Ecotoxicological Assessment of Polluted Soils One Year after the Application of Different Soil Remediation Techniques
Abstract
1. Introduction
2. Materials and Methods
2.1. Study Area and Remediation Treatments
2.2. Soil Properties
2.3. Soil Metal Content Determination
2.4. Ecotoxicological Approach
2.4.1. Ecotoxicological Tests in Soil-Solid Fraction
2.4.2. Ecotoxicological Tests in Soil-Water Fraction
2.5. Statistical Analysis
3. Results and Discussion
3.1. Improvement of Soil Properties after Remediation
3.2. Availability and Solubility of the Studied Elements
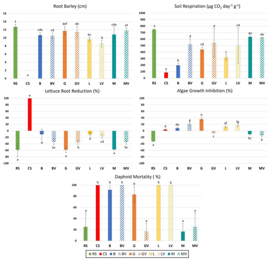
3.3. Effects of Metal Toxicity in Different Soil Organisms after Remediation
3.4. Effect of Soil Properties and Metal Availability in Organism Toxicity
4. Conclusions
Supplementary Materials
Author Contributions
Funding
Data Availability Statement
Acknowledgments
Conflicts of Interest
References
- Burgos, P.; Madejón, E.; Pérez-de-Mora, A.; Cabrera, F. Horizontal and vertical variability of soil properties in a trace element contaminated area. Int. J. Appl. Earth Obs. Geoinf. 2008, 10, 11–25. [Google Scholar] [CrossRef]
- Song, J.; Guo, Z.H.; Xiao, X.Y.; Miao, X.F.; Wang, F.Y. Environmental availability and profile characteristics of arsenic, cadmium, lead and zinc in metal-contaminated vegetable soils. Trans. Nonferr. Met. Soc. 2009, 19, 765–772. [Google Scholar] [CrossRef]
- He, Z.; Shentu, J.; Yang, X.; Baligar, V.C.; Zhang, T.; Stoffella, P.J. Heavy metal contamination of soils: Sources, indicators, and assessment. J. Environ. Indic. 2015, 9, 17–18. [Google Scholar]
- Liu, B.; Ai, S.; Zhang, W.; Huang, D.; Zhang, Y. Assessment of the bioavailability, bioaccessibility and transfer of heavy metals in the soil-grain-human systems near a mining and smelting area in NW China. Sci. Total Environ. 2017, 609, 822–829. [Google Scholar] [CrossRef] [PubMed]
- Palma, P.; López-Orozco, R.; Lourinha, C.; Oropesa, A.L.; Novais, M.H.; Alvarenga, P. Assessment of the environmental impact of an abandoned mine using an integrative approach: A case-study of the “Las Musas” mine (Extremadura, Spain). Sci. Total Environ. 2019, 659, 84–94. [Google Scholar] [CrossRef] [PubMed]
- Nikolic, N.; Kostic, L.; Djordjevic, A.; Nikolic, M. Phosphorus deficiency is the major limiting factor for wheat on alluvium polluted by the copper mine pyrite tailings: A black box approach. Plant Soil 2011, 339, 485–498. [Google Scholar] [CrossRef]
- Simón, M.; Martín-Peinado, F.J.; Ortiz-Bernad, I.; García, I.; Fernández, J.; Fernández-Ondoño, E.; Dorronsoro, C.; Aguilar, J. Soil pollution by oxidation of tailings from toxic spill of a pyrite mine. Sci. Total Environ. 2001, 279, 63–74. [Google Scholar] [CrossRef]
- Aguilar, J.; Dorronsoro, C.; Fernández-Ondoño, E.; Fernández, J.; García, I.; Martín-Peinado, F.J.; Sierra-Aragón, M.; Simón, M. Remediation of As-contaminated soils in the Guadiamar river basin (SW, Spain). Water Air Soil Pollut. 2007, 180, 109–118. [Google Scholar] [CrossRef]
- Simón, M.; Díez, M.; García, I.; Martín-Peinado, F.J. Distribution of As and Zn in soils affected by the spill of a pyrite mine and effectiveness of the remediation measures. Water Air Soil Pollut. 2008, 198, 77–85. [Google Scholar] [CrossRef]
- Pastor-Jáuregui, R.; Paniagua-López, M.; Martínez-Garzón, F.J.; Martín-Peinado, F.J.; Sierra-Aragón, M. Evolution of the residual pollution in soils after bioremediation treatments. Appl. Sci. 2020, 10, 1006. [Google Scholar] [CrossRef]
- Romero-Freire, A.; García, I.; Simón, M.; Martínez-Garzón, F.J.; Martín-Peinado, F.J. Long-term toxicity assessment of soils in a recovered area affected by a mining spill. Environ. Pollut. 2016, 208, 553–561. [Google Scholar] [CrossRef] [PubMed]
- García-Carmona, M.; Romero-Freire, A.; Sierra-Aragón, M.; Martínez-Garzón, F.J.; Martín Peinado, F.J. Evaluation of remediation techniques in soils affected by residual contamination with heavy metals and arsenic. J. Environ. Manag. 2017, 191, 228–236. [Google Scholar] [CrossRef] [PubMed]
- Sierra-Aragón, M.; Nakamaru, Y.M.; García-Carmona, M.; Martínez Garzón, F.J.; Martín Peinado, F.J. The role of organic amendment in soils affected by residual pollution of potentially harmful elements. Chemosphere 2019, 237, 124549. [Google Scholar] [CrossRef]
- Martín-Peinado, F.J.; Romero-Freire, A.; García, I.; Sierra-Aragón, M.; Ortiz-Bernad, I.; Simón, M. Long-term contamination in a recovered area affected by a mining spill. Sci. Total Environ. 2015, 514, 219–223. [Google Scholar] [CrossRef]
- US EPA. Framework for Metals Risk Assessment; EPA 120/R-07/00; US EPA: Washington, DC, USA, 2007. [Google Scholar]
- Kulshreshtha, A.; Agrawal, R.; Barar, M.; Saxena, S. A review on bioremediation of heavy metals in contaminated water. J. Environ. Sci. Toxicol. Food. Technol. 2014, 8, 44–50. [Google Scholar] [CrossRef]
- Quevauviller, P.; Lachica, M.; Barahona, E.; Gomez, A.; Rauret, G.; Ure, A.; Muntau, H. Certified reference material for the quality control of EDTA-and DTPA-extractable trace metal contents in calcareous soil (CRM 600). Fresenius J. Anal. Chem. 1998, 360, 505–511. [Google Scholar] [CrossRef]
- Romero-Freire, A.; Martín-Peinado, F.J.; van Gestel, C.A.M. Effect of soil properties on the toxicity of Pb: Assessment of the appropriateness of guideline values. J. Hazard. Mater. 2015, 289, 46–53. [Google Scholar] [CrossRef] [PubMed]
- Romero-Freire, A.; Martín-Peinado, F.J.; Díez-Ortiz, M.; van Gestel, C.A.M. Influence of soil properties on the bioaccumulation and effects of arsenic in the earthworm Eisenia andrei. Environ. Sci. Pollut. R. 2015, 22, 15016–15028. [Google Scholar] [CrossRef]
- Kabata-Pendias, A. Trace Elements in Soils and Plants, 4th ed.; CRC Press, Inc.: Boca Raton, FL, USA, 2010; p. 432. [Google Scholar] [CrossRef]
- Romero-Freire, A.; Sierra-Aragón, M.; Ortiz-Bernad, I.; Martín-Peinado, F.J. Toxicity of arsenic in relation to soil properties: Implications to regulatory purposes. J. Soils Sediments 2014, 14, 968–979. [Google Scholar] [CrossRef]
- Lèbre, É.; Corder, G.; Golev, A. The role of the mining industry in a circular economy. A framework for resource management at the mine site level. J. Ind. Ecol. 2017, 21, 662–672. [Google Scholar] [CrossRef]
- Stahel, W.R. The circular economy. Nature 2016, 531, 435–438. [Google Scholar] [CrossRef]
- Tayebi-Khorami, M.; Edraki, M.; Corder, G.; Golev, A. Re-thinking mining waste through an integrative approach led by circular economy aspirations. Minerals 2019, 9, 286–299. [Google Scholar] [CrossRef]
- Fernández-Caliani, J.C.; Giráldez, I.; Fernández-Landero, S.; Barba-Brioso, C.; Morales, E. Long-term sustainability of marble waste sludge in reducing soil acidity and heavy metal release in a contaminated mine technosol. Appl. Sci. 2022, 12, 6998. [Google Scholar] [CrossRef]
- Beiyuan, J.; Awad, Y.M.; Beckers, F.; Tsang, D.C.W.; Ok, Y.S.; Rinklebe, J. Mobility and phytoavailability of As and Pb in a contaminated soil using pine sawdust biochar under systematic change of redox conditions. Chemosphere 2017, 178, 110–118. [Google Scholar] [CrossRef] [PubMed]
- Aguilar-Garrido, A.; Romero-Freire, A.; Paniagua-López, M.; Martínez Garzón, F.J.; Martín-Peinado, F.J. Changes in the solubility and potential toxicity of metal(loid)s in soils treated with Technosols. In Proceedings of the European Geosciences Union General Assembly, Vienna, Austria, 23–27 May 2022; EGU22-8337. [Google Scholar] [CrossRef]
- Romero-Freire, A.; Minguez, L.; Pelletier, M.; Cayer, A.; Caillet, C.; Devin, S.; Gross, E.M.; Guérold, F.; Pain-Devin, S.; Vignati, D.A.L.; et al. Assessment of baseline ecotoxicity of sediments from a prospective mining area enriched in light rare earth elements. Sci. Total Environ. 2018, 612, 831–839. [Google Scholar] [CrossRef]
- Barahona, E.; Iriarte, A. Determinaciones analíticas en suelos. Normalización de métodos IV. Determinación de carbonatos totales y caliza activa. Grupo de trabajo de normalización de métodos analíticos. In Actas del I Congreso de la Ciencia del Suelo; Madrid, Spain, 1984; pp. 53–69. [Google Scholar]
- Tyurin, I.V. Analytical procedure for a comparative study of soil humus. Trudy. Pochr. Inst. Dokuchaeva 1951, 33, 5–21. [Google Scholar]
- USDA (United States Department of Agriculture). Soil Survey Laboratory. Methods and Procedures for Collecting Soil Samples; Soil Conservation Service; USDA: Washington, DC, USA, 1972. [Google Scholar]
- Richards, L.A. Pressure-membrane apparatus and use. Agr. Eng. 1945, 28, 451–454. [Google Scholar]
- Blakemore, L.C.; Searle, P.L.; Daly, B.K. Methods for chemical analysis of soils. N. Z. Soil Bur. Sci. Rep. 1987, 80, 71–76. [Google Scholar]
- Schwertfeger, D.M.; Hendershot, W.H. Toxicity and metal bioaccumulation in Hordeum vulgare exposed to leached and nonleached copper amended soils. Environ. Toxicol. Chem. 2013, 32, 1800–1809. [Google Scholar] [CrossRef]
- ISO 17155:2002; Soil Quality—Determination of Abundance and Activity of Soil Microflora Using Respiration Curves. ISO, International Organization for Standardization: Geneva, Switzerland, 2002.
- US EPA. Ecological effects test guidelines. In Seed Germination/Root Elongation Toxicity Test; EPA 712-C-96-154; US Environmental Protection Agency, Office of Prevention, Pesticide and Toxic Substances (OPPTS) 850.4200: Washington, DC, USA, 1996. [Google Scholar]
- ISO 8692:2012; Water Quality—Fresh Water Algal Growth Inhibition Test with Unicellular Green Algae. International Organization for Standardization: Geneva, Switzerland, 2012. Available online: https://www.iso.org/standard/54150.html (accessed on 28 February 2023).
- Russo, D.; Siciliano, A.; Guida, M.; Andreozzi, R.; Reis, N.M.; Puma, G.L.; Marotta, R. Removal of antiretroviral drugs stavudine and zidovudine in water under UV254 and UV254/H2O2 processes: Quantum yields, kinetics and ecotoxicology assessment. J. Hazard. Mater. 2018, 349, 195–204. [Google Scholar] [CrossRef]
- OECD. OECD Guidelines for the Testing of Chemicals. Daphnia sp. Acute Immobilisation Test (Guideline No. 202); OECD: Paris, France, 2004. [Google Scholar]
- Cravotta, C.A.; Trahan, M.K. Limestone drains to increase pH and remove dissolved metals from acidic mine drainage. Appl. Geochem. 1999, 14, 581–606. [Google Scholar] [CrossRef]
- Williams, E.G.; Rose, A.W.; Parizek, R.R.; Waters, S.A. Factors Controlling the Generation of Acid Mine Drainage; Final Report on US Bureau of Mines Research Grant G51055086; Pennsylvania Mining and Mineral Resources Research Institute: Harrisburg, PA, USA, 1982. [Google Scholar]
- Simón, M.; Martín-Peinado, F.J.; García, I.; Bouza, P.; Dorronsoro, C.; Aguilar, J. Interaction of limestone grains and acidic solutions from the oxidation of pyrite tailings. Environ. Pollut. 2005, 135, 65–72. [Google Scholar] [CrossRef] [PubMed]
- Park, J.H.; Lamb, D.; Paneerselvam, P.; Choppala, G.; Bolan, N.; Chung, J.W. Role of organic amendments on enhanced bioremediation of heavy metal(loid) contaminated soils. J. Hazard. Mater. 2011, 185, 549–574. [Google Scholar] [CrossRef]
- Nakamaru, Y.M.; Martín-Peinado, F.J. Effect of soil organic matter on antimony bioavailability after the remediation process. Environ. Pollut. 2017, 228, 425–432. [Google Scholar] [CrossRef] [PubMed]
- Bolan, N.S.; Duraisamy, V.P. Role of inorganic and organic soil amendments on immobilisation and phytoavailability of heavy metals: A review involving specific case studies. Soil Res. 2003, 41, 533–555. [Google Scholar] [CrossRef]
- García-Carmona, M.; García-Robles, H.; Turpín-Torrano, C.; Fernández-Ondoño, E.; Lorite-Moreno, J.; Sierra-Aragón, M.; Martín-Peinado, F.J. Residual pollution and vegetation distribution in amended soils 20 years after a pyrite mine tailings spill (Aznalcóllar, Spain). Sci. Total Environ. 2019, 650, 933–940. [Google Scholar] [CrossRef] [PubMed]
- Maylavarapu, R.S.; Zinati, G.M. Improvement of soil properties using compost for optimum parsley production in sandy soils. Sci. Hortic. 2009, 120, 426–430. [Google Scholar] [CrossRef]
- Whelan, A.; Kechavarzi, C.; Coulon, F.; Sakrabani, R.; Lord, R. Influence of compost amendments on the hydraulic functioning of brownfield soils. Soil Use Manag. 2013, 29, 260–270. [Google Scholar] [CrossRef]
- Owen, D.; Davis, A.P.; Aydilek, A.H. Compost for permanent vegetation establishment and erosion control along highway embankments. J. Irrig. Drain. Eng. 2021, 147, 04021031. [Google Scholar] [CrossRef]
- River, P.A.; Jamniczky, D.; Nemes, A.; Makó, A.; Barna, G.; Uzinger, N.; Rékási, M.; Farkas, C. Short-term effects of compost amendments to soil on soil structure, hydraulic properties, and water regime. J. Hydrol. Hydromech. 2022, 70, 74–88. [Google Scholar] [CrossRef]
- BOJA (Boletín Oficial de la Junta de Andalucía). Decreto 18/2015, de 27 de Enero, por el que se Aprueba el Reglamento que Regula el Régimen Aplicable a los Suelos Contaminados. BOJA 2015, 38, 28–64. Available online: http://www.juntadeandalucia.es/medioambiente/web/2012_provisional/2015/reglamento_suelos_contaminados.pdf (accessed on 28 February 2023).
- DOG (Diario Oficial de Galicia). Decreto 60/2009, do 26 de Febreiro, Sobre Solos Potencialmente Contaminados e Procedemento para a Declaración de solos Contaminados. DOG 2009, 57, 5920–5936. Available online: https://www.lex.gal/galilex/4384 (accessed on 28 February 2023).
- MEEPRC (Ministry of Ecology and Environment of the People’s Republic of China). Soil Environmental Quality Risk. Control Standard for Soil Contamination of Agricultural Land (GB 15618–2018). MEEPRC June 26, 2018. Available online: https://www.fao.org/faolex/results/details/es/c/LEX-FAOC136767/ (accessed on 28 February 2023).
- CCME (Canada Council of Ministers of the Environment). Canadian Soil Quality Guidelines for the Protection of Environmental and Human Health: Summary Tables (Updated September, 2007). CCME. September 2007. Available online: https://support.esdat.net/Environmental%20Standards/canada/soil/rev_soil_summary_tbl_7.0_e.pdf (accessed on 28 February 2023).
- Giannakis, I.; Emmanouil, C.; Mitrakas, M.; Manakou, V.; Kungolos, A. Chemical and ecotoxicological assessment of sludge-based biosolids used for corn field fertilization. Environ. Sci. Pollut. Res. 2021, 28, 3797–3809. [Google Scholar] [CrossRef] [PubMed]
- Paniagua-López, M.; Vela-Cano, M.; Correa-Galeote, D.; Martín-Peinado, F.J.; Martínez-Garzón, F.J.; Pozo, C.; González-López, J.; Sierra-Aragón, M. Soil remediation approach and bacterial community structure in a long-term contaminated soil by a mining spill (Aznalcóllar, Spain). Sci. Total Environ. 2021, 777, 145128. [Google Scholar] [CrossRef]
- Fang, J.; Wen, B.; Shan, X.Q.; Lin, J.M.; Owens, G. Is an adjusted rhizosphere-based method valid for field assessment of metal phytoavailability? Application to non-contaminated soils. Environ. Pollut. 2007, 150, 209–217. [Google Scholar] [CrossRef]
- Xu, D.; Shen, Z.; Dou, C.; Dou, Z.; Li, Y.; Gao, Y.; Sun, Q. Effects of soil properties on heavy metal bioavailability and accumulation in crop grains under different farmland use patterns. Sci. Rep. 2022, 12, 9211. [Google Scholar] [CrossRef]
- Santos, S.; Costa, C.A.; Duarte, A.C.; Scherer, H.W.; Schneider, R.J.; Esteves, V.I.; Santos, E.B. Influence of different organic amendments on the potential availability of metals from soil: A study on metal fractionation and extraction kinetics by EDTA. Chemosphere 2010, 78, 389–396. [Google Scholar] [CrossRef]
- Pastor-Jáuregui, R.; Paniagua-López, M.; Aguilar-Garrido, A.; Martínez-Garzón, F.J.; Romero-Freire, A.; Sierra-Aragón, M. Ecotoxicological risk assessment in soils contaminated by Pb and As 20 years after a mining spill. J. Contam. Hydrol. 2022, 251, 104100. [Google Scholar] [CrossRef]
- Rajendran, S.; Priya, T.A.K.; Khoo, K.S.; Hoang, T.K.; Ng, H.S.; Munawaroh, H.S.H.; Karaman, C.; Orooji, Y.; Show, P.L. A critical review on various remediation approaches for heavy metal contaminants removal from contaminated soils. Chemosphere 2022, 287, 132369. [Google Scholar] [CrossRef]
- Song, J.; Zhao, F.J.; McGrath, S.P.; Luo, Y.M. Influence of soil properties and aging on arsenic phytotoxicity. Environ. Toxicol. Chem. 2006, 25, 1663–1670. [Google Scholar] [CrossRef] [PubMed]
- Ojuederie, O.B.; Babalola, O.O. Microbial and plant-assisted bioremediation of heavy metal polluted environments: A review. Int. J. Environ. Res. Public Health 2017, 14, 1504. [Google Scholar] [CrossRef] [PubMed]
- Shukurov, N.; Kodirov, O.; Peitzsch, M.; Kersten, M.; Pen-Mouratov, S.; Steinberger, Y. Coupling geochemical, mineralogical and microbiological approaches to assess the health of contaminated soil around the Almalyk mining and smelter complex, Uzbekistan. Sci. Total Environ. 2014, 476, 447–459. [Google Scholar] [CrossRef] [PubMed]
- Stefanowicz, A.M.; Niklińska, M.; Laskowski, R. Metals affect soil bacterial and fungal functional diversity differently. Environ. Toxicol. Chem. 2008, 27, 591–598. [Google Scholar] [CrossRef] [PubMed]
- Giller, K.E.; Witter, E.; Mcgrath, S.P. Toxicity of heavy metals to microorganisms and microbial processes in agricultural soils: A review. Soil Biol. Biochem. 1998, 30, 1389–1414. [Google Scholar] [CrossRef]
- Moreno, J.L.; Bastida, F.; Ros, M.; Hernández, T.; García, C. Soil organic carbon buffers heavy metal contamination on semiarid soils: Effects of different metal threshold levels on soil microbial activity. Eur. J. Soil Biol. 2009, 45, 220–228. [Google Scholar] [CrossRef]
- Rodriguez-Ruiz, A.; Asensio, V.; Zaldibar, B.; Soto, M.; Marigómez, I. Toxicity assessment through multiple endpoint bioassays in soils posing environmental risk according to regulatory screening values. Environ. Sci. Pollut. R. 2014, 21, 9689–9708. [Google Scholar] [CrossRef]
- Lors, C.; Ponge, J.F.; Martínez Aldaya, M.; Damidot, D. Comparison of solid and liquid-phase bioassays using ecoscores to assess contaminated soils. Environ. Pollut. 2011, 159, 2974–2981. [Google Scholar] [CrossRef]
- Smolders, E.; Oorts, K.; van Sprang, P.; Schoeters, I.; Janssen, C.R.; McGrath, S.P.; McLaughlin, M.J. Toxicity of trace metals in soil as affected by soil type and aging after contamination: Using calibrated bioavailability models to set ecological soil standards. Environ. Toxicol. Chem. 2009, 28, 1633–1642. [Google Scholar] [CrossRef]
- Sherene, T. Mobility and transport of heavy metals in polluted soil environment. BFIJ 2010, 2, 112–121. [Google Scholar]
- Balogh, J.; Pintér, K.; Fóti, S.; Cserhalmi, D.; Papp, M.; Nagy, Z. Dependence of soil respiration on soil moisture, clay content, soil organic matter, and CO2 uptake in dry grasslands. Soil Biol. Biochem. 2011, 43, 1006–1013. [Google Scholar] [CrossRef]
- Romero-Freire, A.; Sierra-Aragón, M.; Martínez-Garzón, F.J.; Martín-Peinado, F.J. Is soil basal respiration a good indicator of soil pollution? Geoderma 2016, 263, 132–139. [Google Scholar] [CrossRef]
- Martín-Peinado, F.J.; Simón, M.; Arco-Lázaro, E.; Romero-Freire, A.; Dorronsoro, C. Arsenic behaviour in polluted soils after remediation activities. In Soil Health and Land Use Management; BoD—Books on Demand: Norderstedt, Germany, 2011; pp. 201–216. [Google Scholar] [CrossRef]
- Martín-Peinado, F.J.; Romero-Freire, A.; Arco-Lázaro, E.; Sierra-Aragón, M.; Ortiz-Bernad, I.; Abbaslou, H. Assessment of arsenic toxicity in spiked soils and water solutions by the use of bioassays. Span. J. Soil Sci. 2012, 2, 45–56. [Google Scholar] [CrossRef]
- Matejczyk, M.; Palza, G.A.; Nalecz-Jawecki, G.; Ulfig, K.; Markowska-Szczupak, A. Estimation of the environmental risk posed by landfills using chemical, microbiological and ecotoxicological testing of leaches. Chemosphere 2011, 82, 1017–1023. [Google Scholar] [CrossRef] [PubMed]
- De Schamphelaere, K.A.C.; Heijerick, D.G.; Janssen, C.R. Comparison of the effect of different pH buffering techniques on the toxicity of copper and zinc to Daphnia magna and Pseudokirchneriella subcapitata. Ecotoxicology 2004, 13, 697–705. [Google Scholar] [CrossRef]
- Spurgeon, D.J.; Hopkin, S.P. Extrapolation of the laboratory-based OECD earthworm toxicity test to metal-contaminated field sites. Ecotoxicology 1995, 4, 190–205. [Google Scholar] [CrossRef] [PubMed]
- Fernández, M.D.; Vega, M.M.; Tarazona, J.V. Risk-based ecological soil quality criteria for the characterization of contaminated soils. Combination of chemical and biological tools. Sci. Total Environ. 2006, 366, 466–484. [Google Scholar] [CrossRef]
- Barna, R.; Fernandez, A.; Hlavackova, P. Assessment methodologies for copper and zinc mobility in a neutral synthetic soil: The influence of pH. Colloids Surf. A Physicochem. Eng. Asp. 2007, 306, 56–67. [Google Scholar] [CrossRef]
- González, V.; Díez-Ortiz, M.; Simón, M.; van Gestel, C.A.M. Assessing the impact of organic and inorganic amendments on the toxicity and bioavailability of a metal-contaminated soil to the earthworm Eisenia andrei. Environ. Sci. Pollut. R. 2013, 20, 8162–8171. [Google Scholar] [CrossRef]
- Alloway, B.J. Heavy Metals in Soils; Blackie Academic & Professional: London, UK, 1995; p. 370. [Google Scholar]
- Sheppard, S.C.; Evenden, W.G. The assumption of linearity in soil and plant concentration ratios: An experimental evaluation. J. Environ. Radioact. 1988, 7, 221–247. [Google Scholar] [CrossRef]
- Madejón, P.; Domínguez, M.T.; Madejón, E.; Cabrera, F.; Marañón, T.; Murillo, J.M. Soil-plant relationships and contamination by trace elements: A review of twenty years of experimentation and monitoring after the Aznalcóllar (SW Spain) mine accident. Sci. Total Environ. 2018, 625, 50–63. [Google Scholar] [CrossRef] [PubMed]
- García-Robles, H. The Role of Gypsum in Bioremediation; Recovery of Ecosystem Functions and Services of Polluted Soils. Ph.D. Dissertation, University of Granada, Granada, Spain, 2020; p. 282. [Google Scholar]
- Sánchez, J.A.; García, I.; del Moral, F.; de Haro, S.; González, V.; Simón, M.; Martín-Peinado, F.J.; Iriarte, A. Making use of mud from marble cutting and polishing to recuperate rubble marble. Rev. Cienc. Agrar. 2010, 33, 182–190. [Google Scholar]
- Martínez, C.E.; Motto, H.L. Solubility of lead, zinc and copper added to mineral soils. Environ. Pollut. 2000, 107, 153–158. [Google Scholar] [CrossRef] [PubMed]
- Simón, M.; Díez-Ortiz, M.; González, V.; García, I.; Martín-Peinado, F.J.; de Haro, S. Use of liming in the remediation of soils polluted by sulphide oxidation: A leaching-column study. J. Hazard. Mater. 2010, 180, 241–246. [Google Scholar] [CrossRef] [PubMed]
- Lock, K.; Janssen, C.R. Influence of ageing on zinc bioavailability in soil. Environ. Pollut. 2003, 126, 371–374. [Google Scholar] [CrossRef]
- Reference Values for Main Soil Pollutants in Portugal. APA (Agência Portuguesa do Ambiente). 2019. Solos Contaminados–Guia Técnico–Valores de Referência para Solo. Revisão 3–Setembro de 2022. Agência Portuguesa do Ambiente. 2019. Available online: https://sniambgeoviewer.apambiente.pt/GeoDocs/geoportaldocs/AtQualSolos/Guia_Tecnico_Valores%20de%20Referencia_2019_01.pdf (accessed on 28 February 2023).



| Acronym | Treatment | Description |
|---|---|---|
| RS | RECOVERED SOIL | Soil naturally revegetated within the affected area |
| CS | CONTAMINATED SOIL | Unvegetated soil patches within the affected area |
| B | 50% BIOPILES | 50% w/w mixture of RS and CS |
| BV | BIOPILES + VERMICOMPOST | 50% w/w mixture of RS and CS + vermicompost |
| G | GYPSUM | Gypsum mining spoil |
| GV | GYPSUM + VERMICOMPOST | Gypsum mining spoil + vermicompost |
| L | LANDFARMING | Soil crust breaking through tillage |
| LV | LANDFARMING + VERMICOMPOST | Soil crust breaking through tillage + vermicompost |
| M | MARBLE SLUDGE | Marble cutting and polishing residue |
| MV | MARBLE SLUDGE + VERMICOMPOST | Marble cutting and polishing residue + vermicompost |
| Sample | pH | EC | CO3Ca | OC | N | C/N | Silt | Clay | CEC | AWC |
|---|---|---|---|---|---|---|---|---|---|---|
| dS/m | % | % | % | % | % | cmolc/kg | % | |||
| RS | 6.7 cd | 1.0 a | 2.30 a | 1.28 e | 0.11 d | 11.4 c | 28.1 | 15.3 | 11.4 | 15.1 |
| CS | 3.3 a | 4.1 c | 1.25 a | 0.36 a | 0.07 a | 5.6 a | 26.6 | 15.5 | 7.0 | 8.8 |
| B | 4.6 b | 2.2 b | 0.93 a | 0.71 bc | 0.09 bc | 7.8 b | 27.8 | 21.8 | 8.9 | 12.3 |
| BV | 5.1 b | 2.2 b | 1.07 a | 0.90 cd | 0.10 cd | 8.6 b | 32.7 | 23.0 | 10.5 | 12.4 |
| G | 6.0 c | 2.3 b | 1.25 a | 0.61 ab | 0.08 ab | 8.0 b | 27.4 | 22.2 | 8.6 | 11.7 |
| GV | 6.0 c | 2.3 b | 1.12 a | 1.00 d | 0.11 cd | 9.0 b | 27.3 | 19.6 | 9.4 | 11.9 |
| L | 5.0 b | 2.2 b | 1.05 a | 0.49 ab | 0.06 a | 7.9 b | 24.9 | 14.8 | 9.9 | 12.2 |
| LV | 4.3 b | 2.2 b | 0.99 a | 0.72 bc | 0.10 cd | 7.5 ab | 28.2 | 22.2 | 13.6 | 11.2 |
| M | 7.0 d | 2.2 b | 8.35 b | 0.59 ab | 0.06 a | 9.4 bc | 30.9 | 16.7 | 8.5 | 12.7 |
| MV | 7.2 d | 2.3 b | 3.18 a | 0.99 d | 0.11 d | 8.8 b | 29.5 | 20.7 | 9.9 | 14.4 |
| Sample | RS | CS | B | BV | G | GV | L | LV | M | MV |
|---|---|---|---|---|---|---|---|---|---|---|
| Cu_T | 248 e | 149 abc | 185 d | 170 cd | 142 ab | 155 abc | 160 bcd | 151 abc | 130 a | 136 ab |
| Zn_T | 926 a | 359 b | 316 b | 335 b | 235 b | 232 b | 319 b | 213 b | 240 b | 349 b |
| As_T | 209 a | 309 bc | 330 c | 398 d | 292 bc | 326 bc | 306 bc | 317 bc | 284 b | 289 bc |
| Pb_T | 314 a | 430 b | 560 c | 838 d | 496 bc | 560 c | 547 c | 548 c | 492 bc | 436 b |
| Cd_T | 4.4 bcd | 6.6 e | 5.0 cde | 6.1 de | 4.0 bc | 2.9 ab | 4.3 bcd | 6.1 de | 2.3 a | 5.6 cde |
| Cu_B | 67.96 d | 37.95 c | 33.59 bc | 33.90 bc | 31.52 bc | 32.37 bc | 29.96 bc | 29.54 bc | 16.87 a | 24.45 ab |
| Zn_B | 105.90 ab | 239.84 b | 78.91 a | 72.35 a | 42.30 a | 46.70 a | 96.81 ab | 57.08 a | 18.94 a | 56.87 a |
| As_B | 1.58 c | 0.88 bc | 0.11 ab | 0.24 ab | 0.13 ab | 0.88 bc | <0.01 | 0.47 ab | 0.09 ab | 0.30 ab |
| Pb_B | 2.47 b | 0.30 ab | 2.19 ab | 1.65 ab | 0.13 a | 0.61 ab | <0.01 | 0.19 a | 0.07 a | 0.21 a |
| Cd_B | 1.34 c | 0.74 b | 0.52 ab | 0.53 ab | 0.40 ab | 0.37 a | 0.46 ab | 0.30 a | 0.26 a | 0.43 ab |
| Cu_W | 0.41 a | 19.30 b | 1.09 a | 0.40 a | 0.15 a | 0.22 a | 0.65 a | 0.95 a | 0.15 a | 0.18 a |
| Zn_W | 0.56 a | 206.14 b | 31.95 a | 18.38 a | 0.22 a | 0.22 a | 38.76 a | 38.16 a | <0.01 | <0.01 |
| As_W | 0.25 b | 0.10 ab | 0.06 a | 0.06 a | 0.05 a | 0.05 a | 0.05 a | 0.06 a | 0.07 a | 0.06 a |
| Pb_W | 0.21 a | 0.10 a | 0.10 a | 0.08 a | 0.06 a | 0.04 a | 0.05 a | 0.05 a | 0.07 a | 0.02 a |
| Cd_W | <0.01 | 0.78 b | 0.18 a | 0.08 a | 0.01 a | 0.01 a | 0.16 a | 0.14 a | <0.01 | <0.01 |
Disclaimer/Publisher’s Note: The statements, opinions and data contained in all publications are solely those of the individual author(s) and contributor(s) and not of MDPI and/or the editor(s). MDPI and/or the editor(s) disclaim responsibility for any injury to people or property resulting from any ideas, methods, instructions or products referred to in the content. |
© 2023 by the authors. Licensee MDPI, Basel, Switzerland. This article is an open access article distributed under the terms and conditions of the Creative Commons Attribution (CC BY) license (https://creativecommons.org/licenses/by/4.0/).
Share and Cite
Paniagua-López, M.; Aguilar-Garrido, A.; Contero-Hurtado, J.; García-Romera, I.; Sierra-Aragón, M.; Romero-Freire, A. Ecotoxicological Assessment of Polluted Soils One Year after the Application of Different Soil Remediation Techniques. Toxics 2023, 11, 298. https://doi.org/10.3390/toxics11040298
Paniagua-López M, Aguilar-Garrido A, Contero-Hurtado J, García-Romera I, Sierra-Aragón M, Romero-Freire A. Ecotoxicological Assessment of Polluted Soils One Year after the Application of Different Soil Remediation Techniques. Toxics. 2023; 11(4):298. https://doi.org/10.3390/toxics11040298
Chicago/Turabian StylePaniagua-López, Mario, Antonio Aguilar-Garrido, José Contero-Hurtado, Inmaculada García-Romera, Manuel Sierra-Aragón, and Ana Romero-Freire. 2023. "Ecotoxicological Assessment of Polluted Soils One Year after the Application of Different Soil Remediation Techniques" Toxics 11, no. 4: 298. https://doi.org/10.3390/toxics11040298
APA StylePaniagua-López, M., Aguilar-Garrido, A., Contero-Hurtado, J., García-Romera, I., Sierra-Aragón, M., & Romero-Freire, A. (2023). Ecotoxicological Assessment of Polluted Soils One Year after the Application of Different Soil Remediation Techniques. Toxics, 11(4), 298. https://doi.org/10.3390/toxics11040298

