Beyond Inverse Dynamics: Methods for Assessment of Individual Muscle Function during Gait
Abstract
1. Introduction
2. Muscle Moment Arm
2.1. Measurement of Muscle Moment Arms during Walking
2.2. Moment Arm Measurement to Inform Estimation of Force and Stress
2.3. Muscle Moment Arms in Clinical Populations
3. Muscle “Gear Ratio”
3.1. Foot and Ankle Gearing
3.2. Abnormal Gearing and “Lever Arm Dysfunction”
4. Muscle–Tendon Length
4.1. Hamstrings Lengths and Crouch Gait
4.2. Muscle–Tendon Lengths of Plantarflexors
4.3. Muscle–Tendon Lengths in Assessment of Injury Risk
4.4. Modeling Considerations
5. Muscle-Induced Acceleration Analysis
5.1. Methods for Estimation of Induced Accelerations
5.2. Roles of Multi-Articular Muscles
5.3. Plantarflexor Contributions to Support and Propulsion
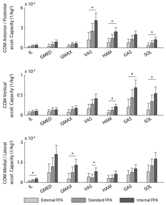
5.4. Assessment of Accelerations in Pathological Gait
6. Conclusions
Funding
Conflicts of Interest
References
- Piazza, S.J. Muscle-driven forward dynamic simulations for the study of normal and pathological gait. J. Neuroeng. Rehabil. 2006, 3, 5. [Google Scholar] [CrossRef]
- Stewart, C.; Shortland, A.P. The biomechanics of pathological gait—From muscle to movement. Acta Bioeng. Biomech. 2010, 12, 3–12. [Google Scholar] [PubMed]
- Trinler, U.; Hollands, K.; Jones, R.; Baker, R. A systematic review of approaches to modelling lower limb muscle forces during gait: Applicability to clinical gait analyses. Gait Posture 2018, 61, 353–361. [Google Scholar] [CrossRef]
- An, K.N.; Takahashi, K.; Harrigan, T.P.; Chao, E.Y. Determination of muscle orientations and moment arms. J. Biomech. Eng. 1984, 106, 280–282. [Google Scholar] [CrossRef]
- Manal, K.; Cowder, J.D.; Buchanan, T.S. A hybrid method for computing achilles tendon moment arm using ultrasound and motion analysis. J. Appl. Biomech. 2010, 26, 224–228. [Google Scholar] [CrossRef]
- Manal, K.; Cowder, J.D.; Buchanan, T.S. Subject-specific measures of Achilles tendon moment arm using ultrasound and video-based motion capture. Physiol. Rep. 2013, 1, e00139. [Google Scholar] [CrossRef]
- Rasske, K.; Thelen, D.G.; Franz, J.R. Variation in the human Achilles tendon moment arm during walking. Comput. Methods Biomech. Biomed. Eng. 2017, 20, 201–205. [Google Scholar] [CrossRef] [PubMed]
- Wade, F.E.; Lewis, G.S.; Piazza, S.J. Estimates of Achilles tendon moment arm differ when axis of ankle rotation is derived from ankle motion. J. Biomech. 2019, 90, 71–77. [Google Scholar] [CrossRef] [PubMed]
- Sheehan, F.T. The 3D in vivo Achilles’ tendon moment arm, quantified during active muscle control and compared across sexes. J. Biomech. 2012, 45, 225–230. [Google Scholar] [CrossRef]
- Tecchio, P.; Zamparo, P.; Nardello, F.; Monte, A. Achilles tendon mechanical properties during walking and running are underestimated when its curvature is not accounted for. J. Biomech. 2022, 137, 111095. [Google Scholar] [CrossRef]
- Franz, J.R.; Khanchandani, A.; McKenny, H.; Clark, W.H. Ankle Rotation and Muscle Loading Effects on the Calcaneal Tendon Moment Arm: An In Vivo Imaging and Modeling Study. Ann. Biomed. Eng. 2019, 47, 590–600. [Google Scholar] [CrossRef]
- Rasske, K.; Franz, J.R. Aging effects on the Achilles tendon moment arm during walking. J. Biomech. 2018, 77, 34–39. [Google Scholar] [CrossRef] [PubMed]
- Ebrahimi, A.; Loegering, I.F.; Martin, J.A.; Pomeroy, R.L.; Roth, J.D.; Thelen, D.G. Achilles tendon loading is lower in older adults than young adults across a broad range of walking speeds. Exp. Gerontol. 2020, 137, 110966. [Google Scholar] [CrossRef]
- Keuler, E.M.; Loegering, I.F.; Martin, J.A.; Roth, J.D.; Thelen, D.G. Shear Wave Predictions of Achilles Tendon Loading during Human Walking. Sci. Rep. 2019, 9, 13419. [Google Scholar] [CrossRef]
- Monte, A.; Tecchio, P.; Nardello, F.; Zamparo, P. Achilles Tendon Mechanical Behavior and Ankle Joint Function at the Walk-to-Run Transition. Biology 2022, 11, 912. [Google Scholar] [CrossRef] [PubMed]
- Alexander, C.F.; Reid, S.; Stannage, K.; Dwyer, B.; Elliott, C.; Valentine, J.; Donnelly, C.J. Children with cerebral palsy have larger Achilles tendon moment arms than typically developing children. J. Biomech. 2019, 82, 307–312. [Google Scholar] [CrossRef] [PubMed]
- Kalkman, B.M.; Bar-On, L.; Cenni, F.; Maganaris, C.N.; Bass, A.; Holmes, G.; Desloovere, K.; Barton, G.J.; O’Brien, T.D. Achilles tendon moment arm length is smaller in children with cerebral palsy than in typically developing children. J. Biomech. 2017, 56, 48–54. [Google Scholar] [CrossRef] [PubMed]
- Carrier, D.R.; Heglund, N.C.; Earls, K.D. Variable gearing during locomotion in the human musculoskeletal system. Science 1994, 265, 651–653. [Google Scholar] [CrossRef] [PubMed]
- Biewener, A.A.; Farley, C.T.; Roberts, T.J.; Temaner, M. Muscle mechanical advantage of human walking and running: Implications for energy cost. J. Appl. Physiol. 2004, 97, 2266–2274. [Google Scholar] [CrossRef]
- Petrovic, M.; Deschamps, K.; Verschueren, S.M.; Bowling, F.L.; Maganaris, C.N.; Boulton, A.J.M.; Reeves, N.D. Altered leverage around the ankle in people with diabetes: A natural strategy to modify the muscular contribution during walking? Gait Posture 2017, 57, 85–90. [Google Scholar] [CrossRef]
- Bojsen-Møller, F. The human foot a two speed construction. Int. Ser. Biomech. 1978, 6, 261–266. [Google Scholar]
- Karamanidis, K.; Arampatzis, A. Aging and running experience affects the gearing in the musculoskeletal system of the lower extremities while walking. Gait Posture 2007, 25, 590–596. [Google Scholar] [CrossRef] [PubMed]
- Takahashi, K.Z.; Gross, M.T.; van Werkhoven, H.; Piazza, S.J.; Sawicki, G.S. Adding Stiffness to the Foot Modulates Soleus Force-Velocity Behaviour during Human Walking. Sci. Rep. 2016, 6, 29870. [Google Scholar] [CrossRef]
- Ray, S.F.; Takahashi, K.Z. Gearing Up the Human Ankle-Foot System to Reduce Energy Cost of Fast Walking. Sci. Rep. 2020, 10, 8793. [Google Scholar] [CrossRef] [PubMed]
- Gage, J.R. Gait Analysis in Cerebral Palsy; McKeith Press: London, UK, 1991. [Google Scholar]
- Gage, J.R.; Novacheck, T.F. An update on the treatment of gait problems in cerebral palsy. J. Pediatr. Orthop. Part B 2001, 10, 265–274. [Google Scholar]
- Theologis, T. Lever arm dysfunction in cerebral palsy gait. J. Child. Orthop. 2013, 7, 379–382. [Google Scholar] [CrossRef]
- Harkness-Armstrong, C.; Maganaris, C.; Walton, R.; Wright, D.M.; Bass, A.; Baltzopoulos, V.; O’Brien, T.D. Muscle architecture and passive lengthening properties of the gastrocnemius medialis and Achilles tendon in children who idiopathically toe-walk. J. Anat. 2021, 239, 839–846. [Google Scholar] [CrossRef]
- Nardello, F.; Bombieri, F.; Monte, A. Leverage mechanical alterations during walking at self-selected speed in patients with Parkinson’s disease. Gait Posture 2020, 79, 175–182. [Google Scholar] [CrossRef]
- Delp, S.L.; Loan, J.P. A graphics-based software system to develop and analyze models of musculoskeletal structures. Comput. Biol. Med. 1995, 25, 21–34. [Google Scholar] [CrossRef]
- Delp, S.L.; Anderson, F.C.; Arnold, A.S.; Loan, P.; Habib, A.; John, C.T.; Guendelman, E.; Thelen, D.G. OpenSim: Open-source software to create and analyze dynamic simulations of movement. IEEE Trans. Bio-Med. Eng. 2007, 54, 1940–1950. [Google Scholar] [CrossRef]
- Hoffinger, S.A.; Rab, G.T.; Abou-Ghaida, H. Hamstrings in cerebral palsy crouch gait. J. Pediatr. Orthop. 1993, 13, 722–726. [Google Scholar] [CrossRef]
- Delp, S.L.; Arnold, A.S.; Speers, R.A.; Moore, C.A. Hamstrings and psoas lengths during normal and crouch gait: Implications for muscle-tendon surgery. J. Orthop. Res. Off. Publ. Orthop. Res. Soc. 1996, 14, 144–151. [Google Scholar] [CrossRef] [PubMed]
- Thompson, N.S.; Baker, R.J.; Cosgrove, A.P.; Corry, I.S.; Graham, H.K. Musculoskeletal modelling in determining the effect of botulinum toxin on the hamstrings of patients with crouch gait. Dev. Med. Child Neurol. 1998, 40, 622–625. [Google Scholar] [CrossRef] [PubMed]
- Jonkers, I.; Stewart, C.; Desloovere, K.; Molenaers, G.; Spaepen, A. Musculo-tendon length and lengthening velocity of rectus femoris in stiff knee gait. Gait Posture 2006, 23, 222–229. [Google Scholar] [CrossRef] [PubMed]
- Eames, N.W.A.; Baker, R.J.; Cosgrove, A.P. Defining gastrocnemius length in ambulant children. Gait Posture 1997, 6, 9–17. [Google Scholar] [CrossRef]
- Orendurff, M.S.; Aiona, M.D.; Dorociak, R.D.; Pierce, R.A. Length and force of the gastrocnemius and soleus during gait following tendo Achilles lengthenings in children with equinus. Gait Posture 2002, 15, 130–135. [Google Scholar] [CrossRef]
- Brierty, A.; Walsh, H.P.J.; Jeffries, P.; Graham, D.; Horan, S.; Carty, C. Dynamic muscle-tendon length following zone 2 calf lengthening surgery in two populations with equinus gait: Idiopathic Toe Walkers and Cerebral Palsy. Clin. Biomech. 2021, 84, 105323. [Google Scholar] [CrossRef]
- Jahn, J.; Vasavada, A.N.; McMulkin, M.L. Calf muscle-tendon lengths before and after Tendo-Achilles lengthenings and gastrocnemius lengthenings for equinus in cerebral palsy and idiopathic toe walking. Gait Posture 2009, 29, 612–617. [Google Scholar] [CrossRef]
- Wren, T.A.; Do, K.P.; Kay, R.M. Gastrocnemius and soleus lengths in cerebral palsy equinus gait–differences between children with and without static contracture and effects of gastrocnemius recession. J. Biomech. 2004, 37, 1321–1327. [Google Scholar] [CrossRef]
- van der Krogt, M.M.; Doorenbosch, C.A.; Becher, J.G.; Harlaar, J. Walking speed modifies spasticity effects in gastrocnemius and soleus in cerebral palsy gait. Clin. Biomech. 2009, 24, 422–428. [Google Scholar] [CrossRef]
- Riley, P.O.; Franz, J.; Dicharry, J.; Kerrigan, D.C. Changes in hip joint muscle–tendon lengths with mode of locomotion. Gait Posture 2010, 31, 279–283. [Google Scholar] [CrossRef]
- Thelen, D.G.; Chumanov, E.S.; Hoerth, D.M.; Best, T.M.; Swanson, S.C.; Li, L.; Young, M.; Heiderscheit, B.C. Hamstring muscle kinematics during treadmill sprinting. Med. Sci. Sports Exerc. 2005, 37, 108–114. [Google Scholar] [CrossRef] [PubMed]
- Schutte, L.M.; Hayden, S.W.; Gage, J.R. Lengths of hamstrings and psoas muscles during crouch gait: Effects of femoral anteversion. J. Orthop. Res. Off. Publ. Orthop. Res. Soc. 1997, 15, 615–621. [Google Scholar] [CrossRef]
- Scheys, L.; Spaepen, A.; Suetens, P.; Jonkers, I. Calculated moment-arm and muscle-tendon lengths during gait differ substantially using MR based versus rescaled generic lower-limb musculoskeletal models. Gait Posture 2008, 28, 640–648. [Google Scholar] [CrossRef] [PubMed]
- Oberhofer, K.; Mithraratne, K.; Stott, N.S.; Anderson, I.A. Error propagation from kinematic data to modeled muscle-tendon lengths during walking. J. Biomech. 2009, 42, 77–81. [Google Scholar] [CrossRef]
- Kainz, H.; Modenese, L.; Lloyd, D.G.; Maine, S.; Walsh, H.P.J.; Carty, C.P. Joint kinematic calculation based on clinical direct kinematic versus inverse kinematic gait models. J. Biomech. 2016, 49, 1658–1669. [Google Scholar] [CrossRef]
- Kainz, H.; Schwartz, M.H. The importance of a consistent workflow to estimate muscle-tendon lengths based on joint angles from the conventional gait model. Gait Posture 2021, 88, 1–9. [Google Scholar] [CrossRef] [PubMed]
- Thelen, D.G.; Anderson, F.C.; Delp, S.L. Generating dynamic simulations of movement using computed muscle control. J. Biomech. 2003, 36, 321–328. [Google Scholar] [CrossRef] [PubMed]
- Silverman, A.K. Induced Acceleration and Power Analyses of Human Motion. In Handbook of Human Motion; Müller, B., Wolf, S.I., Brueggemann, G.-P., Deng, Z., McIntosh, A., Miller, F., Selbie, W.S., Eds.; Springer International Publishing: Cham, Switzerland, 2017; pp. 1–18. [Google Scholar]
- Hamner, S.R.; Seth, A.; Steele, K.M.; Delp, S.L. A rolling constraint reproduces ground reaction forces and moments in dynamic simulations of walking, running, and crouch gait. J. Biomech. 2013, 46, 1772–1776. [Google Scholar] [CrossRef]
- Chen, G. Induced acceleration contributions to locomotion dynamics are not physically well defined. Gait Posture 2006, 23, 37–44. [Google Scholar] [CrossRef]
- van Antwerp, K.W.; Burkholder, T.J.; Ting, L.H. Inter-joint coupling effects on muscle contributions to endpoint force and acceleration in a musculoskeletal model of the cat hindlimb. J. Biomech. 2007, 40, 3570–3579. [Google Scholar] [CrossRef] [PubMed]
- Kimmel, S.A.; Schwartz, M.H. A baseline of dynamic muscle function during gait. Gait Posture 2006, 23, 211–221. [Google Scholar] [CrossRef]
- Neptune, R.R.; Zajac, F.E.; Kautz, S.A. Muscle force redistributes segmental power for body progression during walking. Gait Posture 2004, 19, 194–205. [Google Scholar] [CrossRef] [PubMed]
- Souza, T.R.; Schallig, W.; Veerkamp, K.; Magalhaes, F.A.; Okai-Nobrega, L.A.; Fonseca, S.T.; van der Krogt, M.M. Muscle actions on crossed and non-crossed joints during upright standing and gait: A comprehensive description based on induced acceleration analysis. J. Biomech. 2022, 130, 110874. [Google Scholar] [CrossRef] [PubMed]
- Arnold, A.S.; Schwartz, M.H.; Thelen, D.G.; Delp, S.L. Contributions of muscles to terminal-swing knee motions vary with walking speed. J. Biomech. 2007, 40, 3660–3671. [Google Scholar] [CrossRef] [PubMed][Green Version]
- Neptune, R.R.; Kautz, S.A.; Zajac, F.E. Contributions of the individual ankle plantar flexors to support, forward progression and swing initiation during walking. J. Biomech. 2001, 34, 1387–1398. [Google Scholar] [CrossRef] [PubMed]
- Liu, M.Q.; Anderson, F.C.; Pandy, M.G.; Delp, S.L. Muscles that support the body also modulate forward progression during walking. J. Biomech. 2006, 39, 2623–2630. [Google Scholar] [CrossRef]
- Klemetti, R.; Steele, K.M.; Moilanen, P.; Avela, J.; Timonen, J. Contributions of individual muscles to the sagittal- and frontal-plane angular accelerations of the trunk in walking. J. Biomech. 2014, 47, 2263–2268. [Google Scholar] [CrossRef]
- Dixon, P.C.; Jansen, K.; Jonkers, I.; Stebbins, J.; Theologis, T.; Zavatsky, A.B. Muscle contributions to centre of mass acceleration during turning gait in typically developing children: A simulation study. J. Biomech. 2015, 48, 4238–4245. [Google Scholar] [CrossRef]
- Hegarty, A.K.; Kurz, M.J.; Stuberg, W.; Silverman, A.K. Muscle capacity to accelerate the body during gait varies with foot position in cerebral palsy. Gait Posture 2020, 78, 54–59. [Google Scholar] [CrossRef]
- Steele, K.M.; Seth, A.; Hicks, J.L.; Schwartz, M.H.; Delp, S.L. Muscle contributions to vertical and fore-aft accelerations are altered in subjects with crouch gait. Gait Posture 2013, 38, 86–91. [Google Scholar] [CrossRef] [PubMed]
- Sasaki, K.; Neptune, R.R.; Burnfield, J.M.; Mulroy, S.J. Muscle compensatory mechanisms during able-bodied toe walking. Gait Posture 2008, 27, 440–446. [Google Scholar] [CrossRef]
- Higgs, J.P.; Diamond, L.E.; Saxby, D.J.; Barrett, R.S.; Graham, D.F. Individual muscle contributions to the acceleration of the centre of mass during gait in people with mild-to-moderate hip osteoarthritis. Gait Posture 2023, 104, 151–158. [Google Scholar] [CrossRef]
- Ogaya, S.; Kubota, R.; Chujo, Y.; Hirooka, E.; Kwang-Ho, K.; Hase, K. Muscle contributions to knee extension in the early stance phase in patients with knee osteoarthritis. Gait Posture 2017, 58, 88–93. [Google Scholar] [CrossRef] [PubMed]
- George-Reichley, D.G.; Higginson, J.S. Potential muscle function during the swing phase of stroke gait. J. Appl. Biomech. 2010, 26, 180–187. [Google Scholar] [CrossRef] [PubMed][Green Version]
- Li, X.; Lu, Z.; Cen, X.; Zhou, Y.; Xuan, R.; Sun, D.; Gu, Y. Effect of pregnancy on female gait characteristics: A pilot study based on portable gait analyzer and induced acceleration analysis. Front. Physiol. 2023, 14, 1034132. [Google Scholar] [CrossRef]
- Schloemer, S.A.; Thompson, J.A.; Silder, A.; Thelen, D.G.; Siston, R.A. Age-Related Differences in Gait Kinematics, Kinetics, and Muscle Function: A Principal Component Analysis. Ann. Biomed. Eng. 2017, 45, 695–710. [Google Scholar] [CrossRef]
- Graham, D.F.; Carty, C.P.; Lloyd, D.G.; Lichtwark, G.A.; Barrett, R.S. Muscle contributions to recovery from forward loss of balance by stepping. J. Biomech. 2014, 47, 667–674. [Google Scholar] [CrossRef]
- Sohn, M.H.; Smith, D.M.; Ting, L.H. Effects of kinematic complexity and number of muscles on musculoskeletal model robustness to muscle dysfunction. PLoS ONE 2019, 14, e0219779. [Google Scholar] [CrossRef]




Disclaimer/Publisher’s Note: The statements, opinions and data contained in all publications are solely those of the individual author(s) and contributor(s) and not of MDPI and/or the editor(s). MDPI and/or the editor(s) disclaim responsibility for any injury to people or property resulting from any ideas, methods, instructions or products referred to in the content. |
© 2024 by the author. Licensee MDPI, Basel, Switzerland. This article is an open access article distributed under the terms and conditions of the Creative Commons Attribution (CC BY) license (https://creativecommons.org/licenses/by/4.0/).
Share and Cite
Piazza, S.J. Beyond Inverse Dynamics: Methods for Assessment of Individual Muscle Function during Gait. Bioengineering 2024, 11, 896. https://doi.org/10.3390/bioengineering11090896
Piazza SJ. Beyond Inverse Dynamics: Methods for Assessment of Individual Muscle Function during Gait. Bioengineering. 2024; 11(9):896. https://doi.org/10.3390/bioengineering11090896
Chicago/Turabian StylePiazza, Stephen J. 2024. "Beyond Inverse Dynamics: Methods for Assessment of Individual Muscle Function during Gait" Bioengineering 11, no. 9: 896. https://doi.org/10.3390/bioengineering11090896
APA StylePiazza, S. J. (2024). Beyond Inverse Dynamics: Methods for Assessment of Individual Muscle Function during Gait. Bioengineering, 11(9), 896. https://doi.org/10.3390/bioengineering11090896
