Category-Based Toxicokinetic Evaluations of Data-Poor Per- and Polyfluoroalkyl Substances (PFAS) using Gas Chromatography Coupled with Mass Spectrometry
Abstract
1. Introduction
2. Materials and Methods
2.1. PFAS Stocks and Analytical Standards
2.2. PFAS Categorization
2.3. Hepatocyte Clearance and Ultracentrifugation (UC) Assay Reagents
2.4. UC Assay
2.5. Hepatic Metabolic Stability Assay
2.6. Quantitation using Gas Chromatography-Tandem Mass Spectrometry (GC-MS/MS) and GC(PCI)-MS
2.7. Hepatic Metabolic Stability Assay Data Analysis
2.8. Bayesian Modeling to Incorporate Experimental Uncertainty with Experimental Point Estimates
2.9. In Vitro–In Vivo Extrapolation (IVIVE) and Administered Equivalent Dose (AED) Estimation
2.10. Chemical Transformation Simulator Predictions
2.11. Statistical Analyses
3. Results
3.1. Analytical Method Development Outcomes
3.2. Plasma Protein Binding Findings
3.3. Plasma Matrix Stability Observations
3.4. Impact of PFAS Chemical Space on Physicochemical Property–PPB Binding Trends and PPB Prediction Tool Performance
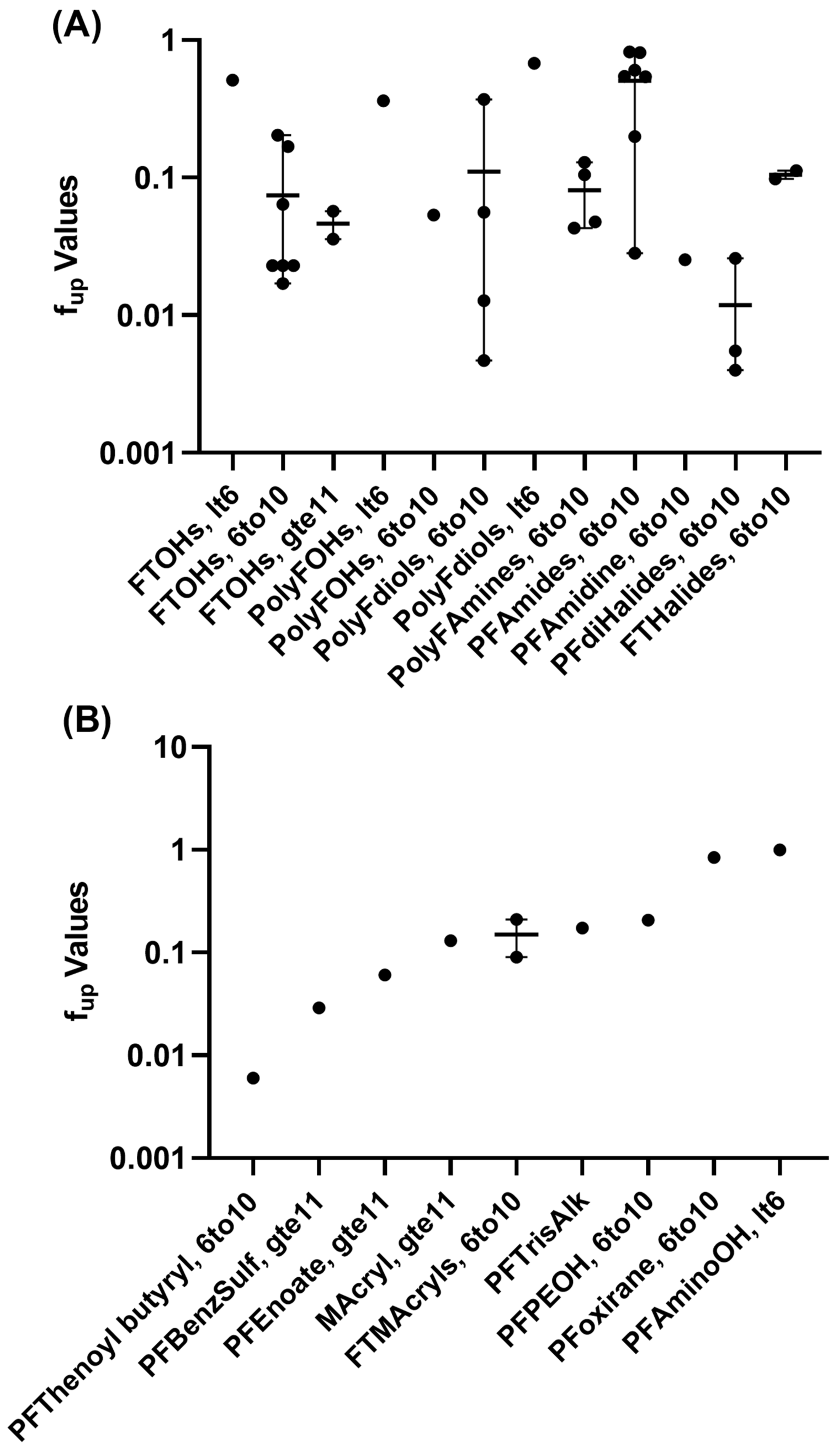
3.5. Category-Based Evaluations of Plasma Protein Binding
3.6. Uncertainty Analysis
3.7. Hepatic Metabolic Stability Findings and IVIVE Modeling
3.8. Chemical Transformation Simulator (CTS) Findings
4. Discussion
Supplementary Materials
Author Contributions
Funding
Institutional Review Board Statement
Informed Consent Statement
Data Availability Statement
Acknowledgments
Conflicts of Interest
Disclaimer
References
- Buck, R.C.; Franklin, J.; Berger, U.; Conder, J.M.; Cousins, I.T.; de Voogt, P.; Jensen, A.A.; Kannan, K.; Mabury, S.A.; van Leeuwen, S.P. Perfluoroalkyl and polyfluoroalkyl substances in the environment: Terminology, classification, and origins. Integr. Environ. Assess. Manag. 2011, 7, 513–541. [Google Scholar] [CrossRef] [PubMed]
- Organisation for Economic Co-operation and Development. Reconciling Terminology of the Universe of Per- and Polyfluoroalkyl Substances: Recommendations and Practical Guidance; OECD Environment, Health and Safety Publications, Series on Risk Management No. 61: Paris, France, 2021. Available online: https://one.oecd.org/document/ENV/CBC/MONO(2021)25/En/pdf (accessed on 5 April 2023).
- Fenton, S.E.; Ducatman, A.; Boobis, A.; DeWitt, J.C.; Lau, C.; Ng, C.; Smith, J.S.; Roberts, S.M. Per- and Polyfluoroalkyl Substance Toxicity and Human Health Review: Current State of Knowledge and Strategies for Informing Future Research. Environ. Toxicol. Chem. 2021, 40, 606–630. [Google Scholar] [CrossRef]
- Wang, Z.; Cousins, I.T.; Scheringer, M.; Hungerbuehler, K. Hazard assessment of fluorinated alternatives to long-chain perfluoroalkyl acids (PFAAs) and their precursors: Status quo, ongoing challenges and possible solutions. Environ. Int. 2015, 75, 172–179. [Google Scholar] [CrossRef] [PubMed]
- Wang, Z.; Cousins, I.T.; Scheringer, M.; Hungerbuhler, K. Fluorinated alternatives to long-chain perfluoroalkyl carboxylic acids (PFCAs), perfluoroalkane sulfonic acids (PFSAs) and their potential precursors. Environ. Int. 2013, 60, 242–248. [Google Scholar] [CrossRef] [PubMed]
- Scheringer, M.; Trier, X.; Cousins, I.T.; de Voogt, P.; Fletcher, T.; Wang, Z.; Webster, T.F. Helsingor statement on poly- and perfluorinated alkyl substances (PFAS). Chemosphere 2014, 114, 337–339. [Google Scholar] [CrossRef] [PubMed]
- US Environmental Protection Agency. (2021, October). In PFAS Strategic Roadmap: EPA’s Commitments to Action 2021–2024. [EPA-100-K-21-002]. Available online: https://www.epa.gov/pfas/pfas-strategic-roadmap-epas-commitments-action-2021-2024 (accessed on 14 September 2022).
- Ankley, G.T.; Cureton, P.; Hoke, R.A.; Houde, M.; Kumar, A.; Kurias, J.; Lanno, R.; McCarthy, C.; Newsted, J.; Salice, C.J.; et al. Assessing the Ecological Risks of Per- and Polyfluoroalkyl Substances: Current State-of-the Science and a Proposed Path Forward. Environ. Toxicol. Chem. 2021, 40, 564–605. [Google Scholar] [CrossRef]
- Thomas, R.S.; Bahadori, T.; Buckley, T.J.; Cowden, J.; Deisenroth, C.; Dionisio, K.L.; Frithsen, J.B.; Grulke, C.M.; Gwinn, M.R.; Harrill, J.A.; et al. The Next Generation Blueprint of Computational Toxicology at the U.S. Environmental Protection Agency. Toxicol. Sci. 2019, 169, 317–332. [Google Scholar] [CrossRef]
- OECD. Toward a New Comprehensive Global Database of per and Polyfluoroalkyl Substances (PFAS): Summary Report on Updating the OECD 2007 List of Per and Polyfluoroalkyl Substances (PFAS); ENV/JM/MONO(2018)7; Series on Risk Management; Organisation for Economic Co-operation and Development: Paris, France, 2018; no. 39.
- Gluge, J.; Scheringer, M.; Cousins, I.T.; DeWitt, J.C.; Goldenman, G.; Herzke, D.; Lohmann, R.; Ng, C.A.; Trier, X.; Wang, Z. An overview of the uses of per- and polyfluoroalkyl substances (PFAS). Environ. Sci. Process. Impacts 2020, 22, 2345–2373. [Google Scholar] [CrossRef]
- Begley, T.H.; White, K.; Honigfort, P.; Twaroski, M.L.; Neches, R.; Walker, R.A. Perfluorochemicals:Potential sources of and migration from food packaging. Food Addit. Contam. 2005, 22, 1023–1031. [Google Scholar] [CrossRef]
- Herkert, N.J.; Kassotis, C.D.; Zhang, S.; Han, Y.; Pulikkal, V.F.; Sun, M.; Ferguson, P.L.; Stapleton, H.M. Characterization of Per- and Polyfluorinated Alkyl Substances Present in Commercial Anti-fog Products and Their In Vitro Adipogenic Activity. Environ. Sci. Technol. 2022, 56, 1162–1173. [Google Scholar] [CrossRef]
- Kotthoff, M.; Muller, J.; Jurling, H.; Schlummer, M.; Fiedler, D. Perfluoroalkyl and polyfluoroalkyl substances in consumer products. Environ. Sci. Pollut. Res. Int. 2015, 22, 14546–14559. [Google Scholar] [CrossRef]
- Whitehead, H.D.; Venier, M.; Wu, Y.; Eastman, E.; Urbanik, S.; Diamond, M.L.; Shalin, A.; Schwartz-Narbonne, H.; Bruton, T.A.; Blum, A.; et al. Fluorinated Compounds in North American Cosmetics. Environ. Sci. Technol. Lett. 2021, 8, 538–544. [Google Scholar] [CrossRef]
- Yuan, G.; Peng, H.; Huang, C.; Hu, J. Ubiquitous Occurrence of Fluorotelomer Alcohols in Eco-Friendly Paper-Made Food-Contact Materials and Their Implication for Human Exposure. Environ. Sci. Technol. 2016, 50, 942–950. [Google Scholar] [CrossRef]
- Gaines, L.G.T. Historical and current usage of per- and polyfluoroalkyl substances (PFAS): A literature review. Am. J. Ind. Med. 2022, 66, 353–378. [Google Scholar] [CrossRef]
- Rewerts, J.N.; Morre, J.T.; Massey Simonich, S.L.; Field, J.A. In-Vial Extraction Large Volume Gas Chromatography Mass Spectrometry for Analysis of Volatile PFAS on Papers and Textiles. Environ. Sci. Technol. 2018, 52, 10609–10616. [Google Scholar] [CrossRef]
- Evich, M.G.; Davis, M.J.B.; McCord, J.P.; Acrey, B.; Awkerman, J.A.; Knappe, D.R.U.; Lindstrom, A.B.; Speth, T.F.; Tebes-Stevens, C.; Strynar, M.J.; et al. Per- and polyfluoroalkyl substances in the environment. Science 2022, 375, eabg9065. [Google Scholar] [CrossRef]
- Fasano, W.J.; Sweeney, L.M.; Mawn, M.P.; Nabb, D.L.; Szostek, B.; Buck, R.C.; Gargas, M.L. Kinetics of 8–2 fluorotelomer alcohol and its metabolites, and liver glutathione status following daily oral dosing for 45 days in male and female rats. Chem. Biol. Interact. 2009, 180, 281–295. [Google Scholar] [CrossRef]
- Washington, J.W.; Ellington, J.; Jenkins, T.M.; Evans, J.J.; Yoo, H.; Hafner, S.C. Degradability of an acrylate-linked, fluorotelomer polymer in soil. Environ. Sci. Technol. 2009, 43, 6617–6623. [Google Scholar] [CrossRef]
- Wetmore, B.A. Quantitative in vitro-to-in vivo extrapolation in a high-throughput environment. Toxicology 2015, 332, 94–101. [Google Scholar] [CrossRef]
- Yoon, M.; Clewell, H.J., 3rd; Andersen, M.E. Deriving an explicit hepatic clearance equation accounting for plasma protein binding and hepatocellular uptake. Toxicol In Vitro 2013, 27, 11–15. [Google Scholar] [CrossRef]
- Arnot, J.A.; Toose, L.; Armitage, J.M.; Embry, M.; Sangion, A.; Hughes, L. A Weight of Evidence Approach for Bioaccumulation Assessment. Integr. Environ. Assess. Manag. 2022. Advance online publication. [Google Scholar] [CrossRef] [PubMed]
- Tonnelier, A.; Coecke, S.; Zaldivar, J.M. Screening of chemicals for human bioaccumulative potential with a physiologically based toxicokinetic model. Arch. Toxicol. 2012, 86, 393–403. [Google Scholar] [CrossRef] [PubMed]
- Patlewicz, G.; Richard, A.M.; Williams, A.J.; Grulke, C.M.; Sams, R.; Lambert, J.; Noyes, P.D.; DeVito, M.J.; Hines, R.N.; Strynar, M.; et al. A Chemical Category-Based Prioritization Approach for Selecting 75 per- and Polyfluoroalkyl Substances (PFAS) for Tiered Toxicity and Toxicokinetic Testing. Environ. Health Perspect. 2019, 127, 14501. [Google Scholar] [CrossRef]
- Patlewicz, G.; Richard, A.M.; Williams, A.J.; Judson, R.S.; Thomas, R.S. Towards Reproducible Structure-Based Chemical Categories of PFAS to Inform and Evaluate Toxicity and Toxicokinetic Testing. Comput. Toxicol. 2022, 24, 100250. [Google Scholar] [CrossRef]
- Smeltz, M.G.; Clifton, M.S.; Henderson, W.M.; McMillan, L.; Wetmore, B.A. Targeted Per- and Polyfluoroalkyl substances (PFAS) assessments for high throughput screening: Analytical and testing considerations to inform a PFAS stock quality evaluation framework. Toxicol. Appl. Pharm. 2023, 459, 116355. [Google Scholar] [CrossRef]
- Crizer, D.M.; Zhou, J.R.; Lavrich, K.S.; Wetmore, B.A.; Ferguson, S.S.; DeVito, M.J.; Merrick, B.A. In Vitro Hepatic Clearance of Per- and Polyfluoroalkyl Substances (PFAS). Toxicologist 2023, unpublished. [Google Scholar]
- Mansouri, K.; Cariello, N.F.; Korotcov, A.; Tkachenko, V.; Grulke, C.M.; Sprankle, C.S.; Allen, D.; Casey, W.M.; Kleinstreuer, N.C.; Williams, A.J. Open-source QSAR models for pKa prediction using multiple machine learning approaches. J. Cheminform. 2019, 11, 60. [Google Scholar] [CrossRef]
- Mansouri, K.; Grulke, C.M.; Judson, R.S.; Williams, A.J. OPERA models for predicting physicochemical properties and environmental fate endpoints. J. Cheminform. 2018, 10, 10. [Google Scholar] [CrossRef]
- Kieltyka, K.; McAuliffe, B.; Cianci, C.; Drexler, D.M.; Shou, W.; Zhang, J. Application of Cassette Ultracentrifugation Using Non-labeled Compounds and Liquid Chromatography-Tandem Mass Spectrometry Analysis for High-Throughput Protein Binding Determination. J. Pharm. Sci. 2016, 105, 1036–1042. [Google Scholar] [CrossRef]
- Smeltz, M.; Wambaugh, J.F.; Wetmore, B.A. Plasma Protein Binding Evaluations of Per- and Polyfluoroalkyl Substances for Category-Based Toxicokinetic Assessment. Chem. Res. Toxicol. 2023. [Google Scholar] [CrossRef]
- Wetmore, B.A.; Wambaugh, J.F.; Allen, B.; Ferguson, S.S.; Sochaski, M.A.; Setzer, R.W.; Houck, K.A.; Strope, C.L.; Cantwell, K.; Judson, R.S.; et al. Incorporating High-Throughput Exposure Predictions with Dosimetry-Adjusted In Vitro Bioactivity to Inform Chemical Toxicity Testing. Toxicol. Sci. 2015, 148, 121–136. [Google Scholar] [CrossRef] [PubMed]
- Wetmore, B.A.; Wambaugh, J.F.; Ferguson, S.S.; Sochaski, M.A.; Rotroff, D.M.; Freeman, K.; Clewell, H.J., 3rd; Dix, D.J.; Andersen, M.E.; Houck, K.A.; et al. Integration of dosimetry, exposure, and high-throughput screening data in chemical toxicity assessment. Toxicol. Sci. 2012, 125, 157–174. [Google Scholar] [CrossRef] [PubMed]
- R Core Team. R: A Language and Environment for Statistical Computing; R Foundation for Statistical Computing: Vienna, Austria, 2022; Available online: http:/www.r-project.org/index.html (accessed on 5 April 2023).
- Plummer, M. JAGS: A Program for Analysis of Bayesian Graphical Models Using Gibbs sampling. In Proceedings of the Third International Workshop on Distributed Statistical Computing (DSC2003), Vienna, Austria, 20–22 March 2003. [Google Scholar]
- Wambaugh, J.F.; Wetmore, B.A.; Ring, C.L.; Nicolas, C.I.; Pearce, R.G.; Honda, G.S.; Dinallo, R.; Angus, D.; Gilbert, J.; Sierra, T.; et al. Assessing Toxicokinetic Uncertainty and Variability in Risk Prioritization. Toxicol. Sci. 2019, 172, 235–251. [Google Scholar] [CrossRef]
- Denwood, M.J. Runjags: An R Package Providing Interface Utilities, Model Templates, Parallel Computing Methods and Additional Distributions for MCMC Models in JAGS. J. Stat. Softw. 2016, 71, 1–25. [Google Scholar] [CrossRef]
- Houck, K.A.; Friedman, K.P.; Feshuk, M.; Patlewicz, G.; Smeltz, M.; Clifton, M.S.; Wetmore, B.A.; Velichko, S.; Berenyi, A.; Berg, E.L. Evaluation of 147 perfluoroalkyl substances for immunotoxic and other (patho)physiological activities through phenotypic screening of human primary cells. ALTEX-Altern. Anim. Exp. 2022, 40, 248–270. [Google Scholar] [CrossRef] [PubMed]
- Tebes-Stevens, C.; Patel, J.M.; Jones, W.J.; Weber, E.J. Prediction of Hydrolysis Products of Organic Chemicals under Environmental pH Conditions. Environ. Sci. Technol. 2017, 51, 5008–5016. [Google Scholar] [CrossRef]
- Weber, E.J.; Tebes-Stevens, C.; Washington, J.W.; Gladstone, R. Development of a PFAS reaction library: Identifying plausible transformation pathways in environmental and biological systems. Environ. Sci. Process Impacts 2022, 24, 689–753. [Google Scholar] [CrossRef]
- Pearce, R.G.; Setzer, R.W.; Strope, C.L.; Wambaugh, J.F.; Sipes, N.S. httk: R Package for High-Throughput Toxicokinetics. J. Stat. Softw. 2017, 79, 1. [Google Scholar] [CrossRef]
- Dawson, D.E.; Ingle, B.L.; Phillips, K.A.; Nichols, J.W.; Tornero-Velez, R. Designing QSARs for parameters of high-throughput models using open-source descriptors. Environ. Sci. Technol. 2021, 55, 6505–6517. [Google Scholar] [CrossRef]
- Kim, M.; Li, L.Y.; Grace, J.R.; Yue, C. Selecting reliable physicochemical properties of perfluoroalkyl and polyfluoroalkyl substances (PFAS) based on molecular descriptors. Environ. Pollut. 2015, 196, 462–472. [Google Scholar] [CrossRef] [PubMed]
- Lampic, A.; Parnis, J.M. Property Estimation of Per- and Polyfluoroalkyl Substances: A Comparative Assessment of Estimation Methods. Environ. Toxicol. Chem. 2020, 39, 775–786. [Google Scholar] [CrossRef]
- Honda, G.S.; Pearce, R.G.; Pham, L.L.; Setzer, R.W.; Wetmore, B.A.; Sipes, N.S.; Gilbert, J.; Franz, B.; Thomas, R.S.; Wambaugh, J.F. Using the concordance of in vitro and in vivo data to evaluate extrapolation assumptions. PLoS ONE 2019, 14, e0217564. [Google Scholar] [CrossRef]
- Rotroff, D.M.; Wetmore, B.A.; Dix, D.J.; Ferguson, S.S.; Clewell, H.J.; Houck, K.A.; Lecluyse, E.L.; Andersen, M.E.; Judson, R.S.; Smith, C.M.; et al. Incorporating human dosimetry and exposure into high-throughput in vitro toxicity screening. Toxicol. Sci. 2010, 117, 348–358. [Google Scholar] [CrossRef]
- Zhang, Y.; Bao, Z.P.; Xu, J.X.; Wu, X.F. Palladium-Catalyzed Perfluoroalkylative Carbonylation of 2-Allylaryl Trifluoromethanesulfonates: Base-Controlled Selective Access to beta-Perfluoroalkyl Amides. Org. Lett. 2022, 24, 6845–6850. [Google Scholar] [CrossRef]
- Morales-McDevitt, M.E.; Becanova, J.; Blum, A.; Bruton, T.A.; Vojta, S.; Woodward, M.; Lohmann, R. The Air that we Breathe: Neutral and volatile PFAS in Indoor Air. Environ. Sci. Technol. Lett. 2021, 8, 897–902. [Google Scholar] [CrossRef]
- Bassetto, M.; Ferla, S.; Pertusati, F.; Kandil, S.; Westwell, A.D.; Brancale, A.; McGuigan, C. Design and synthesis of novel bicalutamide and enzalutamide derivatives as antiproliferative agents for the treatment of prostate cancer. Eur. J. Med. Chem. 2016, 118, 230–243. [Google Scholar] [CrossRef]
- Obach, R.S.; Walker, G.S.; Brodney, M.A. Biosynthesis of Fluorinated Analogs of Drugs Using Human Cytochrome P450 Enzymes Followed by Deoxyfluorination and Quantitative Nuclear Magnetic Resonance Spectroscopy to Improve Metabolic Stability. Drug Metab. Dispos. 2016, 44, 634–646. [Google Scholar] [CrossRef]
- Wang, J.; Sanchez-Rosello, M.; Acena, J.L.; del Pozo, C.; Sorochinsky, A.E.; Fustero, S.; Soloshonok, V.A.; Liu, H. Fluorine in pharmaceutical industry: Fluorine-containing drugs introduced to the market in the last decade (2001–2011). Chem. Rev. 2014, 114, 2432–2506. [Google Scholar] [CrossRef]
- Butt, C.M.; Muir, D.C.; Mabury, S.A. Biotransformation pathways of fluorotelomer-based polyfluoroalkyl substances: A review. Environ. Toxicol. Chem. 2014, 33, 243–267. [Google Scholar] [CrossRef]
- Nabb, D.L.; Szostek, B.; Himmelstein, M.W.; Mawn, M.P.; Gargas, M.L.; Sweeney, L.M.; Stadler, J.C.; Buck, R.C.; Fasano, W.J. In vitro metabolism of 8–2 fluorotelomer alcohol: Interspecies comparisons and metabolic pathway refinement. Toxicol. Sci. 2007, 100, 333–344. [Google Scholar] [CrossRef]




| PFAS Groupings with Uses in Consumer and Manufacturing Products | |||
|---|---|---|---|
| PFAS Group | Chemicals Present in Study | Example(s) | Uses * |
| Fluorotelomer Alcohols (FTOHs) | 10 | 4:2 FTOH; 6:2 FTOH; 8:2 FTOH | Coatings, waxes, paints, varnishes, and inks (nonstick cookware); cosmetic and personal care products (foundation, mascara); fire-fighting foams; medical uses (dental care products); paper and cardboard packaging; plastics, resins, and rubber; sporting goods; and textiles (antifogging cloths, apparel). |
| Other Polyfluorinated Alcohols | 10 | Dodecafluoroheptanol; Perfluoropinacol | Coatings, waxes, paints, varnishes, and inks; cosmetic and personal care products (mascara); oil and gas surfactants; paper and cardboard packaging; photography agents; plastics, resins, and rubber; semiconductor surfactants; textiles; and transportation materials. |
| Acrylates (methacrylates, diacrylates) | 12 | 8:2 Fluorotelomer acrylate; 6:2 Fluorotelomer methacrylate | Coatings, waxes, paints, varnishes, and inks; cosmetic and personal care products (hair care items); fire-fighting foams; medical uses (contact lenses); paper and cardboard packaging; plastics, resins, and rubber; textiles (apparel); and transportation materials. |
| Halides (Br, I) | 9 | Perfluoro-1,4-diiodobutane; 1,6-Dibromododecafluorohexane | Coatings, waxes, paints, varnishes, and inks; oil and gas surfactants; paper and cardboard packaging; pesticide and fertilizer formulations; photography agents (contrast agents); plastics, resins, and rubber; refrigerants; semiconductor surfactants; textiles; and transportation materials. |
| Amines | 6 | 1H,1H-Perfluoroheptylamine | Dry-cleaning systems; electronics (fluids); fire-fighting foams; medical uses (oxygen carriers in cells, pharmaceutical processing aids); oil and gas surfactants; paper and cardboard packaging; photography agents; semiconductor surfactants; and textiles. |
| Amides | 7 | Heptafluorobutyramide | Coatings, waxes, paints, varnishes, and inks; cosmetic and personal care products (hair care products); fire-fighting foams; oil and gas surfactants; paper and cardboard packaging; pesticide and fertilizer formulations; photography agents; semiconductor surfactants; textiles (apparel); and transportation materials. |
| Alkanes | 2 | 1-(Perfluorohexyl)octane | Coatings, waxes, paints, varnishes, and inks; cosmetic and personal care products (make-up, creams); medical uses (ophthalmological surgical aid); refrigerants; scientific materials (tracing agents); and sporting goods (ski wax). |
| Ethers, Esters, and Ethoxylates | 10 | Methyl 2H,2H,3H,3H-perfluoroheptanoate; tris(Trifluoroethoxy)methane; 1H,1H-Heptafluorobutyl epoxide | Coatings, waxes, paints, varnishes, and inks; cosmetic and personal care products (soap, shampoo); fire-fighting foams; medical uses (contact lenses); mining; oil and gas surfactants; paper and cardboard packaging; photography agents; plastics, resins, and rubber; semiconductor surfactants; textiles; and transportation materials. |
| Silanes | 2 | Trichloro((perfluorohexyl)ethyl) silane | Coatings, waxes, paints, varnishes, and inks; cosmetic and personal care products (make-up, moisturizers, lip balm); semiconductor surfactants; and textiles. |
| Sulfur-containing | 4 | 2-(Perfluorooctyl)ethanthiol | Cosmetic and personal care products; fire-fighting foams; paper and cardboard packaging; textiles; and transportation materials. |
| Diketones | 1 | (Heptafluorobutanoyl)pivaloyl methane | Fire-fighting foams and textiles. |
| DTXSID | Compound Name | Mol. Wt. (g/mol) | fup | In Vitro Clint (μL/min/106 cells) a | Clrenal (L/h) a | Clhep (L/h) a | Css (μM) a | LOEC (μM) b | AED (mg/kg/Day) |
|---|---|---|---|---|---|---|---|---|---|
| DTXSID3059927 | Hexafluoroamylene glycol | 212.09 | 0.6770 | 0.00 | 6.7 | 0.000 | 2.07 | 2 | 0.966 |
| DTXSID0059871 | Pentafluoropropionamide | 163.05 | 0.8089 | 0.00 | 6.7 | 0.000 | 2.69 | 20 | 7.431 |
| DTXSID80310730 | Octafluoroadipamide | 288.10 | 0.8201 | 2.95 | 6.7 | 23.099 | 0.34 | 2 | 5.840 |
| DTXSID10382147 | 3-(Perfluoro-2-butyl) propane-1,2-diol | 294.12 | 0.3696 | 5.88 | 4.5024 | 28.460 | 0.30 | 2 | 6.595 |
| DTXSID70381090 | 1H,1H,8H,8H-Perfluoro-3,6-dioxaoctane-1,8-diol | 294.10 | 0.2069 | 6.72 | 2.5204 | 20.549 | 0.43 | 7 | 16.154 |
| DTXSID70366226 | Perfluoropentanamide | 245.07 | 0.5417 | 14.68 | 6.5989 | 56.570 | 0.19 | 7 | 36.860 |
| DTXSID00380798 | 1H,1H,11H,11H-Perfluorotetraethylene glycol | 410.11 | 0.0128 | 19.93 | 0.1559 | 4.634 | 1.50 | 2 | 1.336 |
| DTXSID2060965 | Heptafluorobutyramide | 213.06 | 0.6030 | 19.95 | 6.7 | 63.013 | 0.20 | 20 | 101.039 |
| DTXSID30396867 | 1H,1H,8H,8H-Perfluorooctane-1,8-diol | 362.12 | 0.0560 | 20.01 | 0.6822 | 17.326 | 0.45 | 7 | 15.526 |
| DTXSID30340244 | 1H,1H,7H-Perfluoroheptyl 4-methylbenzenesulfonate | 486.27 | 0.0290 | 23.85 | 0.0158 | 0.588 | 10.01 | 7 | 0.700 |
| DTXSID60400587 | Nonafluoropentanamide | 263.03 | 0.1985 | 26.03 | 2.4181 | 47.130 | 0.23 | 7 | 31.034 |
| DTXSID1062122 | 4:2 Fluorotelomer alcohol | 264.09 | 0.1680 | 37.71 | 2.0465 | 51.672 | 0.21 | 2 | 9.651 |
| DTXSID50369896 | 1H,1H,10H,10H-Perfluorodecane-1,10-diol | 462.13 | 0.0047 | 49.86 | 0.0573 | 4.275 | 1.47 | 2 | 1.362 |
| DTXSID8037708 | Ammonium perfluorooctanoate (PFOA) c | 414.07 | 0.0006 | 0.27 | 0.0073 | 0.003 | 681.96 | 2 | 0.003 |
| DTXSID8037706 | Potassium perfluorooctanesulfonate (PFOS) c | 500.13 | 0.0040 | 1.81 | 0.0487 | 0.138 | 31.41 | 7 | 0.223 |
| DTXSID3038939 | Perfluorooctanesulfonamide c | 499.15 | 0.0039 | 11.93 | 0.0475 | 0.882 | 6.33 | 2 | 0.316 |
Disclaimer/Publisher’s Note: The statements, opinions and data contained in all publications are solely those of the individual author(s) and contributor(s) and not of MDPI and/or the editor(s). MDPI and/or the editor(s) disclaim responsibility for any injury to people or property resulting from any ideas, methods, instructions or products referred to in the content. |
© 2023 by the authors. Licensee MDPI, Basel, Switzerland. This article is an open access article distributed under the terms and conditions of the Creative Commons Attribution (CC BY) license (https://creativecommons.org/licenses/by/4.0/).
Share and Cite
Kreutz, A.; Clifton, M.S.; Henderson, W.M.; Smeltz, M.G.; Phillips, M.; Wambaugh, J.F.; Wetmore, B.A. Category-Based Toxicokinetic Evaluations of Data-Poor Per- and Polyfluoroalkyl Substances (PFAS) using Gas Chromatography Coupled with Mass Spectrometry. Toxics 2023, 11, 463. https://doi.org/10.3390/toxics11050463
Kreutz A, Clifton MS, Henderson WM, Smeltz MG, Phillips M, Wambaugh JF, Wetmore BA. Category-Based Toxicokinetic Evaluations of Data-Poor Per- and Polyfluoroalkyl Substances (PFAS) using Gas Chromatography Coupled with Mass Spectrometry. Toxics. 2023; 11(5):463. https://doi.org/10.3390/toxics11050463
Chicago/Turabian StyleKreutz, Anna, Matthew S. Clifton, W. Matthew Henderson, Marci G. Smeltz, Matthew Phillips, John F. Wambaugh, and Barbara A. Wetmore. 2023. "Category-Based Toxicokinetic Evaluations of Data-Poor Per- and Polyfluoroalkyl Substances (PFAS) using Gas Chromatography Coupled with Mass Spectrometry" Toxics 11, no. 5: 463. https://doi.org/10.3390/toxics11050463
APA StyleKreutz, A., Clifton, M. S., Henderson, W. M., Smeltz, M. G., Phillips, M., Wambaugh, J. F., & Wetmore, B. A. (2023). Category-Based Toxicokinetic Evaluations of Data-Poor Per- and Polyfluoroalkyl Substances (PFAS) using Gas Chromatography Coupled with Mass Spectrometry. Toxics, 11(5), 463. https://doi.org/10.3390/toxics11050463

