Indoor Environmental Quality (IEQ): A Comparison between TOPSIS- and PROMETHEE-Based Approaches for Indirect Eliciting of Category Weights
Abstract
1. Introduction
2. Literature Review
- Ra: the relationship between the perceived comfort in each category (AC, VC, TC, IAQ) and the controlled variables in each category.
- Rb: the relationship between the final IEQ evaluation and the comfort of each category in the weighting of IEQ categories (note that not all papers account for a weighting procedure).
3. Mathematical Models
3.1. TOPSIS
- The risk variables are normalized to obtain normalized risk variables for each time step :
- The unweighted ideal and anti-ideal solution are computed for each IEQ variable:
- The normalized risk variables are weighted to obtain weighted normalized risk variables for each time step :where the weights must add up to one:
- The Euclidean distances from the ideal and anti-ideal solutions are:
- The final IEQ values for each time step are:
3.2. PROMETHEE
- The differences between risk variables in different time steps ( and for time steps and ) are computed for each IEQ category :
- Each difference is transformed through a different preference function for each IEQ category to obtain :With .In this paper, the preference function is linear:
- The transformed differences are weighted over the IEQ categories to obtain a single for each pair of time steps and :
- Leaving and entering , flows are then computed for each time step:
- The net flows are obtained as follows:
4. Case Study
4.1. Data Collection
- TC: we collected the air temperature and relative humidity with a sensor placed 1.1 m from the ground and 1.5 m from the shared desk. In order to calculate PMV, which is the classic measure of comfort for TC as prescribed in the UNI-EN ISO standard 7730:2006 [30], the mean radiant temperature, relative air velocity, clothing insulation, and metabolic activity should all be collected. Regarding the mean radiant temperature, a default value of 25° was used, as the building is new and the walls are well insulated. For air velocity, a default value of 0.1 m/s was used, as the addendum to ASHRAE 55 suggests the use of the PMV model with air speeds below 0.20 m/s [40]. For the metabolic rate, a value of 1.2 met was used for all operators, with a clothing insulation level of 1.2 clo for everyone except Operator 3, whose clothing was lighter and equal to 1 clo.
- VC: we collected the desk surface illuminance.
- AC: we collected the A-weighted daily noise exposure with a phonometer placed 1.2 m from the ground.
- IAQ: we collected the pm2.5 concentration with a sensor 1.1 m from the ground and 1.5 m from the shared desk.
4.2. Data Analysis
- The pm2.5 concentration should fall below 40 [43].
- The PMV is dimensionless, and should fall between −2 and 2, with zero representing comfort [30].
- The desk surface illuminance should be at least 300 lux for filling and copying activities [44].
- The A-weighted daily noise exposure level should fall below 87 dB [45].
- The pm2.5 concentration is used as-is.
- The PMV is substituted by its distance from 0 in absolute value.
- The desk surface illuminance is reduced by 300 lx, and this distance is then used as an absolute value.
- The A-weighted hourly noise exposure level is used as-is.
- Four sets of weights from the AHP, one for each operator from their AHP preference matrix.
- Four optimized sets of weights for TOPSIS, one for each operator from the hourly IEQ (derived) variables and the subjective evaluations on global comfort.
- Four optimized sets of weights for PROMETHEE, one for each operator from the hourly IEQ (derived) variables and the subjective evaluations on global comfort.
- To solve the optimization problems, the subjective IEQ evaluations were converted into nonredundant relations. For example, Operator 1 evaluated the hour 9 IEQ as 3, hour 10 IEQ as 2, and hour 11 IEQ as 4; thus, all possible relations are:
- An IEQ evaluation for each operator and hour, using the AHP weights and the hourly IEQ (derived) variables in TOPSIS.
- An IEQ evaluation for each operator and hour, using the AHP weights and the hourly IEQ (derived) variables in PROMETHEE.
- An optimized IEQ evaluation for each operator and hour, using the optimized TOPSIS weights and the hourly IEQ (derived) variables in TOPSIS.
- An optimized IEQ evaluation for each operator and hour, using the optimized PROMETHEE weights and the hourly IEQ (derived) variables in PROMETHEE.
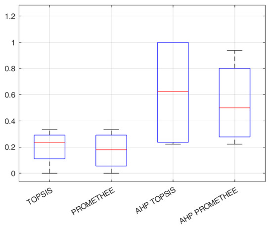
5. Conclusions
- AHP weights are unreliable, and can result in very high error rates when reconstructing operators’ preferences (error rates of up to 100% for AHP-TOPSIS for two of the operators).
- Indirect elicited TOPSIS and PROMETHEE optimized weights provide similar high-quality results, with low error rates compared to AHP.
- The similarity between optimized TOPSIS and PROMETHEE results can be explained by the high correlation between their weights.
Author Contributions
Funding
Informed Consent Statement
Data Availability Statement
Conflicts of Interest
References
- Wargocki, P.; Wyon, D.P.; Baik, Y.K.; Clausen, G.; Fanger, P.O. Perceived Air Quality, Sick Building Syndrome (SBS) Symptoms and Productivity in an Office with Two Different Pollution Loads. Indoor Air 1999, 9, 165–179. [Google Scholar] [CrossRef]
- Lamb, S.; Kwok, K.C.S. A Longitudinal Investigation of Work Environment Stressors on the Performance and Wellbeing of Office Workers. Appl. Ergon. 2016, 52, 104–111. [Google Scholar] [CrossRef] [PubMed]
- Catalina, T.; Iordache, V. IEQ Assessment on Schools in the Design Stage. Build. Environ. 2012, 49, 129–140. [Google Scholar] [CrossRef]
- Szery, K.; Sunindijo, R.Y. Occupant Satisfaction in Sustainable and Conventional Higher Education Buildings. Eurasian Stud. Bus. Econ. 2021, 11, 95–111. [Google Scholar] [CrossRef]
- Cao, B.; Ouyang, Q.; Zhu, Y.; Huang, L.; Hu, H.; Deng, G. Development of a Multivariate Regression Model for Overall Satisfaction in Public Buildings Based on Field Studies in Beijing and Shanghai. Build. Environ. 2012, 47, 394–399. [Google Scholar] [CrossRef]
- Al horr, Y.; Arif, M.; Katafygiotou, M.; Mazroei, A.; Kaushik, A.; Elsarrag, E. Impact of Indoor Environmental Quality on Occupant Well-Being and Comfort: A Review of the Literature. Int. J. Sustain. Built Environ. 2016, 5, 1–11. [Google Scholar] [CrossRef]
- Zhang, D.; Mui, K.W.; Wong, L.T. Ten Questions Concerning Indoor Environmental Quality (IEQ) Models: The Development and Applications. Appl. Sci. 2023, 13, 3343. [Google Scholar] [CrossRef]
- Chiang, C.M.; Chou, P.C.; Lai, C.M.; Li, Y.Y. A Methodology to Assess the Indoor Environment in Care Centers for Senior Citizens. Build. Environ. 2001, 36, 561–568. [Google Scholar] [CrossRef]
- Tahsildoost, M.; Zomorodian, Z.S. Indoor Environment Quality Assessment in Classrooms: An Integrated Approach. J. Build. Phys. 2018, 42, 336–362. [Google Scholar] [CrossRef]
- Kent, M.; Parkinson, T.; Kim, J.; Schiavon, S. A Data-Driven Analysis of Occupant Workspace Dissatisfaction. Build. Environ. 2021, 205, 108270. [Google Scholar] [CrossRef]
- Middlehurst, G.; Yao, R.; Jiang, L.; Deng, J.; Clements-Croome, D.; Adams, G. A Preliminary Study on Post-Occupancy Evaluation of Four Office Buildings in the UK Based on the Analytic Hierarchy Process. Intell. Build. Int. 2018, 10, 234–246. [Google Scholar] [CrossRef]
- Ning, Y.; Chen, J. Improving Residential Satisfaction of University Dormitories through Post-Occupancy Evaluation in China: A Socio-Technical System Approach. Sustainability 2016, 8. [Google Scholar] [CrossRef]
- Li, P.; Froese, T.M.; Brager, G. Post-Occupancy Evaluation: State-of-the-Art Analysis and State-of-the-Practice Review. Build. Environ. 2018, 133, 187–202. [Google Scholar] [CrossRef]
- Lolli, F.; Marinello, S.; Coruzzolo, A.M.; Butturi, M.A. Post-Occupancy Evaluation’s (POE) Applications for Improving Indoor Environment Quality (IEQ). Toxics 2022, 10. [Google Scholar] [CrossRef]
- Saaty, T.L. The Analytic Hierarchy Process; McGraw-Hill: New York, NY, USA, 1980; ISBN 0070543712. [Google Scholar]
- Kut, P.; Pietrucha-Urbanik, K. Most Searched Topics in the Scientific Literature on Failures in Photovoltaic Installations. Energies 2022, 15, 8108. [Google Scholar] [CrossRef]
- De Felice, F.; Travaglioni, M.; Petrillo, A. Innovation Trajectories for a Society 5.0. Data 2021, 6. [Google Scholar] [CrossRef]
- André, F.J. Indirect Elicitation of Non-Linear Multi-Attribute Utility Functions. A Dual Procedure Combined with DEA. Omega 2009, 37, 883–895. [Google Scholar] [CrossRef]
- Lolli, F.; Balugani, E.; Butturi, M.A.; Coruzzolo, A.M.; Ishizaka, A.; Marinelli, S.; Romano, V. A Decision Support System for the Selection of Insulating Material in Energy Retrofit of Industrial Buildings: A New Robust Ordinal Regression Approach. IEEE Trans. Eng. Manag. 2022. [Google Scholar] [CrossRef]
- Lolli, F.; Coruzzolo, A.M.; Balugani, E. The Indoor Environmental Quality: A TOPSIS-Based Approach with Indirect Elicitation of Criteria Weights. Saf. Sci. 2022, 148, 105652. [Google Scholar] [CrossRef]
- Hwang, C.L.; Yoon, K. Multiple Attribute Decision Making: Methods and Applications; Springer: New York, NY, USA, 1981. [Google Scholar]
- Balugani, E.; Lolli, F.; Butturi, M.A.; Ishizaka, A.; Sellitto, M.A. Logistic Regression for Criteria Weight Elicitation in PROMETHEE-Based Ranking Methods. Adv. Intell. Syst. Comput. 2020, 1131, 474–479. [Google Scholar] [CrossRef]
- Lolli, F.; Ishizaka, A.; Gamberini, R.; Rimini, B.; Balugani, E.; Prandini, L. Requalifying Public Buildings and Utilities Using a Group Decision Support System. J. Clean. Prod. 2017, 164, 1081–1092. [Google Scholar] [CrossRef]
- American Society of Heating Refrigeration and Air Conditioning Engineers. Performance Measurement Protocols for Commercial Building; ASHRAE: Atlanta, GA, USA, 2010. [Google Scholar]
- Lai, A.C.K.; Mui, K.W.; Wong, L.T.; Law, L.Y. An Evaluation Model for Indoor Environmental Quality (IEQ) Acceptance in Residential Buildings. Energy Build. 2009, 41, 930–936. [Google Scholar] [CrossRef]
- Altomonte, S.; Schiavon, S.; Kent, M.G.; Brager, G. Indoor Environmental Quality and Occupant Satisfaction in Green-Certified Buildings. Build. Res. Inf. 2019, 47, 255–274. [Google Scholar] [CrossRef]
- Singh, A.; Syal, M.; Grady, S.C.; Korkmaz, S. Effects of Green Buildings on Employee Health and Productivity. J. Gen. Intern. Med. 1995, 10, 537–541. [Google Scholar] [CrossRef]
- Collinge, W.O.; Landis, A.E.; Jones, A.K.; Schaefer, L.A.; Bilec, M.M. Productivity Metrics in Dynamic LCA for Whole Buildings: Using a Post-Occupancy Evaluation of Energy and Indoor Environmental Quality Tradeoffs. Build. Environ. 2014, 82, 339–348. [Google Scholar] [CrossRef]
- Esfandiari, M.; Zaid, S.M.; Ismail, M.A.; Hafezi, M.R.; Asadi, I.; Mohammadi, S.; Vaisi, S.; Aflaki, A. Occupants’ Satisfaction toward Indoor Environment Quality of Platinum Green-Certified Office Buildings in Tropical Climate. Energies 2021, 14. [Google Scholar] [CrossRef]
- EN-ISO-7730; Ergonomics of the Physical Environment—Analytical Determination and Interpretation of Thermal Comfort Using Calculation of the PMV and PPD Indices and Local Thermal Comfort Criteria. ISO: Geneva, Switzerland, 2005.
- Fanger, P.O. Calculation of Thermal Comfort: Introduction of a Basic Comfort Equation. ASHRAE Trans. 1967, 73, III.4.1. [Google Scholar]
- Heinzerling, D.; Schiavon, S.; Webster, T.; Arens, E. Indoor Environmental Quality Assessment Models: A Literature Review and a Proposed Weighting and Classification Scheme. Build. Environ. 2013, 70, 210–222. [Google Scholar] [CrossRef]
- Chiang, C.M.; Lai, C.M. A Study on the Comprehensive Indicator of Indoor Environment Assessment for Occupants’ Health in Taiwan. Build. Environ. 2002, 37, 387–392. [Google Scholar] [CrossRef]
- Mui, K.W.; Chan, W.T. A New Indoor Environmental Quality Equation for Air-Conditioned Buildings. Archit. Sci. Rev. 2005, 48, 41–46. [Google Scholar] [CrossRef]
- Wong, L.T.; Mui, K.W.; Hui, P.S. A Multivariate-Logistic Model for Acceptance of Indoor Environmental Quality (IEQ) in Offices. Build. Environ. 2008, 43, 1–6. [Google Scholar] [CrossRef]
- Gul, M. A Quantitative Occupational Risk Assessment Methodology Based on TOPSIS-Sort with Its Application in Aluminum Extrusion Industry. Int. J. Pure Appl. Sci. 2021, 7, 163–172. [Google Scholar] [CrossRef]
- Gul, M. A Review of Occupational Health and Safety Risk Assessment Approaches Based on Multi-Criteria Decision-Making Methods and Their Fuzzy Versions. Hum. Ecol. Risk Assess. 2018, 24, 1723–1760. [Google Scholar] [CrossRef]
- Lolli, F.; Balugani, E.; Ishizaka, A.; Gamberini, R.; Butturi, M.A.; Marinello, S.; Rimini, B. On the Elicitation of Criteria Weights in PROMETHEE-Based Ranking Methods for a Mobile Application. Expert Syst. Appl. 2019, 120, 217–227. [Google Scholar] [CrossRef]
- Tzeng, G.-H.; Huang, J.-J. Multiple Attribute Decision Making: Methods and Applications. Mult. Attrib. Decis. Mak. 2011. [Google Scholar] [CrossRef]
- Attia, S. Occupants Well-Being and Indoor Environmental Quality; Elsevier: Amsterdam, The Netherlands, 2018; ISBN 9780128124611. [Google Scholar]
- Muggeo, V.M.R. Estimating Regression Models with Unknown Break-Points. Stat. Med. 2003, 22, 3055–3071. [Google Scholar] [CrossRef]
- Muggeo, V.M.R.; Atkins, D.C.; Gallop, R.J.; Dimidjian, S. Segmented Mixed Models with Random Changepoints: A Maximum Likelihood Approach with Application to Treatment for Depression Study. Stat. Modell. 2014, 14, 293–313. [Google Scholar] [CrossRef]
- Sanità, I.S. di Qualità Dell’aria Indoor: Attuale Situazione Nazionale e Comunitaria. Available online: https://www.iss.it/documents/20126/45616/15_4_web.pdf/042f5947-b736-a9d0-3be7-bf32789f7565?t=1581095454218 (accessed on 6 June 2023).
- UNI EN 12464-1:2004; Light and Lighting—Lighting of Work Places—Part 1: Indoor Work Places. CEN: Brussels, Belgium, September 2004.
- Decreto Legislativo—DLgs 447/95; IPASVI: Rome, Italy, 1995; Volume 277.
- Ivanov, D. The Industry 5.0 Framework: Viability-Based Integration of the Resilience, Sustainability, and Human-Centricity Perspectives. Int. J. Prod. Res. 2022. [Google Scholar] [CrossRef]




| IEQ Category | IEQ Variable | Unit of Measure | Resolution | Measurement Range |
|---|---|---|---|---|
| IAQ | pm2.5 concentration | [0, 1000] | ||
| VC | Desk surface illuminance | lx | 0.1 lx | [0, 120,000] |
| TC | Air temperature | °C | 0.1 °C | [−40, 85] |
| Relative Humidity | RH | 0.1 RH | [0, 100] | |
| AC | A-weighted equivalent continuous sound pressure level | dB | 0.1 dB | [22, 136] |
| Time | PMV Operator 1 | PMV Operator 2 | PMV Operator 3 | PMV Operator 4 | Desk Surface Illuminance | pm2.5 | A-Weighted Equivalent Continuous Sound Pressure Level |
|---|---|---|---|---|---|---|---|
| 9 | 0.191 | 0.191 | −0.050 | 0.191 | 592.7 | 9.3 | 46.4 |
| 10 | 0.373 | 0.374 | 0.162 | 0.373 | 585.2 | 8.4 | 46.6 |
| 11 | 0.452 | 0.453 | 0.250 | 0.452 | 577.8 | 7.6 | 46.4 |
| 12 | 0.508 | 0.508 | 0.309 | 0.508 | 570.3 | 6.7 | 45.1 |
| 14 | 0.656 | 0.657 | 0.471 | 0.656 | 481.3 | 5.4 | 44.9 |
| 15 | 0.654 | 0.654 | 0.468 | 0.654 | 480.7 | 5.2 | 47.8 |
| 16 | 0.601 | 0.601 | 0.409 | 0.601 | 480.1 | 4.9 | 41.5 |
| 17 | 0.554 | 0.554 | 0.358 | 0.554 | 479.4 | 4.6 | 40.7 |
| pm2.5 | PMV | Desk Surface Illuminance | A-Weighted Equivalent Continuous Sound Pressure Level | |
|---|---|---|---|---|
| pm2.5 | 1 | 3 | ||
| PMV | 1 | 1 | 2 | |
| Desk surface illuminance | 3 | 1 | 1 | 3 |
| A-weighted equivalent continuous sound pressure level | 3 | 1 |
| pm2.5 | PMV | Desk Surface Illuminance | A-Weighted Equivalent Continuous Sound Pressure Level | |
|---|---|---|---|---|
| pm2.5 | 1 | 4 | 4 | |
| PMV | 1 | 1 | ||
| Desk surface illuminance | 1 | 1 | ||
| A-weighted equivalent continuous sound pressure level | 5 | 5 | 5 | 1 |
| pm2.5 | PMV | Desk Surface Illuminance | A-Weighted Equivalent Continuous Sound Pressure Level | |
|---|---|---|---|---|
| pm2.5 | 1 | 3 | 3 | |
| PMV | 5 | 1 | 5 | 5 |
| Desk surface illuminance | 1 | 2 | ||
| A-weighted equivalent continuous sound pressure level | 1 |
| pm2.5 | PMV | Desk Surface Illuminance | A-Weighted Equivalent Continuous Sound Pressure Level | |
|---|---|---|---|---|
| pm2.5 | 1 | 3 | 3 | |
| PMV | 4 | 1 | 4 | 4 |
| Desk surface illuminance | 1 | 3 | ||
| A-weighted equivalent continuous sound pressure level | 1 |
| AHP TOPSIS | AHP PROMETHEE | TOPSIS | PROMETHEE | |
|---|---|---|---|---|
| Operator 1 | 0.22 | 0.22 | 0.22 | 0.11 |
| Operator 2 | 1 | 0.94 | 0 | 0 |
| Operator 3 | 1 | 0.67 | 0.33 | 0.33 |
| Operator 4 | 0.25 | 0.33 | 0.25 | 0.25 |
Disclaimer/Publisher’s Note: The statements, opinions and data contained in all publications are solely those of the individual author(s) and contributor(s) and not of MDPI and/or the editor(s). MDPI and/or the editor(s) disclaim responsibility for any injury to people or property resulting from any ideas, methods, instructions or products referred to in the content. |
© 2023 by the authors. Licensee MDPI, Basel, Switzerland. This article is an open access article distributed under the terms and conditions of the Creative Commons Attribution (CC BY) license (https://creativecommons.org/licenses/by/4.0/).
Share and Cite
Lolli, F.; Coruzzolo, A.M.; Balugani, E. Indoor Environmental Quality (IEQ): A Comparison between TOPSIS- and PROMETHEE-Based Approaches for Indirect Eliciting of Category Weights. Toxics 2023, 11, 701. https://doi.org/10.3390/toxics11080701
Lolli F, Coruzzolo AM, Balugani E. Indoor Environmental Quality (IEQ): A Comparison between TOPSIS- and PROMETHEE-Based Approaches for Indirect Eliciting of Category Weights. Toxics. 2023; 11(8):701. https://doi.org/10.3390/toxics11080701
Chicago/Turabian StyleLolli, Francesco, Antonio Maria Coruzzolo, and Elia Balugani. 2023. "Indoor Environmental Quality (IEQ): A Comparison between TOPSIS- and PROMETHEE-Based Approaches for Indirect Eliciting of Category Weights" Toxics 11, no. 8: 701. https://doi.org/10.3390/toxics11080701
APA StyleLolli, F., Coruzzolo, A. M., & Balugani, E. (2023). Indoor Environmental Quality (IEQ): A Comparison between TOPSIS- and PROMETHEE-Based Approaches for Indirect Eliciting of Category Weights. Toxics, 11(8), 701. https://doi.org/10.3390/toxics11080701

