Stomata as the Main Pathway for the Penetration of Atmospheric Particulate Matter Pb into Wheat Leaves
Abstract
1. Introduction
2. Materials and Methods
2.1. Study Area
2.2. Experimental Reagents
2.3. Experimental Design
2.4. Sample Analysis
2.4.1. Determination of Pb Concentration
2.4.2. Subcellular Distribution of Pb (Differential Centrifugation Method)
2.4.3. Extraction of Pb Chemical States
2.4.4. SEM-EDS Observation
2.5. Data Analysis
2.5.1. Calculation of Grain Filling Rate and Pb Accumulation Rate in Grains
2.5.2. Statistical Analysis
3. Results and Discussion
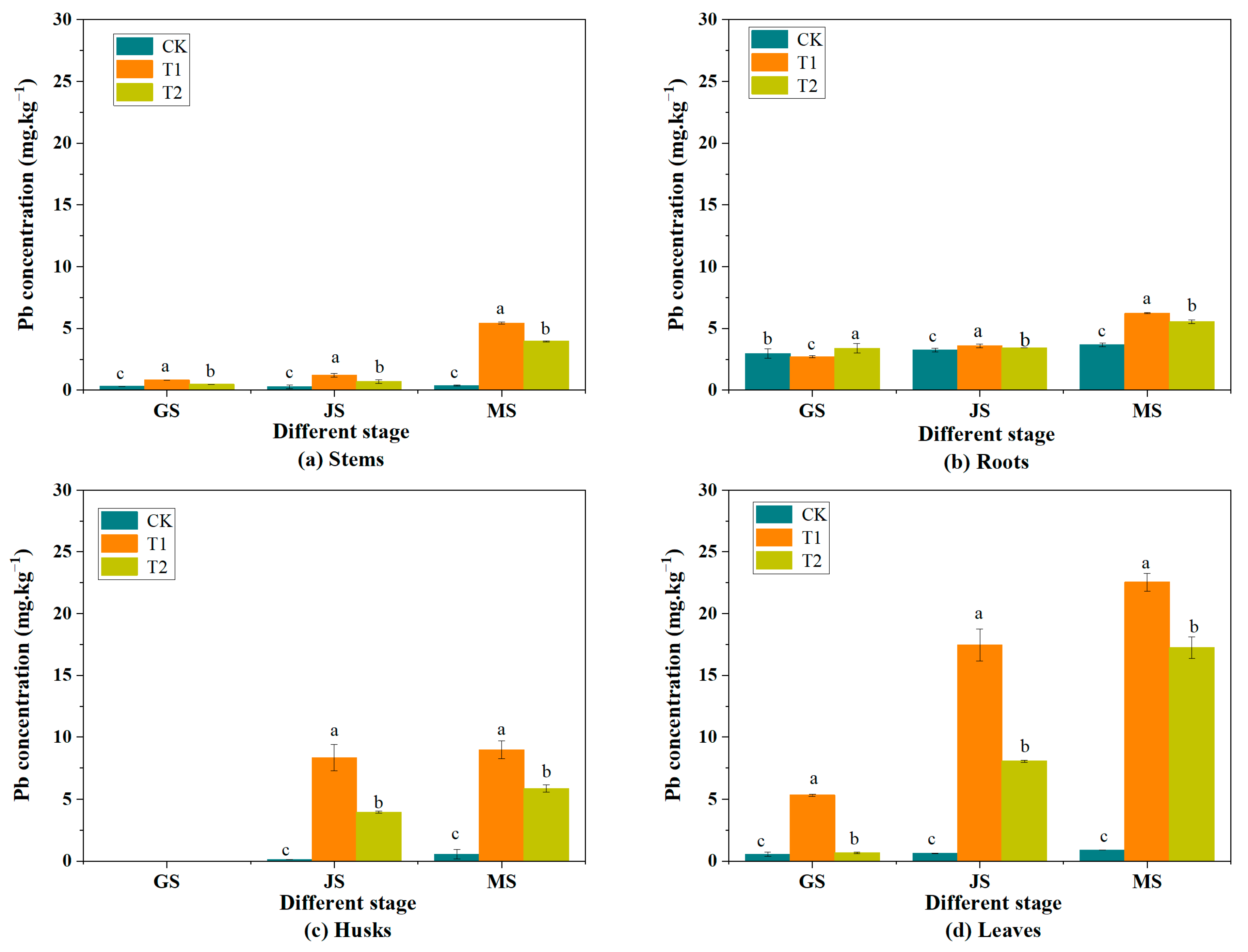
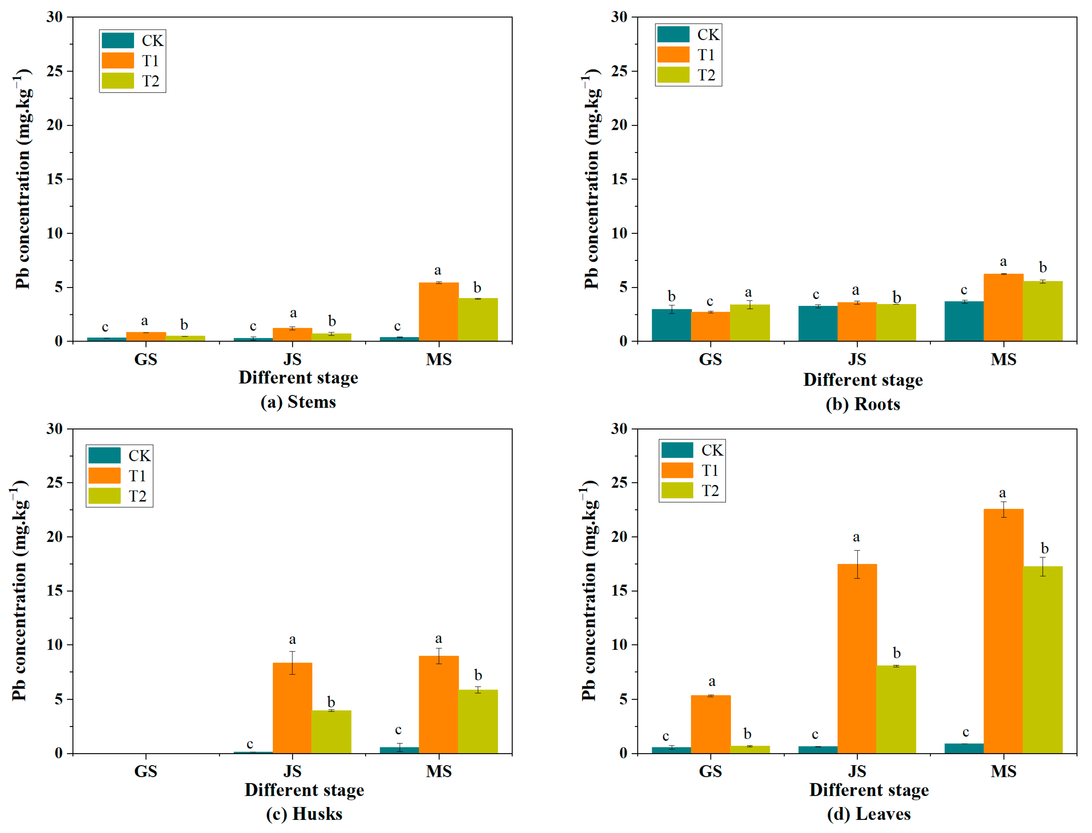
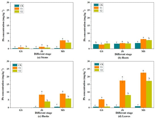
3.1. Effects of Pb Stress on Pb Concentration in Wheat Organs
3.2. SEM-EDS Analysis
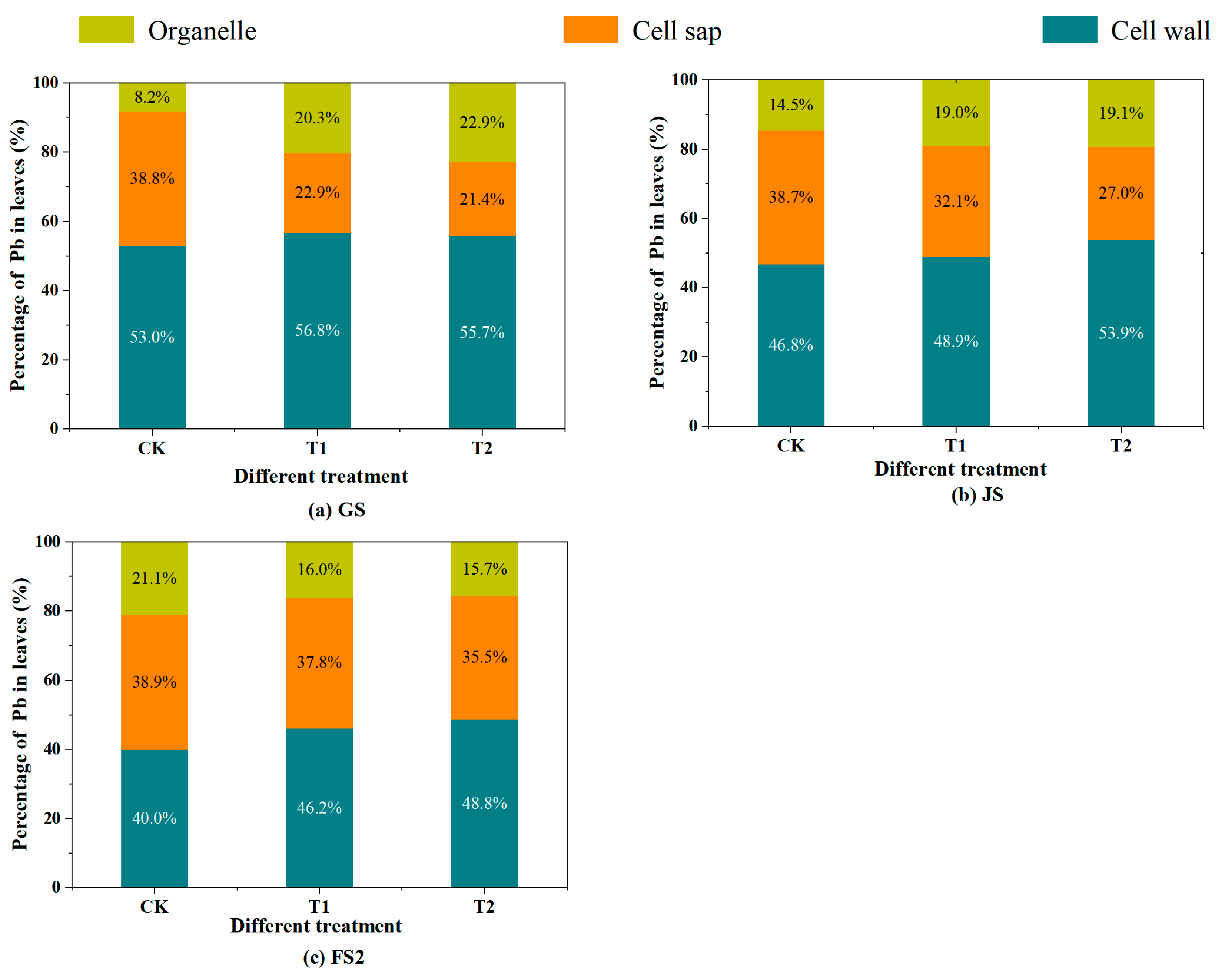
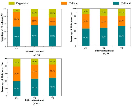
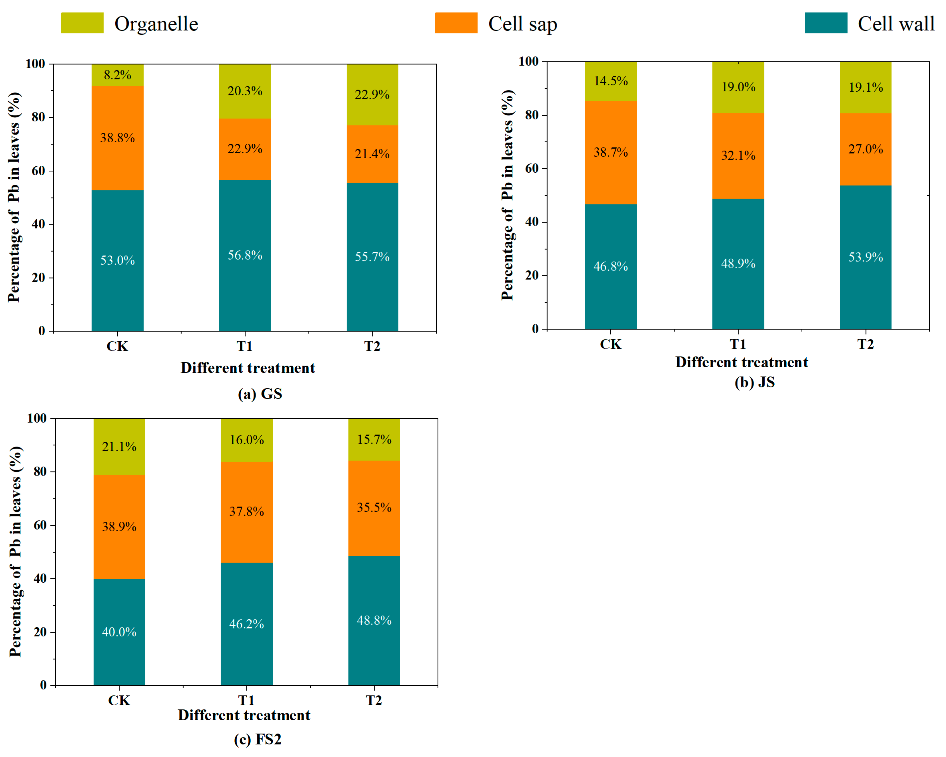
3.3. Effects of Different Treatments on Subcellular Pb Distribution in Leaves
3.4. Chemical Extraction State of Pb in Wheat Leaves
3.5. Characteristics of Pb Accumulation in Wheat Grains at the Filling Stage
4. Conclusions
Supplementary Materials
Author Contributions
Funding
Institutional Review Board Statement
Informed Consent Statement
Data Availability Statement
Acknowledgments
Conflicts of Interest
References
- Shewry, P.R.; Hey, S.J. The contribution of wheat to human diet and health. Food Energy Secur. 2015, 4, 178–202. [Google Scholar] [CrossRef] [PubMed]
- Dadrasi, A.; Chaichi, M.; Nehbandani, A.; Sheikhi, A.; Salmani, F.; Nemati, A. Addressing food insecurity: An exploration of wheat production expansion. PLoS ONE 2023, 18, e0290684. [Google Scholar] [CrossRef]
- Ma, C.; Yu, Y.; Liu, F.; Lin, L.; Zhang, K.; Liu, N.; Zhang, H. Influence mechanism of awns on wheat grain Pb absorption: Awns’ significant contribution to grain Pb was mainly originated from their direct absorption of atmospheric Pb at the late grain-filling stage. Ecotoxicol. Environ. Saf. 2023, 257, 114957. [Google Scholar] [CrossRef]
- Khan, S.; Naushad, M.; Lima, E.C.; Zhang, S.; Shaheen, S.M.; Rinklebe, J. Global soil pollution by toxic elements: Current status and future perspectives on the risk assessment and remediation strategies—A review. J. Hazard. Mater. 2021, 417, 126039. [Google Scholar] [CrossRef]
- Arias, J.A.; Peralta-Videa, J.R.; Ellzey, J.T.; Ren, M.; Viveros, M.N.; Gardea-Torresdey, J.L. Effects of Glomus deserticola inoculation on Prosopis: Enhancing chromium and lead uptake and translocation as confirmed by X-ray mapping, ICP-OES and TEM techniques. Environ. Exp. Bot. 2010, 68, 139–148. [Google Scholar] [CrossRef]
- Liu, H.L.; Zhou, J.; Li, M.; Obrist, D.; Wang, X.Z.; Zhou, J. Chemical speciation of trace metals in atmospheric deposition and impacts on soil geochemistry and vegetable bioaccumulation near a large copper smelter in China. J. Hazard. Mater. 2021, 413, 125346. [Google Scholar] [CrossRef] [PubMed]
- Schreck, E.; Viers, J.; Blondet, I.; Auda, Y.; Macouin, M.; Zouiten, C.; Darrozes, J. Tillandsia usneoides as biomonitors of trace elements contents in the atmosphere of the mining district of Cartagena-La Unión (Spain): New insights for element transfer and pollution source tracing. Chemosphere 2019, 241, 124955. [Google Scholar] [CrossRef] [PubMed]
- Zhou, J.; Du, B.; Liu, H.; Cui, H.; Zhang, W.; Fan, X.; Zhou, J. The bioavailability and contribution of the newly deposited heavy metals (copper and lead) from atmosphere to rice (Oryza sativa L.). J. Hazard. Mater. 2019, 384, 121285. [Google Scholar] [CrossRef]
- Zhang, Y.; Hou, D.; O’Connor, D.; Shen, Z.; Shi, P.; Ok, Y.S.; Luo, M. Lead contamination in Chinese surface soils: Source identification, spatial-temporal distribution and associated health risks. Crit. Rev. Environ. Sci. Technol. 2019, 49, 1386–1423. [Google Scholar] [CrossRef]
- Adnan, M.; Xiao, B.; Muhammad, U.; Xiao, P.; Zhao, P.; Wang, H.; Shaheen, B. Heavy metals pollution from smelting activities: A threat to soil and groundwater. Ecotoxicol. Environ. Saf. 2024, 274, 116189. [Google Scholar] [CrossRef]
- Caporale, G.M.; Carmona-González, N.; Alberiko Gil-Alana, L. Atmospheric pollution in Chinese cities: Trends and persistence. Heliyon 2024, 10, e38211. [Google Scholar] [CrossRef] [PubMed]
- Bridges, C.C.; Zalups, R.K. Molecular and ionic mimicry and the transport of toxic metals. Toxicol. Appl. Pharm. 2005, 204, 274–308. [Google Scholar] [CrossRef] [PubMed]
- Li, L.; Zhang, Y.; Ippolito, J.A.; Xing, W.; Qiu, K.; Yang, H. Lead smelting effects heavy metal concentrations in soils, wheat, and potentially humans. Environ. Pollut. 2019, 257, 113641. [Google Scholar] [CrossRef] [PubMed]
- Mickky, B.; Aldesuquy, H.; Elnajar, M. Effect of drought on yield of ten wheat cultivars linked with their flag leaf water status, fatty acid profile and shoot vigor at heading. Physiol. Mol. Biol. Plants 2020, 26, 1111–1117. [Google Scholar] [CrossRef] [PubMed]
- Gao, P.P.; Xue, P.Y.; Dong, J.W.; Zhang, X.M.; Sun, H.X.; Geng, L.P.; Liu, W.J. Contribution of PM2.5-Pb in atmospheric fallout to Pb accumulation in Chinese cabbage leaves via stomata. J. Hazard. Mater. 2020, 407, 124356. [Google Scholar] [CrossRef]
- Luo, X.; Bing, H.; Luo, Z.; Wang, Y.; Jin, L. Impacts of atmospheric particulate matter pollution on environmental biogeochemistry of trace metals in soil-plant system: A review. Environ. Pollut. 2019, 255, 113138. [Google Scholar] [CrossRef]
- Shahid, M.; Dumat, C.; Khalid, S.; Schreck, E.; Xiong, T.; Niazi, N.K. Foliar heavy metal uptake, toxicity and detoxification in plants: A comparison of foliar and root metal uptake. J. Hazard. Mater. 2016, 325, 36–58. [Google Scholar] [CrossRef]
- Uzu, G.; Sobanska, S.; Aliouane, Y.; Pradere, P.; Dumat, C. Study of lead phytoavailability for atmospheric industrial micronic and sub-micronic particles in relation with lead speciation. Environ. Pollut. 2008, 157, 1178–1185. [Google Scholar] [CrossRef]
- Ma, C.; Liu, F.; Hu, B.; Wei, M.; Zhao, J.; Zhang, H. Quantitative analysis of lead sources in wheat tissue and grain under different lead atmospheric deposition areas. Environ. Sci. Pollut. Res. 2019, 26, 36710–36719. [Google Scholar] [CrossRef]
- Wang, C.; Jin, H.; Zhong, C.; Wang, J.; Sun, M.; Xie, M. Estimating the contribution of atmosphere on heavy metals accumulation in the aboveground wheat tissues induced by anthropogenic forcing. Environ. Res. 2020, 189, 109955. [Google Scholar] [CrossRef]
- Ma, C.; Liu, F.; Xie, P.; Zhang, K.; Yang, J.; Zhao, J.; Zhang, H. Mechanism of Pb absorption in wheat grains. J. Hazard. Mater. 2021, 415, 125618. [Google Scholar] [CrossRef] [PubMed]
- Yang, J.; Chen, T.; Lei, M.; Zhou, X.; Huang, Q.; Ma, C.; Guo, G. New isotopic evidence of lead contamination in wheat grain from atmospheric fallout. Environ. Sci. Pollut. Res. 2015, 22, 14710–14716. [Google Scholar] [CrossRef] [PubMed]
- Zhang, X.Y.; Geng, L.P.; Gao, P.P.; Dong, J.W.; Zhou, C.; Li, H.B.; Liu, W.J. Bioimaging of Pb by LA-ICP-MS and Pb isotopic compositions reveal distributions and origins of Pb in wheat grain. Sci. Total Environ. 2021, 802, 149729. [Google Scholar] [CrossRef] [PubMed]
- Wang, J.; Su, J.; Li, Z.; Liu, B.; Cheng, G.; Jiang, Y.; Yuan, W. Source apportionment of heavy metal and their health risks in soil-dustfall-plant system nearby a typical non-ferrous metal mining area of Tongling, Eastern China. Environ. Pollut. 2019, 189, 113089. [Google Scholar] [CrossRef] [PubMed]
- Hu, L.; Zhang, Y.; Xia, H.; Fan, S.; Song, J.; Lv, X.; Kong, L. Photosynthetic characteristics of non-foliar organs in main C3 cereals. Physiol. Plant. 2018, 166, 226–239. [Google Scholar] [CrossRef]
- Eichert, T.; Burkhardt, J. Quantification of stomatal uptake of ionic solutes using a new model system. J. Exp. Bot. 2001, 52, 771–781. [Google Scholar] [CrossRef]
- Xiong, T.; Dumat, C.; Pierart, A.; Shahid, M.; Kang, Y.; Li, N.; Laplanche, C. Measurement of metal bioaccessibility in vegetables to improve human exposure assessments: Field study of soil-plant-atmosphere transfers in urban areas, South China. Environ. Geochem. Health 2016, 38, 1283–1801. [Google Scholar] [CrossRef]
- Tuo, W.; Zhang, X.; Song, C.; Hu, D.; Liang, T. Annual precipitation analysis and forecasting taking Zhengzhou as an example. Water Sci. Technol.-Water Supply 2020, 20, 1604–1616. [Google Scholar] [CrossRef]
- Ghori, N.; Ghori, T.; Hayat, M.Q.; Imadi, S.R.; Gul, A.; Altay, V.; Ozturk, M. Heavy metal stress and responses in plants. Int. J. Environ. Sci. Technol. 2019, 16, 1807–1828. [Google Scholar] [CrossRef]
- Rawar, E.A.; Rohman, A. Validation of Atomic Absorption Spectrophotometry and Mercury Analyzer for Analysis of Cadmium, Lead and Mercury in Red Chili Pepper. Asian J. Agric. Res. 2016, 10, 65–71. [Google Scholar] [CrossRef][Green Version]
- Natasha, N.; Shahid, M.; Khalid, S.; Bibi, I.; Naeem, M.A.; Niazi, N.K.; Rinklebe, J. Influence of biochar on trace element uptake, toxicity and detoxification in plants and associated health risks: A critical review. Crit. Rev. Environ. Sci. Technol. 2021, 52, 2803–2843. [Google Scholar] [CrossRef]
- Gao, P.P.; Zhang, X.M.; Xue, P.Y.; Dong, J.W.; Dong, Y.; Zhao, Q.L.; Liu, W.J. Mechanism of Pb accumulation in Chinese cabbage leaves: Stomata and trichomes regulate foliar uptake of Pb in atmospheric PM2.5. Environ. Pollut. 2021, 293, 118585. [Google Scholar] [CrossRef] [PubMed]
- Kanwal, A.; Farhan, M.; Sharif, F.; Hayyat, M.U.; Shahzad, L.; Ghafoor, G.Z. Effect of industrial wastewater on wheat germination, growth, yield, nutrients and bioaccumulation of lead. Sci. Rep. 2020, 10, 11361. [Google Scholar] [CrossRef] [PubMed]
- Chen, L.; Zhou, S.; Yang, Q.; Li, Q.; Xing, D.; Xiao, Y.; Tang, C. Pb Content, Risk Level and Primary-Source Apportionment in Wheat and Rice Grains in the Lihe River Watershed, Taihu Region, Eastern China. Int. J. Environ. Res. Public Health 2021, 18, 6256. [Google Scholar] [CrossRef]
- Guo, G.; Lei, M.; Wang, Y.; Song, B.; Yang, J. Accumulation of As, Cd, and Pb in Sixteen Wheat Cultivars Grown in Contaminated Soils and Associated Health Risk Assessment. Int. J. Environ. Res. Public Health 2018, 15, 2601. [Google Scholar] [CrossRef]
- Li, C.; Wang, P.; Van Der Ent, A.; Cheng, M.; Jiang, H.; Lund Read, T.; Kopittke, P.M. Absorption of foliar-applied Zn in sunflower (Helianthus annuus): Importance of the cuticle, stomata and trichomes. Ann. Bot. 2018, 123, 57–68. [Google Scholar] [CrossRef]
- Luo, S.; Wang, K.; Li, Z.; Li, H.; Shao, J.; Zhu, X. Salicylic Acid Enhances Cadmium Tolerance and Reduces Its Shoot Accumulation in Fagopyrum tataricum Seedlings by Promoting Root Cadmium Retention and Mitigating Oxidative Stress. Int. J. Mol. Sci. 2022, 23, 14746. [Google Scholar] [CrossRef]
- Ma, C.; Xie, P.; Yang, J.; Liu, F.; Hu, H.; Du, J.; Zhang, H. Relative contribution of environmental medium and internal organs to lead accumulation of wheat grain. Sci. Total Environ. 2021, 818, 151832. [Google Scholar] [CrossRef]
- Jezek, M.; Blatt, M.R. The Membrane Transport System of the Guard Cell and Its Integration for Stomatal Dynamics. Plant Physiol. 2017, 174, 487–519. [Google Scholar] [CrossRef]
- Sæbø, A.; Popek, R.; Nawrot, B.; Hanslin, H.M.; Gawronska, H.; Gawronski, S.W. Plant species differences in particulate matter accumulation on leaf surfaces. Sci. Total Environ. 2012, 427–428, 347–354. [Google Scholar] [CrossRef]
- Kumar, A.; Prasad, M.N.V. Plant-lead interactions: Transport, toxicity, tolerance, and detoxification mechanisms. Ecotoxicol. Environ. Saf. 2018, 166, 401–418. [Google Scholar] [CrossRef] [PubMed]
- Chen, Y.; Moore, K.L.; Miller, A.J.; McGrath, S.P.; Ma, J.F.; Zhao, F.J. The role of nodes in arsenic storage and distribution in rice. J. Exp. Bot. 2015, 66, 3717–3724. [Google Scholar] [CrossRef]
- Zhang, L.; Zhang, C.; Du, B.; Lu, B.; Zhou, D.; Zhou, J.; Zhou, J. Effects of node restriction on cadmium accumulation in eight Chinese wheat (Triticum turgidum) cultivars. Sci. Total Environ. 2020, 725, 138358. [Google Scholar] [CrossRef] [PubMed]
- Sanchez-Bragado, R.; Vicente, R.; Molero, G.; Serret, M.D.; Maydup, M.L.; Araus, J.L. New avenues for increasing yield and stability in C3 cereals: Exploring ear photosynthesis. Curr. Opin. Plant Biol. 2020, 56, 223–234. [Google Scholar] [CrossRef] [PubMed]
- Wang, S.; Shi, X.; Salam, M.M.A.; Chen, G. Integrated study on subcellular localization and chemical speciation of Pb reveals root strategies for Pb sequestration and detoxification in Salix integra. Plant Soil 2021, 467, 197–221. [Google Scholar] [CrossRef]
- Ramos, I.; Esteban, E.; Lucena, J.J.; Gárate, A.n. Cadmium uptake and subcellular distribution in plants of Lactuca sp. Cd–Mn interaction. Plant Sci. 2002, 162, 761–767. [Google Scholar] [CrossRef]
- Fu, X.; Dou, C.; Chen, Y.; Chen, X.; Shi, J.; Yu, M.; Xu, J. Subcellular distribution and chemical forms of cadmium in Phytolacca americana L. J. Hazard. Mater. 2010, 186, 103–107. [Google Scholar] [CrossRef]
- Shen, Y.; Liang, L.; Zhang, S.; Huang, D.; Deng, R.; Zhang, J.; Xu, W. Organelle-Targeting Gold Nanorods for Macromolecular Profiling of Subcellular Organelles and Enhanced Cancer Cell Killing. ACS Appl. Mater. Interfaces 2018, 10, 7910–7918. [Google Scholar] [CrossRef]
- Parrotta, L.; Guerriero, G.; Sergeant, K.; Cai, G.; Hausman, J.F. Target or barrier? The cell wall of early- and later-diverging plants vs cadmium toxicity: Differences in the response mechanisms. Front. Plant Sci. 2015, 6, 133. [Google Scholar] [CrossRef]
- Collin, S.; Baskar, A.; Geevarghese, D.M.; Ali, M.N.V.S.; Bahubali, P.; Choudhary, R.; Swamiappan, S. Bioaccumulation of lead (Pb) and its effects in plants: A review. J. Hazard. Mater. Lett. 2022, 3, 100064. [Google Scholar] [CrossRef]
- Hou, X.; Han, H.; Cai, L.; Liu, A.; Ma, X.; Zhou, C.; Meng, F. Pb stress effects on leaf chlorophyll fluorescence, antioxidative enzyme activities, and organic acid contents of Pogonatherum crinitum seedlings. Flora 2018, 240, 82–88. [Google Scholar] [CrossRef]
- Ba, Q.; Zhang, L.; Chen, S.; Li, G.; Wang, W. Effects of foliar application of magnesium sulfate on photosynthetic characteristics, dry matter accumulation and its translocation, and carbohydrate metabolism in grain during wheat grain filling. Cereal Res. Commun. 2020, 48, 157–163. [Google Scholar] [CrossRef]
- Ashraf, U.; Tang, X.R. Yield and quality responses, plant metabolism and metal distribution pattern in aromatic rice under lead (Pb) toxicity. Chemosphere 2017, 176, 141–155. [Google Scholar] [CrossRef] [PubMed]








| Stage | Treatment | Alcohol-Extractable State | Water-Extractable Sate | NaCl-Extractable State | Ethylic Acid-Extractable State | Hydrochloric Acid-Extractable State | Residual State-Extractable State | Total | Recovery Rate (%) |
|---|---|---|---|---|---|---|---|---|---|
| Jointing stage | CK | 0.07 c | 0.30 c | 0.02 c | 0.08 c | 0.27 c | 0.09 c | 0.82 c | 94.6 |
| T1 | 0.80 b | 3.90 a | 0.23 b | 1.83 a | 3.79 a | 0.92 b | 11.47 a | 92.8 | |
| T2 | 1.18 a | 2.47 b | 0.64 a | 0.54 b | 3.55 b | 2.26 a | 10.64 b | 95.1 | |
| Late filling stage | CK | 0.08 c | 0.05 c | 0.05 c | 0.27 c | 0.29 c | 0.22 c | 0.95 c | 97.4 |
| T1 | 1.57 a | 0.90 a | 4.28 a | 6.76 a | 6.76 a | 2.26 a | 22.53 a | 91.1 | |
| T2 | 1.22 b | 0.86 b | 2.25 b | 5.53 b | 6.41 b | 1.04 b | 17.32 b | 92.5 |
Disclaimer/Publisher’s Note: The statements, opinions and data contained in all publications are solely those of the individual author(s) and contributor(s) and not of MDPI and/or the editor(s). MDPI and/or the editor(s) disclaim responsibility for any injury to people or property resulting from any ideas, methods, instructions or products referred to in the content. |
© 2025 by the authors. Licensee MDPI, Basel, Switzerland. This article is an open access article distributed under the terms and conditions of the Creative Commons Attribution (CC BY) license (https://creativecommons.org/licenses/by/4.0/).
Share and Cite
Zhang, K.; Liang, Y.; Ma, C.; Guo, H.; Liu, F.; Gao, A.; Liu, N.; Zhang, H. Stomata as the Main Pathway for the Penetration of Atmospheric Particulate Matter Pb into Wheat Leaves. Toxics 2025, 13, 185. https://doi.org/10.3390/toxics13030185
Zhang K, Liang Y, Ma C, Guo H, Liu F, Gao A, Liu N, Zhang H. Stomata as the Main Pathway for the Penetration of Atmospheric Particulate Matter Pb into Wheat Leaves. Toxics. 2025; 13(3):185. https://doi.org/10.3390/toxics13030185
Chicago/Turabian StyleZhang, Ke, Yujing Liang, Chuang Ma, Haopeng Guo, Fuyong Liu, Aihua Gao, Nan Liu, and Hongzhong Zhang. 2025. "Stomata as the Main Pathway for the Penetration of Atmospheric Particulate Matter Pb into Wheat Leaves" Toxics 13, no. 3: 185. https://doi.org/10.3390/toxics13030185
APA StyleZhang, K., Liang, Y., Ma, C., Guo, H., Liu, F., Gao, A., Liu, N., & Zhang, H. (2025). Stomata as the Main Pathway for the Penetration of Atmospheric Particulate Matter Pb into Wheat Leaves. Toxics, 13(3), 185. https://doi.org/10.3390/toxics13030185

