Assessment of Polycyclic Aromatic Hydrocarbon Exposure in Trainee Firefighters Using PAH CALUX Bioassay
Abstract
1. Introduction
2. Materials and Methods
2.1. Subjects and Study Design
2.2. Sample Collection
2.2.1. Skin Wipe Samples
2.2.2. Urine Samples
2.3. Sample Extraction
2.3.1. Skin Wipe Samples
2.3.2. Urine Samples
2.4. PAH CALUX Bioassay
2.5. Chemical Analysis
2.5.1. Skin Wipe Samples
2.5.2. Urine Samples
2.6. Statistical Analysis
3. Results
3.1. Levels of PAHs and B[a]P Equivalents After vs. Before Firefighting Sessions with Combustion of Wood or Gas, or Without Fire
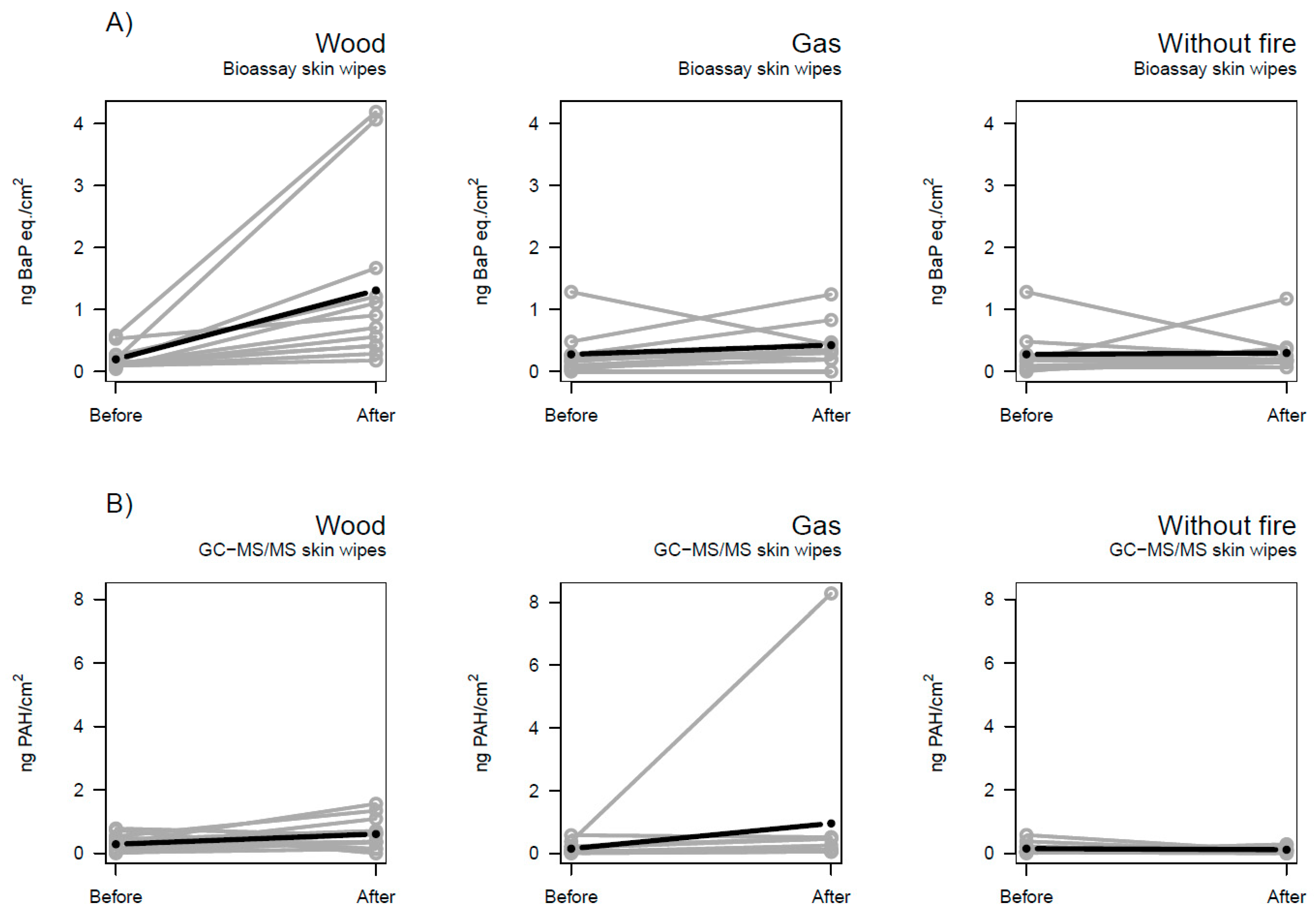
3.1.1. Skin Wipes
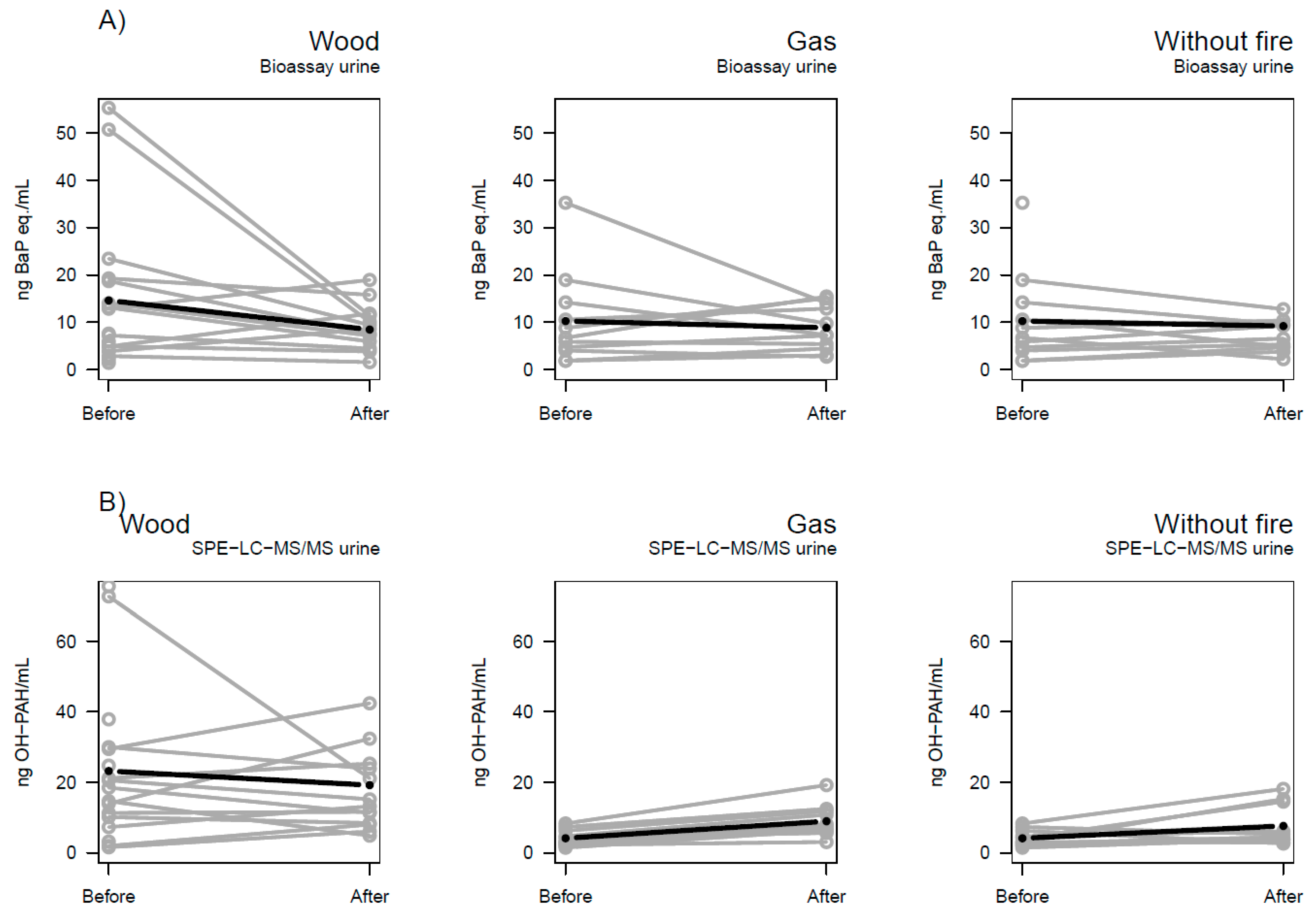
3.1.2. Urine
3.2. Effect Sizes (Percentage Change) Between Baseline and After Firefighting Session
3.3. Association Between PAH Level and Exposure Scenario
4. Discussion
4.1. Urine Samples and Uncertainties
4.2. Urinary Metabolite Excretion Rate
4.3. Skin Wipe Samples
4.4. The Bioassay Response for Low- Versus High-Molecular-Weight PAHs
4.5. Correlation Between Bioassay and Chemical Analysis
4.6. Strengths and Limitations
5. Conclusions
Supplementary Materials
Author Contributions
Funding
Institutional Review Board Statement
Informed Consent Statement
Data Availability Statement
Acknowledgments
Conflicts of Interest
References
- DeBono, N.L.; Daniels, R.D.; Beane Freeman, L.E.; Graber, J.M.; Hansen, J.; Teras, L.R.; Driscoll, T.; Kjaerheim, K.; Demers, P.A.; Glass, D.C.; et al. Firefighting and Cancer: A Meta-analysis of Cohort Studies in the Context of Cancer Hazard Identification. Saf. Health Work 2023, 14, 141–152. [Google Scholar] [CrossRef] [PubMed]
- Pedersen, J.E.; Ugelvig Petersen, K.; Ebbehøj, N.E.; Bonde, J.P.; Hansen, J. Incidence of cardiovascular disease in a historical cohort of Danish firefighters. Occup. Environ. Med. 2018, 75, 337–343. [Google Scholar] [CrossRef] [PubMed]
- Wolkow, A.; Netto, K.; Langridge, P.; Green, J.; Nichols, D.; Sergeant, M.; Aisbett, B. Coronary Heart Disease Risk in Volunteer Firefighters in Victoria, Australia. Arch. Environ. Occup. Health 2014, 69, 112–120. [Google Scholar] [CrossRef] [PubMed]
- Petersen, K.U.; Hansen, J.; Ebbehoej, N.E.; Bonde, J.P. Infertility in a Cohort of Male Danish Firefighters: A Register-Based Study. Am. J. Epidemiol. 2019, 188, 339–346. [Google Scholar] [CrossRef]
- Engelsman, M.; Toms, L.-M.L.; Wang, X.; Banks, A.P.W.; Blake, D. Effects of firefighting on semen parameters: An exploratory study. Reprod. Fertil. 2021, 2, L13–L15. [Google Scholar] [CrossRef]
- Pedersen, J.E.; Petersen, K.U.; Andersen, M.H.G.; Saber, A.T.; Vogel, U.; Ebbehøj, N.E.; Jensen, T.K.; Wils, R.S.; Bonde, J.P.; Hansen, J. Cancer incidence in a cohort of Danish firefighters: An extended long-term follow-up 1968–2021. Am. J. Ind. Med. 2024, 67, 857–864. [Google Scholar] [CrossRef]
- IARC. Occupational exposure as a firefighter. In IARC Monographs on the Identification of Carcinogenic Hazards to Humans; World Health Organization—International Agency for Research on Cancer: Lyon, France, 2023; Volume 132. [Google Scholar]
- Jahnke, S.A.; Jitnarin, N.; Kaipust, C.M.; Hollerbach, B.S.; Naylor, B.M.; Crisp, C. Fireground Exposure of Firefighters: A Literature Review; NFPA: Quincy, MA, USA, 2021. [Google Scholar]
- Achten, C.; Andersson, J.T. Overview of Polycyclic Aromatic Compounds (PAC). Polycycl. Aromat. Comp. 2015, 35, 177–186. [Google Scholar] [CrossRef] [PubMed]
- IARC. Some Non-Heterocyclic Polycyclic Aromatic Hydrocarbons and Some Related Exposures. In IARC Monographs on the Identification of Carcinogenic Hazards to Humans; World Health Organization—International Agency for Research on Cancer: Lyon, France, 2010; Volume 92. [Google Scholar]
- Wingfors, H.; Nyholm, J.R.; Magnusson, R.; Wijkmark, C.H. Impact of Fire Suit Ensembles on Firefighter PAH Exposures as Assessed by Skin Deposition and Urinary Biomarkers. Ann. Work. Expo. Health 2018, 62, 221–231. [Google Scholar] [CrossRef]
- Fernando, S.; Shaw, L.; Shaw, D.; Gallea, M.; VandenEnden, L.; House, R.; Verma, D.K.; Britz-McKibbin, P.; McCarry, B.E. Evaluation of Firefighter Exposure to Wood Smoke during Training Exercises at Burn Houses. Environ. Sci. Technol. 2016, 50, 1536–1543. [Google Scholar] [CrossRef]
- Laitinen, J.; Mäkelä, M.; Mikkola, J.; Huttu, I. Fire fighting trainers’ exposure to carcinogenic agents in smoke diving simulators. Toxicol. Lett. 2010, 192, 61–65. [Google Scholar] [CrossRef]
- Stec, A.A.; Dickens, K.E.; Salden, M.; Hewitt, F.E.; Watts, D.P.; Houldsworth, P.E.; Martin, F.L. Occupational Exposure to Polycyclic Aromatic Hydrocarbons and Elevated Cancer Incidence in Firefighters. Sci. Rep. 2018, 8, 2476. [Google Scholar] [CrossRef] [PubMed]
- Fent, K.W.; Alexander, B.; Roberts, J.; Robertson, S.; Toennis, C.; Sammons, D.; Bertke, S.; Kerber, S.; Smith, D.; Horn, G. Contamination of firefighter personal protective equipment and skin and the effectiveness of decontamination procedures. J. Occup. Environ. Hyg. 2017, 14, 801–814. [Google Scholar] [CrossRef] [PubMed]
- Fent, K.W.; Toennis, C.; Sammons, D.; Robertson, S.; Bertke, S.; Calafat, A.M.; Pleil, J.D.; Wallace, M.A.G.; Kerber, S.; Smith, D.; et al. Firefighters’ absorption of PAHs and VOCs during controlled residential fires by job assignment and fire attack tactic. J. Expo. Sci. Environ. Epidemiol. 2020, 30, 338–349. [Google Scholar] [CrossRef] [PubMed]
- Stec, A.A. Fire toxicity—The elephant in the room? Fire Saf. J. 2017, 91, 79–90. [Google Scholar] [CrossRef]
- NIOSH. Evaluation of Dermal Exposure to Polycyclic Aromatic Hydrocarbons in Fire Fighters; U.S. Department of Health and Human Services, Centers for Disease Control and Prevention, National Institute for Occupational Safety and Health: Cincinnati, OH, USA, 2013.
- Fent, K.W.; Eisenberg, J.; Snawder, J.; Sammons, D.; Pleil, J.D.; Stiegel, M.A.; Mueller, C.; Horn, G.P.; Dalton, J. Systemic exposure to PAHs and benzene in firefighters suppressing controlled structure fires. Ann. Occup. Hyg. 2014, 58, 830–845. [Google Scholar] [CrossRef]
- Beitel, S.C.; Flahr, L.M.; Hoppe-Jones, C.; Burgess, J.L.; Littau, S.R.; Gulotta, J.; Moore, P.; Wallentine, D.; Snyder, S.A. Assessment of the toxicity of firefighter exposures using the PAH CALUX bioassay. Environ. Int. 2019, 135, 105207. [Google Scholar] [CrossRef]
- Andersen, M.H.G.; Saber, A.T.; Clausen, P.A.; Pedersen, J.E.; Lohr, M.; Kermanizadeh, A.; Loft, S.; Ebbehoj, N.; Hansen, A.M.; Pedersen, P.B.; et al. Association between polycyclic aromatic hydrocarbon exposure and peripheral blood mononuclear cell DNA damage in human volunteers during fire extinction exercises. Mutagenesis 2018, 33, 105–115. [Google Scholar] [CrossRef]
- Fent, K.W.; Mayer, A.; Bertke, S.; Kerber, S.; Smith, D.; Horn, G.P. Understanding airborne contaminants produced by different fuel packages during training fires. J. Occup. Environ. Hyg. 2019, 16, 532–543. [Google Scholar] [CrossRef]
- Keir, J.L.A.; Akhtar, U.S.; Matschke, D.M.J.; Kirkham, T.L.; Chan, H.M.; Ayotte, P.; White, P.A.; Blais, J.M. Elevated Exposures to Polycyclic Aromatic Hydrocarbons and Other Organic Mutagens in Ottawa Firefighters Participating in Emergency, On-Shift Fire Suppression. Environ. Sci. Technol. 2017, 51, 12745–12755. [Google Scholar] [CrossRef]
- Mumtaz, M.M.; George, J.D.; Gold, K.W.; Cibulas, W.; Derosa, C.T. Atsdr Evaluation of Health Effects of Chemicals. Iv. Polycyclic Aromatic Hydrocarbons (PAHs): Understanding a Complex Problem. Toxicol. Ind. Health 1996, 12, 742–971. [Google Scholar] [CrossRef]
- Wise, S.A.; Sander, L.C.; Schantz, M.M. Analytical Methods for Determination of Polycyclic Aromatic Hydrocarbons (PAHs)—A Historical Perspective on the 16 U.S. EPA Priority Pollutant PAHs. Polycycl. Aromat. Comp. 2015, 35, 187–247. [Google Scholar] [CrossRef]
- Keith, L.H. The Source of U.S. EPA’s Sixteen PAH Priority Pollutants. Polycycl. Aromat. Comp. 2015, 35, 147–160. [Google Scholar] [CrossRef]
- Pieterse, B.; Felzel, E.; Winter, R.; van der Burg, B.; Brouwer, A. PAH-CALUX, an optimized bioassay for AhR-mediated hazard identification of polycyclic aromatic hydrocarbons (PAHs) as individual compounds and in complex mixtures. Environ. Sci. Technol. 2013, 47, 11651–11659. [Google Scholar] [CrossRef] [PubMed]
- Sonneveld, E.; van den Brink, C.E.; Zeinstra, L.M.; Jansen, J.H.J.; van der Saag, P.T.; Brouwer, A.; van der Burg, B. Development of improved DR-CALUX bioassay for sensitive measurement of aryl hydrocarbon receptor activating compounds. Organohalogen Compd. 2002, 58, 369–372. [Google Scholar]
- Lo, R.; Matthews, J. High-resolution genome-wide mapping of AHR and ARNT binding sites by ChIP-Seq. Toxicol. Sci. 2012, 130, 349–361. [Google Scholar] [CrossRef]
- Beischlag, T.V.; Perdew, G.H. ERα-AHR-ARNT Protein-Protein Interactions Mediate Estradiol-dependent Transrepression of Dioxin-inducible Gene Transcription. J. Biol. Chem. 2005, 280, 21607–21611. [Google Scholar] [CrossRef]
- Nebert, D.W.; Dalton, T.P. The role of cytochrome P450 enzymes in endogenous signalling pathways and environmental carcinogenesis. Nat. Reviews. Cancer 2006, 6, 947–960. [Google Scholar] [CrossRef]
- Safe, S.; Lee, S.-O.; Jin, U.-H. Role of the Aryl Hydrocarbon Receptor in Carcinogenesis and Potential as a Drug Target. Toxicol. Sci. 2013, 135, 1–16. [Google Scholar] [CrossRef] [PubMed]
- Murray, I.A.; Patterson, A.D.; Perdew, G.H. Aryl hydrocarbon receptor ligands in cancer: Friend and foe. Nat. Reviews. Cancer 2014, 14, 801–814. [Google Scholar] [CrossRef]
- Behnisch, P.A.; Hosoe, K.; Sakai, S. Bioanalytical screening methods for dioxins and dioxin-like compounds—A review of bioassay/biomarker technology. Environ. Int. 2001, 27, 413–439. [Google Scholar] [CrossRef]
- Wang, Z.; Snyder, M.; Kenison, J.E.; Yang, K.; Lara, B.; Lydell, E.; Bennani, K.; Novikov, O.; Federico, A.; Monti, S.; et al. How the AHR Became Important in Cancer: The Role of Chronically Active AHR in Cancer Aggression. Int. J. Mol. Sci. 2020, 22, 387. [Google Scholar] [CrossRef] [PubMed]
- Masaki, T.; Okazawa, M.; Asano, R.; Inagaki, T.; Ishibashi, T.; Yamagishi, A.; Umeki-Mizushima, S.; Nishimura, M.; Manabe, Y.; Ishibashi-Ueda, H.; et al. Aryl hydrocarbon receptor is essential for the pathogenesis of pulmonary arterial hypertension. Proc. Natl. Acad. Sci. USA 2021, 118, e2023899118. [Google Scholar] [CrossRef] [PubMed]
- Nayak, J.; Jena, S.R.; Kumar, S.; Kar, S.; Dixit, A.; Samanta, L. Human sperm proteome reveals the effect of environmental borne seminal polyaromatic hydrocarbons exposome in etiology of idiopathic male factor infertility. Front. Cell Dev. Biol. 2023, 11, 1117155. [Google Scholar] [CrossRef] [PubMed]
- Gaudreau, É.; Bérubé, R.; Bienvenu, J.F.; Fleury, N. Stability issues in the determination of 19 urinary (free and conjugated) monohydroxy polycyclic aromatic hydrocarbons. Anal. Bioanal. Chem. 2016, 408, 4021–4033. [Google Scholar] [CrossRef] [PubMed]
- Nübler, S.; López, M.E.; Castaño, A.; Mol, H.G.J.; Müller, J.; Schäfer, M.; Haji-Abbas-Zarrabi, K.; Hajslova, J.; Pulkrabova, J.; Dvorakova, D.; et al. External Quality Assurance Schemes (EQUASs) and Inter-laboratory Comparison Investigations (ICIs) for human biomonitoring of polycyclic aromatic hydrocarbon (PAH) biomarkers in urine as part of the quality assurance programme under HBM4EU. Int. J. Hyg. Environ. Health 2023, 250, 114169. [Google Scholar] [CrossRef] [PubMed]
- Frederiksen, M.; Jensen, S.P.; Andersen, M.H.G.; Vogel, U.; Saber, A.T. Online SPE-LC-MS-MS method for eight hydroxylated metabolites of polycyclic aromatic hydrocarbons in urine and determination of optimal sampling time after firefighter training. Toxicol. Lett. 2024, 400, 9–15. [Google Scholar] [CrossRef] [PubMed]
- Saber, A.T.; Levin, M.; Kines, P.; Aimonen, K.; Givelet, L.; Andersen, C.; Huusom, A.J.; Carøe, T.; Ebbehøj, N.E.; Christensen, F.M.; et al. The SAM-Krom biomonitoring study shows occupational exposure to hexavalent chromium and increased genotoxicity in Denmark. Int. J. Hyg. Environ. Health 2024, 114444. [Google Scholar] [CrossRef] [PubMed]
- Bates, D.; Mächler, M.; Bolker, B.; Walker, S. Fitting Linear Mixed-Effects Models Using lme4. J. Stat. Softw. 2015, 67, 1–48. [Google Scholar] [CrossRef]
- Boonen, I.; Van Heyst, A.; Van Langenhove, K.; Van Hoeck, E.; Mertens, B.; Denison, M.S.; Elskens, M.; Demaegdt, H. Assessing the receptor-mediated activity of PAHs using AhR-, ERα- and PPARγ- CALUX bioassays. Food Chem. Toxicol. 2020, 145, 111602. [Google Scholar] [CrossRef]
- Bader, M.; Baecker, S.; Jaeger, T.; Webendoerfer, S.; Van Bortel, G.; Van Mieghem, F.; Van Weyenbergh, T. Preparedness as a key factor for human biomonitoring programs after chemical incidents. J. Expo. Sci. Environ. Epidemiol. 2021, 31, 867–875. [Google Scholar] [CrossRef]
- Oliveira, M.; Slezakova, K.; Alves, M.J.; Fernandes, A.; Teixeira, J.P.; Delerue-Matos, C.; Pereira, M.d.C.; Morais, S. Firefighters’ exposure biomonitoring: Impact of firefighting activities on levels of urinary monohydroxyl metabolites. Int. J. Hyg. Environ. Health 2016, 219, 857–866. [Google Scholar] [CrossRef] [PubMed]
- Rossbach, B.; Wollschläger, D.; Letzel, S.; Gottschalk, W.; Muttray, A. Internal exposure of firefighting instructors to polycyclic aromatic hydrocarbons (PAH) during live fire training. Toxicol. Lett. 2020, 331, 102–111. [Google Scholar] [CrossRef] [PubMed]
- Fent, K.W.; Toennis, C.; Sammons, D.; Robertson, S.; Bertke, S.; Calafat, A.M.; Pleil, J.D.; Geer Wallace, M.A.; Kerber, S.; Smith, D.L.; et al. Firefighters’ and instructors’ absorption of PAHs and benzene during training exercises. Int. J. Hyg. Env. Health 2019, 222, 991–1000. [Google Scholar] [CrossRef] [PubMed]
- Jongeneelen, F.J. A guidance value of 1-hydroxypyrene in urine in view of acceptable occupational exposure to polycyclic aromatic hydrocarbons. Toxicol. Lett. 2014, 231, 239–248. [Google Scholar] [CrossRef]
- Vondracek, J.; Machala, M. The Role of Metabolism in Toxicity of Polycyclic Aromatic Hydrocarbons and their Non-genotoxic Modes of Action. Curr. Drug Metab. 2021, 22, 584–595. [Google Scholar] [CrossRef]


| Skin Wipe Analysis | Unit | Wood After vs. Before Session | Gas After vs. Before Session | Without Fire After vs. Before Session | |||
|---|---|---|---|---|---|---|---|
| % Change (95% CI) | p-Value | % Change (95% CI) | p-Value | % Change (95% CI) | p-Value | ||
| Skin wipe bioassay | ng B[a]P eq./cm2 | 412.1 (181.8; 747.6) | 3.0 × 10−6 | 53.9 (−20.6; 189.1) | 0.21 | 29.1 (−32.4; 146.6) | 0.45 |
| Skin wipe GC-MS/MS | ng PAH /cm2 | 82.9 (0.3; 212.1) | 0.05 | 54.8 (−31.0; 231.0) | 0.30 | −15.9 (−55.0; 86.3) | 0.67 |
| Urine Analysis | Unit | Wood After vs. Before Session | Gas After vs. Before Session | Without Fire After vs. Before Session | |||
|---|---|---|---|---|---|---|---|
| % Change (95% CI) | p-Value | % Change (95% CI) | p-Value | % Change (95% CI) | p-Value | ||
| Urine Bioassay | ng B[a]P eq./mL | −25.2 (−53.0; 19.2) | 0.22 | 5.6 (−37.4; 78.4) | 0.84 | −8.2 (−46.5; 57.4) | 0.76 |
| Urine SPE-LC-MS/MS | ng OH-PAH/mL | 2.8 (−34.1; 60.4) | 0.90 | 123.9 (35.9; 268.9) | 0.002 | 56.8 (−6.2; 162.2) | 0.086 |
| Skin Wipes | Odds Ratio | 95% CI |
|---|---|---|
| Skin Wipes Bioassay | 8.5 | 1.8; 39.4 |
| Skin Wipes GC-MS/MS | 25.9 | 2.3; 288.1 |
| Skin Wipes Combined (Bioassay and GC-MS/MS) | 59.6 | 4.5; 786.1 |
Disclaimer/Publisher’s Note: The statements, opinions and data contained in all publications are solely those of the individual author(s) and contributor(s) and not of MDPI and/or the editor(s). MDPI and/or the editor(s) disclaim responsibility for any injury to people or property resulting from any ideas, methods, instructions or products referred to in the content. |
© 2024 by the authors. Licensee MDPI, Basel, Switzerland. This article is an open access article distributed under the terms and conditions of the Creative Commons Attribution (CC BY) license (https://creativecommons.org/licenses/by/4.0/).
Share and Cite
Grünfeld, J.; Møller, P.; Vogel, U.; Jensen, S.P.; Kofoed-Sørensen, V.; Andersen, M.H.G. Assessment of Polycyclic Aromatic Hydrocarbon Exposure in Trainee Firefighters Using PAH CALUX Bioassay. Toxics 2024, 12, 825. https://doi.org/10.3390/toxics12110825
Grünfeld J, Møller P, Vogel U, Jensen SP, Kofoed-Sørensen V, Andersen MHG. Assessment of Polycyclic Aromatic Hydrocarbon Exposure in Trainee Firefighters Using PAH CALUX Bioassay. Toxics. 2024; 12(11):825. https://doi.org/10.3390/toxics12110825
Chicago/Turabian StyleGrünfeld, Johanna, Peter Møller, Ulla Vogel, Simon Pelle Jensen, Vivi Kofoed-Sørensen, and Maria Helena Guerra Andersen. 2024. "Assessment of Polycyclic Aromatic Hydrocarbon Exposure in Trainee Firefighters Using PAH CALUX Bioassay" Toxics 12, no. 11: 825. https://doi.org/10.3390/toxics12110825
APA StyleGrünfeld, J., Møller, P., Vogel, U., Jensen, S. P., Kofoed-Sørensen, V., & Andersen, M. H. G. (2024). Assessment of Polycyclic Aromatic Hydrocarbon Exposure in Trainee Firefighters Using PAH CALUX Bioassay. Toxics, 12(11), 825. https://doi.org/10.3390/toxics12110825

