Abstract
Coffee cherry waste, a byproduct of coffee production, presents significant environmental challenges due to its large volume—approximately 20 million tons annually. The disposal of this waste, which includes pulp and mucilage, often leads to pollution of land and water systems, contributing to environmental degradation. Additionally, the high acidity and organic content of coffee cherry waste complicate its management, making it crucial to find sustainable solutions for its valorization and reuse in order to mitigate these ecological impacts. The purpose of this study is to investigate the efficiency and selectivity of various organic acid catalysts in the hydrothermal valorization of coffee cherry waste. The procedures were conducted using the liquid hot water (LHW) treatment for one hour with a 1:20 biomass/catalyst ratio and a 1 mm biomass particle size at 180 °C in 500 mL batch reactors modifying 10 different organic acids at 0.02 M. Concentrations of the valorized products (HMF, furfural, levulinic acid, formic acid, and sugars) were measured using HPLC-IR. Among the catalysts tested, adipic acid demonstrated the highest efficiency, with a total yield of 53.667%, showing significant selectivity towards formic acid (19.663%) and levulinic acid (11.291%). In contrast, butyric acid was the least efficient catalyst, yielding a total of 17.395% and showing minimal selectivity towards other compounds. Chloroacetic acid and benzoic acid were notable for their high selectivity towards sugars. Other catalysts, such as anthranilic acid, propanoic acid, and succinic acid, displayed moderate efficiency and selectivity, with balanced yields across various compounds. These findings highlight the importance of catalyst selection in optimizing the hydrothermal process for desired product outcomes.
1. Introduction
The agriculture sector generates a substantial amount of waste annually, with over two billion tons produced globally each year []. This agro-industrial waste is defined as any material that has not yet been fully utilized and typically consists of three primary components: cellulose, hemicellulose, and lignin []. The sustainable reuse of biomass from agro-industrial waste is a major challenge in the 21st century. The agricultural and food sectors generate significant waste, which can be used to produce high-value products. The United Nations Food and Agriculture Organization estimates that one-third of global food production, approximately 1.6 billion tons per year, is lost or wasted. Fruits, vegetables, roots, and tubers account for 40–50% of this wasted food []. Agricultural waste biomass can be recycled for agriculture as a source of carbon and other nutrients, while these wastes can also be utilized for bioenergy generation [].
In this context, the valorization of agro-industrial waste has emerged as a key strategy for environmentally friendly and sustainable production. Many studies are centered on the valorization of agro-industrial wastes, including peels, seeds, pits, pulps, press cakes, and leaves []. Composting, pyrolysis, biogas generation, and combined applications are used to recycle energy and nutrients. Significant advancements have been made in converting biomass to usable products in the notion of the circular economy []. The recovery of agricultural waste biomass can be used to generate biofuels, fertilizers, and energy, contributing to a cleaner and low-carbon-safe environment []. One of the alternatives is the hydrothermal reactions that consist of converting biomass into valuable platform chemicals [].
Hydrothermal processes involve the transformation of water properties at elevated temperatures, making it an ideal reaction environment for various reactions []. Hydrothermal valorization, including variations like low-temperature hydrothermal (LHW) and hydrothermal carbonization (HTC), is a lower-energy approach in biomass conversion. LHW operates at temperatures ranging from 120–180 °C, transforming wet biomass into aqueous platform chemicals. HTC, conducted at temperatures between 180–260 °C, converts biomass into a carbon-rich solid product and a liquid organic. These hydrothermal processes, with their specific temperature ranges and reaction conditions, provide efficient pathways for valorizing biomass into valuable products, contributing to the sustainable utilization of renewable resources [].
The use of catalysts is one effective way to increase the yields of hydrothermal reactions. Catalysts can speed up chemical reactions without being consumed themselves. Over 90% of the chemical processes involve catalytic transformations, with transition metals being the most used catalysts, including enzymes and small molecules []. Catalysts work by providing an alternative reaction pathway with a lower activation energy, allowing the reaction to proceed quickly []. Catalysts can exist in different phases compared to the reactants, leading to the distinction between homogeneous catalysis, where the catalyst is in the same phase as the reactants, and heterogeneous catalysis, where the catalyst is in a different phase [].
In the case of hydrothermal reactions, homogeneous catalysts are more commonly used because it is important that the catalyst can easily be dissolved in the aqueous phase. Homogeneous catalysts include carbonates and hydroxides of alkali metals (Na, K, Ca, etc.). Aside from alkalis, acids such as formic acid, acetic acid, hydrochloric acid, and sulfuric acid and their solutions are widely accepted as homogeneous catalysts [].
For example, dicarboxylic acids, despite being more expensive than inorganic acids, are considered alternative catalysts for pretreatment due to their high catalytic efficiency and lack of sugar degradation [,]. Acetic acid, in particular, has been used as a catalyst in various hydrothermal reactions, including the synthesis of acetic acid from carbohydrate biomass and the degradation of cellulose simulants [].
Most articles on hydrothermal reactions use inorganic acids, such as sulfuric acid and hydrogen chloride, as catalysts. However, there is not much research on the organic acids that would be used to catalyze hydrothermal reactions. For this reason, research on the use of organic catalysts offers a wide field for experimentation. In this article, we present the results of using different organic acids, including aliphatic, aromatic, and dicarboxylic acids, as catalysts in the hydrothermal treatment of coffee biomass. The choice of organic acids was based on their potential to enhance the efficiency and selectivity of the hydrothermal process.
2. Materials and Methods
2.1. Characterization of the Biomass
The samples of coffee cherry waste were obtained from a farm in Santandercito, Cundinamarca, Colombia. The samples were airdried to a constant weight, ground with a knife mill, and meshed to a 1 mm size (ASTM No. 18 mesh). It was necessary to know the composition of the starting biomass to determine the conversion of the initial components into the desired products. The initial chemical composition of coffee cherry waste, specifically the contents of lignin, hemicellulose, and cellulose, was determined using a method based on the techniques described in the article “Methods for Dietary Fiber, Neutral Detergent Fiber, and Non-starch Polysaccharides in Relation to Animal Nutrition”, published in the Journal of Dairy Science. This approach involves preparing the sample by drying and grinding it to a uniform size, followed by neutral detergent fiber (NDF) analysis, which solubilizes the non-fibrous components while isolating fibrous materials. The residue is then subjected to acid detergent fiber (ADF) analysis to separate the cellulose from hemicellulose and lignin. The resulting fractions are weighed to quantify the respective contents of each component. This detailed analysis provides valuable insights into the chemical makeup of coffee cherry waste, informing its potential for valorization in various applications such as biofuels and other bioproducts [].
2.2. Hydrothermal Reactions
The experiments were performed in a 500 mL batch reactor (Figure 1) at 180 °C, with a biomass particle size of 1 mm and without agitation. The reaction was carried out for one hour, which started counting when the reactor temperature reached 180 °C.

Figure 1.
Batch hydrothermal reactors used for valorization of coffee cherry waste.
A series of homogeneous organic acid catalysts (OAC) was utilized to analyze the platform chemicals obtained and increase the efficiency of the reactions to examine the impact of the catalysts in the hydrothermal process and were as follows: anthranilic acid, 4-aminobenzoic acid, chloroacetic acid, phthalic acid, benzoic acid, phenylacetic acid, adipic acid, butyric acid, propanoic acid, and succinic acid. Solutions of 0.02 M were prepared for each OAC. In the reactor, 5 g of biomass and 95 g of the acid solutions (1:20 B/C ratio) were mixed. Finally, the obtained liquid and solid phases were filtered, separated, weighed, and then characterized.
2.3. Characterization of Phases Fractions Obtained
Vacuum filtration was used to separate the liquid and solid portions, and the mass balance was maintained through measurements. After recovering the solid fraction, it was cleaned with acetone, ethanol, and water before being dried at 105 °C until it reached a consistent weight. pH and conductivity were employed to monitor the occurring reactions. In addition, the platform compounds (PC) were quantified by HPLC-RI. Equation (1) was used to measure the yields.
2.4. Quantification Methods
The method implemented used a Hitachi Elite LaChrom (Tokyo, Japan), Hitachi L-2490 refraction index detector at 40 °C, SHODEX Sugar SH1821 column at 60 °C, a mobile phase of 0.005 M H2SO4, and a flow rate of 0.5 mL/min. HPLC-grade reagents of HMF, glucose, xylose, furfural, and levulinic acid were used to make the calibration curves and to identify the retention times.
2.5. Acid Selection
The pKa value is a measure of the acid strength of a compound, reflecting its ability to donate protons (H+) in a given solvent environment. For Brønsted acid catalysts, the pKa is a crucial parameter that influences their reactivity and effectiveness in organic reactions. Stronger acids with lower pKa values can more readily donate protons, providing a higher concentration of H+ ions to activate the substrate []. This increased proton availability can lead to faster reaction rates and higher catalytic activity. In contrast, weaker acids with higher pKa values may be less effective at providing the necessary protons but can still catalyze reactions under the right conditions []. The selection of the appropriate Brønsted acid catalyst and its pKa value depends on the specific reaction, the desired outcome, and the balance between reactivity and selectivity.
In order to analyze a different range of homogeneous acids and how they interact with the coffee waste to obtain platform chemicals, 10 organic acids were chosen with a pKa ranging from 2.87 to 5.60 (Figure 2). By selecting organic acids with a wide spectrum of acid strengths, researchers can investigate the influence of acid strength on the hydrothermal conversion of this agricultural waste.

Figure 2.
Selected organic acid catalysts for the study of their reactivity in hydrothermal processes.
This innovative approach contributes to the development of more sustainable and environmentally friendly methods for producing platform chemicals. The valorization of coffee cherry waste using hydrothermal processes with homogeneous acid catalysts reduces waste, minimizes the use of fossil resources, and aligns with the principles of the circular economy.
Chloroacetic acid (ClCH2COOH) is a versatile and widely used organochlorine compound that possesses a range of valuable properties and applications. With a pKa of 2.87, it is a significantly stronger acid than acetic acid, owing to the electron-withdrawing effect of the chlorine substituent. The unique structure of chloroacetic acid, featuring the chlorine atom positioned adjacent to the carboxylic acid group, also renders it a useful reagent for the hydrolysis and breakdown of lignocellulosic biomass []. The chlorine atom can help disrupt the recalcitrant structure of lignin and cellulose, facilitating the conversion of these complex polymers into simpler sugars that can then be fermented into biofuels or other valuable chemical products [].
On the other hand, phthalic acid is a Brønsted with the chemical formula C6H4(COOH)2. It has pKa values of 2.89 and 5.51, making it a weak dibasic acid. Despite its relatively weak acidity, phthalic acid can react vigorously with strong bases. Phthalic acid is produced commercially by the catalytic oxidation of naphthalene or ortho-xylene to phthalic anhydride, which is then hydrolyzed to form the acid []. The acid has a structure consisting of a benzene ring with two carboxyl groups attached at the 1,2 (ortho) positions. The acidic nature of phthalic acid allows it to catalyze the breakdown of the cellulose and hemicellulose components of plant cell walls, making the sugars within more accessible for fermentation or other processing [].
Benzoic acid (C6H5COOH) is an aromatic carboxylic acid with a pKa of 4.19. It has a crystalline, colorless solid structure consisting of a benzene ring with a carboxyl group attached []. Benzoic acid is used as a catalyst in various organic reactions, such as cycloolefin epoxidation, where it acts as an electrode-regenerated molecular catalyst []. It has also been used to catalyze an isomerization of allylic acids to obtain cyclic products []. Phenylacetic acid is an organic compound with a phenyl functional group and a carboxylic acid functional group. It has a pKa of 4.55, making it a relatively weak acid. The structure of phenylacetic acid consists of a phenyl ring attached to an acetic acid group. Interestingly, phenylacetic acid has been found to have auxin-like plant hormone activity, though its effects are weaker than the primary auxin indole-3-acetic acid []. Additionally, phenylacetic acid has been used to help treat urea cycle disorders by forming phenylacetylglutamine, which is then excreted from the body [].
Adipic acid is a dicarboxylic acid with the chemical formula C6H10O4. It has two pKa values of 4.41 and 5.41, indicating it is a weak acid that can undergo two successive deprotonations. Adipic acid is widely used as a chemical building block, with about 60% of the 2.5 billion kg produced annually being used as a monomer for the production of nylon-66 through polycondensation with hexamethylene diamine []. Interestingly, adipic acid has also been incorporated into controlled-release pharmaceutical formulations to modulate drug release profiles []. Butyric acid has a pKa value of 4.82. While not as strong as some of the other acids discussed, butyric acid can still effectively activate substrates through protonation, making them more susceptible to nucleophilic attack or other desired transformations. The active sites of butyric acid include the carboxylic acid group, which can participate in catalytic mechanisms such as proton transfer and hydrogen bonding []. Previous studies have explored the use of butyric acid as a catalyst in the production of esters, the synthesis of heterocyclic compounds, and the valorization of biomass [].
Anthranilic acid is a versatile compound with a unique structure and interesting properties. As a weak acid with a pKa of 4.20, it can form stable chelates with metal ions, which can be exploited in the pretreatment or hydrolysis of lignocellulosic biomass. Additionally, its catalytic activity in imine formation suggests potential applications as an enzyme mimic or co-factor in the enzymatic hydrolysis of lignocellulosic materials []. Furthermore, the aromatic structure of anthranilic acid and its derivatives may allow for their incorporation into lignin-derived compounds, potentially enhancing the value of these co-products in lignocellulosic biorefineries []. Propanoic acid, a short-chain saturated fatty acid with a pKa of 4.87, has potential applications in the valorization of lignocellulosic biomass. Its unique properties, such as solubility in water and organic solvents, as well as its use as a food additive and preservative, suggest that it could be employed in the pretreatment of lignocellulosic materials to enhance the accessibility of cellulose and hemicellulose for subsequent hydrolysis []. Additionally, the carboxylic acid group in propanoic acid may act as a catalyst or co-factor in enzymatic hydrolysis processes, potentially improving the efficiency of lignocellulosic biomass conversion [].
4-Aminobenzoic acid, also known as para-aminobenzoic acid (PABA), is an organic compound with the formula H2NC6H4CO2H. It is a white solid that is slightly soluble in water []. PABA has pKa values of 2.38 (acid group) and 4.85 (amino group), making it a moderately basic compound. The compound consists of a benzene ring substituted with amino and carboxyl functional groups. PABA is widely distributed in nature and is an intermediate in the synthesis of folate by bacteria, plants, and fungi []. PABA derivatives have also been explored for their potential antibacterial activity [], though their use in lignocellulosic hydrolysis and valorization has not been extensively reported.
Succinic acid is a dicarboxylic acid with the chemical formula (CH2)2(CO2H)2. It is a white, odorless solid with a highly acidic taste. In an aqueous solution, succinic acid readily ionizes to form its conjugate base, which is succinate. As a diprotic acid, succinic acid undergoes two successive deprotonation reactions with pKa values of 4.30 and 5.60. Succinic acid is used as a chemical intermediate in medicine, in the manufacture of lacquers, and in the production of perfume [].
3. Analysis and Results
Coffee cherry waste, a byproduct of coffee production, has garnered attention due to its potential as a valuable biomass resource. The composition of this waste material is particularly interesting, with a notable content of lignin (13.7%), hemicellulose (12.5%), and cellulose (27.6%) (Figure 3).

Figure 3.
Structural content of coffee cherry waste.
The presence of cellulose and hemicellulose in coffee cherry waste suggests that it could be a promising feedstock for producing biofuels and other value-added chemicals through biochemical conversion processes. However, the relatively high lignin content (13.7%) poses a significant challenge. Lignin is a complex and recalcitrant polymer that is resistant to enzymatic and microbial degradation, making it difficult to access the cellulose and hemicellulose for efficient conversion. The high lignin content can inhibit the effectiveness of pretreatment methods and reduce the overall yield of the desired products. Overcoming this lignin-related barrier is crucial for unlocking the full potential of coffee cherry waste as a sustainable and versatile biomass resource. Innovative pretreatment strategies and the development of catalytic systems capable of effectively breaking down the lignin structure could be key to enhancing the utilization of this underexplored waste material.
The composition of coffee cherry waste, which includes the husks, pulp, and silverskins, significantly influences various catalytic processes aimed at waste valorization. Each component has distinct chemical properties; for instance, husks are high in carbon and suitable for biochar production, while pulp contains sugars ideal for fermentation into biofuels. The moisture content and organic makeup of these materials vary, affecting their behavior in catalytic reactions. Studies have shown that adjusting parameters such as biomass-to-water ratios, particle sizes, and types of catalysts can optimize the yield of valuable platform chemicals like glucose and xylose during hydrothermal processes.
Additionally, the composition of coffee waste plays a crucial role in biogas production through anaerobic digestion. The lignocellulosic components in coffee pulp can be treated to enhance their digestibility, leading to higher methane yields. Techniques such as liquid hot water (LHW) and hydrothermal carbonization (HTC) further exploit the chemical diversity of coffee cherry waste by breaking down complex organic materials into simpler compounds that can be converted into biofuels or chemicals. Overall, understanding the effects of different compositions in coffee cherry waste is essential for optimizing the catalytic processes and promoting sustainable management of this biomass resource.
3.1. Preliminary Follow-Up
To understand the initial conditions of the hydrothermal reaction, the pH and conductivity of the different acids (0.02 M) were measured (Figure 4). The provided pH values for the 0.02 M solutions of different Brønsted acid catalysts reveal a wide range of acid strengths, with pH values ranging from 1.97 for phthalic acid (B) to 3.47 for 4-aminobenzoic acid (I). Phthalic acid (B) and chloroacetic acid (A) are the strongest acids in the group, with pH values below 2.50, suggesting they can readily donate protons and effectively activate substrates. In contrast, 4-aminobenzoic acid (I) has the highest pH value of 3.47, making it the weakest acid in the group. The moderately strong acids, such as anthranilic acid (G), benzoic acid (C), phenylacetic acid (D), adipic acid (E), butyric acid (F), propanoic acid (H), and succinic acid (J), have pH values between 2.50 and 3.50, indicating a balance between reactivity and selectivity.

Figure 4.
Initial pHs of organic acid catalysts used.
The range of pH values for these Brønsted acid catalysts provides researchers with a diverse set of options to explore and optimize the catalytic performance in various organic reactions and biomass conversion processes. The stronger acids, like phthalic acid (B) and chloroacetic acid (A), may be more effective in promoting the hydrolysis and depolymerization of lignocellulosic biomass, while the moderately strong acids could be useful in the synthesis of various organic compounds, including esters, amides, and heterocyclic compounds. The weaker acid, 4-aminobenzoic acid (I), may find applications in more selective transformations or in combination with other catalysts. By selecting the appropriate Brønsted acid catalyst based on the desired outcome and reaction conditions, researchers can fine-tune the catalytic performance and achieve optimal results.
The conductivity values provided for the 0.02 M solutions of the Brønsted acid catalysts vary significantly (Figure 5), ranging from 0.096 mS/cm for anthranilic acid (G) to 1.150 mS/cm for chloroacetic acid (A). Chloroacetic acid (A) and phthalic acid (B) have the highest conductivity values, indicating that they have the highest ionic mobility and can readily dissociate in solution, providing a high concentration of H+ ions for catalysis. Benzoic acid (F) and phenylacetic acid (D) have moderate conductivity values, suggesting they have a lower degree of dissociation compared to the stronger acids but can still provide a significant number of protons. Adipic acid (E), butyric acid (F), anthranilic acid (G), propanoic acid (H), 4-aminobenzoic acid (I), and succinic acid (J) have the lowest conductivity values, indicating that they have the lowest ionic mobility and may not dissociate as readily in solution.

Figure 5.
Initial conductivity of organic acid catalysts used.
The conductivity values provide an indirect measure of the potential reactivity of the acid catalysts and can guide researchers in selecting the most appropriate catalyst for specific applications. Chloroacetic acid (A) and phthalic acid (B), with their high ionic mobility and ability to provide a high concentration of protons, may be more effective in promoting fast reactions and activating substrates, particularly in reactions that require strong acid activation, such as the hydrolysis and depolymerization of lignocellulosic biomass. Benzoic acid (C) and phenylacetic acid (D) could offer a balance between reactivity and selectivity, potentially being suitable for a wider range of reactions, including the synthesis of various organic compounds. The less conductive acids, such as adipic acid (E), butyric acid (F), anthranilic acid (G), propanoic acid (H), 4-aminobenzoic acid (I), and succinic acid (J), could be useful in more selective transformations or in combination with other catalysts.
After analyzing the conductivity and initial pH of each solution, the values were remeasured after the hydrothermal process was performed. In Table 1, the initial and final conductivity are shown, allowing analysis of the progress of the reaction. The changes in the pH and the conductivity indicate that the extraction of the chemicals present in the biomass was successful. With the use of an acid catalyst, the changes between the initial and final pH are not significant. However, with chloroacetic acid (A) and phthalic acid (B), the change in pH is higher than the others because these are stronger acids. The differences in conductivity were slightly the same for all the acid catalysts.

Table 1.
Changes in pH and conductivity resulting from hydrothermal processes.
After analyzing the changes in pH and conductivity, the yields obtained for the platform chemicals studied were measured and graphed.
The influence of the AOC in the production of sugars (glucose, mannose, xylose, and arabinose) and inhibitory compounds (HMF, formic acid, levulinic acid, and furfural) proceeded after the pH and conductivity preliminary study. This production undergoes the processes presented in Figure 6.

Figure 6.
Production of platform chemicals, inhibitors, and sugars from coffee cherry waste.
3.2. Sugar Production
The hydrothermal processing of biomass can indeed be used to produce sugars, which are valuable platform chemicals. The mechanism of producing sugars from the cellulose and hemicellulose in biomass involves a multi-step process []. First, the hemicellulose is separated from the lignocellulosic biomass through an acid or alkali hydrolysis process, which releases pentose sugars like xylose. The concentrated acid has two main functions in the hydrolysis of biomass. Strong acids break cellulose and hemicellulose into sugars by promoting the hydrolysis of glycosidic bonds []. In Figure 7, the reaction that occurs is shown in a general way.

Figure 7.
Obtention of sugars from lignocellulosic biomass.
In Figure 8, the yield of sugar production using organic acid catalysts is observed. The hydrothermal reaction was made at 180 °C and 1 h. The results do not show a clear trend between the strength of the catalyst and the production of sugars in the hydrothermal process. The highest yield was 25.481%, which was obtained using benzoic acid (C) as the catalyst. The lowest yield was 16.793%, which was obtained using butyric acid as the catalyst. A blank experiment was conducted to see how the process would take place without the use of a catalyst, and a 6.252% yield of sugars was produced, showing that the AOC was useful in increasing the yield of the reaction.

Figure 8.
Yield of reducible sugars obtained from coffee cherry biomass at 180 °C, 1 h, 1:20 B/C ratio.
The production of sugars from the hydrolysis of coffee cherry biomass is crucial to the development of a sustainable production process. By efficiently converting these components into sugars, biomass can be used as a renewable resource to produce biofuels, biochemicals, and other value-added products. Optimization of the hydrolysis process through techniques such as pretreatment, analysis of process variables, or studies on new catalysts can significantly improve the yield and concentration of sugars, increasing the overall viability and competitiveness of biorefinery processes that take advantage of coffee waste streams. In this case, the results with this catalyst do not show an acid that favored sugar production. The use of benzoic acid (C) was revealed to yield a higher concentration of fermentable sugars compared to other organic acids tested. However, it would be interesting to compare the sugar yields obtained using benzoic acid to those achieved with inorganic acids, such as sulfuric acid or hydrochloric acid, which are more commonly used in biomass hydrolysis processes.
3.3. HMF Production
5-Hydroxymethylfurfural (HMF) is a versatile biomass-derived platform chemical with immense potential for the production of value-added chemicals and fuels. HMF can be obtained from the dehydration of carbohydrates, such as glucose and fructose, which are present in various biomass feedstocks []. As a key intermediate, HMF can be further converted into a wide range of useful compounds, including 2,5-dimethylfuran (DMF), levulinic acid, and 2,5-furandicarboxylic acid (FDCA), making it a highly attractive target for biomass valorization [].
The production of HMF from biomass has garnered significant research interest in recent years due to the growing demand for sustainable and renewable alternatives to fossil-based chemicals and fuels []. Numerous studies have explored different biomass sources, including edible crops, non-edible lignocellulosic materials, and food wastes, as feedstocks for HMF synthesis. Researchers have also investigated various catalytic systems, reaction conditions, and process configurations to improve the selectivity and yield of HMF production from these biomass resources []. The development of efficient and cost-effective HMF production processes is crucial for the successful commercialization of this versatile chemical platform and the transition toward a more sustainable bioeconomy [].
5-Hydroxymethylfurfural (HMF) can be obtained from lignocellulosic biomass through a series of catalytic transformations involving the dehydration of carbohydrates. The general mechanism can be summarized as follows:
The first step is the hydrolysis of the cellulose and hemicellulose fractions of the lignocellulosic biomass into their constituent monosaccharides, such as glucose and fructose []. This can be achieved using acid or enzymatic catalysts. The glucose monomers can then be isomerized into fructose, typically catalyzed by Lewis acids or enzymes []. The fructose molecules undergo an acid-catalyzed dehydration reaction to produce HMF. This step involves the removal of three water molecules from fructose, resulting in the formation of the furan-based HMF structure [].
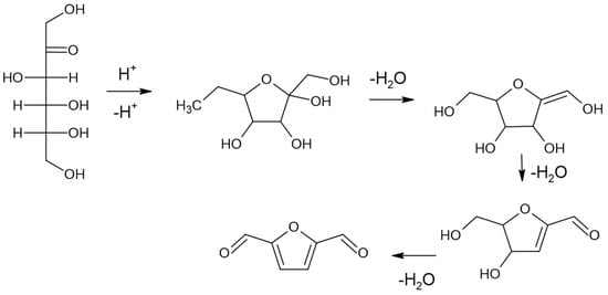
The mechanism of HMF formation from fructose can be described as follows in Figure 9:

Figure 9.
Mechanism of obtention of HMF from fructose.
The acid catalyst, which can be a Brønsted or Lewis acid, facilitates the dehydration process by protonating the hydroxyl groups of fructose, making them more labile and susceptible to elimination []. The search results provide further details on the specific catalysts and conditions that have been used to produce HMF from lignocellulosic biomass, such as the use of ionic liquids, metal chlorides, and microwave heating []. Overall, the mechanism of HMF production from lignocellulosic biomass involves the sequential hydrolysis of carbohydrates, isomerization of glucose to fructose, and the acid-catalyzed dehydration of fructose to yield the valuable platform chemical HMF.
The results obtained from the organic-acid-catalyzed reactions are presented in Figure 10.

Figure 10.
Yields of valorization of HMF obtained from coffee cherry waste via hydrothermal valorization at 180 °C for 1 h at a 1:20 B/C ratio.
The provided data present the yields of 5-hydroxymethylfurfural (HMF) obtained from the conversion of coffee cherry waste using various organic acid catalysts. Propanoic acid (H) produced the highest HMF yield at 1.933%, suggesting it is relatively effective in catalyzing the dehydration of carbohydrates present in the coffee cherry waste to form HMF. Chloroacetic acid (A), phthalic acid (B), benzoic acid (C), and phenylacetic acid (D) yielded HMFs in the range of 1.298% to 1.755%, indicating a moderate effectiveness in converting the coffee cherry biomass to HMF. Adipic acid (E) and succinic acid (J), which are dicarboxylic acid catalysts, produced HMF yields of 1.182% and 1.375%, respectively, which are lower than the yields obtained with propanoic acid but still reasonably effective. Butyric acid (F) and 4-aminobenzoic acid (I) resulted in the lowest HMF yields of 0.375% and 0.365%, respectively, suggesting they are less suitable for the conversion of coffee cherry waste to HMF under the given conditions. The blank experiment conducted to review the improvement by using OAC yielded 0% of HMF, showing that without the use of catalysts, the reaction does not produce that platform chemical.
The differences in HMF yields can be attributed to the specific catalytic properties and reaction mechanisms of the organic acids. Factors such as the strength of the acid, the presence of functional groups, and the ability to facilitate the dehydration of carbohydrates can all influence the efficiency of HMF production. Propanoic acid, with its relatively strong acidity and simple aliphatic structure, appears to be the most effective catalyst for the conversion of the carbohydrates in coffee cherry waste to HMF. In contrast, the lower yields obtained with catalysts like butyric acid and 4-aminobenzoic acid may be due to their weaker acidity or the presence of functional groups that hinder the dehydration process.
It is important to note that the specific reaction conditions, such as the temperature, reaction time, and solvent system, can also significantly impact the HMF yields. Further optimization of the process parameters and catalyst selection could potentially lead to higher HMF production from coffee cherry waste.
3.4. Furfural Production
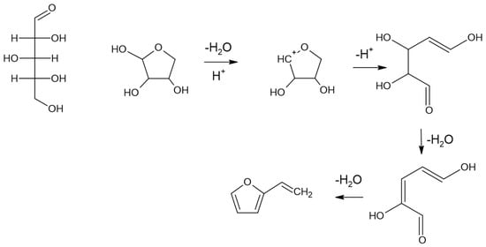
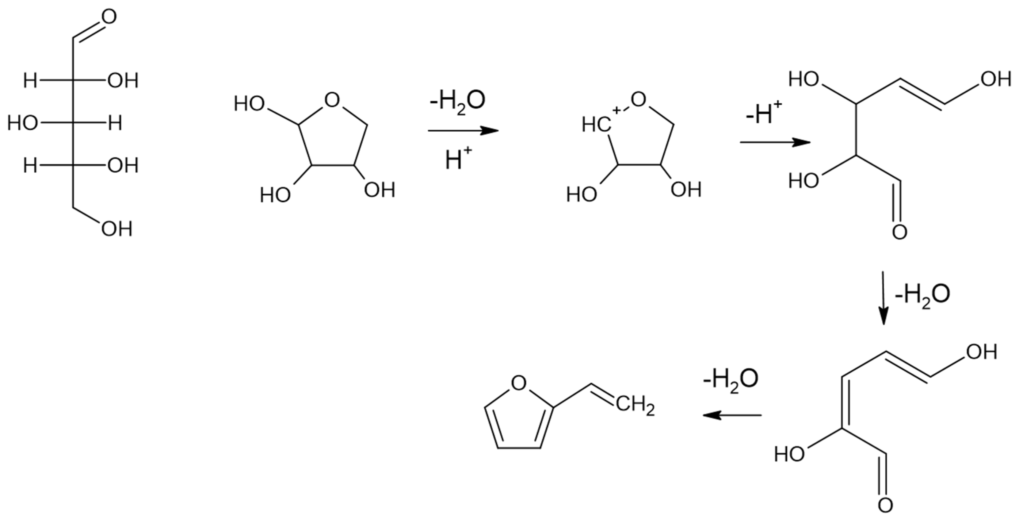
The hydrothermal conversion of biomass, especially the hemicellulose component, is an effective way to produce the platform’s chemical furfural. The mechanism involves the dehydration of C5 carbohydrates like xylose to form furfural. The specific reaction kinetics and pathways for furfural production from biomass can be complex, involving multiple steps and side reactions that can impact the overall yield and selectivity [].
The reaction mechanism involves the initial hydrolysis of hemicellulose to xylose, followed by the dehydration of xylose to form furfural. Figure 11 shows the mechanisms to produce furfural from D-Xylose. This dehydration process is typically catalyzed by Brønsted and Lewis acidic species, which can come from the biomass itself, added catalysts, or the solvent system.

Figure 11.
Mechanism of obtention of furfural from xylose.
The yields of furfural obtained in the hydrothermal process at 180 °C and 1 h is observed in Figure 12. The use of phenylacetic acid (D) as a catalyst results in the highest yield of production of furfural. The data show that phenylacetic acid (D) is the most effective catalyst among the ones tested, resulting in a significantly higher yield of furfural (11.463%) compared to the other acid catalysts (0–1.327%). The effectiveness of phenylacetic acid (D) as a catalyst for furfural production can be attributed to its unique properties and ability to promote the desired reactions. The presence of the phenyl ring in the structure of phenylacetic acid may contribute to its catalytic efficiency through π-stacking interactions or other stabilizing effects on reaction intermediates. Additionally, the moderate acidity of phenylacetic acid (pKa of 2.88) allows it to effectively activate the biomass components—particularly the hemicellulose fraction—while maintaining some selectivity towards furfural formation. This balance between acidity and selectivity is crucial for maximizing the yield of the desired product.

Figure 12.
Yields of furfural obtained from hydrothermal valorization of coffee cherry waste at 180 °C for 1 h.
In contrast, the other acid catalysts tested, such as chloroacetic acid (A), phthalic acid (B), benzoic acid (C), adipic acid (E), butyric acid (F), anthranilic acid (G), propanoic acid (H), 4-aminobenzoic acid (I), and succinic acid (J), are significantly less effective in promoting furfural production. Their lower yields can be attributed to factors such as excessive acidity leading to undesirable side reactions, steric hindrance from substituents, or insufficient activation of the biomass components. The use of propanoic acid (H) leads to no production of furfural.
In the blank reaction conducted without any catalyst, no furfural was obtained; this shows that the use of a catalyst is needed for the reaction to proceed and stay in the production of furfural.
3.5. Levulinic Acid Production
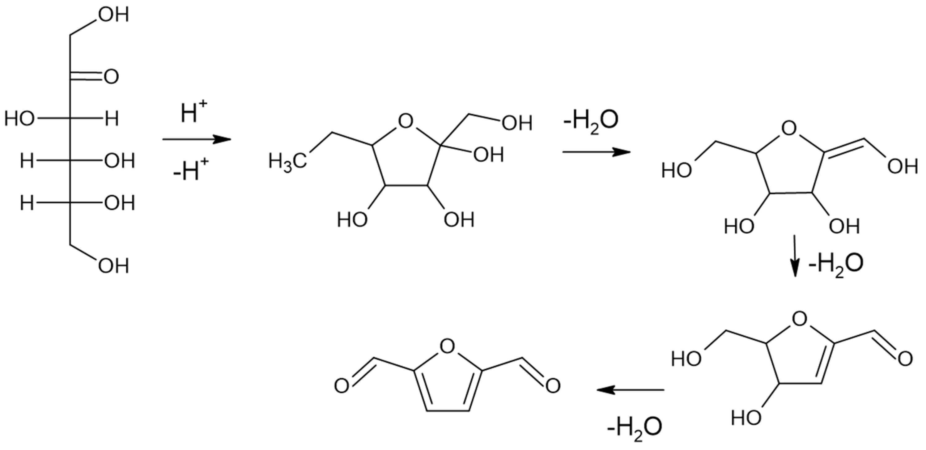
Levulinic acid is a versatile platform chemical with a wide range of potential applications. It can be used as a precursor to produce various chemicals, fuels, and materials, making it an important target for biomass conversion and biorefinery processes []. The production of levulinic acid from the cellulose and hemicellulose components of biomass is a promising approach to valorize waste and byproduct streams, contributing to the development of a more circular bioeconomy [].
Levulinic acid can be produced from the cellulose and hemicellulose components of biomass through a multi-step process (Figure 13). First, the cellulose is hydrolyzed into glucose using a Brønsted acid catalyst []. The glucose is then dehydrated to form 5-hydroxymethylfurfural (5-HMF), which is subsequently rehydrated to produce levulinic acid []. Meanwhile, the hemicellulose can be hydrolyzed into xylose using a Brønsted acid catalyst, and the xylose can then be dehydrated to form furfural []. The furfural can then be hydrogenated to produce furfuryl alcohol and ethyl levulinate, which can be further converted into levulinic acid. The lignin component of biomass remains largely intact during this process and is often recovered as a solid residue. Pretreatment of the biomass, such as dilute acid pretreatment, is commonly used to isolate the cellulose and hemicellulose prior to hydrolysis and conversion to levulinic acid [].

Figure 13.
Mechanism of obtention of levulinic acid from HMF [].
Figure 14 presents the results of the experiments performed at 180 °C and 1 h to produce levulinic acid using different sets of organic acid catalysts. The highest yield of levulinic acid was obtained using adipic acid as the catalyst. The same behavior was evidenced in the production of formic acid.

Figure 14.
Yields of levulinic acid obtained from hydrothermal valorization of coffee cherry waste at 180 °C for 1 h.
Based on the provided yields for the production of levulinic acid from coffee cherry waste using various Brønsted acid catalysts in hydrothermal processes, adipic acid (E) stands out as the most effective catalyst, with a yield of 11.291%. This significantly higher performance compared to the other acids can be attributed to the moderate acidity of adipic acid (pKa of 4.44), which allows it to effectively activate the biomass components while maintaining some selectivity. The presence of two carboxylic acid groups in adipic acid may also contribute to its catalytic efficiency by providing additional protons and potentially participating in other catalytic mechanisms.
Benzoic acid (C) and propanoic acid (H) also demonstrate good catalytic activity, with yields of 3.276% and 2.444%, respectively. These moderately strong acids are able to provide sufficient protons to catalyze the hydrolysis and dehydration reactions, leading to levulinic acid formation while still maintaining some selectivity. From here on, all the catalysts decrease the yield obtained from the blank experiment conducted with only water (1.743%), probably because it leads the reaction to progress in a different form and change its products, likely due to factors such as excessive/not enough acidity leading to different side reactions, steric hindrance from substituents, or insufficient activation of the biomass components. Butyric acid (F) is ineffective, with a yield of 0%, likely due to its relatively weak acidity (pKa of 4.82), which may not provide enough protons to drive the desired reactions.
This is evidence that the use of adipic acid has the potential to produce these two acids from the hydrothermal process. Adipic acid is used as a plasticizer, lubricant, and also in the production of polyurethanes but it is not commonly used as a catalyst. For this reason, it is important to analyze the viability of the use of adipic acid as a catalyst, thinking about safety, the separation of the products, and the economic profitability of the process.
3.6. Formic Acid Production
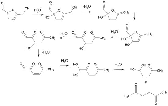
The formation of formic acid from HMF (5-hydroxymethylfurfural) and furfural involves a series of catalytic transformations and hydrolysis reactions. HMF can be converted to formic acid through an acid-catalyzed hydrolysis reaction (Figure 15) []. Under acidic conditions, HMF undergoes ring-opening and hydrolysis to form levulinic acid and formic acid []. The mechanism involves the initial hydration of the furan ring in HMF, followed by the cleavage of the C-C bond to produce levulinic acid and formic acid as the final products [].

Figure 15.
Mechanism of obtention of formic acid from HMF.
Furfural, another key intermediate derived from lignocellulosic biomass, can also be converted to formic acid []. Under acidic or oxidative conditions, the furfural molecule can undergo further reactions to yield formic acid. Furfural is first formed from the dehydration of pentose sugars (e.g., xylose) released during the hydrolysis of hemicellulose []. The furfural molecule can then undergo hydrolysis and oxidation reactions to cleave the C-C bonds, ultimately producing formic acid as a primary product (Figure 16) []. The exact mechanism involves the hydrolysis of furfural to form furan-2-carboxylic acid, which can then be further oxidized to yield formic acid.

Figure 16.
Mechanism of obtention of formic acid from furfural [].
The catalysts also play a crucial role in improving the selectivity and yield of formic acid while minimizing the formation of undesired byproducts. By carefully selecting and designing the catalysts, researchers have been able to develop efficient catalytic processes for the sustainable production of formic acid from renewable biomass resources.
Figure 17 presents the results obtained for the production of formic acid using the different sets of organic acid catalysts. Based on the provided yields of formic acid produced in hydrothermal processes (180 °C, 1 h) using various catalysts, the following hypothesis can be made:

Figure 17.
Yields of formic acid obtained from hydrothermal valorization of coffee cherry waste at 180 °C for 1 h.
The highest yield of formic acid at 19.663% was obtained using adipic acid (E) as the catalyst. This suggests that adipic acid is an effective catalyst for the hydrothermal conversion of biomass to formic acid, likely facilitating the cleavage of C-C bonds and the selective oxidation of biomass-derived intermediates. Benzoic acid (C) also exhibited good catalytic activity, producing a relatively high yield of 9.845% formic acid. The aromatic structure of benzoic acid may play a role in promoting the selective oxidation of biomass under hydrothermal conditions. Other catalysts like anthranilic acid (G), succinic acid (J), phenylacetic acid (D), and 4-aminobenzoic acid (I) produced moderate yields, ranging from 4.218% to 5.703%, indicating their potential for formic acid production but with lower efficiency compared to the top-performing catalysts. In contrast, chloroacetic acid (A), propanoic acid (H), and butyric acid (F) were less effective, yielding 0% to 4.694% formic acid, suggesting they are not as suitable for the hydrothermal conversion of biomass to formic acid under the given conditions.
The results presented in this analysis highlight the significant potential of using adipic acid as a catalyst to promote the production of formic acid from coffee cherry biomass in hydrothermal processes. The remarkable yield of 19.663% formic acid, obtained with adipic acid as the catalyst, is substantially higher than the yields achieved with other organic acids, such as benzoic acid (9.845%), anthranilic acid (5.703%), and succinic acid (5.214%).
The ability to selectively produce formic acid from renewable biomass sources like coffee cherry waste is of great importance for the development of sustainable biorefinery processes. Formic acid is a valuable platform chemical with diverse applications in the chemical, pharmaceutical, and fuel industries. Its production from lignocellulosic biomass can contribute to the valorization of waste streams and the circular economy, reducing the reliance on fossil-based resources.
The superior performance of adipic acid as a catalyst in this hydrothermal process highlights the significance of catalyst selection and optimization for the efficient conversion of biomass to high-value chemicals. Further research and development in this area can lead to the establishment of cost-effective and environmentally friendly processes for the large-scale production of formic acid from coffee cherry and other lignocellulosic feedstocks, ultimately contributing to the transition towards a more sustainable and circular bioeconomy.
4. Overall Yield
To review the selectivity and efficiency of the different catalysts, a total yield comparative was presented (Figure 18 and Table 2). Figure 17 shows how, in most of the acids used, the highest production obtained corresponds to sugars. This is due to the fact that the first step of the valorization reaction is the hydrolysis and production of sugars; this is the most significant amount produced. After that, formic acid is the second highest product. Furfural, levulinic, and HMF are produced the least and, under some conditions, are not even produced.

Figure 18.
Yields of platform chemicals obtained from hydrothermal valorization of coffee cherry waste at 180 °C for 1 h.

Table 2.
Total yields of platform chemicals obtained with each catalyst.
Efficiency and selectivity are crucial metrics in evaluating catalysts in hydrothermal processes to produce various yields. Efficiency refers to the total yield (the sum of the total platform chemicals obtained) of the products obtained, with higher yields indicating greater efficiency. Selectivity, on the other hand, refers to the preference of the process to produce specific compounds over others. When examining the efficiency of the catalysts, adipic acid (E) emerges as the most efficient, with a total yield of 53.667%. This indicates that it produces the highest overall yield of products among all the catalysts tested. In contrast, butyric acid (F) is the least efficient, with a total yield of only 17.395%, indicating lower overall productivity.
In terms of selectivity towards specific products, the data reveal interesting trends. For sugar production, chloroacetic acid (A) is the most selective, yielding 23.211%, while butyric acid (F) produces the least, with 16.793%. Regarding formic acid, adipic acid (E) is again the most selective, producing 19.663%, whereas propanoic acid (H) yields the lowest amount at 3.561%. For levulinic acid, adipic acid (E) stands out with the highest yield of 11.291%, while phthalic acid (B) has the lowest at 0.942%. Lastly, for HMF (hydroxymethylfurfural) production, propanoic acid (H) has the highest yield at 1.933%, and 4-aminobenzoic acid (I) has the lowest at 0.365%.
Adipic acid (E) not only shows the highest efficiency but is also highly selective towards producing formic and levulinic acids, making it a particularly effective catalyst for these hydrothermal processes. Conversely, butyric acid (F) is the least efficient and selective, producing only sugars and a minimal amount of HMF. Chloroacetic acid (A) and benzoic acid (C) are relatively efficient and selective towards sugars, while anthranilic acid (G), propanoic acid (H), and succinic acid (J) show balanced performance with moderate total yields and reasonable selectivity. Phthalic acid (B) and phenylacetic acid (D) have moderate total yields but are less selective towards specific high-yield products compared to others like adipic acid (E).
In conclusion, adipic acid (E) is the standout catalyst due to its high efficiency and selectivity towards producing significant yields of formic and levulinic acids. The selectivity of the catalysts varies, with each showing strengths in producing specific compounds, highlighting the importance of choosing the right catalyst depending on the desired product outcome in hydrothermal processes.
According to Table 2, adipic acid (E) produced the highest overall yield at 53.667% in the valorization of coffee cherry waste using various organic acid catalysts. This indicates that adipic acid is the most effective catalyst among the tested compounds for converting the components of coffee cherry waste, such as cellulose, hemicellulose, and lignin, into valuable platform chemicals.
Benzoic acid (C) and phenylacetic acid (D) also exhibited high yields, at 41.142% and 40.944%, respectively, suggesting they are efficient catalysts for the valorization of coffee cherry waste. The aromatic structure of benzoic acid and phenylacetic acid may contribute to their effectiveness in promoting the conversion of waste to platform chemicals.
The superior performance of adipic acid as a catalyst can be attributed to its ability to facilitate the hydrolysis and oxidation of the carbohydrate fractions in coffee cherry waste, leading to the formation of platform chemicals like formic acid, levulinic acid, and 5-hydroxymethylfurfural (HMF). The dicarboxylic nature of adipic acid may also contribute to its catalytic activity by promoting the cleavage of C-C bonds in the biomass components. In contrast, benzoic acid and phenylacetic acid, while still effective, may be less efficient in facilitating the specific reactions required for the production of the target platform chemicals from coffee cherry waste under the given conditions.
5. Conclusions
The choice of catalyst plays a crucial role in optimizing the yields and selectivity of platform chemicals obtained from the valorization of coffee cherry waste. The results presented in this study highlight the significant impact that the catalyst can have on the overall process efficiency and the production of specific target compounds.
The findings of this study underscore the critical role of catalyst selection in optimizing the valorization of coffee cherry waste, with significant implications for both process efficiency and product yield. The superior performance of adipic acid, which achieved a total yield of 53.667% and demonstrated notable selectivity for valuable compounds such as formic acid and levulinic acid, points to its potential application in the development of sustainable biorefineries. These platform chemicals can serve as building blocks for various industrial applications, including the production of biofuels, biodegradable plastics, and other high-value chemicals.
Conversely, the underperformance of butyric acid highlights the necessity for further exploration of alternative catalysts that may enhance the yield and minimize undesirable byproducts. This aspect opens avenues for future research into optimizing reaction conditions and exploring synergistic effects with other catalysts or additives. Additionally, the insights gained from this study can inform strategies for integrating coffee cherry waste valorization into existing coffee production systems, thereby contributing to waste reduction and promoting circular economy practices within the agricultural sector. Overall, these results not only advance our understanding of catalyst efficacy in biomass conversion but also pave the way for innovative applications that align with sustainability goals.
Author Contributions
Conceptualization, A.S.L.P.; methodology, A.S.L.P. and V.R.M.; validation, A.S.L.P. and V.R.M.; formal analysis, A.S.L.P. and V.R.M.; investigation, A.S.L.P. and V.R.M.; resources, C.A.G.F.; data curation, A.S.L.P. and V.R.M.; writing—original draft preparation, A.S.L.P. and V.R.M.; writing—review and editing, A.S.L.P. and C.A.G.F.; visualization, A.S.L.P.; supervision, C.A.G.F.; project administration, C.A.G.F.; funding acquisition, A.S.L.P. and C.A.G.F. All authors have read and agreed to the published version of the manuscript.
Funding
This research was funded by COLCIENCIAS with the financial funds approved for the project titled “Implementation of a hydrothermal biorefinery to produce chemical products with high added value, using residual biomass from agro-industrial processes, in an intersectoral alliance (academy-industry)” Call 914. Contract 101- 2022, code 1101-914-91642.
Data Availability Statement
All data presented are given in this manuscript.
Acknowledgments
The authors thank Facultad de Ciencias, Departamento de Química, Universidad Nacional de Colombia sede Bogotá, Carrera 30 No. 45-03, Bogotá, Colombia.
Conflicts of Interest
The authors declare no conflicts of interest.
References
- Singh, R.; Das, R.; Sangwan, S.; Rohatgi, B.; Khanam, R.; Peera, S.K.P.G.; Das, S.; Lyngdoh, Y.A.; Langyan, S.; Shukla, A.; et al. Utilisation of agro-industrial waste for sustainable green production: A review. Environ. Sustain. 2021, 4, 619–636. [Google Scholar] [CrossRef]
- Sundarraj, A.; Ranganathan, T. A review on cellulose and its utilization fromagro-industrial waste. Drug Invent. Today 2018, 10, 89–94. [Google Scholar]
- Freitas, L.C.; Barbosa, J.R.; da Costa, A.L.C.; Bezerra, F.W.F.; Pinto, R.H.H.; de Carvalho Junior, R.N. From waste to sustainable industry: How can agro-industrial wastes help in the development of new products? Resour. Conserv. Recycl. 2021, 169, 105466. [Google Scholar] [CrossRef]
- Jamil, F.; Inayat, A.; Hussain, M.; Akhter, P.; Abideen, Z.; Ghenai, C.; Shanableh, A.; Abdellatief, T.M. Valorization of Waste Biomass to Biofuels for Power Production and Transportation in Optimized Way: A Comprehensive Review. Adv. Energy Sustain.Res. 2024, 5, 2400104. [Google Scholar] [CrossRef]
- Nargotra, P.; Sharma, V.; Tsai, M.-L.; Hsieh, S.-L.; Dong, C.-D.; Wang, H.-M.D.; Kuo, C.-H. Recent Advancements in the Valorization of Agro-Industrial Food Waste for the Production of Nanocellulose. Appl. Sci. 2023, 13, 6159. [Google Scholar] [CrossRef]
- Wang, K.; Tester, J.W. Sustainable management of unavoidable biomass wastes. Green Energy Resour. 2023, 1, 100005. [Google Scholar] [CrossRef]
- Sadh, P.K.; Chawla, P.; Kumar, S.; Das, A.; Kumar, R.; Bains, A.; Sridhar, K.; Duhan, J.S.; Sharma, M. Recovery of agricultural waste biomass: A path for circular bioeconomy. Sci. Total Environ. 2023, 870, 161904. [Google Scholar] [CrossRef]
- Simancas, R.; Chokkalingam, A.; Elangovan, S.P.; Liu, Z.; Sano, T.; Iyoki, K.; Wakihara, T.; Okubo, T. Recent progress in the improvement of hydrothermal stability of zeolites. Chem. Sci. 2021, 12, 7677–7695. [Google Scholar] [CrossRef]
- Roduner, E. Understanding catalysis. Chem. Soc. Rev. 2014, 43, 8226–8239. [Google Scholar] [CrossRef]
- Zhang, J.; Zhang, L.; Li, H.; Tian, X.; Huang, R.; Lu, J. Catalyzed hydrothermal treatment of oily sludge: A review. Clean Energy Sci. Technol. 2024, 2, 107. [Google Scholar] [CrossRef]
- Shah, A.A.; Sharma, K.; Haider, M.S.; Toor, S.S.; Rosendahl, L.A.; Pedersen, T.H.; Castello, D. The Role of Catalysts in Biomass Hydrothermal Liquefaction and Biocrude Upgrading. Processes 2022, 10, 207. [Google Scholar] [CrossRef]
- Zhang, J.; Bao, J. Lignocellulose Pretreatment Using Acid as Catalyst. In Handbook of Biorefinery Research and Technology; Springer: Dordrecht, The Netherlands, 2018; pp. 1–14. [Google Scholar] [CrossRef]
- Guo, X.Y.; Wang, L.X.; Li, S.G.; Zhou, B.; Hao, J.Y. Preparation of Acetic Acid by Hydrothermal Catalytic Oxidation Degradation of Cellulose Simulants. Adv. Mat. Res. 2013, 726–731, 539–542. [Google Scholar] [CrossRef]
- Fang, Y.; Zeng, X.; Yan, P.; Jing, Z.; Jin, F. An Acidic Two-Step Hydrothermal Process To Enhance Acetic Acid Production from Carbohydrate Biomass. Ind. Eng. Chem. Res. 2012, 51, 4759–4763. [Google Scholar] [CrossRef]
- Van Soest, P.J.; Robertson, J.B.; Lewis, B.A. Methods for Dietary Fiber, Neutral Detergent Fiber, and Nonstarch Polysaccharides in Relation to Animal Nutrition. J. Dairy Sci. 1991, 74, 3583–3597. [Google Scholar] [CrossRef]
- Busch, M.; Ahlberg, E.; Ahlberg, E.; Laasonen, K. How to Predict the p Ka of Any Compound in Any Solvent. ACS Omega 2022, 7, 17369–17383. [Google Scholar] [CrossRef]
- Bullock, R.M.; Appel, A.M.; Helm, M.L. Production of hydrogen by electrocatalysis: Making the H–H bond by combining protons and hydrides. Chem. Commun. 2014, 50, 3125–3143. [Google Scholar] [CrossRef]
- Kukreti, N.; Kag, S.; Kumar, P.; Kataria, R. Potential of waste stream in conversion into sustainable metabolites: An overview and update. Bioresour. Technol. Rep. 2023, 22, 101502. [Google Scholar] [CrossRef]
- Tnah, S.K.; Wu, T.Y.; Ting, D.C.C.; Chow, H.K.; Shak, K.P.Y.; Subramonian, W.; Procentese, A.; Cheng, C.K.; Teoh, W.H.; Jahim, J.M. Effect of chlorine atoms in choline chloride-monocarboxylic acid for the pretreatment of oil palm fronds and enzymatic hydrolysis. Renew. Energy 2022, 182, 285–295. [Google Scholar] [CrossRef]
- Moulijn, J.A.; Kreutzer, M.T.; Nijhuis, T.A.; Kapteijn, F. Monolithic Catalysts and Reactors. Adv. Catal. 2011, 54, 249–327. [Google Scholar] [CrossRef]
- Taherzadeh, M.; Karimi, K. Acid-based hydrolysis processes for ethanol from lignocellulosic materials: A review. Bioresources 2007, 2, 472–499. [Google Scholar] [CrossRef]
- Mojiri, H.; Aliofkhazraei, M. 3.19 Effect of Surface Roughness on Wetting Properties. In Comprehensive Materials Finishing; Elsevier: Amsterdam, The Netherlands, 2017; pp. 276–305. [Google Scholar] [CrossRef]
- Luo, X.; Wu, B.; Li, J.; Wang, Y.; Tang, X.; Li, C.; Shao, M.; Wei, Z. Benzoic Acid: Electrode-Regenerated Molecular Catalyst to Boost Cycloolefin Epoxidation. J. Am. Chem. Soc. 2023, 145, 20665–20671. [Google Scholar] [CrossRef] [PubMed]
- McCubbin, J.A.; Voth, S.; Krokhin, O.V. Mild and Tunable Benzoic Acid Catalysts for Rearrangement Reactions of Allylic Alcohols. J. Org. Chem. 2011, 76, 8537–8542. [Google Scholar] [CrossRef] [PubMed]
- Sugawara, S.; Mashiguchi, K.; Tanaka, K.; Hishiyama, S.; Sakai, T.; Hanada, K.; Kinoshita-Tsujimura, K.; Yu, H.; Dai, X.; Takebayashi, Y.; et al. Distinct Characteristics of Indole-3-Acetic Acid and Phenylacetic Acid, Two Common Auxins in Plants. Plant Cell Physiol. 2015, 56, 1641–1654. [Google Scholar] [CrossRef] [PubMed]
- Wang, X.; Tseng, J.; Mak, C.; Poola, N.; Vilchez, R.A. Exposures of Phenylacetic Acid and Phenylacetylglutamine Across Different Subpopulations and Correlation with Adverse Events. Clin. Pharmacokinet. 2021, 60, 1557–1567. [Google Scholar] [CrossRef]
- National Institute of Chemistry. Sustainable Process for Producing Bio-Based Adipic Acid. Available online: https://www.ki.si/en/for-industry/licensing-opportunities/environment-and-green-technologies/bio-based-adipic-acid/ (accessed on 2 July 2024).
- Kamaly, N.; Yameen, B.; Wu, J.; Farokhzad, O.C. Degradable Controlled-Release Polymers and Polymeric Nanoparticles: Mechanisms of Controlling Drug Release. Chem. Rev. 2016, 116, 2602–2663. [Google Scholar] [CrossRef]
- Marták, J.; Schlosser, Š. New Mechanism and Model of Butyric Acid Extraction by Phosphonium Ionic Liquid. J. Chem. Eng. Data 2016, 61, 2979–2996. [Google Scholar] [CrossRef]
- Jiang, L.; Fu, H.; Yang, H.K.; Xu, W.; Wang, J.; Yang, S.-T. Butyric acid: Applications and recent advances in its bioproduction. Biotechnol. Adv. 2018, 36, 2101–2117. [Google Scholar] [CrossRef]
- Crisalli, P.; Kool, E.T. Water-Soluble Organocatalysts for Hydrazone and Oxime Formation. J. Org. Chem. 2013, 78, 1184–1189. [Google Scholar] [CrossRef]
- Pollegioni, L.; Tonin, F.; Rosini, E. Lignin-degrading enzymes. FEBS J. 2015, 282, 1190–1213. [Google Scholar] [CrossRef]
- Goldberg, I.; Rokem, J.S. Organic and Fatty Acid Production, Microbial. In Encyclopedia of Microbiology; Elsevier: Amsterdam, The Netherlands, 2009; pp. 421–442. [Google Scholar] [CrossRef]
- Andrews, K.G.; Piskorz, T.K.; Horton, P.N.; Coles, S.J. Enzyme-like Acyl Transfer Catalysis in a Bifunctional Organic Cage. J. Am. Chem. Soc. 2024, 146, 17887–17897. [Google Scholar] [CrossRef]
- Sullivan, R.A.; Davey, R.J.; Sadiq, G.; Dent, G.; Back, K.R.; ter Horst, J.H.; Toroz, D.; Hammond, R.B. Revealing the Roles of Desolvation and Molecular Self-Assembly in Crystal Nucleation from Solution: Benzoic and p-Aminobenzoic Acids. Cryst. Growth Des. 2014, 14, 2689–2696. [Google Scholar] [CrossRef]
- Basset, G.J.C.; Quinlivan, E.P.; Ravanel, S.; Rébeillé, F.; Nichols, B.P.; Shinozaki, K.; Seki, M.; Adams-Phillips, L.C.; Giovannoni, J.J.; Gregory, J.F.; et al. Folate synthesis in plants: The p-aminobenzoate branch is initiated by a bifunctional PabA-PabB protein that is targeted to plastids. Proc. Natl. Acad. Sci. USA 2004, 101, 1496–1501. [Google Scholar] [CrossRef] [PubMed]
- Sapijanskaitė-Banevič, B.; Palskys, V.; Vaickelionienė, R.; Šiugždaitė, J.; Kavaliauskas, P.; Grybaitė, B.; Mickevičius, V. Synthesis and Antibacterial Activity of New Azole, Diazole and Triazole Derivatives Based on p-Aminobenzoic Acid. Molecules 2021, 26, 2597. [Google Scholar] [CrossRef]
- Pal, S.L.; Raghuwanshi, S.S.; Athankar, K.K.; Rathore, A.K. Evaluation of Distribution of Succinic Acid between Binary Phase System with Biodiesel + N, N-Dioctyloctan-1-amine. Int. J. Chem. Eng. 2019, 2019, 9346038. [Google Scholar] [CrossRef]
- Lali, A.; Nagwekar, P.; Varavadekar, J.; Wadekar, P. Method for Production of Fermentable Sugars from Biomass. U.S. Patent US8338139B2, 25 December 2012. [Google Scholar]
- Binder, J.B.; Raines, R.T. Fermentable sugars by chemical hydrolysis of biomass. Proc. Natl. Acad. Sci. USA 2010, 107, 4516–4521. [Google Scholar] [CrossRef]
- Liang, J.; Jiang, J.; Cai, T.; Liu, C.; Ye, J.; Zeng, X.; Wang, K. Advances in selective conversion of carbohydrates into 5-hydroxymethylfurfural. Green Energy Environ. 2023, 9, 1384–1406. [Google Scholar] [CrossRef]
- Shen, G.; Andrioletti, B.; Queneau, Y. Furfural and 5-(hydroxymethyl)furfural: Two pivotal intermediates for bio-based chemistry. Curr. Opin. Green Sustain. Chem. 2020, 26, 100384. [Google Scholar] [CrossRef]
- Mukherjee, A.; Dumont, M.-J.; Raghavan, V. Review: Sustainable production of hydroxymethylfurfural and levulinic acid: Challenges and opportunities. Biomass Bioenergy 2015, 72, 143–183. [Google Scholar] [CrossRef]
- Mujtaba, M.; Fraceto, L.F.; Fazeli, M.; Mukherjee, S.; Savassa, S.M.; de Medeiros, G.A.; Pereira, A.D.E.S.; Mancini, S.D.; Lipponen, J.; Vilaplana, F. Lignocellulosic biomass from agricultural waste to the circular economy: A review with focus on biofuels, biocomposites and bioplastics. J. Clean. Prod. 2023, 402, 136815. [Google Scholar] [CrossRef]
- Wyman, C.; Decker, S.; Himmel, M.; Brady, J.; Skopec, C.; Viikari, L. Hydrolysis of Cellulose and Hemicellulose. In Polysaccharides; CRC Press: Boca Raton, FL, USA, 2004. [Google Scholar] [CrossRef]
- Liu, C.; Carraher, J.M.; Swedberg, J.L.; Herndon, C.R.; Fleitman, C.N.; Tessonnier, J.-P. Selective Base-Catalyzed Isomerization of Glucose to Fructose. ACS Catal. 2014, 4, 4295–4298. [Google Scholar] [CrossRef]
- Sajid, M.; Bai, Y.; Liu, D.; Zhao, X. Organic acid catalyzed production of platform chemical 5-hydroxymethylfurfural from fructose: Process comparison and evaluation based on kinetic modeling. Arab. J. Chem. 2020, 13, 7430–7444. [Google Scholar] [CrossRef]
- Wang, Z.; Wang, L.; Jiang, Y.; Hunger, M.; Huang, J. Cooperativity of Brønsted and Lewis Acid Sites on Zeolite for Glycerol Dehydration. ACS Catal. 2014, 4, 1144–1147. [Google Scholar] [CrossRef]
- Marullo, S.; D’Anna, F. The Role Played by Ionic Liquids in Carbohydrates Conversion into 5-Hydroxymethylfurfural: A Recent Overview. Molecules 2022, 27, 2210. [Google Scholar] [CrossRef]
- Köchermann, J.; Klemm, M. Hydrothermal Reactive Distillation of Biomass and Biomass Hydrolysates for the Recovery and Separation of Furfural and Its Byproducts. Ind. Eng. Chem. Res. 2023, 62, 6886–6896. [Google Scholar] [CrossRef]
- Bozell, J.J.; Moens, L.; Elliott, D.; Wang, Y.; Neuenscwander, G.; Fitzpatrick, S.; Bilski, R.; Jarnefeld, J. Production of levulinic acid and use as a platform chemical for derived products. Resour. Conserv. Recycl. 2000, 28, 227–239. [Google Scholar] [CrossRef]
- Hayes, G.C.; Becer, C.R. Levulinic acid: A sustainable platform chemical for novel polymer architectures. Polym. Chem. 2020, 11, 4068–4077. [Google Scholar] [CrossRef]
- Liu, C.; Lu, X.; Yu, Z.; Xiong, J.; Bai, H.; Zhang, R. Production of Levulinic Acid from Cellulose and Cellulosic Biomass in Different Catalytic Systems. Catalysts 2020, 10, 1006. [Google Scholar] [CrossRef]
- Kochepkaa, D.M.; Dill, L.P.; Fockink, D.H.; Łukasik, R.M. Contribution to the production and use of biomass-derived solvents—A review. Acta Innov. 2020, 35, 29–56. [Google Scholar] [CrossRef]
- Seretis, A.; Diamantopoulou, P.; Thanou, I.; Tzevelekidis, P.; Fakas, C.; Lilas, P.; Papadogianakis, G. Recent Advances in Ruthenium-Catalyzed Hydrogenation Reactions of Renewable Biomass-Derived Levulinic Acid in Aqueous Media. Front Chem 2020, 8, 221. [Google Scholar] [CrossRef]
- Signoretto, M.; Taghavi, S.; Ghedini, E.; Menegazzo, F. Catalytic Production of Levulinic Acid (LA) from Actual Biomass. Molecules 2019, 24, 2760. [Google Scholar] [CrossRef]
- Istasse, T.; Richel, A. Mechanistic aspects of saccharide dehydration to furan derivatives for reaction media design. RSC Adv. 2020, 10, 23720–23742. [Google Scholar] [CrossRef] [PubMed]
- Yüksel Özşen, A. Conversion of Biomass to Organic Acids by Liquefaction Reactions under Subcritical Conditions. Front. Chem. 2020, 8, 24. [Google Scholar] [CrossRef] [PubMed]
- Wang, S.; Cheng, A.; Liu, F.; Zhang, J.; Xia, T.; Zeng, X.; Fan, W.; Zhang, Y. Catalytic conversion network for lignocellulosic biomass valorization: A panoramic view. Ind. Chem. Mater. 2023, 1, 188–206. [Google Scholar] [CrossRef]
- Kumar, A.; Gautam, A.; Dutt, D. Biotechnological Transformation of Lignocellulosic Biomass in to Industrial Products: An Overview. Adv. Biosci. Biotechnol. 2016, 7, 149–168. [Google Scholar] [CrossRef]
- Lamminpää, K.; Ahola, J.; Tanskanen, J. Kinetics of furfural destruction in a formic acid medium. RSC Adv. 2014, 4, 60243–60248. [Google Scholar] [CrossRef]
- Chandraratne, M.R.; Daful, A.G. Hydrothermal Conversion of Lignocellulosic Biomass to Hydrochar: Production, Characterization, and Applications. In From Biomass to Biobased Products; IntechOpen: London, UK, 2024. [Google Scholar] [CrossRef]
- Wojcieszak, R.; Santarelli, F.; Paul, S.; Dumeignil, F.; Cavani, F.; Gonçalves, R.V. Recent developments in maleic acid synthesis from bio-based chemicals. Sustain. Chem. Process. 2015, 3, 9. [Google Scholar] [CrossRef]
Disclaimer/Publisher’s Note: The statements, opinions and data contained in all publications are solely those of the individual author(s) and contributor(s) and not of MDPI and/or the editor(s). MDPI and/or the editor(s) disclaim responsibility for any injury to people or property resulting from any ideas, methods, instructions or products referred to in the content. |
© 2025 by the authors. Licensee MDPI, Basel, Switzerland. This article is an open access article distributed under the terms and conditions of the Creative Commons Attribution (CC BY) license (https://creativecommons.org/licenses/by/4.0/).