Sign in to use this feature.

Years

Between: -

Subjects

remove_circle_outline
remove_circle_outline
remove_circle_outline
remove_circle_outline
remove_circle_outline
remove_circle_outline
remove_circle_outline
remove_circle_outline
remove_circle_outline

Journals

remove_circle_outline
remove_circle_outline
remove_circle_outline
remove_circle_outline
remove_circle_outline
remove_circle_outline
remove_circle_outline
remove_circle_outline
remove_circle_outline
remove_circle_outline
remove_circle_outline
remove_circle_outline
remove_circle_outline
remove_circle_outline
remove_circle_outline
remove_circle_outline

Article Types

Countries / Regions

remove_circle_outline
remove_circle_outline
remove_circle_outline
remove_circle_outline

Search Results (879)

Search Parameters:
Keywords = PFAS

Order results
Result details
Results per page
Select all
Export citation of selected articles as:
30 pages, 1740 KB  
Article
Untargeted Metabolomics Profiling of a PFAS-Exposed Flemish Population
by María del Mar Delgado-Povedano, Haesong Sher, Leen Jacobs, Maria van de Lavoir, Rani Robeyns, Ann Colles, Eva Govarts, Elly Den Hond, Giulia Poma, Alexander L. N. van Nuijs and Adrian Covaci
Metabolites 2026, 16(2), 135; https://doi.org/10.3390/metabo16020135 (registering DOI) - 15 Feb 2026
Abstract
Background/Objectives: Per- and polyfluoroalkyl substances (PFAS) are persistent environmental pollutants that accumulate in humans through everyday exposure pathways, raising concern about long-term metabolic health effects in exposed populations. This study aimed to characterize PFAS-associated serum metabolic alterations in a Flemish population residing [...] Read more.
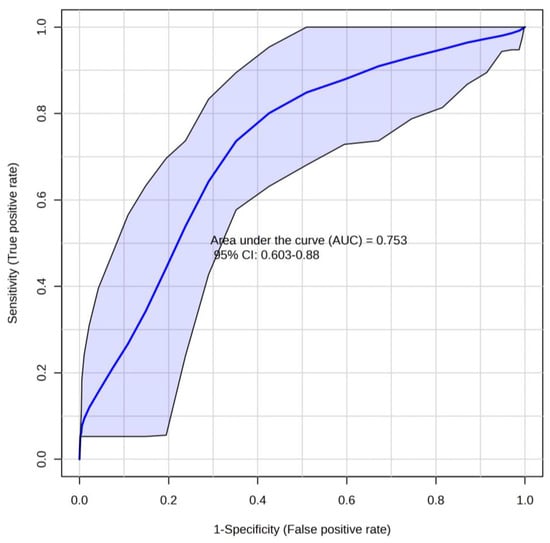
Background/Objectives: Per- and polyfluoroalkyl substances (PFAS) are persistent environmental pollutants that accumulate in humans through everyday exposure pathways, raising concern about long-term metabolic health effects in exposed populations. This study aimed to characterize PFAS-associated serum metabolic alterations in a Flemish population residing within a 3 km radius of a PFAS production facility using untargeted metabolomics and lipidomics. Methods: A cohort of 82 adults was stratified into high-exposure (n = 41, median total PFAS = 162.0 ng/mL) and low-exposure (n = 41, median total PFAS = 7.2 ng/mL) groups. Serum metabolic profiling was performed using four liquid chromatography–high-resolution mass spectrometry (LC-HRMS)-based platforms. Univariate and multivariate statistics were conducted to identify metabolites that were differentially expressed between both exposure groups. Results: The analysis revealed 38 altered metabolites. Overall, high PFAS exposure was characterized by upregulation of phosphatidylglycerols (PG), phosphatidylinositols, phosphatidylethanolamines (PE), and triacylglycerols (TG) and downregulation of sphingomyelins, with differential regulation of ceramides, hexosylceramides (HexCer), and phosphatidylcholines. Glycerophospholipid metabolism as well as sphingolipid metabolism pathways were identified as perturbed. Seven lipids and one amino acid showed weak-to-strong correlations (|r|= 0.23–0.61) with PFAS levels. A panel of five metabolites was selected to explore whether they collectively form a potential metabolic signature associated with PFAS exposure. This panel, including L-aspartic acid, PG 18:0_18:2, HexCer (d18:1/14:0), PE 16:0_18:3, and TG 16:0_20:5_22:6, showed moderate discrimination between residents with high and low PFAS levels (area under the curve, AUC = 0.753). Conclusions: This study identifies coordinated lipid metabolic changes associated with PFAS exposure and highlights a small, exploratory metabolite panel that may provide complementary insight into the biological effects of PFAS. Full article
(This article belongs to the Special Issue Proteomics and Metabolomics in Human Health and Disease)
Show Figures

Figure 1

17 pages, 4768 KB  
Article
An Integrated Adsorption–Regeneration–Distillation–Plasma System for Low-Energy PFAS Remediation with Waste Heat and Solvent Recovery
by Zongjie Wang, Naixin Kang, Yongyuan Yang and Dajun Ren
Processes 2026, 14(4), 665; https://doi.org/10.3390/pr14040665 (registering DOI) - 14 Feb 2026
Abstract
The extreme persistence of per- and polyfluoroalkyl substances (PFAS), exemplified by perfluorooctanoic acid (PFOA), demands remediation technologies that surpass conventional approaches. This study introduces a novel closed-loop adsorption–regeneration–distillation–plasma (ARDP) process designed for high-efficiency PFOA removal with low energy and chemical consumption. Comparative evaluation [...] Read more.
The extreme persistence of per- and polyfluoroalkyl substances (PFAS), exemplified by perfluorooctanoic acid (PFOA), demands remediation technologies that surpass conventional approaches. This study introduces a novel closed-loop adsorption–regeneration–distillation–plasma (ARDP) process designed for high-efficiency PFOA removal with low energy and chemical consumption. Comparative evaluation of anion-exchange resins identified D311 (macroporous methyl polyacrylate) as the optimal adsorbent. In batch experiments with an initial PFOA concentration of 100 mg/L, D311 achieved an adsorption capacity of ~20 mg/g, exhibited rapid kinetics, and achieved high regeneration efficiency (up to 100% under optimized conditions) via a methanol–NaCl solution. Distillation of the spent regenerant recovered approximately 80% of methanol while simultaneously concentrating PFOA for subsequent destruction, accomplished by utilizing waste heat from the plasma system, without the need for additional thermal energy input. Subsequent dielectric barrier discharge (DBD) plasma treatment of the residue achieved 100% PFOA degradation and up to 69% defluorination. The ARDP process proves to be a highly sustainable strategy, characterized by a low specific energy input (4.15 kWh/m3) and minimized secondary waste, making it a promising approach for practical PFAS remediation. Full article
(This article belongs to the Special Issue Advances in Remediation of Contaminated Sites: 3rd Edition)
Show Figures

Figure 1

22 pages, 10720 KB  
Article
Return to the Roots—Experimental Work on Water-Lubricated Bearings with Lignum Vitae Wood Bearing Bushes and Comparison with Other Similar Solutions
by Michał Wasilczuk, Bob Shortridge and Wojciech Litwin
Lubricants 2026, 14(2), 85; https://doi.org/10.3390/lubricants14020085 - 12 Feb 2026
Viewed by 127
Abstract
The results of experimental tests of six various water-lubricated bearings are described. Tests were performed under conditions typical for marine stern tube bearings. The acquired low-friction coefficient values indicated that the bearings operated in the fluid friction regime over a wide range of [...] Read more.
The results of experimental tests of six various water-lubricated bearings are described. Tests were performed under conditions typical for marine stern tube bearings. The acquired low-friction coefficient values indicated that the bearings operated in the fluid friction regime over a wide range of sliding speeds and loads. Due to elastic deformations of the flexible non-metal bushings, it was not possible to measure the lubricant film thickness to confirm this phenomenon. Studying measured hydrodynamic pressure distribution profiles, and thanks to lifting force calculation, it was proven that hydrodynamic phenomena occur between strongly deformed, rough surfaces lubricated by a low-viscosity fluid. Full article
(This article belongs to the Special Issue Water Lubricated Bearings)
Show Figures

Figure 1

20 pages, 1848 KB  
Article
Adsorption of Perfluorooctanoic Acid from Aqueous Media Using an Engineered Sugarcane Bagasse Biochar–Chitosan Composite
by K. Pavithra and Paromita Chakraborty
ChemEngineering 2026, 10(2), 30; https://doi.org/10.3390/chemengineering10020030 (registering DOI) - 11 Feb 2026
Viewed by 134
Abstract
In the recent years, several studies from developing economies have reported the presence of per- and polyfluoroalkyl substances (PFAS) in water bodies, with perfluorooctanoic acid (PFOA) predominating, a potential endocrine disruptor. In this study, an engineered sugarcane bagasse biochar–chitosan composite (SBCT) was designed, [...] Read more.
In the recent years, several studies from developing economies have reported the presence of per- and polyfluoroalkyl substances (PFAS) in water bodies, with perfluorooctanoic acid (PFOA) predominating, a potential endocrine disruptor. In this study, an engineered sugarcane bagasse biochar–chitosan composite (SBCT) was designed, synthesized, and evaluated as a novel adsorbent for the removal of PFOA from aqueous systems at concentrations up to 500 ppb. Batch adsorption experiments were conducted to investigate the effects of initial PFOA concentration, contact time, pH, adsorbent dosage, and temperature. Scanning electron microscopy (SEM) showed that SBCT has a significant porous structure. The composite showed over 90% of PFOA removal from water. Further, peaks corresponding to C–F bonds observed after adsorption by Fourier transform infrared (FTIR) spectroscopy confirms the adsorption of PFOA on SBCT. The protonated amine groups (NH3+) in chitosan enhanced the adsorption of anionic PFOA through electrostatic attraction with carboxyl groups (COO). The kinetic study revealed that pseudo-first-order best described the adsorption process, with an equilibrium adsorption capacity (qeq) of 2.78 mg/g, suggesting that physisorption is the predominant mechanism. The Langmuir Isotherm model gave the best fit, establishing a maximum adsorption capacity (qmax) of 9.08 mg/g. Thermodynamic analysis revealed that the adsorption process was spontaneous and exothermic, consistent with physisorption. The regeneration capacity of the SBCT composite demonstrated exceptional reusability over five methanol adsorption–desorption cycles. The adsorption kinetics, equilibrium behavior, and regeneration efficiency suggest that SBCT is a viable low-cost adsorbent for batch adsorption-based treatment systems targeting PFOA removal, particularly in decentralized and resource-constrained water treatment applications. Full article
Show Figures

Graphical abstract

1 pages, 121 KB  
Correction
Correction: Evrendilek, F.; Evrendilek, G.A. Coupling Bayesian Optimization with Generalized Linear Mixed Models for Managing Spatiotemporal Dynamics of Sediment PFAS. Processes 2026, 14, 413
by Fatih Evrendilek and Gulsun Akdemir Evrendilek
Processes 2026, 14(4), 605; https://doi.org/10.3390/pr14040605 - 10 Feb 2026
Viewed by 100
Abstract
In the published publication [...] Full article
30 pages, 2181 KB  
Review
Urban Parks as Beneficial and POP-Contaminated Landscapes
by João P. V. Ferreira, Luís Pinto da Silva and Joaquim C. G. Esteves da Silva
Environments 2026, 13(2), 92; https://doi.org/10.3390/environments13020092 - 7 Feb 2026
Viewed by 206
Abstract
Urban parks are essential to sustainable cities, providing climate regulation, supporting biodiversity, and offering vital spaces for recreation and overall well-being. At the same time, their soils can act as long-term reservoirs for persistent organic pollutants (POPs), reflecting decades of atmospheric deposition, diffuse [...] Read more.
Urban parks are essential to sustainable cities, providing climate regulation, supporting biodiversity, and offering vital spaces for recreation and overall well-being. At the same time, their soils can act as long-term reservoirs for persistent organic pollutants (POPs), reflecting decades of atmospheric deposition, diffuse urban emissions, and historical land-use practices. This review synthesises current knowledge on the occurrence, sources, and environmental behaviour of priority POPs, including OCPs, PCBs, PCDD/Fs, PBDEs, PFAS, and PAHs, in the soils of urban parks and gardens worldwide. Evidence from multiple regions reveals consistent patterns: urban parks accumulate complex mixtures of legacy and emerging contaminants, reflecting both historical inputs and ongoing urban activities. These contaminants primarily contribute to scenarios of chronic, low-level exposure through the ingestion of soil and dust, inhalation of resuspended particles, dermal contact, and, in some cases, dietary intake when food is cultivated in contaminated park soils. While such exposure pathways have been associated with a range of adverse health outcomes in toxicological and epidemiological studies, the presence of POPs in park soils does not imply that urban parks represent hazardous environments. Instead, it emphasises the importance of proportionate, evidence-based assessments within spaces that yield substantial net benefits to public health. Despite growing research interest, significant gaps remain, including limited understanding of mixture toxicity, insufficient data on temporal trends, a lack of harmonised monitoring strategies, and the absence of exposure scenarios specifically tailored to recreational soils. This review also examines major international and European regulatory frameworks and soil-quality guideline approaches relevant to urban and recreational soils, identifying mismatches between scientific evidence and regulatory practice. By integrating perspectives from environmental chemistry, toxicology, urban ecology, and policy, this review highlights the importance of targeted monitoring and context-specific management strategies to ensure that urban parks remain safe, healthy, and equitable components of increasingly complex urban landscapes. Full article
Show Figures

Figure 1

29 pages, 5833 KB  
Article
Spacio-Linear Screening for Ligand-Docking Cavities in Protein Structures: SLAM Algorithm
by Julia Panov, Alexander Elbert, Dean S. Rosenthal, Moshe Levi, Konstantin Chumakov, Raul Andino, Leonid Brodsky and Hanoch Kaphzan
Life 2026, 16(2), 285; https://doi.org/10.3390/life16020285 - 7 Feb 2026
Viewed by 144
Abstract
Identifying structurally similar ligand-binding sites in unrelated proteins can facilitate drug repurposing, reveal off-target effects, and deepen our understanding of protein function. A number of tools were developed for structural screening, but many of them suffer from limited sensitivity and scalability. Using a [...] Read more.
Identifying structurally similar ligand-binding sites in unrelated proteins can facilitate drug repurposing, reveal off-target effects, and deepen our understanding of protein function. A number of tools were developed for structural screening, but many of them suffer from limited sensitivity and scalability. Using a data bank of crystallized protein structures, we aimed to discover novel protein targets for a ligand by leveraging a known ligand-binding query protein with a resolved structure. Here, we present SLAM (Spacio-Linear Alignment of Macromolecules), a novel alignment-based algorithm that detects local 3D similarities between ligand-binding cavities or protein-exposed surfaces of query and target proteins. SLAM encodes spatial substructure neighborhoods into short linear sequences of physicochemically annotated atoms, then applies pairwise sequence alignment combined with distance-correlation scoring to identify high-fidelity structural matches. Benchmarking using the Kahraman-36 dataset demonstrated that SLAM outperforms the state-of-the-art ProBiS algorithm in true-positive rate for predicting ligand-docking compatibility. Furthermore, SLAM identifies candidate ligands that may inhibit functionally critical domains of CRISPR-Cas proteins and predicts novel binding partners of toxic per- and polyfluoroalkyl Substance (PFAS) compounds (PFOA, PFOS) with plausible mechanistic links to toxicity. In conclusion, SLAM is a robust computationally efficient and flexible structural screening tool capable of detecting subtle physicochemical compatibilities between protein surfaces, promising to accelerate target discovery in pharmacology and elucidate protein–ligand interactions in environmental toxicology. Full article
(This article belongs to the Section Biochemistry, Biophysics and Computational Biology)
Show Figures

Figure 1

19 pages, 1729 KB  
Article
Association of PFAS, Metals, Phthalate and Organophosphate Metabolites with Depression Among U.S. Adults
by Olamide Ogundare and Emmanuel Obeng-Gyasi
Int. J. Environ. Res. Public Health 2026, 23(2), 205; https://doi.org/10.3390/ijerph23020205 - 6 Feb 2026
Viewed by 224
Abstract
Depression is a major public health concern, and evidence continues to show that environmental toxicants may contribute to its development. This study evaluated the association between depressive symptoms and per- and polyfluoroalkyl substances (PFAS), heavy metals, phthalates, and organophosphate metabolites using data from [...] Read more.
Depression is a major public health concern, and evidence continues to show that environmental toxicants may contribute to its development. This study evaluated the association between depressive symptoms and per- and polyfluoroalkyl substances (PFAS), heavy metals, phthalates, and organophosphate metabolites using data from NHANES 2017–2018. Depressive symptoms were measured with the Patient Health Questionnaire-9 (PHQ-9). Environmental exposure variables were analyzed using multivariable linear regression and Bayesian Kernel Machine Regression (BKMR). All models adjusted for demographic, socioeconomic, behavioral, and clinical covariates. In multivariable linear regression models adjusted for demographic, socioeconomic, behavioral, and clinical covariates, higher urinary dimethylphosphate concentrations were significantly associated with increased depressive symptom scores (β = 0.15; 95% CI: 0.04, 0.27; p = 0.0098). Mono-(2-ethylhexyl) phthalate (MEHP) was also positively associated with PHQ-9 scores (β = 0.001; 95% CI: 0.0003, 0.0019; p = 0.0043). Because environmental mixtures tend to follow non-linear patterns, BKMR analysis was run. BKMR analyses indicated that organophosphate metabolites exhibited the greatest overall contribution to depressive symptoms (group posterior inclusion probability = 0.7875), with diethylphosphate emerging as the most influential individual exposure within the group (conditional PIP = 0.7211). Exposure–response functions suggested non-linear and threshold relationships for several metabolites. These findings identify specific organophosphate and phthalate metabolites as potential contributors to depressive symptoms and support the importance of evaluating chemical mixtures rather than single exposures. Additional longitudinal studies are needed to clarify temporal relationships and to inform public health efforts aimed at reducing exposure to organophosphate pesticides and endocrine-disrupting chemicals. Full article
Show Figures

Figure 1

16 pages, 2554 KB  
Article
A Dual-Function Air Plasma Process for Enhanced PFOA Defluorination and Waste-Activated Sludge Solubilization via Reactive Nitrogen and Oxygen Species
by Zheng Tang, Naixing Kang, Dajun Ren and Yongyuan Yang
Environments 2026, 13(2), 91; https://doi.org/10.3390/environments13020091 - 5 Feb 2026
Viewed by 309
Abstract
Perfluoroalkyl and polyfluoroalkyl substances (PFASs) have been identified as forever chemicals and pose a serious threat to the environment due to their stable C–F bond. The current methods are ineffective or costly for PFAS remediation. In response, this study develops a dielectric barrier [...] Read more.
Perfluoroalkyl and polyfluoroalkyl substances (PFASs) have been identified as forever chemicals and pose a serious threat to the environment due to their stable C–F bond. The current methods are ineffective or costly for PFAS remediation. In response, this study develops a dielectric barrier discharge (DBD) air plasma system capable of simultaneously treating perfluorooctanoic acid (PFOA)-contaminated wastewater and enhancing waste-activated sludge (WAS) solubilization through the subsequent use of plasma-activated water (PAW). Air plasma achieved 94% PFOA degradation and 32% defluorination within 40 min—substantially outperforming Ar and N2 plasma—due to the co-generation of hydrated electrons (eaq), OH, and reactive nitrogen species (RNS). Scavenging experiments confirmed that eaq is the primary initiator of C–F bond cleavage, while H2O2 and NO2 synergistically form peroxynitrous acid (ONOOH), further promoting chain-shortening reactions. UPLC-MS identified PFHpA, PFHxA, PFPeA, and PFBA as key intermediates. The air plasma effluent contained high concentrations of NO2-N and H2O2 under acidic conditions, enabling PAW to induce strong oxidative stress on WAS, resulting in significant extracellular polymeric substance (EPS) release (DOC up to 134 mg/L), improved sludge filterability (capillary suction time (CST) reduced by ~85%), and shifts in microbial community. This study presents a dual-functional air plasma approach that enables both PFAS degradation and sludge treatment, improving the overall competitiveness and applicability of plasma technology for advanced wastewater treatment. Full article
Show Figures

Graphical abstract

11 pages, 501 KB  
Article
Subtle Cognitive Variability in Foetal Alcohol Syndrome Spectrum: Intelligence Profiles and Verbal Fluency Performance Across Diagnostic Categories in Polish Population
by Przemysław Zakowicz, Teresa Jadczak-Szumiło, Max Brzezicki, Kacper Jędrczak, Zuzanna Wiśniewska, Jarosław Bąbka and Maria Skibińska
J. Clin. Med. 2026, 15(3), 1233; https://doi.org/10.3390/jcm15031233 - 4 Feb 2026
Viewed by 466
Abstract
Background/Objectives: The foetal alcohol syndrome spectrum is linked with neurodevelopmental delay and cognitive and educational problems. Direct consequences of prenatal alcohol exposure include impaired processes of neural migration and brain development. Among the important features present in affected children are impaired communicational skills [...] Read more.
Background/Objectives: The foetal alcohol syndrome spectrum is linked with neurodevelopmental delay and cognitive and educational problems. Direct consequences of prenatal alcohol exposure include impaired processes of neural migration and brain development. Among the important features present in affected children are impaired communicational skills and intelligence. Methods: Here we presented the case–control comparison of 124 children with foetal alcohol syndrome spectrum disorder (FAS: 62 (50%), pFAS: 34 (27.42%) and ARND: 28 (22.58%)) and 53 healthy controls regarding intelligence quotient and a verbal fluency task. The verbal and non-verbal intelligence was measured using the WISC-R scale, and the verbal fluency task encompassed phonemic, semantic and categorial assessment in 15 and 60 s; we used the authors’ parental/caregiver survey to determine risk factors. In statistical analysis both methods of classical parametric/non-parametric tests and machine learning algorithms were used. Results: Foetal alcohol syndrome spectrum patients were clearly distinguished from healthy controls regarding total verbal and non-verbal intelligence, as well as all three categories of verbal fluency (p < 0.01). ML methods distinguished an FAS group with 0.49 precision and 80% recall and for pFAS and ARND diagnoses we obtained: 0.50/0.33 precision and 3%/7% recall. None of the parameters analysed in our study differentiated foetal alcohol syndrome, partial foetal alcohol syndrome and alcohol-related neurodevelopmental disorders. Conclusions: Children with foetal alcohol syndrome spectrum disorder markedly differ from healthy control subjects in intelligence and verbal fluency. The diagnostic sub-types of foetal alcohol spectrum are not clearly defined in obtained neuropsychological and clinical data. Full article
(This article belongs to the Section Clinical Pediatrics)
Show Figures

Figure 1

26 pages, 12470 KB  
Article
Read-Across Structural Analysis of PFAS Acute Oral Toxicity in Rats Powered by the Isalos Analytics Platform’s Automated Machine Learning
by Aikaterini Theodori, Konstantinos D. Papavasileiou, Andreas Tsoumanis, Georgia Melagraki and Antreas Afantitis
Toxics 2026, 14(2), 152; https://doi.org/10.3390/toxics14020152 - 3 Feb 2026
Viewed by 498
Abstract
The ubiquity and environmental persistence of per- and polyfluoroalkyl substances (PFASs) have raised significant concerns about their detrimental effects on human health. Collective scientific efforts are increasingly focused on elucidating PFAS toxicity mechanisms and identifying potential low-impact PFAS structures that retain the exceptional [...] Read more.
The ubiquity and environmental persistence of per- and polyfluoroalkyl substances (PFASs) have raised significant concerns about their detrimental effects on human health. Collective scientific efforts are increasingly focused on elucidating PFAS toxicity mechanisms and identifying potential low-impact PFAS structures that retain the exceptional properties of this chemical class. To advance the use of in silico methods in PFAS toxicity assessment, we developed a robust modelling framework for predicting PFAS acute oral toxicity class (high or low) in rats, leveraging the enhanced capabilities of the in-house Isalos Analytics Platform. The automated machine learning (autoML) functionality was employed to optimise four ML models—k-nearest neighbours (kNN), Random Forest (RF), eXtreme Gradient Boosting (XGBoost), and fully connected neural network (NN)—using Mold2 molecular descriptors, and to identify the top-performing model through five-fold cross-validation. The selected kNN model (k = 3) was used for predictions on the held-out testing set, achieving an accuracy of 81.5%, while a Shapley values analysis provided valuable insights into the factors influencing toxicity predictions. Furthermore, the nearest-neighbour-based methodology enabled a read-across structural analysis of PFAS similarity groups consisting of each testing set instance and its three closest neighbours in the training set. This analysis revealed a consistent association between polyaromatic and heterocyclic structural features and high acute oral toxicity. The developed, thoroughly validated read-across model is freely accessible through the INSIGHT RatTox web application as well as the INSIGHT Cheminformatics Platform in Enalos Cloud, supporting high-throughput screening of PFAS compounds and investigation of structural similarities with their nearest neighbours for enriched structural interpretation. Full article
(This article belongs to the Collection Predictive Toxicology)
Show Figures

Figure 1

22 pages, 1738 KB  
Article
Modified Zeolites as Alternative Adsorbents for PFAS Removal: A Comparative Study with Granular Activated Carbon
by Bijan Pouryousefi Markhali, Adam Farahani, Matheus Campos Duarte, Pooja Kaur Chaggar, Kazem Javan and Mariam Darestani
Clean Technol. 2026, 8(1), 21; https://doi.org/10.3390/cleantechnol8010021 - 3 Feb 2026
Viewed by 336
Abstract
Per- and polyfluoroalkyl substances (PFASs) are persistent and mobile contaminants of global concern, and, while granular activated carbon (GAC) is widely used for their removal, it is limited by the high regeneration and disposal costs. This study investigates surface-modified clinoptilolite zeolites as low-cost [...] Read more.
Per- and polyfluoroalkyl substances (PFASs) are persistent and mobile contaminants of global concern, and, while granular activated carbon (GAC) is widely used for their removal, it is limited by the high regeneration and disposal costs. This study investigates surface-modified clinoptilolite zeolites as low-cost and thermally regenerable alternatives to GAC for PFAS removal from water. Natural clinoptilolite was modified through acid washing, ion exchange with Fe3+ or La3+, grafting with aminosilane (APTES) or hydrophobic silane (DTMS), dual APTES + DTMS grafting, and graphene oxide coating. The adsorption performance was evaluated for perfluorooctanoic acid (PFOA, C8) and perfluorobutanoic acid (PFBA, C4) at 100 µg L−1 in single- and mixed-solute systems, with an additional high-concentration PFOA test (1 mg L−1). PFAS concentrations were quantified by liquid chromatography–tandem mass spectrometry (LC–MS/MS) using a SCIEX 7500 QTRAP system coupled to a Waters ACQUITY UPLC I-Class. Raw zeolite showed limited PFOA removal (4%), whereas dual-functionalized APTES + DTMS zeolites achieved up to 93% removal, comparable to GAC (97%) and superior to single-silane or metal-exchanged variants. At lower concentrations, modified zeolites effectively removed PFOA but showed limited PFBA removal (<25%), highlighting ongoing challenges for short-chain PFASs. Overall, the results demonstrate that dual-functionalized clinoptilolite zeolites represent a promising and scalable platform for PFAS remediation, particularly for mid- to long-chain compounds, provided that strategies for enhancing short-chain PFAS binding are further developed. Full article
Show Figures

Graphical abstract

23 pages, 993 KB  
Review
Photocatalysis and Electro-Oxidation for PFAS Degradation: Mechanisms, Performance, and Energy Efficiency
by Vincenzo Vietri, Vincenzo Vaiano, Olga Sacco and Antonietta Mancuso
Catalysts 2026, 16(2), 145; https://doi.org/10.3390/catal16020145 - 2 Feb 2026
Viewed by 295
Abstract
The continuous emission of persistent and bioaccumulative pollutants into aquatic environments has become a critical global issue. Among these, per- and polyfluoroalkyl substances (PFASs) are of particular concern due to their exceptional stability, extensive industrial use, and adverse impacts on ecosystems and human [...] Read more.
The continuous emission of persistent and bioaccumulative pollutants into aquatic environments has become a critical global issue. Among these, per- and polyfluoroalkyl substances (PFASs) are of particular concern due to their exceptional stability, extensive industrial use, and adverse impacts on ecosystems and human health. Their resistance to conventional physical, chemical, and biological treatments stems from the strength of the carbon–fluorine bond, which prevents efficient degradation under standard conditions. This review provides a concise and updated assessment of emerging advanced oxidation processes (AOPs) for PFAS remediation, with emphasis on heterogeneous photocatalysis and electrochemical oxidation. Photocatalytic systems based on In2O3, Bi-based oxyhalides, and Ga2O3 exhibit high PFAS degradation under UV light, while heterojunctions and MOF-derived catalysts improve defluorination under solar irradiation. Electrochemical oxidation—particularly using Ti4O7 reactive electrochemical membranes and BDD anodes—achieves near-complete mineralization with comparatively low specific energy demand. Energy consumption (EEO) was calculated from literature data for UV- and simulated-solar-driven photocatalytic systems, enabling a direct comparison of their energy performance. Although solar-driven processes offer clear environmental advantages, they generally exhibit higher EEO values, mainly due to lower apparent quantum yields and less efficient utilization of the incident solar photons compared to UV-driven systems. Hybrid systems coupling photocatalysis and electro-oxidation emerge as promising strategies to enhance degradation efficiency and reduce energy requirements. Overall, the review highlights key advances and future research directions toward scalable, energy-efficient, and environmentally sustainable AOP-based technologies for PFAS removal. Full article
Show Figures

Figure 1

18 pages, 3742 KB  
Brief Report
How Important Is Solid Phase PFAS Release from Legacy Coastal Landfills to the Water Environment?
by William M. Mayes, Sebastian J. Pitman, Alex L. Riley, Patrick Byrne, Ashley Lily, Adam P. Jarvis, Karen A. Hudson-Edwards and Ian T. Burke
Water 2026, 18(3), 383; https://doi.org/10.3390/w18030383 - 2 Feb 2026
Viewed by 325
Abstract
Historical landfills in coastal environments are at increasing risk of erosion under changing climate conditions. Various studies have highlighted pollutant release associated with potentially toxic elements and flame retardants from such erosional processes, but there has been little focus on per- and poly-fluoroalkyl [...] Read more.
Historical landfills in coastal environments are at increasing risk of erosion under changing climate conditions. Various studies have highlighted pollutant release associated with potentially toxic elements and flame retardants from such erosional processes, but there has been little focus on per- and poly-fluoroalkyl substance (PFAS) release as a result of physical erosion at such sites, despite landfills being highlighted as a key source of PFAS to the water environment. This study presents a rapid screening approach that could be adopted at scale by regulators to assess the presence and potential flux of PFAS released at three historical municipal waste landfill sites in the UK. The sites selected cover a range of epochs prior to rigorous environmental regulation from the second half of the twentieth century. At the older waste deposits (Withernsea: 1950s–1960s; Hessle: 1930s–1970s), all 52 PFAS analysed in solid materials were below the detection limits except for two samples where modest concentrations (0.92–1.98 ng/g) of perfluorooctane sulfonate (PFOS) and perfluoroethylcyclohexane sulfonate (PFecHS) were detected. At the more recently operational site (Crosby: 1970s–1980s), the legacy PFAS chemicals, PFOS and perfluorooctanoic acid (PFOA), were present in all samples in modest concentrations (6.01–8.22 ng/g for PFOS; 0.62–1.20ng/g for PFOA) below contaminated land thresholds. At this site, it was possible to model the flux of PFAS release based on LiDAR surveys of the eroding waste terrace over an 18-year period. This showed an annualised total solid phase PFAS (PFOS plus PFOA in this case) flux in the region of 2.5–16.9 g/yr, which is towards the lower end of the reported landfill leachate flux at inland sites. While such releases are relatively modest on an individual site basis, in transitional and coastal waters in heavily urbanised and (post-)industrial regions, the aggregated solid phase PFAS flux from the large number of eroding historical landfills (n = 114) could be significant. Full article
(This article belongs to the Section Water Quality and Contamination)
Show Figures

Figure 1

20 pages, 5520 KB  
Article
Assessment of Per- and Poly-Fluoroalkyl Substances (PFAS) and Polybrominated Diphenyl Ethers (PBDEs) in Surface Waters Used for Urban Water Supply in Brazil
by Juliana de Souza-Araujo, Isadhora Camargo dos Santos, Hansel David Burgos Melo, Leila Soledade Lemos, Natalia Quinete and André Henrique Rosa
Toxics 2026, 14(2), 148; https://doi.org/10.3390/toxics14020148 - 2 Feb 2026
Viewed by 429
Abstract
This study assesses the presence and distribution of per- and polyfluoroalkyl substances (PFAS) and polybrominated diphenyl ethers (PBDEs) in the surface waters of the Itupararanga Reservoir and the Sorocaba River, Brazil. Samples collected during the dry and rainy seasons were analyzed to determine [...] Read more.
This study assesses the presence and distribution of per- and polyfluoroalkyl substances (PFAS) and polybrominated diphenyl ethers (PBDEs) in the surface waters of the Itupararanga Reservoir and the Sorocaba River, Brazil. Samples collected during the dry and rainy seasons were analyzed to determine their composition, spatial distribution, and seasonal variability. Results indicate the ubiquitous presence of PFAS, with significantly higher concentrations in the dry season, suggesting point sources of contamination, such as industrial and domestic discharges. Perfluorobutanoic acid (PFBA), Perfluorooctane sulfonate (PFOS), and Perfluorooctanoic acid (PFOA) were the predominant compounds, while 6:2 Fluorotelomer sulfonate (6-2FTS) stood out for its abundance in areas with industrial activity. For PBDEs, marked seasonal variability was observed, with higher concentrations during the rainy season, suggesting the mobilization of these compounds by surface runoff. BDE-209 was the most abundant congener, representing over 58% of the total concentration of PBDEs detected. Concentrations of PFAS and PBDEs in the study area are comparable to those reported globally, although there are differences associated with industrial practices and local environmental dynamics. The increased presence of short-chain PFAS and Deca-BDEs highlights the need for ongoing monitoring and the implementation of regulatory measures to mitigate contamination in water sources used for human consumption. Full article
Show Figures

Graphical abstract

Back to TopTop