Sign in to use this feature.

Years

Between: -

Subjects

remove_circle_outline
remove_circle_outline
remove_circle_outline
remove_circle_outline
remove_circle_outline
remove_circle_outline
remove_circle_outline
remove_circle_outline
remove_circle_outline

Journals

Article Types

Countries / Regions

remove_circle_outline
remove_circle_outline
remove_circle_outline
remove_circle_outline
remove_circle_outline

Search Results (255)

Search Parameters:
Keywords = IEQ

Order results
Result details
Results per page
Select all
Export citation of selected articles as:
29 pages, 4030 KB  
Article
Toward Sustainable Learning Environments: The Role of Architectural Acoustic Conditions in University Learning Outcomes
by Yibin Ao, Yingying Wang, Mingyang Li, Panyu Peng, Xiang Li, Igor Martek and Luwei Jia
Sustainability 2026, 18(6), 3008; https://doi.org/10.3390/su18063008 - 19 Mar 2026
Abstract
This study examines how architectural acoustic environments of university buildings influence student learning outcomes from a sustainability perspective. In the context of sustainable campus development and indoor environmental quality (IEQ), acoustic conditions represent a critical yet often overlooked factor affecting cognitive performance and [...] Read more.
This study examines how architectural acoustic environments of university buildings influence student learning outcomes from a sustainability perspective. In the context of sustainable campus development and indoor environmental quality (IEQ), acoustic conditions represent a critical yet often overlooked factor affecting cognitive performance and well-being. Through subjective questionnaires and objective assessments, we analyzed the acoustic experiences of 180 undergraduates, investigating the effects of varying noise levels (45 dBA, 60 dBA, and 75 dBA) and noise types (traffic and conversation) on learning outcomes during study sessions. This study aims to quantify acoustic sustainability in buildings of higher education and provides preliminary evidence that may inform sustainable campus planning and building design. Findings indicate that, within the experimental conditions of this study, regardless of the type of noise, higher noise levels are correlated with reduced subjective satisfaction and diminished learning outcomes. Specifically, traffic noise was found to have a stronger negative impact on memory, while conversational noise significantly impaired attention and reading ability. Additionally, an interaction effect was observed between noise type, noise level, as well as student gender, with male participants showing greater susceptibility to variations in noise level and type. These findings provide preliminary evidence for further improving sustainable campus planning and building design. Full article
Show Figures

Figure 1

40 pages, 3804 KB  
Article
A Multi-Scale BIM-Driven Framework for Predictive Ventilation Opportunity Mapping and Performance Optimization in Low-Rise Sustainable Buildings
by Oriah Mudondo, Chunyan Yuan, Chengyu Zhang, Xueyuan Sun and Yan Wang
Buildings 2026, 16(6), 1130; https://doi.org/10.3390/buildings16061130 - 12 Mar 2026
Viewed by 219
Abstract
Natural ventilation remains a key strategy for improving indoor environmental quality (IEQ), lowering energy demand, and increasing resilience in low-rise residential buildings, especially in warm climates where mechanical ventilation is costly or unreliable. Classical ventilation studies are very often performed on computational fluid [...] Read more.
Natural ventilation remains a key strategy for improving indoor environmental quality (IEQ), lowering energy demand, and increasing resilience in low-rise residential buildings, especially in warm climates where mechanical ventilation is costly or unreliable. Classical ventilation studies are very often performed on computational fluid dynamics (CFD) or simplified thermal models, but they are computationally resource-heavy, data-dependent, or at odds with early design scenarios. Thus, this study proposes a Multi-Scale BIM-Driven Framework for Predictive Ventilation Opportunity Mapping (PVOM), presenting a geometry-based, data-light approach for investigating ventilation potential over micro-, meso-, and macro-scale spatial dimensions. Based on BIM models of two single-story residential buildings (Building A—author-developed and Building B—public reference model), the framework combines LOD 300 spatial modeling, multi-scale ventilation morphometrics, pathway prediction, and design optimization via opening repositioning, resizing, and envelope porosity adjustments. The outcomes indicate that PVOM correctly detects airflow constraints, stagnation pockets, and underperforming spaces, while simultaneously identifying geometrical areas for improvement on cross-ventilation. Performance for optimization scenarios indicated enhanced air change potential (ACH-P), cross-ventilation score (CVS), and spatial airflow continuity (SAC), thereby indicating the framework is adequate in facilitating early-stage sustainable design. This study presents a reproducible BIM-based method on natural ventilation assessment without CFD or advanced sensing systems, indicating PVOM as a scalable approach toward architects, engineers, and sustainability practitioners. BIM; natural ventilation; PVOM; ventilation morphometrics; low-rise buildings; sustainable design; performance optimization. Full article
Show Figures

Figure 1

29 pages, 6770 KB  
Article
Estimating Thermal Comfort and IAQ in Climate Chamber Experiments
by Giannis Papadopoulos, Dimitrios Kapenis, Loukas Karagiannakis, Nikolaos Taousanidis and Giorgos Panaras
Appl. Sci. 2026, 16(6), 2629; https://doi.org/10.3390/app16062629 - 10 Mar 2026
Viewed by 195
Abstract
Climate chambers enable repeatable indoor boundary conditions and are increasingly used to study multi-domain IEQ. However, thermal comfort and IAQ are still often evaluated separately, limiting evidence on their coupled behavior and potential trade-offs under different ventilation and air-cleaning strategies. The present study [...] Read more.
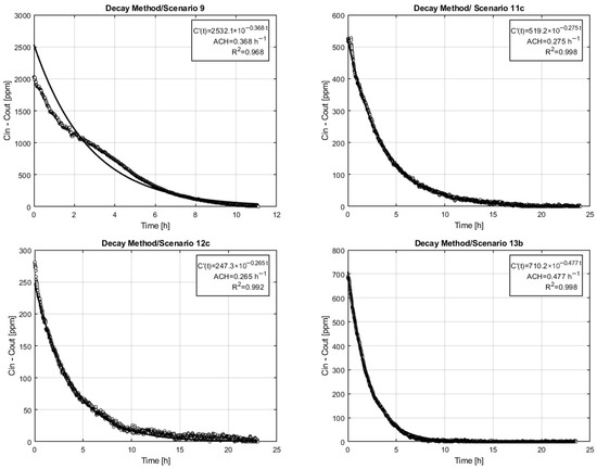
Climate chambers enable repeatable indoor boundary conditions and are increasingly used to study multi-domain IEQ. However, thermal comfort and IAQ are still often evaluated separately, limiting evidence on their coupled behavior and potential trade-offs under different ventilation and air-cleaning strategies. The present study was carried out in the climate chamber located in the laboratory facilities of the University of Western Macedonia to quantify thermal comfort and IAQ simultaneously across different experimental scenarios that vary ventilation mode, heating operation, and occupancy. The results show a correlation between subjective and objective measurements, with the comfort temperature varying around 22.2 °C, as estimated by the Griffiths model, while ventilation mainly affects the stability of the thermal environment. CO2 levels scaled with occupancy and ventilation rate, while PM removal was strongly strategy-dependent: after a controlled smoke event, mechanical ventilation plus air purification achieved the fastest decay and recovery toward near-background concentrations. Overall, this work represents a first step toward coupled IEQ research by jointly quantifying thermal comfort and IAQ in a climate chamber, enabling systematic comparison of ventilation strategies in terms of both perceived comfort and pollutant exposure. Full article
Show Figures

Figure 1

20 pages, 646 KB  
Article
From Openable to Operable: A Comparative Policy Analysis of Window Standards and Occupant Agency
by Jiyoung Park
Sustainability 2026, 18(5), 2460; https://doi.org/10.3390/su18052460 - 3 Mar 2026
Viewed by 147
Abstract
Operable windows are critical for indoor environmental quality (IEQ) and occupant agency, yet their usability is increasingly compromised by conflicts between regulatory compliance and building performance. This study investigates the gap between geometrically compliant provisions and effectively operable windows through a comparative policy [...] Read more.
Operable windows are critical for indoor environmental quality (IEQ) and occupant agency, yet their usability is increasingly compromised by conflicts between regulatory compliance and building performance. This study investigates the gap between geometrically compliant provisions and effectively operable windows through a comparative policy analysis of mandatory codes (Level 1), green rating systems (Level 2), and regenerative frameworks (Level 3). The findings identify a structural discrepancy termed the Geometric Trap: while minimum opening areas are legally required, mechanical ventilation often substitutes for natural access. In the United States, Japan, and Republic of Korea, explicit waivers permit full substitution, while in the United Kingdom, conditional constraints such as environmental noise limit practical operability. Germany, by contrast, maintains operable windows as an independent mandate, restricting substitution to defined environmental conditions. Although emerging green rating systems increasingly recognize resilience and adaptive comfort, operability remains optional. Regenerative standards, however, treat it as a prerequisite for occupant health. This study proposes a shift from static geometric compliance toward an Effective Opening Area framework that evaluates actual accessibility and usability, advancing a performance-based and occupant-centered regulatory perspective. Full article
(This article belongs to the Section Green Building)
Show Figures

Figure 1

23 pages, 887 KB  
Article
Residual Learning Enhanced Grey-Box Modelling for Indoor Temperature Prediction and IEQ Assessment
by Constantin Cilibiu, Horatiu Calin Albu and Ancuta Coca Abrudan
Buildings 2026, 16(5), 964; https://doi.org/10.3390/buildings16050964 - 1 Mar 2026
Viewed by 181
Abstract
The increasing demand for the energy-efficient and occupant-centred operation of educational buildings requires accurate and interpretable models capable of predicting indoor environmental conditions under real operating constraints. This study proposes a residual learning-enhanced grey-box modelling framework for predicting indoor air temperature and assessing [...] Read more.
The increasing demand for the energy-efficient and occupant-centred operation of educational buildings requires accurate and interpretable models capable of predicting indoor environmental conditions under real operating constraints. This study proposes a residual learning-enhanced grey-box modelling framework for predicting indoor air temperature and assessing indoor environmental quality indicators in a KNX-enabled educational building operating under simple thermostatic heating control. The approach combines a reduced-order discrete-time RC thermal model with a data-driven machine learning component trained to model the next-step residual between measured and simulated indoor temperatures. High-resolution KNX monitoring data were recorded at a 5 min sampling interval over three consecutive months (October–December) during the heating season. Using a chronological 70/30 train–test split, the identified RC grey-box model achieved a pooled test RMSE of 0.269 °C, an MAE of 0.126 °C, and an R2 of 0.987. The proposed hybrid formulation achieved RMSE = 0.343 °C, MAE = 0.106 °C, and R2 = 0.978 across 62,456 test samples. While the pooled RMSE remains influenced by occasional larger deviations in a small number of rooms, the hybrid model yields a consistent reduction in absolute error (≈16% MAE reduction) and reduced inter-room variability compared to the physics-based baseline. These results indicate that residual learning can enhance predictive robustness under decentralized thermostatic operation and limited sensing, while preserving physical interpretability. The proposed framework provides a practical and scalable solution for indoor temperature prediction and IEQ assessment in educational buildings using existing KNX automation data. Full article
(This article belongs to the Section Building Energy, Physics, Environment, and Systems)
Show Figures

Figure 1

28 pages, 3828 KB  
Article
Adaptive Lighting and Thermal Comfort Control Strategies in Digital Twin Classroom via Deep Reinforcement Learning
by Xuegang Wu and Pinle Qin
Electronics 2026, 15(4), 873; https://doi.org/10.3390/electronics15040873 - 19 Feb 2026
Viewed by 355
Abstract
With the advancement of smart education and carbon neutrality goals, optimizing Indoor Environmental Quality (IEQ) while minimizing energy consumption is critical. Traditional PID or rule-based strategies struggle with the strong non-linearity and time delays of photothermal coupling in high-density classrooms. This paper proposes [...] Read more.
With the advancement of smart education and carbon neutrality goals, optimizing Indoor Environmental Quality (IEQ) while minimizing energy consumption is critical. Traditional PID or rule-based strategies struggle with the strong non-linearity and time delays of photothermal coupling in high-density classrooms. This paper proposes an adaptive closed-loop control framework fusing Digital Twin (DT) and Deep Reinforcement Learning (DRL). A high-fidelity multi-physics model is constructed as a virtual testbed, utilizing the Proximal Policy Optimization (PPO) algorithm to learn multi-objective strategies. The trained agent is deployed to an edge gateway for real-time inference. Experimental results from a field study distinguish this work from pure simulations. Results demonstrate that compared to PID baselines, the proposed strategy reduces energy consumption by 28.4% while maintaining thermal comfort (PMV) and visual comfort compliance. Furthermore, the variance of PMV is reduced by 66.7%, and system recovery time under stochastic disturbances is shortened by 31.4%. Full article
(This article belongs to the Section Computer Science & Engineering)
Show Figures

Figure 1

33 pages, 11458 KB  
Article
Color Matters: A Preliminary Assessment of Indoor Surface Colors on Visual Comfort, Thermal Comfort, and Air Quality
by Hayfa Farhah, Ahmed Felimban, Miktha Farid Alkadri and Alya Widha Aurellia
Buildings 2026, 16(4), 760; https://doi.org/10.3390/buildings16040760 - 12 Feb 2026
Viewed by 268
Abstract
Indoor environmental quality significantly affects human perceptions of comfort and well-being due to the fact that most daily activities are spent indoors. However, surface colors are generally considered to be aesthetic choices rather than environmental factors. The purpose of this research is to [...] Read more.
Indoor environmental quality significantly affects human perceptions of comfort and well-being due to the fact that most daily activities are spent indoors. However, surface colors are generally considered to be aesthetic choices rather than environmental factors. The purpose of this research is to assess the effect of surface colors on visual comfort, thermal intent, and plant-supportive lighting conditions. This study uses a controlled experimental method and four easily interpretable parameters: surface reflectance (albedo), illuminance, correlated color temperature, and photosynthetic photon flux density. The experiment uses a miniature enclosed chamber to standardize the geometry and lighting conditions to test a set of carefully chosen printed and painted color surfaces. The lighting parameters were directly measured using consumer-level spectral and illuminance meters. The surface reflectance parameter is estimated to be red, green, and blue color codes. The novelty of this research is that it provides a preliminary screening method that can convert color choice into quantifiable implications on indoor environments, with clear assumptions and limitations. The results can be used to inform design decisions that link color choice to specific task-oriented lighting requirements, climate-oriented thermal intent (cooler vs. warmer), and plant-rich interior environments. Full article
Show Figures

Figure 1

15 pages, 1406 KB  
Article
Acoustic Attenuation Performance of Casing Stiffness Relative to Insulation Thickness in Compact Air Handling Units
by Titus Otniel Joldos and Florin Ioan Bode
Appl. Sci. 2026, 16(4), 1803; https://doi.org/10.3390/app16041803 - 11 Feb 2026
Viewed by 276
Abstract
The current global context, characterized by climate change and increased indoor occupancy, has necessitated prolonged daily operating hours for ventilation systems. Coupled with rising living standards, these factors have elevated occupants’ expectations for Indoor Environmental Quality (IEQ), driving a demand for quieter equipment [...] Read more.
The current global context, characterized by climate change and increased indoor occupancy, has necessitated prolonged daily operating hours for ventilation systems. Coupled with rising living standards, these factors have elevated occupants’ expectations for Indoor Environmental Quality (IEQ), driving a demand for quieter equipment which is a significant challenge for HVAC engineering. This study evaluates the acoustic attenuation performance of various casing constructions to quantify the impact of sheet metal stiffness compared to insulation thickness. Experimental measurements of the Radiated Sound Power Level (LwA) were conducted on a heat recovery unit across octave bands from 63 Hz to 16,000 Hz, ensuring a measurement uncertainty within ±0.5 dB as per ISO 3741 precision requirements. The methodology involved testing multiple enclosed configurations against a reference open-top unit, varying mineral wool insulation thickness from 40 mm to 100 mm (with optional 25 mm linings) and inner sheet metal thickness between 0.8 mm and 2.0 mm. The results indicate that enclosing the unit significantly reduced radiated sound power levels compared to the exposed reference. While the standard configuration with 50 mm insulation yielded 49.8 dBA, modifying the casing structure generated superior attenuation. Notably, a configuration utilizing a 2.0 mm inner sheet resulted in a radiated sound power level of 46.9 dBA, a result found to be statistically significant (p < 0.05) when compared to the baseline. This performance is statistically comparable to the 46.7 dBA recorded for the maximum insulation assembly, confirming the validity of structural stiffening as an equivalent alternative to bulk insulation. Consequently, the increased panel stiffness achieved approximately 94% of the attenuation efficiency provided by the thickest insulation option. The data demonstrates that increasing panel stiffness effectively reduces transmission, offering performance levels comparable to significantly thicker insulation layers. The study concludes that optimizing casing stiffness represents a superior strategy for noise control in high-density residential applications, as it decouples acoustic performance from the unit’s external dimensions, offering a high-attenuation solution that preserves a compact spatial footprint. Full article
Show Figures

Figure 1

15 pages, 1635 KB  
Article
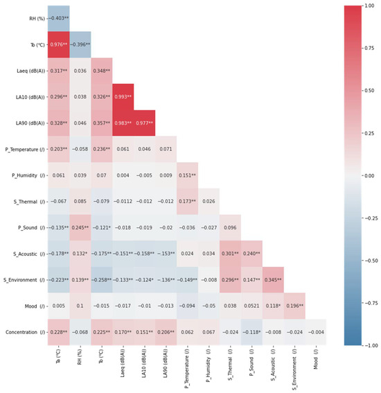
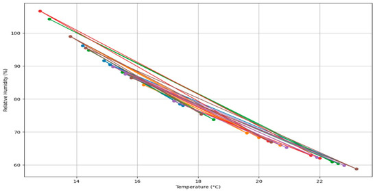
Spatiotemporal Interactive Effects Between Thermal Comfort and Acoustic Quality on University Students’ Performance and Satisfaction in Hong Kong
by Dadi Zhang, Amneh Hamida, Kwok-Wai Mui and Ling-Tim Wong
Buildings 2026, 16(3), 670; https://doi.org/10.3390/buildings16030670 - 5 Feb 2026
Viewed by 344
Abstract
This study investigated the individual and interactive effects of thermal and acoustic parameters on university students’ concentration and satisfaction in a library environment. Measurements of temperature, relative humidity (RH), and sound pressure level (SPL), alongside questionnaire surveys assessing students’ [...] Read more.
This study investigated the individual and interactive effects of thermal and acoustic parameters on university students’ concentration and satisfaction in a library environment. Measurements of temperature, relative humidity (RH), and sound pressure level (SPL), alongside questionnaire surveys assessing students’ concentration, environmental perceptions, and satisfaction, were conducted over ten continuous working days in four library rooms. The results revealed significant interactive effects between operative temperature (To), RH, and background noise level (LA90) on students’ concentration and overall satisfaction, highlighting the importance of an integrated approach to managing Indoor Environmental Quality (IEQ). Furthermore, multi-objective optimization using the NSGA-II algorithm suggested optimal ranges for To (22.6–24.8 °C), RH (41.0–48.4%), and LA90 (45.0–48.5 dB(A)). Existing library conditions surpassed these optimal levels, particularly on the first floor, indicating a pressing need for interventions to enhance student well-being and academic performance. Overall, this study provides insights into the interactions between thermal comfort and acoustic quality, offering recommendations for creating more conducive learning environments that boost student satisfaction and performance. Full article
Show Figures

Figure 1

23 pages, 2860 KB  
Article
Beyond BER: Rethinking Retrofit Policy for Indoor Environmental Quality in Social Housing
by Seamus Harrington and Mark Mulville
Buildings 2026, 16(3), 652; https://doi.org/10.3390/buildings16030652 - 4 Feb 2026
Viewed by 280
Abstract
Energy efficiency retrofits are central to climate policy, yet their implications for indoor environmental quality (IEQ) and occupant health remain underexplored. This study investigates IEQ outcomes following staged retrofits in Irish social housing, where achieving Building Energy Rating (BER) targets is the primary [...] Read more.
Energy efficiency retrofits are central to climate policy, yet their implications for indoor environmental quality (IEQ) and occupant health remain underexplored. This study investigates IEQ outcomes following staged retrofits in Irish social housing, where achieving Building Energy Rating (BER) targets is the primary performance metric. Four dwellings, three retrofitted and one control, were monitored over six weeks during the heating season. Built in the 1980s, these homes represent the typical social and private housing stock of that era. Continuous measurements of carbon dioxide, temperature, relative humidity, and thermal performance were complemented by analyses of vapour pressure excess and ventilation rates. While all retrofitted homes achieved BER improvement targets, persistent IEQ challenges were identified. Elevated pollutant concentrations and increased condensation/mould risk occurred in the presence of inadequate ventilation. Thermal anomalies and cold bridging were associated with cavity wall insulation, whereas external wall insulation provided more stable surface temperatures and reduced moisture-related risks. These results underscore the complex interplay between retrofit measures, occupancy patterns, and ventilation performance. The study highlights the need for retrofit strategies that integrate energy efficiency with occupant health objectives. At scale, retrofit programmes risk embedding systemic vulnerabilities unless ventilation and moisture control are prioritised, with implications that extend to health, wellbeing, and long-term building resilience. Full article
Show Figures

Figure 1

35 pages, 1587 KB  
Systematic Review
A Review of Subjective Indoor Air Quality Assessment in Non-Residential Buildings: Current Trends and Recommendations
by Quinten Carton, Douaa Al-Assaad, Jakub Kolarik and Hilde Breesch
Buildings 2026, 16(3), 486; https://doi.org/10.3390/buildings16030486 - 24 Jan 2026
Viewed by 375
Abstract
Survey campaigns in non-residential buildings show that occupants are often dissatisfied with the indoor environmental quality (IEQ), including the indoor air quality (IAQ) conditions. Occupant-centric controls (OCCs) have the potential to improve occupants’ satisfaction with IAQ and thermal comfort. Currently, applications of OCC [...] Read more.
Survey campaigns in non-residential buildings show that occupants are often dissatisfied with the indoor environmental quality (IEQ), including the indoor air quality (IAQ) conditions. Occupant-centric controls (OCCs) have the potential to improve occupants’ satisfaction with IAQ and thermal comfort. Currently, applications of OCC systems with IAQ perceptions are limited due to a lack of a suitable modelling approach to predict occupants’ subjective IAQ assessment. In addition, a comprehensive overview of possible confounding variables for subjective IAQ in non-residential buildings is missing. This paper presents a systematic review of 46 papers on subjective IAQ assessments during field investigations in non-residential buildings. The following characteristics of the studies are examined: (1) the study context, (2) study and survey type, (3) dataset and sample size, (4) subjective IAQ assessment scales, (5) analysis and modelling techniques, and (6) associated variables. The review identified 46 different assessment scales and 20 different analysis techniques, respectively, indicating a lack of uniformity across the studies. The vast majority of studies were conducted in classrooms or offices. Other non-residential buildings, such as hospitals and sports halls, were underrepresented. Moreover, most of the studies failed to elaborate on the choice of a statistical technique and to report on the required sample size, compromising the validity of the statistical results. Furthermore, the review highlighted the limited scope of the subjective IAQ assessment analysis, with half of the reviewed studies investigating no more than four different variables. Lastly, only three of the reviewed papers focused on determining an accurate predictive model for subjective IAQ assessment. Full article
(This article belongs to the Topic Indoor Air Quality and Built Environment)
Show Figures

Figure 1

20 pages, 3589 KB  
Article
Comparison of Perceived and Measured Indoor Environmental Quality Across Home and Office Work Environments
by Young Joo Son, Zachary C. Pope, Kunjoon Byun and Meng Kong
Sustainability 2026, 18(3), 1144; https://doi.org/10.3390/su18031144 - 23 Jan 2026
Viewed by 338
Abstract
As remote and hybrid work arrangements become increasingly embedded in modern professional life, understanding indoor environmental quality (IEQ) in work-from-home (WFH) settings has become critical for supporting sustainable and healthy work environments. This study assessed both subjective perceptions and objective measurements of IEQ [...] Read more.
As remote and hybrid work arrangements become increasingly embedded in modern professional life, understanding indoor environmental quality (IEQ) in work-from-home (WFH) settings has become critical for supporting sustainable and healthy work environments. This study assessed both subjective perceptions and objective measurements of IEQ from three different working environments of home, employer offices, and simulated standard-compliant offices. Within the home environment, household characteristics resulted in significantly different measured IEQ: larger households and pet ownership were associated with higher CO2, VOC, and air temperature levels, while noise levels varied by childcare responsibilities and flooring type. IEQ perceptions also significantly differed: air temperature satisfaction was lower among those providing childcare, and overall environmental satisfaction varied by WFH frequency, with occasional WFH workers reporting the least satisfaction. Across the three working environments, participants were significantly more satisfied with thermal and acoustic conditions in WFH than employer offices, with simulated standard-compliant offices showing intermediate results. Notably, these perception patterns did not always align with measured environmental conditions. These findings demonstrate that both household characteristics and work context shape occupants’ IEQ perceptions, underscoring the importance of occupant-centered evaluation in advancing sustainable building design and remote work strategies. The results suggest that integrating both objective IEQ metrics and subjective experience is essential for promoting long-term environmental sustainability and occupant well-being across evolving work environments. Full article
(This article belongs to the Section Health, Well-Being and Sustainability)
Show Figures

Figure 1

35 pages, 5959 KB  
Article
Parameter Optimization for Climate-Resilient IEQ Assessment: Validating Essential Metrics in the PICSOU Framework Across Divergent Climate Zones
by Qidi Jiang, Cheng Liu, Chunjian Wang, Zhiyang Chen, Heidi Salonen and Jarek Kurnitski
Buildings 2026, 16(2), 283; https://doi.org/10.3390/buildings16020283 - 9 Jan 2026
Viewed by 538
Abstract
To enhance the climate adaptability and diagnostic precision of university sustainability frameworks, this study presents a critical advancement to the PICSOU (Performance Indicators for Core Sustainability Objectives of Universities) framework’s Indoor Environmental Quality (IEQ) module. The research employs a comparative approach across two [...] Read more.
To enhance the climate adaptability and diagnostic precision of university sustainability frameworks, this study presents a critical advancement to the PICSOU (Performance Indicators for Core Sustainability Objectives of Universities) framework’s Indoor Environmental Quality (IEQ) module. The research employs a comparative approach across two distinct climate zones: the campus of Chengdu Jincheng College in a humid subtropical climate (CDJCC; Köppen Cwa) with natural ventilation, and the campus of Tallinn University of Technology in a temperate climate (TalTech; Köppen Dfb) with mechanical ventilation. A key innovation at CDJCC was the deployment of a novel, integrated sensor that combines a Frequency-Modulated Continuous Wave (FMCW) radar module for real-time occupancy detection with standard IEQ sensor suite (CO2, PM2.5, temperature, humidity), enabling unprecedented analysis of occupant-IEQ dynamics. At TalTech, comprehensive IEQ monitoring was conducted using standard sensors. Results demonstrated that mechanical ventilation (TalTech) effectively decouples indoor conditions from external fluctuations. In contrast, natural ventilation (CDJCC) exhibits strong seasonal coupling, reflected by a Seasonal Ventilation Efficacy Coefficient (λseason), indicating that seasonal differences in effective ventilation are present but vary by indoor space type under occupied conditions. Consistent with this stronger indoor–outdoor linkage, PM2.5 infiltration was also pronounced in naturally ventilated spaces, as evidenced by a high infiltration factor (I/O ratio) that remained consistently elevated. This work conclusively validates a conditional, climate-resilient workflow for PICSOU’s IEQ category, integrating these empirical coefficients to transform its IEQ assessment into a dynamic and actionable tool for optimizing campus sustainability strategies globally. Full article
Show Figures

Figure 1

28 pages, 3100 KB  
Article
Linking Health, Comfort and Indoor Environmental Quality in Classrooms with Mechanical Ventilation or Window Airing: A Controlled Observational Study
by Susanna Bordin, Renate Weisböck-Erdheim, Sebastian Hummel, Barbara Fixl, Jonathan Griener, Arno Dentel and Arnulf Josef Hartl
Buildings 2026, 16(1), 217; https://doi.org/10.3390/buildings16010217 - 3 Jan 2026
Viewed by 667
Abstract
Effective classroom ventilation is essential for indoor environmental quality (IEQ), comfort and health of schoolchildren, who spend substantial time indoors. This controlled observational study compared manual window airing (WA) with decentralized mechanical ventilation (DV) in six classrooms of two elementary schools during the [...] Read more.
Effective classroom ventilation is essential for indoor environmental quality (IEQ), comfort and health of schoolchildren, who spend substantial time indoors. This controlled observational study compared manual window airing (WA) with decentralized mechanical ventilation (DV) in six classrooms of two elementary schools during the winter infection period. Symptoms of upper respiratory tract infections, salivary biomarkers, well-being, perceived comfort, and classroom-level IEQ were assessed through questionnaires, saliva samples and long-term monitoring. Ninety-eight schoolchildren participated (64 WA, 34 DV). Symptom-based outcomes of the WURSS-K questionnaire showed consistently lower illness burden in group DV, with several parameters reaching statistical significance and an absolute risk reduction of 7.8%. Salivary immunoglobulin A (sIgA) concentrations were also significantly lower in group DV (approximately 39–59%, p ≤ 0.01). Sensitivity analyses showed positive associations of CO2 and PM2.5 with sIgA and indicated that PM2.5 exposure accounted for group differences. Comfort perceptions mirrored measured IEQ: DV classrooms exhibited warmer, more stable thermal conditions, lower CO2 and PM2.5, and slightly better thermal and draught-related impressions. Overall, decentralized mechanical ventilation supported favorable IEQ and comfort and may influence mucosal immune activity through reduced particulate exposure, complementing the observed reduction in symptom burden. A multidimensional approach integrating medical outcomes with continuous IEQ monitoring proved valuable and should be expanded in larger, balanced cohort studies. Full article
Show Figures

Figure 1

23 pages, 3015 KB  
Article
Comparative Study on Surface Heating Systems with and Without External Shading: Effects on Indoor Thermal Environment
by Małgorzata Fedorczak-Cisak, Elżbieta Radziszewska-Zielina, Mirosław Dechnik, Aleksandra Buda-Chowaniec, Anna Romańska and Anna Dudzińska
Energies 2026, 19(1), 223; https://doi.org/10.3390/en19010223 - 31 Dec 2025
Viewed by 570
Abstract
The three key design criteria for nearly zero-energy buildings (nZEBs) and climate-neutral buildings are minimizing energy use, ensuring high occupant comfort, and reducing environmental impact. Thermal comfort is one of the main components of indoor environmental quality (IEQ), strongly affecting occupants’ health, well-being, [...] Read more.
The three key design criteria for nearly zero-energy buildings (nZEBs) and climate-neutral buildings are minimizing energy use, ensuring high occupant comfort, and reducing environmental impact. Thermal comfort is one of the main components of indoor environmental quality (IEQ), strongly affecting occupants’ health, well-being, and productivity. As energy-efficiency requirements become more demanding, the appropriate selection of heating systems, their automated control, and the management of solar heat gains are becoming increasingly important. This study investigates the influence of two low-temperature radiant heating systems—underfloor and wall-mounted—and the use of Venetian blinds on perceived thermal comfort in a highly glazed public nZEB building located in a densely built urban area within a temperate climate zone. The assessment was based on the PMV (Predicted Mean Vote) index, commonly used in IEQ research. The results show that both heating systems maintained indoor conditions corresponding to comfort or slight thermal stress under steady state operation. However, during periods of strong solar exposure in the room without blinds, PMV values exceeded 2.0, indicating substantial heat stress. In contrast, external Venetian blinds significantly stabilized the indoor microclimate—reducing PMV peaks by an average of 50.2% and lowering the number of discomfort hours by 94.9%—demonstrating the crucial role of solar protection in highly glazed spaces. No significant whole-body PMV differences were found between underfloor and wall heating. Overall, the findings provide practical insights into the control of thermal conditions in radiant-heated spaces and highlight the importance of solar shading in mitigating heat stress. These results may support the optimization of HVAC design, control, and operation in both residential and non-residential nZEB buildings, contributing to improved occupant comfort and enhanced energy efficiency. Full article
Show Figures

Figure 1

Back to TopTop