Association Between Fine Particle Waves and Sexual Function: A Nationwide Cross-Sectional Survey in China
Abstract
1. Introduction
2. Methods
2.1. Study Population
2.2. Assessment of Sexual Function and Depressive State
2.2.1. Sexual Function Assessment Tools
2.2.2. Depression Assessment Tool
2.3. Environmental Information
2.4. PM Wave Assessment
2.5. Covariates
2.6. Statistical Analysis
3. Results
3.1. Characteristics of the Study Population
3.2. Overall Association
3.3. Mediation Analysis
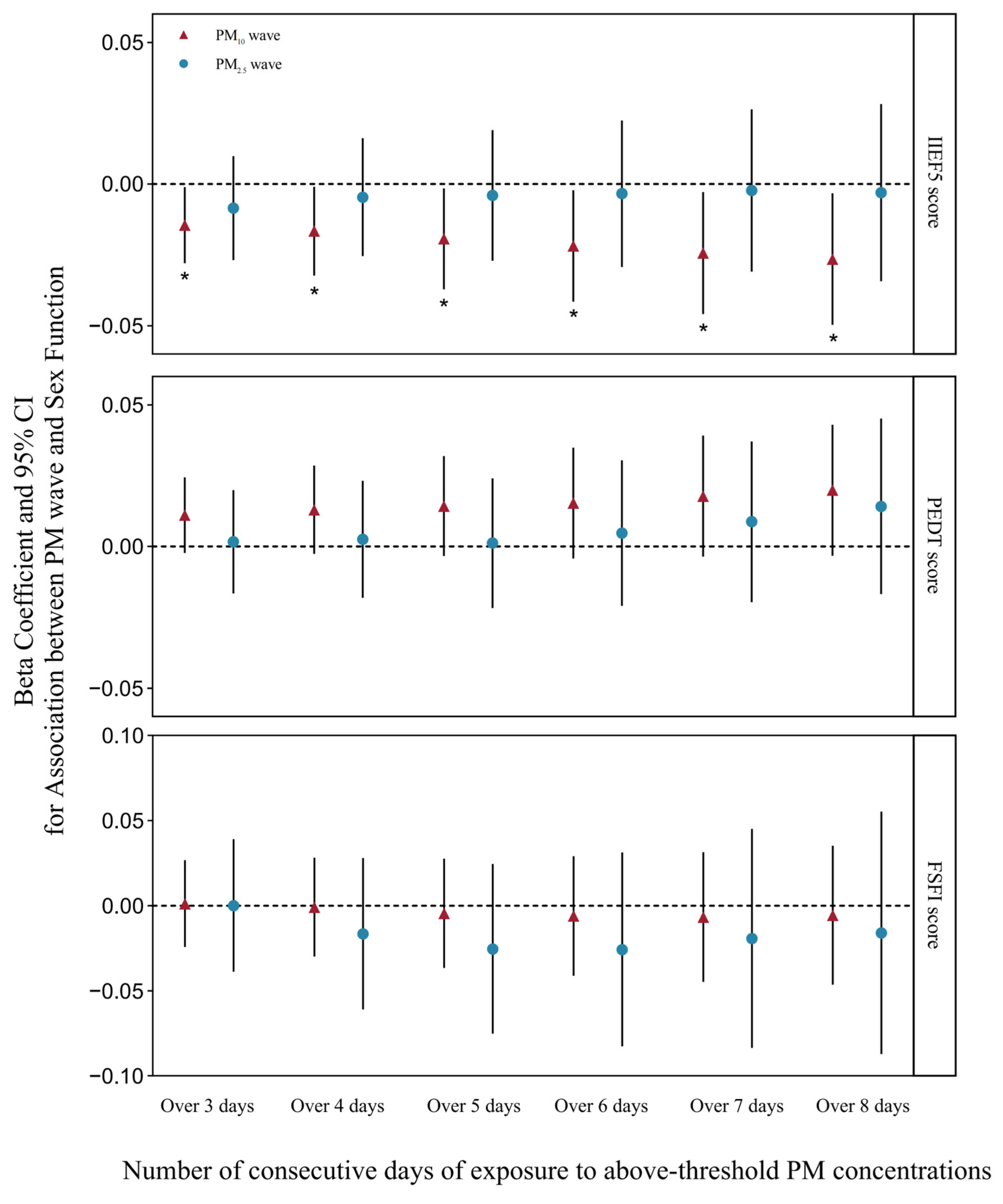
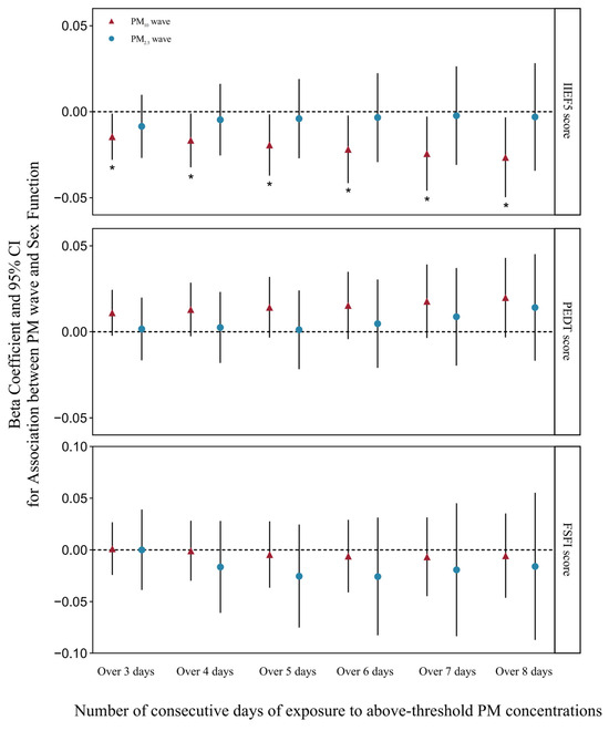
3.4. Subgroup and Sensitivity Analysis
4. Discussion
5. Conclusions
Supplementary Materials
Author Contributions
Funding
Institutional Review Board Statement
Informed Consent Statement
Data Availability Statement
Conflicts of Interest
References
- Holgate, S. Air Pollution Is a Public Health Emergency. BMJ 2022, 378, o1664. [Google Scholar] [CrossRef] [PubMed]
- Dedoussi, I.C.; Eastham, S.D.; Monier, E.; Barrett, S.R.H. Premature Mortality Related to United States Cross-State Air Pollution. Nature 2020, 578, 261–265. [Google Scholar] [CrossRef] [PubMed]
- Liu, C.; Chen, R.; Sera, F.; Vicedo-Cabrera, A.M.; Guo, Y.; Tong, S.; Coelho, M.S.Z.S.; Saldiva, P.H.N.; Lavigne, E.; Matus, P.; et al. Ambient Particulate Air Pollution and Daily Mortality in 652 Cities. N. Engl. J. Med. 2019, 381, 705–715. [Google Scholar] [CrossRef]
- Wang, X.; Karvonen-Gutierrez, C.A.; Gold, E.B.; Derby, C.; Greendale, G.; Wu, X.; Schwartz, J.; Park, S.K. Longitudinal Associations of Air Pollution With Body Size and Composition in Midlife Women: The Study of Women’s Health Across the Nation. Diabetes Care 2022, 45, 2577–2584. [Google Scholar] [CrossRef] [PubMed]
- Milner, J.; Hughes, R.; Chowdhury, S.; Picetti, R.; Ghosh, R.; Yeung, S.; Lelieveld, J.; Dangour, A.D.; Wilkinson, P. Air Pollution and Child Health Impacts of Decarbonization in 16 Global Cities: Modelling Study. Environ. Int. 2023, 175, 107972. [Google Scholar] [CrossRef]
- Huang, J.; Pan, X.; Guo, X.; Li, G. Impacts of Air Pollution Wave on Years of Life Lost: A Crucial Way to Communicate the Health Risks of Air Pollution to the Public. Environ. Int. 2018, 113, 42–49. [Google Scholar] [CrossRef]
- Kim, S.E.; Bell, M.L.; Hashizume, M.; Honda, Y.; Kan, H.; Kim, H. Associations between Mortality and Prolonged Exposure to Elevated Particulate Matter Concentrations in East Asia. Environ. Int. 2018, 110, 88–94. [Google Scholar] [CrossRef]
- Chen, J.; Wu, S.; Fang, J.; Liu, Z.; Shang, X.; Guo, X.; Deng, F.; Guo, L. Association of Exposure to Fine Particulate Matter Wave over the Preconception and Pregnancy Periods with Adverse Birth Outcomes: Results from the Project ELEFANT. Environ. Res. 2022, 205, 112473. [Google Scholar] [CrossRef]
- Bai, L.; Yang, J.; Zhang, Y.; Zhao, D.; Su, H. Durational Effect of Particulate Matter Air Pollution Wave on Hospital Admissions for Schizophrenia. Environ. Res. 2020, 187, 109571. [Google Scholar] [CrossRef]
- Zhao, Y.; Zhu, Q.; Lin, J.; Cai, J. Association of Exposure to Particulate Matter Air Pollution With Semen Quality Among Men in China. JAMA Netw. Open 2022, 5, e2148684. [Google Scholar] [CrossRef]
- Zhang, Y.; Wei, J.; Zhao, S.; Zeng, Q.; Sun, S.; Cao, W. Ambient Fine Particulate Matter Constituents and Semen Quality among Adult Men in China. J. Hazard. Mater. 2024, 465, 133313. [Google Scholar] [CrossRef] [PubMed]
- Wang, L.; Xu, T.; Wang, Q.; Ni, H.; Yu, X.; Song, C.; Li, Y.; Li, F.; Meng, T.; Sheng, H.; et al. Exposure to Fine Particulate Matter Constituents and Human Semen Quality Decline: A Multicenter Study. Environ. Sci. Technol. 2023, 57, 13025–13035. [Google Scholar] [CrossRef]
- Shen, Z.; Zhang, F.; Guo, Z.; Qu, R.; Wei, Y.; Wang, J.; Zhang, W.; Xing, X.; Zhang, Y.; Liu, J.; et al. Association between Air Pollution and Male Sexual Function: A Nationwide Observational Study in China. J. Hazard. Mater. 2024, 469, 134010. [Google Scholar] [CrossRef]
- Zhou, S.; Xi, Y.; Chen, Y.; Zhang, Z.; Wu, C.; Yan, W.; Luo, A.; Wu, T.; Zhang, J.; Wu, M.; et al. Ovarian Dysfunction Induced by Chronic Whole-Body PM2.5 Exposure. Small 2020, 16, 2000845. [Google Scholar] [CrossRef]
- Liu, S.; Zhao, J.; Ye, X.; Fu, M.; Zhang, K.; Wang, H.; Zou, Y.; Yu, K. Fine Particulate Matter and Its Constituent on Ovarian Reserve: Identifying Susceptible Windows of Exposure. Sci. Total Environ. 2023, 904, 166744. [Google Scholar] [CrossRef]
- Li, Q.; Zheng, D.; Wang, Y.; Li, R.; Wu, H.; Xu, S.; Kang, Y.; Cao, Y.; Chen, X.; Zhu, Y.; et al. Association between Exposure to Airborne Particulate Matter Less than 2.5 Μm and Human Fecundity in China. Environ. Int. 2021, 146, 106231. [Google Scholar] [CrossRef]
- Wang, F.; Liu, H.; Li, H.; Liu, J.; Guo, X.; Yuan, J.; Hu, Y.; Wang, J.; Lu, L. Ambient Concentrations of Particulate Matter and Hospitalization for Depression in 26 Chinese Cities: A Case-Crossover Study. Environ. Int. 2018, 114, 115–122. [Google Scholar] [CrossRef]
- Shiri, R.; Koskimäki, J.; Tammela, T.L.J.; Häkkinen, J.; Auvinen, A.; Hakama, M. Bidirectional Relationship Between Depression and Erectile Dysfunction. J. Urol. 2007, 177, 669–673. [Google Scholar] [CrossRef]
- Rosen, R.C.; Riley, A.; Wagner, G.; Osterloh, I.H.; Kirkpatrick, J.; Mishra, A. The International Index of Erectile Function (IIEF): A Multidimensional Scale for Assessment of Erectile Dysfunction. Urology 1997, 49, 822–830. [Google Scholar] [CrossRef]
- Symonds, T.; Perelman, M.A.; Althof, S.; Giuliano, F.; Martin, M.; May, K.; Abraham, L.; Crossland, A.; Morris, M. Development and Validation of a Premature Ejaculation Diagnostic Tool. Eur. Urol. 2007, 52, 565–573. [Google Scholar] [CrossRef]
- Symonds, T.; Perelman, M.; Althof, S.; Giuliano, F.; Martin, M.; Abraham, L.; Crossland, A.; Morris, M.; May, K. Further Evidence of the Reliability and Validity of the Premature Ejaculation Diagnostic Tool. Int. J. Impot. Res. 2007, 19, 521–525. [Google Scholar] [CrossRef] [PubMed]
- Meston, C.M.; Freihart, B.K.; Handy, A.B.; Kilimnik, C.D.; Rosen, R.C. Scoring and Interpretation of the FSFI: What Can Be Learned From 20 Years of Use? J. Sex. Med. 2020, 17, 17–25. [Google Scholar] [CrossRef]
- Spitzer, R.L.; Kroenke, K.; Williams, J.B. Validation and Utility of a Self-Report Version of PRIME-MD: The PHQ Primary Care Study. Primary Care Evaluation of Mental Disorders. Patient Health Questionnaire. JAMA 1999, 282, 1737–1744. [Google Scholar] [CrossRef] [PubMed]
- Negeri, Z.F.; Levis, B.; Sun, Y.; He, C.; Krishnan, A.; Wu, Y.; Bhandari, P.M.; Neupane, D.; Brehaut, E.; Benedetti, A.; et al. Accuracy of the Patient Health Questionnaire-9 for Screening to Detect Major Depression: Updated Systematic Review and Individual Participant Data Meta-Analysis. BMJ 2021, 375, n2183. [Google Scholar] [CrossRef] [PubMed]
- Leung, D.Y.P.; Mak, Y.W.; Leung, S.F.; Chiang, V.C.L.; Loke, A.Y. Measurement Invariances of the PHQ-9 across Gender and Age Groups in Chinese Adolescents. Asia Pac. Psychiatry 2020, 12, e12381. [Google Scholar] [CrossRef]
- Zhou, Y.; Xu, J.; Rief, W. Are Comparisons of Mental Disorders between Chinese and German Students Possible? An Examination of Measurement Invariance for the PHQ-15, PHQ-9 and GAD-7. BMC Psychiatry 2020, 20, 480. [Google Scholar] [CrossRef]
- McNabney, S.M.; Gletsu-Miller, N.; Rowland, D.L. Sexual Function and Satisfaction in the Context of Obesity. Curr. Diab Rep. 2023, 23, 315–327. [Google Scholar] [CrossRef]
- Yuan, P.; Chen, Y.; Sun, T.; Cui, L.; Wei, Y.; Li, T.; Meng, Q. Exploring Potential Genes and Mechanisms Linking Erectile Dysfunction and Depression. Front. Endocrinol. 2023, 14, 1221043. [Google Scholar] [CrossRef]
- Defeudis, G.; Mazzilli, R.; Scandurra, C.; Di Tommaso, A.M.; Cimadomo, D.; Strollo, R.; Faggiano, A.; Migliaccio, S.; Napoli, N. Diabetes and Erectile Dysfunction: The Relationships with Health Literacy, Treatment Adherence, Unrealistic Optimism, and Glycaemic Control. Diabetes Metab. Res. Rev. 2023, 39, e3629. [Google Scholar] [CrossRef]
- Tönnies, T.; Schlesinger, S.; Lang, A.; Kuss, O. Mediation Analysis in Medical Research. Dtsch. Arztebl. Int. 2023, 120, 681–687. [Google Scholar] [CrossRef]
- Zheng, Z.; Pan, J.; Chen, Z.; Gao, P.; Gao, J.; Jiang, H.; Zhang, X. The Association between Shift Work, Shift Work Sleep Disorders and Premature Ejaculation in Male Workers. BMC Public Health 2024, 24, 1772. [Google Scholar] [CrossRef] [PubMed]
- Lou, W.-J.; Chen, B.; Zhu, L.; Han, S.-M.; Xu, T.; Lang, J.-H.; Zhang, L. Prevalence and Factors Associated with Female Sexual Dysfunction in Beijing, China. Chin. Med. J. 2017, 130, 1389–1394. [Google Scholar] [CrossRef] [PubMed]
- Tang, D.-D.; Li, C.; Peng, D.-W.; Zhang, X.-S. Validity of Premature Ejaculation Diagnostic Tool and Its Association with International Index of Erectile Function-15 in Chinese Men with Evidence-Based-Defined Premature Ejaculation. Asian J. Androl. 2018, 20, 19–23. [Google Scholar] [CrossRef] [PubMed]
- Sun, X.; Li, C.; Jin, L.; Fan, Y.; Wang, D. Development and Validation of Chinese Version of Female Sexual Function Index in a Chinese Population-a Pilot Study. J. Sex. Med. 2011, 8, 1101–1111. [Google Scholar] [CrossRef]
- Tallon, L.A.; Manjourides, J.; Pun, V.C.; Mittleman, M.A.; Kioumourtzoglou, M.-A.; Coull, B.; Suh, H. Erectile Dysfunction and Exposure to Ambient Air Pollution in a Nationally Representative Cohort of Older Men. Environ. Health 2017, 16, 12. [Google Scholar] [CrossRef]
- Qiu, L.; Chen, M.; Wang, X.; Qin, X.; Chen, S.; Qian, Y.; Liu, Z.; Cao, Q.; Ying, Z. Exposure to Concentrated Ambient PM2.5 Compromises Spermatogenesis in a Mouse Model: Role of Suppression of Hypothalamus-Pituitary-Gonads Axis. Toxicol. Sci. 2018, 162, 318–326. [Google Scholar] [CrossRef]
- Zheng, P.; Chen, Z.; Shi, J.; Xue, Y.; Bai, Y.; Kang, Y.; Xu, H.; Jia, G.; Wang, T. Association between Ambient Air Pollution and Blood Sex Hormones Levels in Men. Environ. Res. 2022, 211, 113117. [Google Scholar] [CrossRef]
- Zheng, S.; Jiang, J.; Shu, Z.; Qiu, C.; Jiang, L.; Zhao, N.; Lin, X.; Qian, Y.; Liang, B.; Qiu, L. Fine Particulate Matter (PM2.5) Induces Testosterone Disruption by Triggering Ferroptosis through SIRT1/HIF-1α Signaling Pathway in Male Mice. Free Radic. Biol. Med. 2024, 221, 40–51. [Google Scholar] [CrossRef]
- Corona, G.; Maggi, M. The Role of Testosterone in Male Sexual Function. Rev. Endocr. Metab. Disord. 2022, 23, 1159–1172. [Google Scholar] [CrossRef]
- Lee, H.; Hwang, E.C.; Oh, C.K.; Lee, S.; Yu, H.S.; Lim, J.S.; Kim, H.W.; Walsh, T.; Kim, M.H.; Jung, J.H.; et al. Testosterone Replacement in Men with Sexual Dysfunction. Cochrane Database Syst. Rev. 2024, 2024, CD013071. [Google Scholar] [CrossRef]
- Zou, H.; Zhang, X.; Chen, W.; Tao, Y.; Li, B.; Liu, H.; Wang, R.; Zhao, J. Vascular Endothelium Is the Basic Way for Stem Cells to Treat Erectile Dysfunction: A Bibliometric Study. Cell Death Discov. 2023, 9, 143. [Google Scholar] [CrossRef] [PubMed]
- Mitidieri, E.; Cirino, G.; d’Emmanuele Di Villa Bianca, R.; Sorrentino, R. Pharmacology and Perspectives in Erectile Dysfunction in Man. Pharmacol. Ther. 2020, 208, 107493. [Google Scholar] [CrossRef] [PubMed]
- Wang, X.; Yang, Y.; Li, J.; Bai, Y.; Tang, Y.; Han, P. Effects of Fine Particulate Matter on Erectile Function and Its Potential Mechanism in Rats. Urology 2017, 102, 265.e9–265.e16. [Google Scholar] [CrossRef] [PubMed]
- Bivalacqua, T.J.; Sussan, T.E.; Gebska, M.A.; Strong, T.D.; Berkowitz, D.E.; Biswal, S.; Burnett, A.L.; Champion, H.C. Sildenafil Inhibits Superoxide Formation and Prevents Endothelial Dysfunction in a Mouse Model of Secondhand Smoke Induced Erectile Dysfunction. J. Urol. 2009, 181, 899–906. [Google Scholar] [CrossRef]
- Omolaoye, T.S.; Skosana, B.T.; Ferguson, L.M.; Ramsunder, Y.; Ayad, B.M.; Du Plessis, S.S. Implications of Exposure to Air Pollution on Male Reproduction: The Role of Oxidative Stress. Antioxidants 2024, 13, 64. [Google Scholar] [CrossRef]
- Roychoudhury, S.; Chakraborty, S.; Choudhury, A.P.; Das, A.; Jha, N.K.; Slama, P.; Nath, M.; Massanyi, P.; Ruokolainen, J.; Kesari, K.K. Environmental Factors-Induced Oxidative Stress: Hormonal and Molecular Pathway Disruptions in Hypogonadism and Erectile Dysfunction. Antioxidant 2021, 10, 837. [Google Scholar] [CrossRef]
- Gao, X.; Jiang, M.; Huang, N.; Guo, X.; Huang, T. Long-Term Air Pollution, Genetic Susceptibility, and the Risk of Depression and Anxiety: A Prospective Study in the UK Biobank Cohort. Env. Health Perspect. 2023, 131, 17002. [Google Scholar] [CrossRef]
- Radua, J.; De Prisco, M.; Oliva, V.; Fico, G.; Vieta, E.; Fusar-Poli, P. Impact of Air Pollution and Climate Change on Mental Health Outcomes: An Umbrella Review of Global Evidence. World Psychiatry 2024, 23, 244–256. [Google Scholar] [CrossRef]
- Zeng, Y.; Lin, R.; Liu, L.; Liu, Y.; Li, Y. Ambient Air Pollution Exposure and Risk of Depression: A Systematic Review and Meta-Analysis of Observational Studies. Psychiatry Res. 2019, 276, 69–78. [Google Scholar] [CrossRef]
- Gu, X.; Guo, T.; Si, Y.; Wang, J.; Zhang, W.; Deng, F.; Chen, L.; Wei, C.; Lin, S.; Guo, X.; et al. Association Between Ambient Air Pollution and Daily Hospital Admissions for Depression in 75 Chinese Cities. Am. J. Psychiatry 2020, 177, 735–743. [Google Scholar] [CrossRef]
- Thomson, E.M.; Filiatreault, A.; Guénette, J. Stress Hormones as Potential Mediators of Air Pollutant Effects on the Brain: Rapid Induction of Glucocorticoid-Responsive Genes. Environ. Res. 2019, 178, 108717. [Google Scholar] [CrossRef] [PubMed]
- Braithwaite, I.; Zhang, S.; Kirkbride, J.B.; Osborn, D.P.J.; Hayes, J.F. Air Pollution (Particulate Matter) Exposure and Associations with Depression, Anxiety, Bipolar, Psychosis and Suicide Risk: A Systematic Review and Meta-Analysis. Environ. Health Perspect. 2019, 127, 126002. [Google Scholar] [CrossRef] [PubMed]
- Liu, Q.; Wang, W.; Gu, X.; Deng, F.; Wang, X.; Lin, H.; Guo, X.; Wu, S. Association between Particulate Matter Air Pollution and Risk of Depression and Suicide: A Systematic Review and Meta-Analysis. Env. Sci. Pollut. Res. 2021, 28, 9029–9049. [Google Scholar] [CrossRef] [PubMed]
- Martins Da Silva, S.; Anderson, R.A. Reproductive Axis Ageing and Fertility in Men. Rev. Endocr. Metab. Disord. 2022, 23, 1109–1121. [Google Scholar] [CrossRef]
- Macdonald, E.J.; Gaines, J.M.; Kim, J.I.; Paduch, D.A. Exploring the Relationship between Socioeconomic Status and Erectile Dysfunction: An Analysis of the National Health and Nutrition Examination Survey. Int. J. Impot. Res. 2023, 35, 478–483. [Google Scholar] [CrossRef]
- Fang, Y.; Dong, Z.; Huang, T.; Wang, L.; Fan, W.; Wang, B.; Yang, Q.; Xu, M.; Li, D.; Fang, Y.; et al. The Role of Socioeconomic Status and Oxidative Balance Score in Erectile Dysfunction: A Cross-Sectional Study. Heliyon 2023, 9, e22233. [Google Scholar] [CrossRef]
- Jbaily, A.; Zhou, X.; Liu, J.; Lee, T.-H.; Kamareddine, L.; Verguet, S.; Dominici, F. Air Pollution Exposure Disparities across US Population and Income Groups. Nature 2022, 601, 228–233. [Google Scholar] [CrossRef]
- Newell, K.; Kartsonaki, C.; Lam, K.B.H.; Kurmi, O.P. Cardiorespiratory Health Effects of Particulate Ambient Air Pollution Exposure in Low-Income and Middle-Income Countries: A Systematic Review and Meta-Analysis. Lancet Planet. Health 2017, 1, e368–e380. [Google Scholar] [CrossRef]
- Mohajeri, N.; Hsu, S.-C.; Milner, J.; Taylor, J.; Kiesewetter, G.; Gudmundsson, A.; Kennard, H.; Hamilton, I.; Davies, M. Urban-Rural Disparity in Global Estimation of PM(2·5) Household Air Pollution and Its Attributable Health Burden. Lancet Planet. Health 2023, 7, e660–e672. [Google Scholar] [CrossRef]
- Millar, A.C.; Faghfoury, H.; Bieniek, J.M. Genetics of Hypogonadotropic Hypogonadism. Transl. Androl. Urol. 2021, 10, 1401–1409. [Google Scholar] [CrossRef]
- Yao, H.-X.; Ma, F.-Z.; Tan, Y.-Y.; Liu, L.-Y. Endothelial Nitric Oxide Synthase Gene Polymorphisms and Risk of Erectile Dysfunction: An Updated Meta-Analysis of Genetic Association Studies. Int. J. Surg. 2018, 54, 141–148. [Google Scholar] [CrossRef] [PubMed]
- Jorgenson, E.; Matharu, N.; Palmer, M.R.; Yin, J.; Shan, J.; Hoffmann, T.J.; Thai, K.K.; Zhou, X.; Hotaling, J.M.; Jarvik, G.P.; et al. Genetic Variation in the SIM1 Locus Is Associated with Erectile Dysfunction. Proc. Natl. Acad. Sci. USA 2018, 115, 11018–11023. [Google Scholar] [CrossRef] [PubMed]




| Characteristic | Female (n = 5496) | Male (n = 5039) |
|---|---|---|
| age (median [IQR]) | 28 (25, 32) | 29 (25, 33) |
| population (%) | ||
| Han Chinese | 5176 (94.1776) | 4758 (94.4235) |
| Non-Han Chinese | 320 (5.8224) | 281 (5.5765) |
| BMI_grade (%) | ||
| <18.5 | 1385 (25.2001) | 390 (7.7396) |
| 18.5–24.9 | 3624 (65.9389) | 3399 (67.4539) |
| >24.9 | 487 (8.8610) | 1250 (24.8065) |
| drinking (%) | ||
| Never | 3756 (68.3406) | 1568 (31.1173) |
| Former | 330 (6.0044) | 523 (10.3790) |
| Current | 1410 (25.6550) | 2948 (58.5037) |
| smoking (%) | ||
| Never | 4883 (88.8464) | 2326 (46.1600) |
| Former | 249 (4.5306) | 724 (14.3679) |
| Current | 364 (6.6230) | 1989 (39.4721) |
| constitution (%) | ||
| Poor | 343 (6.2409) | 250 (4.9613) |
| Moderate | 3464 (63.0277) | 2984 (59.2181) |
| Good | 1689 (30.7314) | 1805 (35.8206) |
| underlying_disease (%) | ||
| Absence | 4484 (81.5866) | 3919 (77.7734) |
| Presence | 1012 (18.4134) | 1120 (22.2266) |
| education (%) | ||
| Secondary education or lower | 333 (6.0590) | 447 (8.8708) |
| Undergraduate level | 4634 (84.3158) | 4025 (79.8770) |
| Postgraduate level or higher | 529 (9.6252) | 567 (11.2522) |
| income (%) | ||
| <5000/m | 1736 (31.5866) | 1012 (20.0833) |
| 5000–10,000/m | 2853 (51.9105) | 2751 (54.5942) |
| >10,000/m | 907 (16.5029) | 1276 (25.3225) |
| resident (%) | ||
| Urban areas | 5000 (90.9753) | 4635 (91.9825) |
| Rural areas | 496 (9.0247) | 404 (8.0175) |
| region (%) | ||
| Eastern Region | 2465 (44.8508) | 2123 (42.1314) |
| Central Region | 1680 (30.5677) | 1499 (29.7480) |
| Western Region | 1351 (24.5815) | 1417 (28.1206) |
| personality (%) | ||
| Introverted | 2812 (51.1645) | 2359 (46.8148) |
| Extroverted | 2684 (48.8355) | 2680 (53.1852) |
| depression_score (median [IQR]) | 6 (4, 10) | 6 (4, 9) |
| FSFI_score (median [IQR]) | 24.5000 (19.9000, 28.1000) | |
| IIEF-5_score (median [IQR]) | 21 (18, 23) | |
| PEDT_score (median [IQR]) | 10 (8, 13) |
| PM Wave | Male | Female | ||||
|---|---|---|---|---|---|---|
| IIEF-5 Scores | PEDT Scores | FSFI Scores | ||||
| β (95%CI) | p | β (95%CI) | p | β (95%CI) | p | |
| PM2.5-75 μg/m3-D3 | −0.0084 (−0.0270, 0.0102) | 0.3769 | 0.0019 (−0.0166, 0.0203) | 0.8420 | 0.0077 (−0.0316, 0.0470) | 0.7008 |
| PM2.5-75 μg/m3-D4 | −0.0044 (−0.0257, 0.0169) | 0.6867 | 0.0030 (−0.0182, 0.0241) | 0.7840 | −0.0038 (−0.0493, 0.0417) | 0.8699 |
| PM2.5-75 μg/m3-D5 | −0.0036 (−0.0274, 0.0201) | 0.7636 | 0.0017 (−0.0219, 0.0252) | 0.8897 | −0.0096 (−0.0611, 0.0418) | 0.7131 |
| PM2.5-75 μg/m3-D6 | −0.0030 (−0.0296, 0.0236) | 0.8260 | 0.0054 (−0.0210, 0.0318) | 0.6878 | −0.0084 (−0.0669, 0.0501) | 0.7780 |
| PM2.5-75 μg/m3-D7 | −0.0018 (−0.0309, 0.0274) | 0.9051 | 0.0095 (−0.0195, 0.0384) | 0.5213 | −0.0017 (−0.0673, 0.0640) | 0.9598 |
| PM2.5-75 μg/m3-D8 | −0.0026 (−0.0343, 0.0290) | 0.8720 | 0.0149 (−0.0165, 0.0463) | 0.3531 | 0.0002 (−0.0721, 0.0725) | 0.9950 |
| PM10-150 μg/m3-D3 | −0.0149 (−0.0284, −0.0013) | 0.0316 * | 0.0112 (−0.0023, 0.0246) | 0.1042 | −0.0031 (−0.0288, 0.0225) | 0.8102 |
| PM10-150 μg/m3-D4 | −0.0167 (−0.0324, −0.0010) | 0.0375 * | 0.0130 (−0.0026, 0.0286) | 0.1032 | −0.0034 (−0.0324, 0.0257) | 0.8206 |
| PM10-150 μg/m3-D5 | −0.0193 (−0.0371, −0.0015) | 0.0333 * | 0.0143 (−0.0034, 0.0319) | 0.1125 | −0.0058 (−0.0379, 0.0263) | 0.7223 |
| PM10-150 μg/m3-D6 | −0.0218 (−0.0414, −0.0021) | 0.0302 * | 0.0154 (−0.0041, 0.0349) | 0.1222 | −0.0063 (−0.0413, 0.0286) | 0.7229 |
| PM10-150 μg/m3-D7 | −0.0242 (−0.0458, −0.0027) | 0.0275 * | 0.0179 (−0.0035, 0.0393) | 0.1011 | −0.0062 (−0.0442, 0.0318) | 0.7477 |
| PM10-150 μg/m3-D8 | −0.0264 (−0.0497, −0.0031) | 0.0263 * | 0.0200 (−0.0031, 0.0431) | 0.0898 | −0.0053 (−0.0461, 0.0355) | 0.7996 |
Disclaimer/Publisher’s Note: The statements, opinions and data contained in all publications are solely those of the individual author(s) and contributor(s) and not of MDPI and/or the editor(s). MDPI and/or the editor(s) disclaim responsibility for any injury to people or property resulting from any ideas, methods, instructions or products referred to in the content. |
© 2025 by the authors. Licensee MDPI, Basel, Switzerland. This article is an open access article distributed under the terms and conditions of the Creative Commons Attribution (CC BY) license (https://creativecommons.org/licenses/by/4.0/).
Share and Cite
Zhang, W.; Qu, R.; Cheng, G.; Wang, J.; Yin, T.; Liu, J.; Tang, D.; Zhang, Y. Association Between Fine Particle Waves and Sexual Function: A Nationwide Cross-Sectional Survey in China. Toxics 2025, 13, 39. https://doi.org/10.3390/toxics13010039
Zhang W, Qu R, Cheng G, Wang J, Yin T, Liu J, Tang D, Zhang Y. Association Between Fine Particle Waves and Sexual Function: A Nationwide Cross-Sectional Survey in China. Toxics. 2025; 13(1):39. https://doi.org/10.3390/toxics13010039
Chicago/Turabian StyleZhang, Weiqian, Rui Qu, Guan Cheng, Jingxuan Wang, Tailang Yin, Jue Liu, Dongdong Tang, and Yan Zhang. 2025. "Association Between Fine Particle Waves and Sexual Function: A Nationwide Cross-Sectional Survey in China" Toxics 13, no. 1: 39. https://doi.org/10.3390/toxics13010039
APA StyleZhang, W., Qu, R., Cheng, G., Wang, J., Yin, T., Liu, J., Tang, D., & Zhang, Y. (2025). Association Between Fine Particle Waves and Sexual Function: A Nationwide Cross-Sectional Survey in China. Toxics, 13(1), 39. https://doi.org/10.3390/toxics13010039

