Osteogenic Effect of a Bioactive Calcium Alkali Phosphate Bone Substitute in Humans
Abstract
1. Introduction
2. Materials and Methods
2.1. Bone Grafting Materials
2.2. Patient Selection and Patient Clinical Data
2.3. Cone Beam Computed Tomography and Panoramic Radiographs
2.4. Surgical Interventions and Biopsy Sampling
2.5. Histologic, Histomorphometric, and Immunohistochemical Analyses
2.6. Statistical Analysis
3. Results
3.1. Clinical Intraoperative and Postoperative Findings
3.2. Radiological Findings
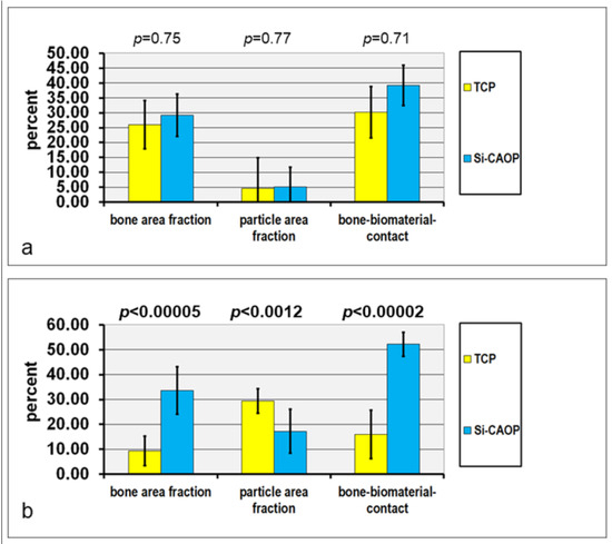
3.3. Results of Histologic, Histomorphometric, and Immunohistochemical Analyses
4. Discussion
5. Conclusions
Author Contributions
Funding
Institutional Review Board Statement
Informed Consent Statement
Data Availability Statement
Acknowledgments
Conflicts of Interest
References
- Szabó, G.; Huys, L.; Coulthard, P.; Maiorana, C.; Garagiola, U.; Barabás, J.; Németh, Z.; Hrabák, K.; Suba, Z. A prospective multicenter randomized clinical trial of autogenous bone versus beta-tricalcium phosphate graft alone for bilateral sinus elevation: Histologic and histomorphometric evaluation. Int. J. Oral. Maxillofac. Implant. 2005, 20, 371–3781. [Google Scholar]
- Suba, Z.; Takács, D.; Matusovits, D.; Barabás, J.; Fazekas, A.; Szabó, G. Maxillary sinus floor grafting with beta-tricalcium phosphate in humans: Density and microarchitecture of the newly formed bone. Clin. Oral. Implant. Res. 2006, 17, 102–108. [Google Scholar] [CrossRef] [PubMed]
- Knabe, C.; Koch, C.; Rack, A.; Stiller, M. Effect of beta-tricalcium phosphate particles with varying porosity on osteogenesis after sinus floor augmentation in humans. Biomaterials 2008, 29, 2249–2258. [Google Scholar] [CrossRef] [PubMed]
- Knabe, C.; Stiller, M.; Adel-Khattab, D.; Ducheyne, P. Dental graft materials. In Comprehensive Biomaterials II; Ducheyne, P., Healy, K., Hutmacher, D., Grainger, D.W., Kirkpatrick, J.P., Eds.; Elsevier: Oxford, UK, 2017; Volume 7, Chapter 7.20; pp. 378–405. [Google Scholar]
- Knabe, C.; Mele, A.; Peleska, B.; Kann, P.H.; Adel-Khattab, D.; Renz, H.; Reuss, A.; Bohner, M.; Stiller, M. Effect of sex-hormone levels, sex, body mass index and other host factors on human craniofacial bone regeneration with bioactive tricalcium phosphate grafts. Biomaterials 2017, 123, 48–62. [Google Scholar] [CrossRef]
- Knabe, C.; Adel-Khattab, D.; Kluk, E.; Struck, R.; Stiller, M. Effect of a Particulate and a Putty-Like Tricalcium Phosphate-Based Bone-grafting Material on Bone Formation, Volume Stability and Osteogenic Marker Expression after Bilateral Sinus Floor Augmentation in Humans. J. Funct. Biomater. 2017, 8, 31. [Google Scholar] [CrossRef] [PubMed]
- Zijderveld, S.A.; Zerbo, I.R.; van den Bergh, J.P.; Schulten, E.A.; Bruggenkate, C.M.T. Maxillary sinus floor augmentation using a beta-tricalcium phosphate (Cerasorb) alone compared to autogenous bone grafts. Int. J. Oral. Maxillofac. Implant. 2005, 20, 432–440. [Google Scholar]
- Zijderveld, S.A.; Schulten, E.A.; Aartman, I.H.; Bruggenkate, C.M.T. Long-term changes in graft height after maxillary sinus floor elevation with different grafting materials: Radiographic evaluation with a minimum follow-up of 4.5 years. Clin. Oral. Implant. Res. 2009, 20, 691–700. [Google Scholar] [CrossRef]
- Ducheyne, P.; Qiu, Q. Bioactive ceramics: The effect of surface reactivity on bone formation and bone cell function. Biomaterials 1999, 20, 2287–2303. [Google Scholar] [CrossRef]
- Xynos, I.D.; Edgar, A.J.; Buttery, L.D.; Hench, L.L.; Polak, J.M. Ionic products of bioactive glass dissolution increase proliferation of human osteoblasts and induce insulin-like growth factor II mRNA expression and protein synthesis. Biochem. Biophys. Res. Commun. 2000, 276, 461–465. [Google Scholar] [CrossRef]
- Kalk, W.W.; Raghoebar, G.M.; Jansma, J.; Boering, G. Morbidity from iliac crest bone harvesting. J. Oral. Maxillofac. Surg. 1996, 54, 1424–1429. [Google Scholar] [CrossRef]
- Aghaloo, T.L.; Moy, P.K. Which hard tissue augmentation techniques are the most successful in furnishing bony support for implant placement? Int. J. Oral. Maxillofac. Implant. 2007, 22, 49–70. [Google Scholar]
- Knabe, C.; Houshmand, A.; Berger, G.; Ducheyne, P.; Gildenhaar, R.; Kranz, I.; Stiller, M. Effect of rapidly resorbable bone substitute materials on the temporal expression of the osteoblastic phenotype in vitro. J. Biomed. Mater. Res. A 2008, 84, 856–868. [Google Scholar] [CrossRef]
- Pjetursson, B.E.; Tan, W.C.; Zwahlen, M.; Lang, N.P. A systematic review of the success of sinus floor elevation and survival of implants inserted in combination with sinus floor elevation. J. Clin. Periodontol. 2008, 35, 216–240. [Google Scholar] [CrossRef] [PubMed]
- Stiller, M.; Rack, A.; Zabler, S.; Goebbels, J.; Dalügge, O.; Jonscher, S.; Knabe, C. Quantification of bone tissue regeneration employing beta-tricalcium phosphate by three-dimensional non-invasive synchrotron micro-tomography--a comparative examination with histomorphometry. Bone 2009, 44, 619–628. [Google Scholar] [CrossRef] [PubMed]
- Stiller, M.; Kluk, E.; Bohner, M.; Lopez-Heredia, M.A.; Müller-Mai, C.; Knabe, C. Performance of β-tricalcium phosphate granules and putty, bone grafting materials after bilateral sinus floor augmentation in humans. Biomaterials 2014, 35, 3154–3163. [Google Scholar] [CrossRef]
- Zerbo, I.R.; Zijderveld, S.A.; de Boer, A.; Bronckers, A.L.; de Lange, G.; ten Bruggenkate, C.M.; Burger, E.H. Histomorphometry of human sinus floor augmentation using a porous beta-tricalcium phosphate: A prospective study. Clin. Oral. Implant. Res. 2004, 15, 724–732. [Google Scholar] [CrossRef] [PubMed]
- Zerbo, I.R.; Bronckers, A.L.; de Lange, G.; Burger, E.H. Localisation of osteogenic and osteoclastic cells in porous beta-tricalcium phosphate particles used for human maxillary sinus floor elevation. Biomaterials 2005, 26, 1445–1451. [Google Scholar] [CrossRef]
- Danesh-Sani, S.A.; Engebretson, S.P.; Janal, M.N. Histomorphometric results of different grafting materials and effect of healing time on bone maturation after sinus floor augmentation: A systematic review and meta-analysis. J. Periodontal Res. 2016, 52, 301–312. [Google Scholar] [CrossRef]
- Berger, G.; Gildenhaar, R.; Ploska, U. Rapid resorbable, glassy crystalline materials on the basis of calcium alkali orthophosphates. Biomaterials 1995, 16, 1241–1248. [Google Scholar] [CrossRef]
- Knabe, C.; Gildenhaar, R.; Berger, G.; Ostapowicz, W.; Fitzner, R.; Radlanski, R.J.; Gross, U. In vitro investigation of novel calcium phosphates using osteogenic cultures. J. Mater. Sci. Mater. Med. 1998, 9, 337–345. [Google Scholar] [CrossRef]
- Knabe, C.; Berger, G.; Gildenhaar, R.; Meyer, J.; Howlett, C.R.; Markovic, B.; Zreiqat, H. Effect of rapidly resorbable calcium phosphates and a calcium phosphate bone cement on the expression of bone-related genes and proteins in vitro. J. Biomed. Mater. Res. A 2004, 69, 145–154. [Google Scholar] [CrossRef] [PubMed]
- Knabe, C.; Stiller, M.; Berger, G.; Reif, D.; Gildenhaar, R.; Howlett, C.R.; Zreiqat, H. The Effect of Bioactive Glass Ceramics on the Expression of Bone-Related Genes and Proteins in vitro. Clin. Oral Implants Res. 2005, 16, 119–127. [Google Scholar] [CrossRef]
- Knabe, C.; Adel-Khattab, D.; Ducheyne, P. Bioactivity–mechanisms. In Comprehensive Biomaterials II; Ducheyne, P., Healy, K., Hutmacher, D., Grainger, D.W., Kirkpatrick, J.P., Eds.; Elsevier: Oxford, UK, 2017; Volume 1, Chapter 1.12; pp. 291–310. [Google Scholar]
- Knabe, C.; Adel-Khattab, D.; Hübner, W.D.; Peters, F.; Knauf, T.; Peleska, B.; Barnewitz, D.; Genzel, A.; Kusserow, R.; Sterzik, F.; et al. Effect of silicon-doped calcium phosphate bone grafting materials on bone regeneration and osteogenic marker expression after implantation in the ovine scapula. J. Biomed. Mater. Res. B Appl. Biomater. 2019, 107, 594–614. [Google Scholar] [CrossRef] [PubMed]
- Chackartchi, T.; Iezzi, G.; Goldstein, M.; Klinger, A.; Soskolne, A.; Piattelli, A.; Shapira, L. Sinus floor augmentation using large (1–2 mm) or small (0.25–1 mm) bovine bone mineral particles: A prospective, intra-individual controlled clinical, micro-computerized tomography and histomorphometric study. Clin. Oral. Implant. Res. 2011, 22, 473–480. [Google Scholar] [CrossRef]
- Gerstenfeld, L.C.; Wronski, T.J.; Hollinger, J.O.; Einhorn, T.A. Application of histomorphometric methods to the study of bone repair. J. Bone Miner. Res. 2005, 20, 1715–1722. [Google Scholar] [CrossRef]
- Adel-Khattab, D.; Giacomini, F.; Peleska, B.; Gildenhaar, R.; Berger, G.; Gomes, C.; Linow, U.; Hardt, M.; Günster, J.; Stiller, M.; et al. Development of a synthetic tissue engineered 3D printed bioceramic-based bone graft with homogenously distributed osteoblasts and mineralizing bone matrix in vitro. J. Tissue Eng. Regen. Med. 2018, 2, 44–58. [Google Scholar] [CrossRef] [PubMed]
- Knabe, C.; Kraska, B.; Koch, C.; Gross, U.; Zreiqat, H.; Stiller, M. A method for immunohistochemical detection of osteogenic markers in undecalcified bone sections. Biotech. Histochem. 2006, 81, 31–39. [Google Scholar] [CrossRef]
- Tatum, H., Jr. Maxillary and sinus implant reconstructions. Dent. Clin. N. Am. 1986, 30, 207–229. [Google Scholar] [CrossRef]
- Farhadieh, R.D.; Gianoutsos, M.P.; Yu, Y.; Walsh, W.R. The role of bone morphogenetic proteins BMP-2 and BMP-4 and their related postreceptor signaling system (Smads) in distraction osteogenesis of the mandible. J. Craniofac. Surg. 2004, 15, 714–718. [Google Scholar] [CrossRef]
- Tavakoli, K.; Yu, Y.; Shahidi, S.; Bonar, F.; Walsh, W.R.; Poole, M.D. Expression of growth factors in the mandibular distraction zone: A sheep study. Br. J. Plast. Surg. 1999, 52, 434–439. [Google Scholar] [CrossRef]
- Ducheyne, P.; Hastings, G.W. (Eds.) Structure-Property Relationship in Biomaterials; CRC Press, Inc.: Boca Raton, FL, USA, 1984. [Google Scholar]
- Knabe, C.; Adel-Khattab, D.; Müller-Mai, C.H. Chapter 4.1: Biological performance of biomaterials and biomedical devices. In Materials for Medical Applications; Heimann, R.P., Ed.; De Gruyter Berlin: Boston, MA, USA; Beijing, China, 2020. [Google Scholar]
- El-Ghannam, A.; Ducheyne, P.; Shapiro, I.M. Effect of serum proteins on osteoblast adhesion to surface-modified bioactive glass and hydroxyapatite. J. Orthop. Res. 1999, 17, 340–345. [Google Scholar] [CrossRef] [PubMed]
- Galindo-Moreno, P.; Moreno-Riestra, I.; Avila, G.; Padial-Molina, M.; Paya, J.A.; Wang, H.L.; O’Valle, F. Effect of anorganic bovine bone to autogenous cortical bone ratio upon bone remodeling patterns following maxillary sinus augmentation. Clin. Oral. Impl. Res. 2011, 22, 857–864. [Google Scholar] [CrossRef] [PubMed][Green Version]
- Del Fabbro, M.; Rosano, G.; Taschieri, S. Implant survival rates after maxillary sinus augmentation. Eur. J. Oral. Sci. 2008, 116, 497–506. [Google Scholar] [CrossRef] [PubMed]
- Cadenas-Vacas, G.; Martínez-Rodríguez, N.; Barona-Dorado, C.; Sánchez-Labrador, L.; Cortés-Bretón Brinkmann, J.; Meniz-García, C.; Martínez-González, J.M. Calcium Phosphate Modified with Silicon vs. Bovine Hydroxyapatite for Alveolar Ridge preservation: Densitometric Evaluation, Morphological Changes and Histomorphometric Study. Materials 2021, 14, 940. [Google Scholar] [CrossRef]
- Carossa, M.; Scotti, N.; Alovisi, M.; Catapano, S.; Grande, F.; Corsalini, M.; Ruffino, S.; Pera, F. Management of a Malpractice Dental Implant Case in a Patient with History of Oral Bisphosphonates Intake: A Case Report and Narrative Review of Recent Findings. Prosthesis 2023, 5, 826–839. [Google Scholar] [CrossRef]
- Schepers, E.J.; Ducheyne, P. Bioactive glass particles of narrow size range for the treatment of oral bone defects: A 1-24 month experiment with several materials and particle sizes and size ranges. J. Oral. Rehabil. 1997, 24, 171–181. [Google Scholar] [CrossRef] [PubMed]
- Knabe, C.; Stiller, M.; Kampschulte, M.; Wilbig, J.; Peleska, B.; Günster, J.; Gildenhaar, R.; Berger, G.; Rack, A.; Linow, U.; et al. A tissue engineered 3D printed calcium alkali phosphate bioceramic bone graft enables vascularization and regeneration of critical-size discontinuity bony defects. Front. Bioeng. Biotechnol. 2023, 11, 1221314. [Google Scholar] [CrossRef]






| Patient No. | Bone Grafting Material | Gender | Age |
|---|---|---|---|
| 1 | Si-CAP | F | 51 |
| 2 | Si-CAP | F | 76 |
| 3 | Si-CAP | F | 69 |
| 4 | Si-CAP | F | 70 |
| 5 | Si-CAP | F | 69 |
| 6 | Si-CAP | M | 68 |
| 7 | Si-CAP | F | 66 |
| 8 | Si-CAP | M | 59 |
| 9 | Si-CAP | M | 58 |
| 10 | Si-CAP | M | 65 |
| 11 | Si-CAP | F | 52 |
| 12 | Si-CAP | M | 70 |
| 13 | Si-CAP | F | 54 |
| 14 | Si-CAP | M | 51 |
| 15 | Si-CAP | M | 59 |
| 16 | Si-CAP | F | 51 |
| 17 | Si-CAP | M | 67 |
| 18 | Si-CAP | F | 64 |
| 19 | Si-CAP | M | 56 |
| 20 | β-TCP | F | 61 |
| 21 | β-TCP | F | 54 |
| 22 | β-TCP | F | 74 |
| 23 | β-TCP | F | 66 |
| 24 | β-TCP | F | 52 |
| 25 | β-TCP | F | 60 |
| 26 | β-TCP | M | 69 |
| 27 | β-TCP | M | 60 |
| 28 | β-TCP | F | 54 |
| 29 | β-TCP | M | 59 |
| 30 | β-TCP | F | 56 |
| 31 | β-TCP | F | 65 |
| 32 | β-TCP | M | 70 |
| 33 | β-TCP | M | 72 |
| 34 | β-TCP | F | 44 |
| 35 | β-TCP | F | 60 |
| 36 | β-TCP | F | 45 |
| 37 | β-TCP | F | 49 |
| 38 | β-TCP | M | 40 |
| a | |||||||||||||||||||
| Marker | Osteoblasts | Osteocytes | Fibroblastic Cells of the Osteogenic Mesenchym | Fibrous Matrix | Bone Matrix | Osteoid | |||||||||||||
| Si-CAOP | TCP | p | Si-CAOP | TCP | p | Si-CAOP | TCP | p | Si-CAOP | TCP | p | Si-CAOP | TCP | p | Si-CAOP | TCP | p | ||
| ALP | 0.4 ± 0.2 | 0 | 0.04 * | 0 | 0 | 0.9 | 0.20 ± 0.1 | 0.3 ± 0.1 | 0.8 | 2.3 ± 1.5 | 3.3 ± 1.3 | 0.05 * | 1.2 ± 1.3 | 0.8 ± 0.3 | 0.4 | 1.4 ± 1.6 | 1.1 ± 1.5 | 0.7 | |
| BSP | 0.4 ± 0.1 | 0 | 0.04 * | 0.4 ± 0.15 | 0.1 ± 0.02 | 0.04 * | 0.5 ± 0.2 | 0 | 0.03 * | 3.4 ± 1.2 | 2.6 ± 1.4 | 0.06 | 2.6 ± 1.3 | 1.2 ± 1.4 | 0.003 * | 2.8 ± 1.1 | 2.9 ± 1.5 | 0.2 | |
| OCN | 3.1 ± 1.1 | 0.2 ± 0.05 | 0.03 * | 0.3 ± 0.1 | 0.1 ± 0.03 | 0.04 * | 0.5 ± 0.2 | 0.4 ± 0.1 | 0.06 | 3.6 ± 1.3 | 2 ± 1.8 | 0.04 * | 2 ± 1.7 | 2 ± 1.8 | 0.7 | 1.3 ± 1.4 | 0.5 ± 0.2 | 0.03 * | |
| ColI | 0.4 ± 0.15 | 0 | 0.02 * | 0.2 ± 0.05 | 0.1 ± 0.01 | 0.04 * | 0.04 ± 0.2 | 0 | 0.9 | 3.3 ± 1.1 | 2.4 ± 1.9 | 0.1 | 1 ± 1.2 | 0.4 ± 0.3 | 0.2 | 2.5 ± 1.1 | 0.9 ± 0.1 | 0.0001 * | |
| b | |||||||||||||||||||
| Marker | Osteoblasts | Osteocytes | Fibroblastic Cells of the Osteogenic Mesenchym | Fibrous Matrix | Bone Matrix | Osteoid | |||||||||||||
| Si-CAOP | TCP | p | Si-CAOP | TCP | p | Si-CAOP | TCP | p | Si-CAOP | TCP | p | Si-CAOP | TCP | p | Si-CAOP | TCP | p | ||
| ALP | 0.6 ± 0.2 | 0 | 0.02 * | 0.6 ± 0.14 | 0.5 ± 0.3 | 0.99 | 0.6 ± 0.2 | 0.6 ± 0.1 | 0.9 | 2.8 ± 1.5 | 2.6 ± 1.7 | 0.7 | 1 ± 1.3 | 1.5 ± 1.3 | 0.2 | 2.0 ± 1.7 | 1.5 ± 1.6 | 0.2 | |
| BSP | 0.4 ± 0.05 | 0.2 ± 0.05 | 0.04 * | 1.3 ± 0.7 | 0.14 ± 0.6 | 0.2 | 0.6 ± 0.1 | 0.2 ± 0.05 | 0.04 * | 3.0 ± 1.5 | 2.0 ± 1.4 | 0.02 * | 3.5 ± 0.9 | 2.6 ± 1.6 | 0.03 * | 3.4 ± 0.7 | 3.3 ± 0.9 | 0.9 | |
| OCN | 0.4 ± 0.1 | 0 | 0.02 * | 1.2 ± 0.5 | 0 | 0.25 | 0.6 ± 0.2 | 0 | 0.03 * | 1.9 ± 1.4 | 1.8 ± 1.6 | 0.8 | 3.0 ± 1.4 | 3.4 ± 1.4 | 0.08 | 1.5 ± 1.4 | 2 ± 1.6 | 0.2 | |
| Coll I | 0.4 ± 0.05 | 0.2 ± 0.05 | 0.04 * | 0.9 ± 02 | 0.9 ± 0.3 | 0.9 | 0.7 ± 0.2 | 0.6 ± 0.3 | 0.9 | 3.0 ± 1.2 | 2.0 ± 1.7 | 0.2 | 1.7 ± 1.4 | 0.8 ± 0.8 | 0.04 * | 3 ± 1.3 | 1.1 ± 1.1 | 0.0009 * | |
Disclaimer/Publisher’s Note: The statements, opinions and data contained in all publications are solely those of the individual author(s) and contributor(s) and not of MDPI and/or the editor(s). MDPI and/or the editor(s) disclaim responsibility for any injury to people or property resulting from any ideas, methods, instructions or products referred to in the content. |
© 2023 by the authors. Licensee MDPI, Basel, Switzerland. This article is an open access article distributed under the terms and conditions of the Creative Commons Attribution (CC BY) license (https://creativecommons.org/licenses/by/4.0/).
Share and Cite
Knabe, C.; Adel-Khattab, D.; Rezk, M.; Cheng, J.; Berger, G.; Gildenhaar, R.; Wilbig, J.; Günster, J.; Rack, A.; Heiland, M.; et al. Osteogenic Effect of a Bioactive Calcium Alkali Phosphate Bone Substitute in Humans. Bioengineering 2023, 10, 1408. https://doi.org/10.3390/bioengineering10121408
Knabe C, Adel-Khattab D, Rezk M, Cheng J, Berger G, Gildenhaar R, Wilbig J, Günster J, Rack A, Heiland M, et al. Osteogenic Effect of a Bioactive Calcium Alkali Phosphate Bone Substitute in Humans. Bioengineering. 2023; 10(12):1408. https://doi.org/10.3390/bioengineering10121408
Chicago/Turabian StyleKnabe, Christine, Doaa Adel-Khattab, Mohamed Rezk, Jia Cheng, Georg Berger, Renate Gildenhaar, Janka Wilbig, Jens Günster, Alexander Rack, Max Heiland, and et al. 2023. "Osteogenic Effect of a Bioactive Calcium Alkali Phosphate Bone Substitute in Humans" Bioengineering 10, no. 12: 1408. https://doi.org/10.3390/bioengineering10121408
APA StyleKnabe, C., Adel-Khattab, D., Rezk, M., Cheng, J., Berger, G., Gildenhaar, R., Wilbig, J., Günster, J., Rack, A., Heiland, M., Knauf, T., & Stiller, M. (2023). Osteogenic Effect of a Bioactive Calcium Alkali Phosphate Bone Substitute in Humans. Bioengineering, 10(12), 1408. https://doi.org/10.3390/bioengineering10121408

