MiR-101-3p Promotes Tumor Cell Proliferation and Migration via the Wnt Signal Pathway in MNNG-Induced Esophageal Squamous Cell Carcinoma
Abstract
1. Introduction
2. Materials and Methods
2.1. Epidemiological Survey and Specimen Collection
2.2. Nitrite Detection in Urine Samples and RNA Sequencing in Tissue Samples
2.3. MiR-101-3p Expression Validation in the TCGA, GEO Genome Databases, ESCC Patients Tissue Samples, and Cell Line
2.4. MiR-101-3p Target Genes Prediction and Functional Analysis
2.5. Esophageal Injury Rats Modeled by Subchronic Exposure to MNNG and Hematoxylin-Eosin Staining
2.6. Cell Culture, Cell Staining and Cell Transfection
2.7. In Vitro Cell Proliferation, Migration Cell Cycle and Apoptosis Assay
2.8. Western Blotting Assay and Immunohistochemistry
2.9. Statistical Analysis
3. Results
3.1. Association Between the Diet Lifestyle Behaviors and Risks of ESCC
3.2. RNA Sequencing Suggests That miR-101-3p Is Down-Regulated in ESCC Tissues
3.3. RT-qPCR Indicates That miR-101-3p Is Down-Regulated in ESCC Tissues and Cells and Can Promote Tumor Growth
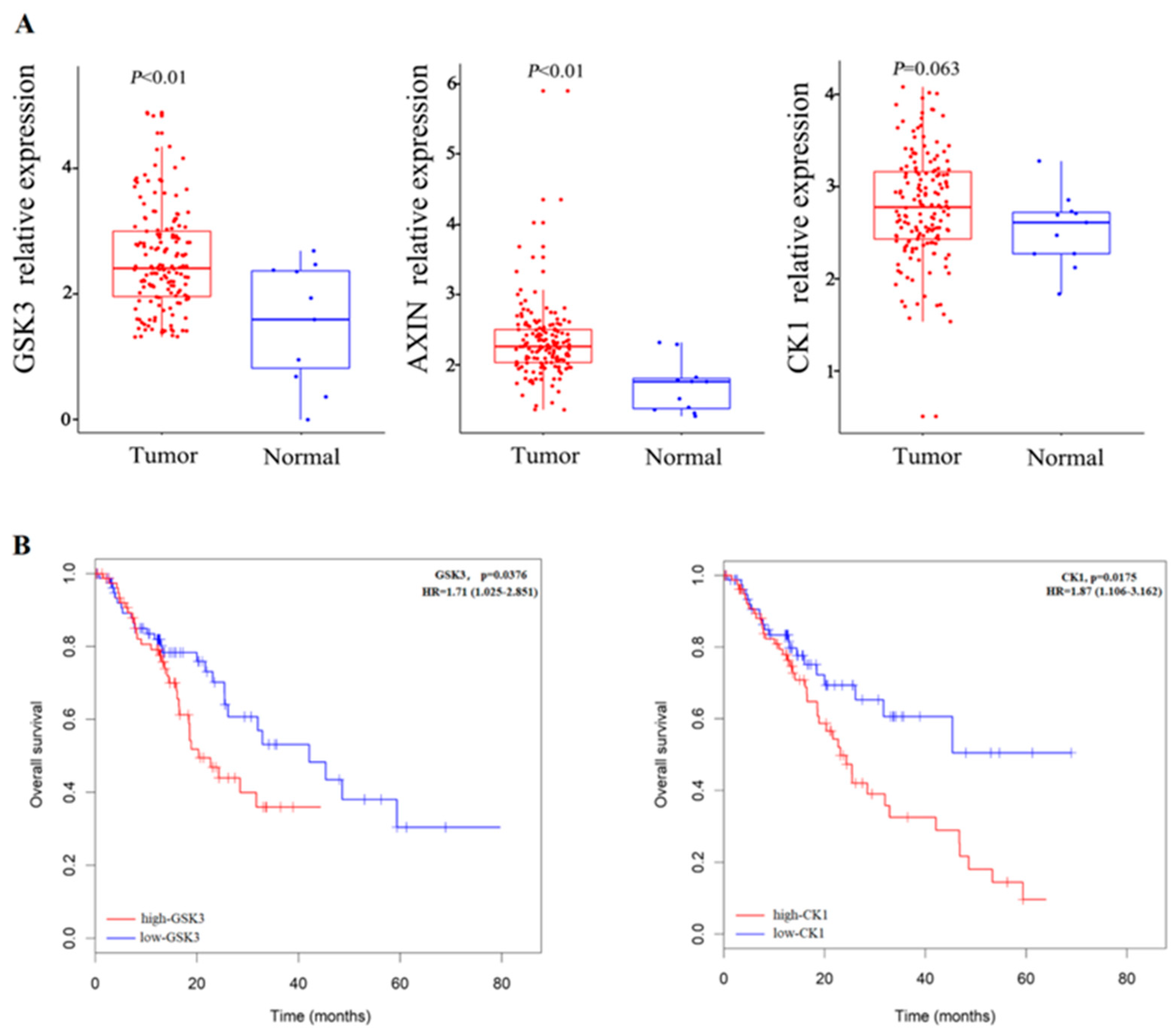
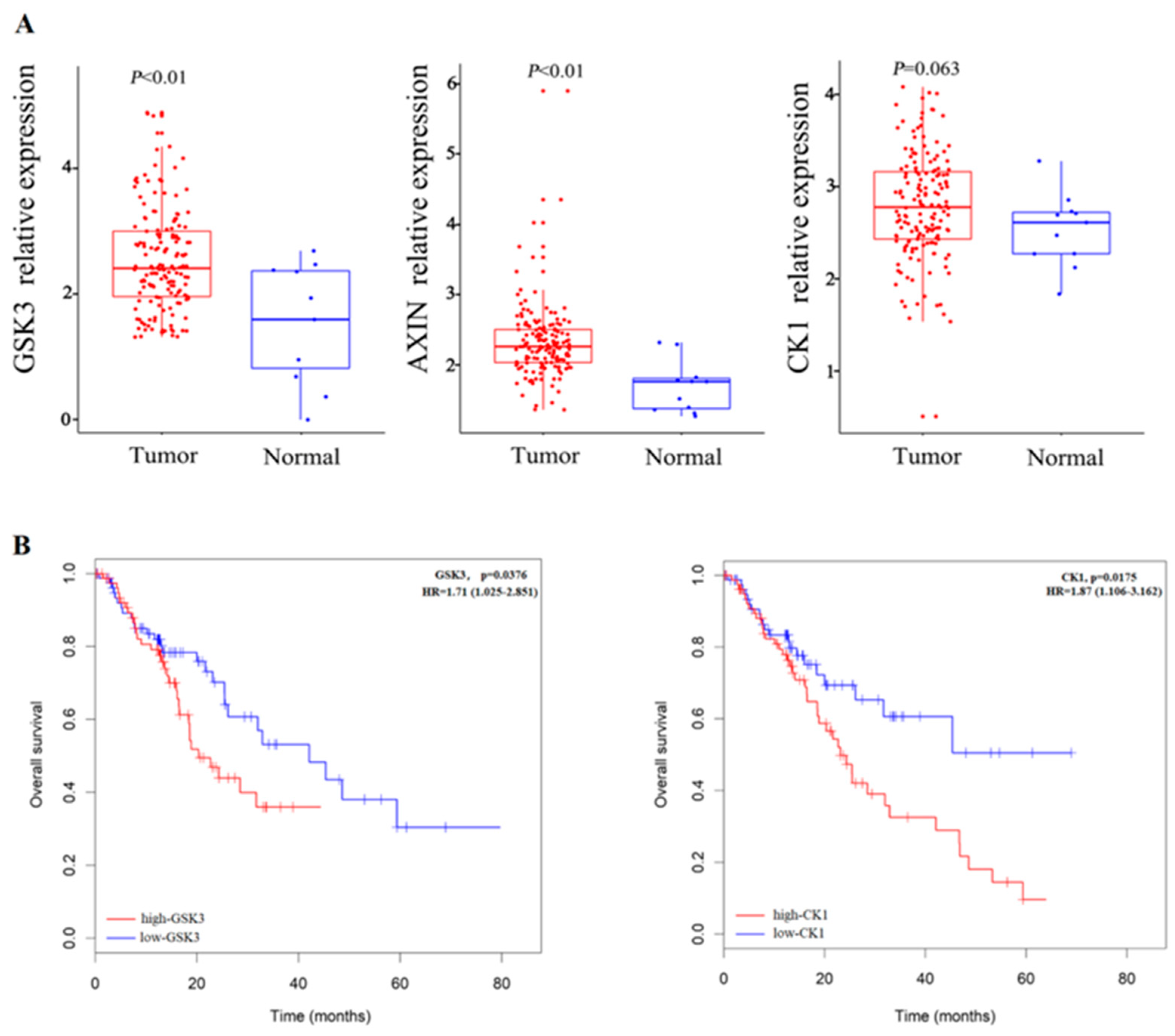
3.4. Transcription Factors of miR-101-3p Target Genes Are Involved in the Regulation of the Wnt Signaling Pathway
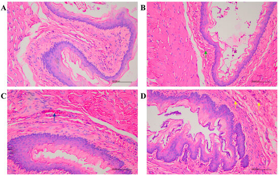
3.5. Subchronic Exposure to MNNG Induces Rat Esophagus Damage
3.6. Biological Function of miR-101-3p in MNNG-Induced Proliferation of Eca109 Cells
3.7. Regulatory Mechanism of miR-101-3p in MNNG Promoted ESCC
4. Discussion
5. Conclusions
Author Contributions
Funding
Institutional Review Board Statement
Informed Consent Statement
Data Availability Statement
Conflicts of Interest
References
- Wang, J.; Yang, X.; Li, R.; Zhang, R.; Hu, D.; Zhang, Y.; Gao, L. LncRNA SNHG6 Inhibits Apoptosis by Regulating EZH2 Expression via the Sponging of MiR-101-3p in Esophageal Squamous-Cell Carcinoma. Onco Targets Ther. 2020, 13, 11411–11420. [Google Scholar] [CrossRef] [PubMed]
- Niu, C.; Liu, Y.; Wang, J.; Liu, Y.; Zhang, S.; Zhang, Y.; Zhang, L.; Zhao, D.; Liu, F.; Chao, L.; et al. Risk factors for esophageal squamous cell carcinoma and its histological precursor lesions in China: A multicenter cross-sectional study. BMC Cancer 2021, 21, 1034. [Google Scholar] [CrossRef] [PubMed]
- Puhr, H.C.; Prager, G.W.; Ilhan-Mutlu, A. How we treat esophageal squamous cell carcinoma. ESMO Open 2023, 8, 100789. [Google Scholar] [CrossRef]
- Zhang, Y.; Zheng, Y.; Pan, E.; Zhao, C.; Zhang, H.; Liu, R.; Wang, S.; Pu, Y.; Yin, L. Synergism of HPV and MNNG repress miR-218 promoting Het-1A cell malignant transformation by targeting GAB2. Toxicology 2021, 447, 152635. [Google Scholar] [CrossRef]
- Miri, H.; Bathaie, S.Z.; Mohagheghi, M.A.; Mokhtari-Dizaji, M.; Shahbazfar, A.A. A noninvasive method for early detection of MNNG-induced gastric cancer of male Wistar rat: Ultrasonic study. Ultrasound Med. Biol. 2011, 37, 780–787. [Google Scholar] [CrossRef] [PubMed]
- Vasilieva, A.A.; Timechko, E.E.; Lysova, K.D.; Paramonova, A.I.; Yakimov, A.M.; Kantimirova, E.A.; Dmitrenko, D.V. MicroRNAs as Potential Biomarkers of Post-Traumatic Epileptogenesis: A Systematic Review. Int. J. Mol. Sci. 2023, 24, 15366. [Google Scholar] [CrossRef]
- Rezaei, M.; Faramarzpour, M.; Shobeiri, P.; Seyedmirzaei, H.; Sarasyabi, M.S.; Dabiri, S. A systematic review, meta-analysis, and network analysis of diagnostic microRNAs in glaucoma. Eur. J. Med. Res. 2023, 28, 137. [Google Scholar] [CrossRef]
- Ferragut Cardoso, A.P.; Banerjee, M.; Nail, A.N.; Lykoudi, A.; States, J.C. miRNA dysregulation is an emerging modulator of genomic instability. Semin. Cancer Biol. 2021, 76, 120–131. [Google Scholar] [CrossRef]
- Liu, X.; Wu, W.; Zhang, S.; Tan, W.; Qiu, Y.; Liao, K.; Yang, K. Effect of miR-630 expression on esophageal cancer cell invasion and migration. J. Clin. Lab. Anal. 2021, 35, e23815. [Google Scholar] [CrossRef]
- Zhang, K.; Ye, B.; Wu, L.; Ni, S.; Li, Y.; Wang, Q.; Zhang, P.; Wang, D. Machine learning-based prediction of survival prognosis in esophageal squamous cell carcinoma. Sci. Rep. 2023, 13, 13532. [Google Scholar] [CrossRef]
- Tong, Y.; Liu, L.; Wang, R.; Yang, T.; Wen, J.; Wei, S.; Jing, M.; Zou, W.; Zhao, Y. Berberine Attenuates Chronic Atrophic Gastritis Induced by MNNG and Its Potential Mechanism. Front. Pharmacol. 2021, 12, 644638. [Google Scholar] [CrossRef] [PubMed]
- Chen, Y.; Chen, W.; Huang, H.; Zeng, H.; Tan, L.; Pang, Y.; Ghani, J.; Qi, S. Occurrence of N-nitrosamines and their precursors in the middle and lower reaches of Yangtze River water. Environ. Res. 2021, 195, 110673. [Google Scholar] [CrossRef] [PubMed]
- Luo, Q.; Bei, E.; Liu, C.; Deng, Y.L.; Miao, Y.; Qiu, Y.; Lu, W.Q.; Chen, C.; Zeng, Q. Spatial, temporal variability and carcinogenic health risk assessment of nitrosamines in a drinking water system in China. Sci. Total Environ. 2020, 736, 139695. [Google Scholar] [CrossRef]
- Hindson, J. Salivary miRNA signature for ESCC. Nat. Rev. Gastroenterol. Hepatol. 2023, 20, 559. [Google Scholar] [CrossRef]
- Hu, S.; Zhang, J.; Guo, G.; Zhang, L.; Dai, J.; Gao, Y. Comprehensive analysis of GSEC/miR-101-3p/SNX16/PAPOLG axis in hepatocellular carcinoma. PLoS ONE 2022, 17, e0267117. [Google Scholar] [CrossRef]
- Gu, Z.; You, Z.; Yang, Y.; Ding, R.; Wang, M.; Pu, J.; Chen, J. Inhibition of MicroRNA miR-101-3p on prostate cancer progression by regulating Cullin 4B (CUL4B) and PI3K/AKT/mTOR signaling pathways. Bioengineered 2021, 12, 4719–4735. [Google Scholar] [CrossRef]
- Ji, L.; Yang, T.; Liu, M.; Li, J.; Si, Q.; Wang, Y.; Liu, J.; Dai, L. Construction of lncRNA TYMSOS/hsa-miR-101-3p/CEP55 and TYMSOS/hsa-miR-195-5p/CHEK1 Axis in Non-small Cell Lung Cancer. Biochem. Genet. 2023, 61, 995–1014. [Google Scholar] [CrossRef] [PubMed]
- Gong, J.; Chu, Y.; Xu, M.; Huo, J.; Lv, L. Esophageal squamous cell carcinoma cell proliferation induced by exposure to low concentration of cigarette smoke extract is mediated via targeting miR-101-3p/COX-2 pathway. Oncol. Rep. 2016, 35, 463–471. [Google Scholar] [CrossRef]
- Lin, C.; Huang, F.; Li, Q.Z.; Zhang, Y.J. miR-101 suppresses tumor proliferation and migration, and induces apoptosis by targeting EZH2 in esophageal cancer cells. Int. J. Clin. Exp. Pathol. 2014, 7, 6543–6550. [Google Scholar]
- Santos, A.S.; Cunha Neto, E.; Fukui, R.T.; Ferreira, L.R.P.; Silva, M.E.R. Increased Expression of Circulating microRNA 101-3p in Type 1 Diabetes Patients: New Insights Into miRNA-Regulated Pathophysiological Pathways for Type 1 Diabetes. Front. Immunol. 2019, 10, 1637. [Google Scholar] [CrossRef]
- Kong, X.; Zhao, Y.; Li, X.; Tao, Z.; Hou, M.; Ma, H. Overexpression of HIF-2α-Dependent NEAT1 Promotes the Progression of Non-Small Cell Lung Cancer through miR-101-3p/SOX9/Wnt/β-Catenin Signal Pathway. Cell Physiol. Biochem. 2019, 52, 368–381. [Google Scholar] [PubMed]
- Liang, H.W.; Yang, X.; Wen, D.Y.; Gao, L.; Zhang, X.Y.; Ye, Z.H.; Luo, J.; Li, Z.Y.; He, Y.; Pang, Y.Y.; et al. Utility of miR-133a-3p as a diagnostic indicator for hepatocellular carcinoma: An investigation combined with GEO, TCGA, meta-analysis and bioinformatics. Mol. Med. Rep. 2018, 17, 1469–1484. [Google Scholar] [CrossRef] [PubMed]
- Neiheisel, A.; Kaur, M.; Ma, N.; Havard, P.; Shenoy, A.K. Wnt pathway modulators in cancer therapeutics: An update on completed and ongoing clinical trials. Int. J. Cancer 2022, 150, 727–740. [Google Scholar] [CrossRef] [PubMed]
- Bugter, J.M.; Fenderico, N.; Maurice, M.M. Mutations and mechanisms of WNT pathway tumour suppressors in cancer. Nat. Rev. Cancer 2021, 21, 5–21. [Google Scholar] [CrossRef]
- Zhu, Y.; Li, X. Advances of Wnt Signalling Pathway in Colorectal Cancer. Cells 2023, 12, 447. [Google Scholar] [CrossRef] [PubMed]
- Groenewald, W.; Lund, A.H.; Gay, D.M. The Role of WNT Pathway Mutations in Cancer Development and an Overview of Therapeutic Options. Cells 2023, 12, 990. [Google Scholar] [CrossRef]
- Li, Q.; Ye, L.; Zhang, X.; Wang, M.; Lin, C.; Huang, S.; Guo, W.; Lai, Y.; Du, H.; Li, J.; et al. FZD8, a target of p53, promotes bone metastasis in prostate cancer by activating canonical Wnt/β-catenin signaling. Cancer Lett. 2017, 402, 166–176. [Google Scholar] [CrossRef]
- Ji, L.; Lu, B.; Zamponi, R.; Charlat, O.; Aversa, R.; Yang, Z.; Sigoillot, F.; Zhu, X.; Hu, T.; Reece-Hoyes, J.S.; et al. USP7 inhibits Wnt/β-catenin signaling through promoting stabilization of Axin. Nat. Commun. 2019, 10, 4184. [Google Scholar] [CrossRef]
- Zhan, T.; Rindtorff, N.; Boutros, M. Wnt signaling in cancer. Oncogene 2017, 36, 1461–1473. [Google Scholar] [CrossRef]
- Lin, S.Y.; Xia, W.; Wang, J.C.; Kwong, K.Y.; Spohn, B.; Wen, Y.; Pestell, R.G.; Hung, M.C. Beta-catenin, a novel prognostic marker for breast cancer: Its roles in cyclin D1 expression and cancer progression. Proc. Natl. Acad. Sci. USA 2000, 97, 4262–4266. [Google Scholar] [CrossRef]
- Zhang, F.; Isak, A.N.; Yang, S.; Song, Y.; Ren, L.; Feng, C.; Chen, G. Smartly responsive DNA-miRNA hybrids packaged in exosomes for synergistic enhancement of cancer cell apoptosis. Nanoscale 2022, 14, 6612–6619. [Google Scholar] [CrossRef] [PubMed]
- Duan, J.; Yin, M.; Shao, Y.; Zheng, J.; Nie, S. Puerarin induces platinum-resistant epithelial ovarian cancer cell apoptosis by targeting SIRT1. J. Int. Med. Res. 2021, 49, 3000605211040762. [Google Scholar] [CrossRef] [PubMed]
- Liu, J.; Guo, Y.; Cao, J. Matrine triggers colon cancer cell apoptosis and G0/G1 cell cycle arrest via mediation of microRNA-22. Phytother. Res. 2020, 34, 1619–1628. [Google Scholar] [CrossRef] [PubMed]
- Zhang, Y.P.; Liu, K.L.; Wang, Y.X.; Yang, Z.; Han, Z.W.; Lu, B.S.; Qi, J.C.; Yin, Y.W.; Teng, Z.H.; Chang, X.L.; et al. Down-regulated RBM5 inhibits bladder cancer cell apoptosis by initiating an miR-432-5p/β-catenin feedback loop. Faseb J 2019, 33, 10973–10985. [Google Scholar] [CrossRef] [PubMed]
- Yan, Z.P.; Xu, T.T.; An, Z.T.; Hu, Y.; Chen, W.Z.; Zhu, F.S. Injury of human gastric epithelial GES-1 cells by MNNG and its effects on Wnt/β-catenin signaling pathway. Sheng Li Xue Bao 2018, 70, 262–268. [Google Scholar]
- Zhao, Y.; Li, B.; Wang, G.; Ge, S.; Lan, X.; Xu, G.; Liu, H. Dendrobium officinale Polysaccharides Inhibit 1-Methyl-2-Nitro-1-Nitrosoguanidine Induced Precancerous Lesions of Gastric Cancer in Rats through Regulating Wnt/β-Catenin Pathway and Altering Serum Endogenous Metabolites. Molecules 2019, 24, 2660. [Google Scholar] [CrossRef]
- Tang, Y.; Yang, P.; Zhu, Y.; Su, Y. LncRNA TUG1 contributes to ESCC progression via regulating miR-148a-3p/MCL-1/Wnt/β-catenin axis in vitro. Thorac. Cancer 2020, 11, 82–94. [Google Scholar] [CrossRef]









| Gene | Primer | Sequence |
|---|---|---|
| miR-101-3p | Forward primer | GCGCGCGTACAGTACTGTGATA |
| Reverse primer | AGTGCAGGGTCCGAGGTATT | |
| PT primer | GTCGTATCCAGTGCAGGGTCCGAGGTATTCGCACTGGA TACGACTTCAGT | |
| U6 | Forward primer | CTCGCTTCGGCAGCACA |
| Reverse primer | AACGCTTCACGAATTTGCGT |
| Variables | N | ESCC Patients (%) | Normal (%) | p |
|---|---|---|---|---|
| Smoking | 0.0691 | |||
| ≥7 days/week | 59 | 20 (33.90%) | 39 (66.10%) | |
| <7 days/week | 181 | 40 (22.10%) | 141 (77.90%) | |
| Alcohol | 0.1932 | |||
| ≥3 days/week | 72 | 22 (30.56%) | 50 (69.44%) | |
| <3 days/week | 168 | 38 (22.62%) | 130 (77.38%) | |
| Tea | 0.0025 * | |||
| ≥5 days/week | 71 | 27 (38.03%) | 44 (61.97%) | |
| <5 days/week | 169 | 33 (19.53%) | 136 (80.47%) | |
| Source of drinking water | 0.0111 * | |||
| Tap water | 57 | 7 (12.28%) | 50 (87.72%) | |
| Well, lake or river water | 183 | 53 (28.96%) | 130 (71.04%) | |
| Preserved foods | <0.0001 * | |||
| ≥4 days/week | 111 | 44 (39.64%) | 67 (60.36%) | |
| 1–3 days/week | 110 | 10 (9.09%) | 100 (90.91%) | |
| Rarely | 19 | 6 (31.58%) | 13 (68.42%) | |
| Fried foods | 0.6373 | |||
| ≥4 days/week | 158 | 41 (25.95%) | 117 (74.05%) | |
| 1–3 days/week | 82 | 19 (23.17%) | 63 (76.83%) | |
| Fast food and convenience food | 0.0514 | |||
| ≥4 days/week | 85 | 15 (17.65%) | 70 (82.35%) | |
| 1–3 days/week | 155 | 45 (29,03%) | 110 (70.97%) | |
| Total | 240 | 60 | 180 |
| Variables | Cases, n (%) | Low, n | High, n | p |
|---|---|---|---|---|
| Gender | 0.121 | |||
| Male | 27 (84.38) | 21 | 6 | |
| Female | 5 (15.62) | 2 | 3 | |
| Age | 0.444 | |||
| ≤60 | 17 (53.13) | 11 | 6 | |
| >60 | 15 (46.87) | 12 | 3 | |
| TNM stage | 0.535 | |||
| I + II | 9 (28.13) | 6 | 3 | |
| III + IV | 23 (71.87) | 17 | 6 | |
| Lymph node status | 0.654 | |||
| Metastasis | 8 (25) | 5 | 3 | |
| NO | 24 (37) | 18 | 6 | |
| Tumor area (cm2) | 0.002 * | |||
| ≥5 | 24 (75) | 21 | 3 | |
| <5 | 8 (23) | 2 | 6 |
| Groups | Score | F | p |
|---|---|---|---|
| control | 1.167 ± 0.4082 | 25.48 | <0.0001 * |
| 0.12 mg/kg | 1.833 ± 0.4082 | ||
| 0.16 mg/kg | 2.500 ± 0.5477 | ||
| 0.20 mg/kg | 3.500 ± 0.5477 |
Disclaimer/Publisher’s Note: The statements, opinions and data contained in all publications are solely those of the individual author(s) and contributor(s) and not of MDPI and/or the editor(s). MDPI and/or the editor(s) disclaim responsibility for any injury to people or property resulting from any ideas, methods, instructions or products referred to in the content. |
© 2024 by the authors. Licensee MDPI, Basel, Switzerland. This article is an open access article distributed under the terms and conditions of the Creative Commons Attribution (CC BY) license (https://creativecommons.org/licenses/by/4.0/).
Share and Cite
Wang, J.; Zhang, W.; Zhang, R.; Yang, H.; Li, Y.; Wang, J.; Li, C. MiR-101-3p Promotes Tumor Cell Proliferation and Migration via the Wnt Signal Pathway in MNNG-Induced Esophageal Squamous Cell Carcinoma. Toxics 2024, 12, 824. https://doi.org/10.3390/toxics12110824
Wang J, Zhang W, Zhang R, Yang H, Li Y, Wang J, Li C. MiR-101-3p Promotes Tumor Cell Proliferation and Migration via the Wnt Signal Pathway in MNNG-Induced Esophageal Squamous Cell Carcinoma. Toxics. 2024; 12(11):824. https://doi.org/10.3390/toxics12110824
Chicago/Turabian StyleWang, Jianding, Wenwen Zhang, Rui Zhang, Hanteng Yang, Yitong Li, Junling Wang, and Chengyun Li. 2024. "MiR-101-3p Promotes Tumor Cell Proliferation and Migration via the Wnt Signal Pathway in MNNG-Induced Esophageal Squamous Cell Carcinoma" Toxics 12, no. 11: 824. https://doi.org/10.3390/toxics12110824
APA StyleWang, J., Zhang, W., Zhang, R., Yang, H., Li, Y., Wang, J., & Li, C. (2024). MiR-101-3p Promotes Tumor Cell Proliferation and Migration via the Wnt Signal Pathway in MNNG-Induced Esophageal Squamous Cell Carcinoma. Toxics, 12(11), 824. https://doi.org/10.3390/toxics12110824

