espa%C3%B1ola-frutas-hortalizas (accessed on 10 July 2021).
- Brizuela, A.M.; De la Lastra, E.; Marín-Guirao, J.I.; Gálvez, L.; de Cara-García, M.; Capote, N.; Palmero, D. Fusarium Consortium Populations Associated with Asparagus Crop in Spain and Their Role on Field Decline Syndrome. J. Fungi 2020, 6, 336. [Google Scholar] [CrossRef] [PubMed]
- Bakel, J.M.M.; Kerstens, J.J.A. Foot rot in asparagus caused by Fusarium oxysporum f. sp. asparagi. Neth. J. Plant Pathol. 1970, 76, 320–325. [Google Scholar] [CrossRef]
- Blok, W.J.; Bollen, G.J. Host specificity and vegetative compatibility of Dutch isolates of Fusarium oxysporum f. sp. asparagi. Can. J. Bot. 1997, 75, 383–393. [Google Scholar] [CrossRef]
- Elena, K. Asparagus Diseases. Eur. J. Plant Sci. Biotechnol. 2007, 1, 76–83. [Google Scholar]
- Elmer, W.H. Management of Fusarium crown and root rot of asparagus. Crop. Prot. 2015, 73, 2–6. [Google Scholar] [CrossRef]
- Fravel, D.; Olivain, C.; Alabouvette, C. Fusarium oxysporum and its biocontrol. New Phytol. 2003, 157, 493–502. [Google Scholar] [CrossRef]
- Nigh, E.L. Stress factors influencing Fusarium infection in asparagus. Acta Hortic. 1990, 271, 315–322. [Google Scholar] [CrossRef]
- Hartung, A.C.; Stephens, C.T. Effects of allelopathic substances produced by asparagus on incidence and severity of asparagus decline due to Fusarium crown rot. J. Chem. Ecol. 1983, 9, 1163–1173. [Google Scholar] [CrossRef]
- Borrego-Benjumea, A.; Basallote-Ureba, M.J.; Melero-Vara, J.M.; Abbasi, P.A. Characterization of Fusarium isolates from asparagus fields in Southwestern Ontario and influence of soil organic amendments on Fusarium crown and root rot. Phytopathology 2014, 104, 403–415. [Google Scholar] [CrossRef] [Green Version]
- Corpas-Hervias, C.; Melero-Vara, J.M.; Molinero-Ruiz, M.L.; Zurera-Muñoz, C.; Basallote-Ureba, M.J. Characterization of isolates of Fusarium spp. obtained from asparagus in Spain. Plant Dis. 2006, 90, 1441–1451. [Google Scholar] [CrossRef] [Green Version]
- Schreuder, W.; Lamprecht, S.C.; Marasas, W.F.O.; Calitz, F.J. Pathogenicity of three Fusarium species associated with asparagus decline in South Africa. Plant Dis. 1995, 79, 177–181. [Google Scholar] [CrossRef]
- Elena, K.; Kranias, L. Fusarium spp. as a cause of crown and root rot of asparagus in Greece. Eur. Mediterr. Plant Prot. Organ. Bull. 1996, 26, 407–411. [Google Scholar] [CrossRef]
- Blok, W.J.; Bollen, G.J. Inoculum sources of Fusarium oxysporum f. sp. asparagi in asparagus production. Ann. Appl. Biol. 1996, 128, 219–231. [Google Scholar] [CrossRef]
- Elmer, W.H. Fusarium Diseases of Asparagus. In Fusarium: Paul E. Nelson Memorial Symposium; Summerell, B.A., Leslie, J.F., Backhouse, D., Bryden, W.L., Burgess, L.W., Eds.; APS Press: Saint Paul, MN, USA, 2001; pp. 248–262. [Google Scholar]
- He, C.Y.; Hsiang, T.; Wolyng, D.J. Induction of syfrondsic resistance and pathogen defence responses in Asparagus officinalis inoculated with non-pathogenic strains of Fusarium oxysporum. Plant Pathol. 2002, 51, 225–230. [Google Scholar] [CrossRef] [Green Version]
- Haque, S.I.; Matsubara, Y. Arbuscular-mycorrhiza-induced salt tolerance and resistance to Fusarium root rot in asparagus plants. Acta Hortic. 2018, 1227, 365–372. [Google Scholar] [CrossRef]
- Liu, J.; Matsubara, Y. Mycorrhiza and sodium chloride-induced systemic resistance to Fusarium root rot and changes in antioxidative ability in asparagus plants. In Proceedings of the XXIX International Horticultural Congress on Horticulture: Sustaining Lives, Livelihoods and Landscapes (IHC2014), Leuven, Belgium, 23 December 2015; Volume 1105, pp. 115–122. [Google Scholar]
- Elmer, W.H.; Johnson, D.A.; Mink, G.I. Epidemiology and management of the diseases causal to asparagus decline. Plant Dis. 1996, 80, 117–125. [Google Scholar] [CrossRef]
- Lassaga, S.L.; Camadro, E.L.; Babinec, F.J. Assessing genetic variability for Fusarium resistance in three asparagus populations with an in vitro assay. Euphytica 1998, 103, 131–136. [Google Scholar] [CrossRef]
- Smith, A.K.; Peterson, R.L. Examination of primary roots of Asparagus infected by Fusarium. Scanning Electron Microsc. 1983, 3, 1475–1480. [Google Scholar]
- Reid, T.C.; Hausbeck, M.K.; Kizilkaya, K. Use of fungicides and biological controls in the suppression of Fusarium crown and root rot of asparagus under greenhouse and growth chamber conditions. Plant Dis. 2002, 86, 493–498. [Google Scholar] [CrossRef] [Green Version]
- Delgado-Baquerizo, M.; Guerra, C.A.; Cano-Díaz, C.; Egidi, E.; Wang, J.T.; Eisenhauer, N.; Singh, B.K.; Maestre, F.T. The proportion of soil-borne pathogens increases with warming at the global scale. Nat. Clim. Chang. 2020, 10, 550–554. [Google Scholar] [CrossRef]
- Baayen, R.P.; O’Donnell, K.; Waalwijk, C.; Bonants, P.J.M.; Cigelnik, E.; Roebroeck, E.J.A. Phylogeny of VCGs and formae speciales of Fusarium oxysporum and F. redolens. Phytoparasitica 1999, 27, 71. [Google Scholar]
- Bentley, S.; Pegg, K.G.; Dale, J.L. Genetic variation among a world-wide collection of isolates of Fusarium oxysporum f. sp. cubense analyzed by RAPD–PCR fingerprinting. Mycol. Res. 1995, 99, 1378–1384. [Google Scholar] [CrossRef]
- Waalwijk, C.; Baayen, R.P.; De Koning, J.R.A.; Gams, W. Ribosomal DNA challenges the status of Fusarium sections Liseola and Elegans. Sydowia 1996, 48, 90–104. [Google Scholar]
- Waalwijk, C.; De Koning, J.R.A.; Gams, W. Discordant groupings of Fusarium spp. from sections Elegans, Liseola and Dlaminia based on ribosomal ITS1 and ITS2 sequences. Mycologia 1996, 88, 361–368. [Google Scholar] [CrossRef]
- Baayen, R.P.; O’Donnell, K.; Bonants, P.J.M.; Cigelnik, E.; Kroon, L.P.N.M.; Roebroeck, E.J.A.; Waalwijk, C. Gene genealogies and AFLP analyses in the Fusarium oxysporum complex identify monophyletic and non-monophyletic formae speciales causing wilt and rot diseases. Phytopathology 2000, 90, 891–900. [Google Scholar] [CrossRef] [Green Version]
- O’Donnell, K.; Kistler, C.H.; Cilgenik, E.; Ploetz, R.C. Multiple evolutionary origins of the fungus causing Panama disease of banana: Concordant evidence from nuclear and mitochondrial gene genealogies. Proc. Natl. Acad. Sci. USA 1998, 95, 2044–2049. [Google Scholar] [CrossRef] [Green Version]
- O’Donnell, K.; Sutton, D.A.; Rinaldi, M.G.; Sarver, B.A.J.; Balajee, S.A.; Schroers, H.; Summerbell, R.C.; Robert, V.A.R.G.; Crous, P.W.; Zhang, N.; et al. Internet-accessible DNA sequence database for identifying fusaria from human and animal infections. J. Clin. Microbiol. 2010, 48, 3708–3718. [Google Scholar] [CrossRef] [Green Version]
- Maryani, N.; Lombard, L.; Poerba, Y.S.; Subandiyah, S.; Crous, P.W.; Kema, G.H.J. Phylogeny and genetic diversity of the banana Fusarium wilt pathogen Fusarium oxysporum f. sp. cubense in the Indonesian centre of origin. Stud. Mycol. 2019, 92, 155–194. [Google Scholar] [CrossRef] [PubMed]
- Nirmaladevi, D.; Venkataramana, M.; Srivastava, R.K.; Uppalapati, S.R.; Gupta, V.K.; Yli-Mattila, T.; Clement Tsui, K.M.; Srinivas, C.; Niranjana, S.R.; Chandra, N.S. Molecular phylogeny, pathogenicity and toxigenicity of Fusarium oxysporum f. sp. lycopersici. Sci. Rep. 2016, 6, 167. [Google Scholar] [CrossRef] [PubMed] [Green Version]
- Stępień, Ł.; Jestoi, M.; Chełkowski, J. Cyclic hexadepsipeptides in wheat field samples and esyn1 gene divergence among enniatin producing Fusarium avenaceum strains. World Mycotoxin J. 2013, 6, 399–409. [Google Scholar] [CrossRef]
- Hofstetter, V.; Miadlikowska, J.; Kauff, F.; Lutzoni, F. Phylogenetic comparison of protein-coding versus ribosomal RNA-coding sequence data: A case study of the Lecanoromycetes (Ascomycota). Mol. Phylogenetics Evol. 2007, 44, 412–426. [Google Scholar] [CrossRef]
- Reeb, V.; Lutzoni, F.; Roux, C. Multilocus phylogenetic circum-scription of the lichen-forming fungi family Acarosporaceae and its po-sition within the Ascomycota. Mol. Phylogenetics Evol. 2004, 32, 1036–1060. [Google Scholar] [CrossRef]
- Liu, Y.J.; Whelen, S.; Hall, B.D. Phylogenetic relationships among ascomycetes: Evidence from an RNA polymerase II subunit. Mol. Biol. Evol. 1999, 16, 1799–1808. [Google Scholar] [CrossRef]
- Wang, B.; Yu, H.; Jia, Y.; Dong, Q.; Steinberg, C.; Alabouvette, C.; Edel-Hermann, V.; Kistler, H.C.; Ye, K.; Ma, L.-J.; et al. Chromosome-Scale Genome Assembly of Fusarium oxysporum Strain Fo47, a Fungal Endophyte and Biocontrol Agent. Mol. Plant-Microbe Interact. 2020, 33, 1108–1111. [Google Scholar] [CrossRef]
- Niehaus, E.-M.; Münsterkötter, M.; Proctor, R.H.; Brown, D.W.; Sharon, A.; Idan, Y.; Oren-Young, L.; Sieber, C.M.; Novák, O.; Pěnčík, A.; et al. Comparative “Omics” of the Fusarium Fujikuroi Species Complex Highlights Differences in Genetic Potential and Metabolite Synthesis. Genome Biol. Evol. 2016, 8, 3574–3599. [Google Scholar] [CrossRef] [Green Version]
- Howe, K.L.; Contreras-Moreira, B.; De Silva, N.; Maslen, G.; Akanni, W.; Allen, J.; Alvarez-Jarreta, J.; Barba, M.; Bolser, D.M.; Cambell, L.; et al. Ensembl Genomes 2020–Enabling Non-Vertebrate Genomic Research. Nucleic Acids Res. 2020, 48, D689–D695. [Google Scholar] [CrossRef] [Green Version]
- Katoh, K.; Standley, D.M. MAFFT Multiple Sequence Alignment Software Version 7: Improvements in Performance and Usability. Mol. Biol. Evol. 2013, 30, 772–780. [Google Scholar] [CrossRef] [Green Version]
- Capella-Gutiérrez, S.; Silla-Martínez, J.M.; Gabaldón, T. trimAl: A Tool for Automated Alignment Trimming in Large-Scale Phylogenetic Analyses. Bioinformatics 2009, 25, 1972–1973. [Google Scholar] [CrossRef]
- Minh, B.Q.; Schmidt, H.A.; Chernomor, O.; Schrempf, D.; Woodhams, M.D.; von Haeseler, A.; Lanfear, R. IQ-TREE 2: New Models and Efficient Methods for Phylogenetic Inference in the Genomic Era. Mol. Biol. Evol. 2020, 37, 1530–1534. [Google Scholar] [CrossRef] [Green Version]
- Huerta-Cepas, J.; Dopazo, J.; Gabaldón, T. ETE: A Python Environment for Tree Exploration. BMC Bioinformatics 2010, 11, 24. [Google Scholar] [CrossRef] [Green Version]
- Stankovic, S.; Levic, J.; Petrovic, T.; Logrieco, A.; Moretti, A. Pathogenicity and mycotoxin production by Fusarium proliferatum isolated from onion and garlic in Serbia. Eur. J. Plant Pathol. 2007, 118, 165–172. [Google Scholar] [CrossRef]
- Lee, H.B.; Magan, N. The influence of environmental factors on growth and interactions between Embellisia allii and Fusarium oxysporum f. sp. cepae isolated from garlic. Int. J. Food Microbiol. 2010, 138, 238–242, ISSN 0168-1605. [Google Scholar] [CrossRef] [Green Version]
- Borrego-Benjumea, A.I.; Melero-Vara, J.M.; Basallote-Ureba, M.J. Organic amendments conditions on the control of Fusarium crown and root rot of asparagus caused by three Fusarium spp. Span. J. Agric. Res. 2015, 13, e1009, eISSN 2171-9292. [Google Scholar] [CrossRef] [Green Version]
- De la Lastra, E.; Martín-Guirao, J.I.; López-Moreno, F.J.; Soriano, T.; de Cara-García, M.; Capote, N. Potential inoculum sources of Fusarium species involved in asparagus decline syndrome and evaluation of soil disinfectan methods by qPCR protocols. Pest Manag. Sci. 2021, 77, 4749–4757. [Google Scholar] [CrossRef]
- Fiume, F.; Fiume, G. Field response of some asparagus varieties to rust, Fusarium crown root rot, and violet root rot. Commun. Agric. Appl. Biol. Sci. 2003, 68, 659–672. [Google Scholar] [PubMed]
- Wong, J.Y.; Jeffries, P. Diversity of pathogenic Fusarium populations associated with asparagus roots in decline soils in Spain and the UK. Plant Pathol. 2006, 55, 331–342. [Google Scholar] [CrossRef]
- Zhang, J.; Abdelraheem, A.; Zhu, Y.; Wheeler, T.A.; Dever, J.K.; Nichols, R.; Wedegaertner, T. Importance of temperature in evaluating cotton for resistance to Fusarium wilt caused by Fusarium oxysporum f. sp. vasinfectum race 4. Crop Sci. 2021, 61, 1783–1796. [Google Scholar] [CrossRef]
- Sharma, R.L.; Singh, B.P.; Thakur, M.P.; Thapak, S.K. Effect of Media, Temperature, pH and Light on the Growth and Sporulation of Fusarium oxysporum f. sp. lini (Bolley) Snyder and Hansen. Ann. Plant Prot. Sci. 2005, 13, 172–174, ISSN 0971-3573. [Google Scholar]
- Hibar, K.; Daami-Remadi, M.; Ayed, F.; El-Mahjoub, M. Fusarium crown and root rot of tomato and its chemical control. Int. J. Agric. Res. 2007, 2, 687–695. [Google Scholar] [CrossRef] [Green Version]
- Scott, J.C.; Gordon, T.R.; Shaw, D.V.; Koike, S.T. Effect of Temperature on Severity of Fusarium Wilt of Lettuce Caused by Fusarium oxysporum f. sp. lactucae. Plant Dis. 2010, 94, 13–17. [Google Scholar] [CrossRef] [PubMed] [Green Version]
- McMeekin, T.A.; Olley, J.N.; Ross, T.; Ratkowsky, D.A. Predictive Microbiology: Theory and Application; Research Studies Press Ltd.: Taunton, UK, 1993. [Google Scholar]
- McMeekin, T.A.; Olley, J.N.; Ratkowsky, D.A.; Ross, T. Predictive microbiology: Towards the interface and beyond. Int. J. Food Microbiol. 2002, 73, 395–407. [Google Scholar] [CrossRef]
- Lahlali, R.; Serrhini, M.N.; Friel, D.; Jijakli, M.H. In vitro effects of water activity, temperature and solutes on the growth rate of P. italicum Wehmer and P. digitatum Sacc. J. Appl. Microbiol. 2006, 101, 628–636. [Google Scholar] [CrossRef] [PubMed]





| Origin | N | Country Code | Isolates Codes | Isolate Source |
|---|---|---|---|---|
| Spain | 20 | SP | 01 to 20 | Asparagus plant |
| Poland | 21 | GA | 1.2, 1.3, 1.4, 3.2, 3.3, 3.5, 3.6, 3.7, 4.1, 4.2, 4.3, 5.3, 5.4, 99.2, 92.3 | Asparagus plant |
| GASP | 2, 3, 4, 5, 9 | |||
| Netherlands | 5 | NL | 01 to 05 | Asparagus plant |
| T | N | Adjusted Equation | Correlation Coefficient | p-Value | R2 |
|---|---|---|---|---|---|
| 15 °C | 120 | Growth rate = 48.733–44.7756/aw | −0.910998 | 0.0000 | 82.22% |
| 20 °C | 120 | Growth rate = 71.6285–65.6407/aw | −0.939446 | 0.0000 | 88.26% |
| 25 °C | 120 | Growth rate = 77.4758–71.416/aw | −0.967739 | 0.0000 | 93.65% |
| 30 °C | 120 | Growth rate = 72.8447–66.8726/aw | −0.934273 | 0.0000 | 86.71% |
| Variety | Grande | Grande | Variety | Grande | Grande | ||||||||||||
| Isolate | DSI root | DSI shoot | Isolate | Dry weight root | Dry weight shoot | ||||||||||||
| Mean | ± | SD | LSD | Mean | ± | SD | LSD | Mean | ± | SD | LSD | Mean | ± | SD | LSD | ||
| Control | 0.2 | ± | 0.28 | a | 0.1 | ± | 0.14 | a | Control | 0.2 | ± | 0.11 | NS | 0.3 | ± | 0.01 | e |
| FOA02 | 1.1 | ± | 1.56 | ab | 0.7 | ± | 0.42 | ab | FOA02 | 0.17 | ± | 0.12 | NS | 0.16 | ± | 0.02 | abc |
| FOA06 | 2.9 | ± | 0.42 | c | 2.1 | ± | 0.71 | cd | FOA06 | 0.11 | ± | 0.05 | NS | 0.2 | ± | 0.03 | cd |
| FOA09 | 3.4 | ± | 0.85 | c | 2.4 | ± | 0.28 | cd | FOA09 | 0.02 | ± | 0.01 | NS | 0.11 | ± | 0 | a |
| GA1.4 | 3.6 | ± | 0 | c | 2.8 | ± | 0.57 | d | GA1.4 | 0.05 | ± | 0.01 | NS | 0.18 | ± | 0.03 | bcd |
| GASP99.2 | 2.4 | ± | 0.28 | bc | 1.5 | ± | 0.14 | bc | GASP99.2 | 0.1 | ± | 0.01 | NS | 0.24 | ± | 0.01 | de |
| GA1.2 | 3.4 | ± | 0.57 | c | 2.2 | ± | 0.28 | cd | GA1.2 | 0.05 | ± | 0.05 | NS | 0.12 | ± | 0.05 | ab |
| Significance | p = 0.0146 | p = 0.0028 | Significance | p = 0.1945 | p = 0.0020 | ||||||||||||
| Variety | Vegalin | Vegalin | Variety | Vegalin | Vegalin | ||||||||||||
| Isolate | DSI root | DSI shoot | Isolate | Dry weight root | Dry weight shoot | ||||||||||||
| Mean | ± | SD | LSD | Mean | ± | SD | LSD | Mean | ± | SD | LSD | Mean | ± | SD | LSD | ||
| Control | 0.1 | ± | 0.14 | a | 0.1 | ± | 0.14 | a | Control | 0.15 | ± | 0.05 | b | 0.26 | ± | 0.01 | d |
| FOA02 | 1.3 | ± | 0.42 | b | 0.4 | ± | 0 | a | FOA02 | 0.12 | ± | 0.02 | b | 0.16 | ± | 0.02 | c |
| FOA06 | 3.5 | ± | 0.42 | c | 2.4 | ± | 0.28 | c | FOA06 | 0.02 | ± | 0.02 | a | 0.13 | ± | 0.03 | bc |
| FOA09 | 3.8 | ± | 0.28 | c | 2.8 | ± | 0.28 | c | FOA09 | 0.01 | ± | 0.01 | a | 0.07 | ± | 0.02 | a |
| GA1.4 | 3.8 | ± | 0.28 | c | 2.6 | ± | 0.28 | c | GA1.4 | 0.01 | ± | 0 | a | 0.09 | ± | 0.02 | ab |
| GASP99.2 | 3.3 | ± | 0.14 | c | 1.8 | ± | 0.28 | b | GASP99.2 | 0.05 | ± | 0.03 | a | 0.13 | ± | 0.02 | bc |
| GA1.2 | 3.3 | ± | 0.42 | c | 2.4 | ± | 0 | c | GA1.2 | 0.04 | ± | 0.02 | a | 0.14 | ± | 0.04 | bc |
| Significance | p = 0.0000 | p = 0.0000 | Significance | p = 0.0053 | p = 0.0027 | ||||||||||||
| Variety | DSI root | DSI shoot | Variety | Dry weight root | Dry weight shoot | ||||||||||||
| Mean | ± | SD | LSD | Mean | ± | SD | LSD | Mean | ± | SD | LSD | Mean | ± | SD | LSD | ||
| Grande | 0.2 | ± | 0.28 | NS | 0.1 | ± | 0.14 | NS | Grande | 0.2 | ± | 0.11 | NS | 0.3 | ± | 0.01 | NS |
| Vegalin | 0.1 | ± | 0.14 | NS | 0.1 | ± | 0.14 | NS | Vegalin | 0.15 | ± | 0.05 | NS | 0.26 | ± | 0.01 | NS |
| Significance | p = 0.6985 | p = 1.0000 | Significance | p = 0.6238 | p = 0.0880 | ||||||||||||
| Origin | DSI root | DSI shoot | Origin | Dry weight root | Dry weight shoot | ||||||||||||
| Mean | ± | SD | LSD | Mean | ± | SD | LSD | Mean | ± | SD | LSD | Mean | ± | SD | LSD | ||
| Spain | 2.67 | ± | 1.26 | NS | 1.87 | ± | 1.05 | NS | Spain | 0.07 | ± | 0.08 | NS | 0.14 | ± | 0.05 | NS |
| Poland | 3.3 | ± | 0.52 | NS | 2.15 | ± | 0.46 | NS | Polony | 0.05 | ± | 0.03 | NS | 0.15 | ± | 0.05 | NS |
| Significance | p = 0.1227 | p = 0.4008 | Significance | p = 0.3381 | p = 0.6343 | ||||||||||||
Publisher’s Note: MDPI stays neutral with regard to jurisdictional claims in published maps and institutional affiliations. |
© 2021 by the authors. Licensee MDPI, Basel, Switzerland. This article is an open access article distributed under the terms and conditions of the Creative Commons Attribution (CC BY) license (https://creativecommons.org/licenses/by/4.0/).
Share and Cite
Brizuela, A.M.; Lalak-Kańczugowska, J.; Koczyk, G.; Stępień, Ł.; Kawaliło, M.; Palmero, D. Geographical Origin Does Not Modulate Pathogenicity or Response to Climatic Variables of Fusarium oxysporum Associated with Vascular Wilt on Asparagus. J. Fungi 2021, 7, 1056. https://doi.org/10.3390/jof7121056
Brizuela AM, Lalak-Kańczugowska J, Koczyk G, Stępień Ł, Kawaliło M, Palmero D. Geographical Origin Does Not Modulate Pathogenicity or Response to Climatic Variables of Fusarium oxysporum Associated with Vascular Wilt on Asparagus. Journal of Fungi. 2021; 7(12):1056. https://doi.org/10.3390/jof7121056
Chicago/Turabian StyleBrizuela, Alexandri María, Justyna Lalak-Kańczugowska, Grzegorz Koczyk, Łukasz Stępień, Michał Kawaliło, and Daniel Palmero. 2021. "Geographical Origin Does Not Modulate Pathogenicity or Response to Climatic Variables of Fusarium oxysporum Associated with Vascular Wilt on Asparagus" Journal of Fungi 7, no. 12: 1056. https://doi.org/10.3390/jof7121056
APA StyleBrizuela, A. M., Lalak-Kańczugowska, J., Koczyk, G., Stępień, Ł., Kawaliło, M., & Palmero, D. (2021). Geographical Origin Does Not Modulate Pathogenicity or Response to Climatic Variables of Fusarium oxysporum Associated with Vascular Wilt on Asparagus. Journal of Fungi, 7(12), 1056. https://doi.org/10.3390/jof7121056

