Next Article in Journal
Towards a Concept for a Multifunctional Mobility Hub: Combining Multimodal Services, Urban Logistics, and Energy
Previous Article in Journal
A Decision-Oriented Framework for Sustainable Supply Chain Redesign: A DEMATEL-Based Approach
 
 
Font Type:
Arial Georgia Verdana
Font Size:
Aa Aa Aa
Line Spacing:
Column Width:
Background:
Article

Fleet Coalitions: A Collaborative Planning Model Balancing Economic and Environmental Costs for Sustainable Multimodal Transport

by
Anna Laura Pala
1,2 and
Giuseppe Stecca
2,*
1
Dipartimento di Ingegneria Informatica, Automatica, e Gestionale “A. Ruberti", Università la Sapienza di Roma, 00185 Roma, Italy
2
Istituto di Analisi dei Sistemi ed Informatica “Antonio Ruberti”, Consiglio Nazionale delle Ricerche, Via dei Taurini 19, 00185 Roma, Italy
*
Author to whom correspondence should be addressed.
Logistics 2025, 9(3), 91; https://doi.org/10.3390/logistics9030091
Submission received: 5 May 2025 / Revised: 7 July 2025 / Accepted: 8 July 2025 / Published: 10 July 2025

Abstract

Background: Sustainability is a critical concern in transportation, notably in light of governmental initiatives such as cap-and-trade systems and eco-label regulations aimed at reducing emissions. In this context, collaborative approaches among carriers, which involve the exchange of shipment requests, are increasingly recognized as effective strategies to enhance efficiency and reduce environmental impact. Methods: This research proposes a novel collaborative planning model for multimodal transport designed to minimize the total costs associated with freight movements, including both transportation and C O 2 emissions costs. Transshipments of freight between vehicles are modeled in the proposed formulation, promoting carrier coalitions. This study incorporated eco-labels, representing different emission ranges, to capture shipper sustainability preferences and integrated authority-imposed low-emission zones as constraints. A bi-objective approach was adopted, combining transportation and emission costs through a weighted sum method. Results: A case study on the Naples Bypass network (Italy) is presented, highlighting the model’s applicability in a real-world setting and demonstrating the effectiveness of collaborative transport planning. In addition, the model quantified the benefits of collaboration under low-emission zone (LEZ) constraints, showing notable reductions in both total costs and emissions. Conclusions: Overall, the proposed approach offers a valuable decision support tool for both carriers and policymakers, enabling sustainable freight transportation planning.

1. Introduction

Globalization has amplified the competitive disparity between large freight forwarding corporations and smaller carriers, with the former having a greater resource availability, allowing them to dominate the market (Krajewska and Kopfer [1]). Smaller operators are often fragmented, especially for medium-short distance deliveries in urban areas. Therefore, for small and medium-sized carriers, establishing alliances has become essential. These partnerships not only improve resource access but also simplify logistics operations by aligning transport supply with demand through collaborative customer request management (Kopfer [2]).
On the other hand, in response to the challenges posed by climate change, governments and regulators have implemented various carbon emissions reduction policies, including mandatory carbon emission limits, carbon emission taxes, cap-and-trade mechanisms, and more. To support the transition towards more sustainable urban freight transport, various regulatory measures have been introduced, with low-emission zones (LEZs) targeting heavy-duty vehicles representing a prominent strategy (Fensterer et al. [3]). In addition, consumers are increasingly aware of environmental issues and show a notable pull towards low-carbon products (Gadema and Oglethorpe [4]). Further to this point, EU eco-label regulations [5] aim to increase transparency regarding product emissions for consumers. Therefore, many companies have recognized the significance of carbon emissions reduction and have incorporated this objective into their operational decisions (Ghosh [6]).
In order to pursue both cost and emissions reductions, this study proposes a collaborative planning approach among carriers. This involves the exchange of requests among shippers, facilitating a coordinated effort to optimize efficiency, reduce costs, and meet environmental sustainability goals. This study incorporated eco-labels, representing different emissions ranges, to capture shippers’ sustainability preferences. One of the model features is to enable transshipments between vehicles, implicitly allowing the formation of coalitions and thus promoting a collaborative approach. Several studies in the literature consider transport collaboration, including that by Zhang et al. [7], which also integrated eco-labels and transshipment strategies in a collaborative setting. However, our study presents several distinguishing features. Firstly, while [7] focused on intermodal transport, we concentrate on road transport, differentiating between three vehicle classes: diesel, methane, and electric. While this focus may not inherently provide an advantage, it represents a structural difference that aligns our model with current trends in urban logistics. More significantly, our model explicitly integrates low emission zone (LEZ) policies, introducing environmental access restrictions as part of the optimization process. This aspect, absent in [7], allowed us to evaluate how collaborative transport solutions perform under increasingly common urban environmental regulations. Furthermore, in our model, the problem is formulated as a bi-objective optimization problem, explicitly balancing costs and emissions. Differently from [7], where eco-label compliance was enforced as a set of constraints, we treat emissions relative to eco-label thresholds as cost penalties in the objective function. This formulation allows for a flexible trade-off between economic and environmental goals, offering decision-makers a tunable framework to explore different scenarios. Lastly, despite both models allowing transshipments, our approach determines the optimal transshipment locations, rather than relying on a fixed subset of nodes, thus offering greater flexibility in network design. The model was applied to a case study based on the transport network of the Naples Bypass region, demonstrating the method’s applicability in a real-world context. The case study represents the application context of the Italian funded program CNMOST (Sustainable Mobility National Research Centre–European Union “NextGenerationEU” (https://www.centronazionalemost.it/, accessed on 15 June 2025) and considers a beltway connecting several urban areas. The impact of collaborative transport under LEZ constraints was evaluated through multiple scenarios, quantifying the resulting cost savings and emission reductions. A sensitivity analysis was conducted on the case study by systematically varying key model parameters within predefined ranges. For each parameter configuration, the corresponding values of the objective functions were collected and analyzed through standard statistical measures in order to evaluate the robustness and variability of the outcomes across different scenarios. Finally, to assess the complexity of the model, a computational analysis was carried out using the well-known Sioux Falls network obtained from the Transportation Networks for Research GitHub repository (available at https://github.com/bstabler/TransportationNetworks, accessed on 15 April 2025) (Stabler [8]). The remainder of this paper is organized as follows. Section 2 offers an in-depth review of the pertinent literature. Moving forward, Section 3 describes the problem framework and outlines the mathematical model and the collaborative planning approach for multiple carriers (mathematical model section). Section 4 includes the estimation of model parameters and describes the scenario settings for the case study. Section 5 presents the results (Section 5.1), including the sensitivity analysis (Section 5.2) and the computational performance assessment (Section 5.3). Finally, Section 6 concludes this paper.

2. Literature Review

In recent years, growing environmental awareness among consumers (Gadema and Oglethorpe [4]) has led to the development of eco-labels, which measure the total greenhouse gas emissions generated throughout a product’s life cycle (Wiedmann and Minx [9]). These labels can guide consumer choices toward low-impact options, especially among those with greater environmental awareness (Thøgersen and Nielsen [10]). According to Zhang et al. [11], emissions reduction is a major priority for stakeholders when governments establish emission reduction targets. Furthermore, the growing global concern over climate change encourages carriers and shippers to implement sustainable transportation practices, being among major contributors to emissions, particularly considering traffic congestion (Sciomachen and Stecca [12]). In fact, the transport sector is one of the largest greenhouse gas emissions sources in the EU, with road transport responsible for 73.2% of these emissions in 2022 (European Environment Agency [13]). Despite efforts such as increasing electric vehicle employment, emissions have shown little decline, with a mere 0.8% reduction in 2023 compared to 2022. Reducing traffic emissions is therefore a crucial strategy for improving air quality and achieving sustainability goals. To mitigate the environmental impact of logistics, strategies such as low-emission zones (LEZs) for heavy vehicles have been proposed (Fensterer et al. [3]). The authors evaluated the effectiveness of a truck transit ban and LEZ in Munich, finding significant reductions in P M 10 concentrations near high-traffic roads, with a smaller effect in urban areas, influenced by factors, e.g., season, time of day, and location. Similarly, Demailly and Quirion [14] analyzed the integration of the road transport sector into the EU Emissions Trading System (ETS), concluding that it could reduce both overall CO2 emissions and operational efforts in the transport sector. Recently, eco-labels have been introduced in freight transportation to provide a standardized way of assessing and communicating the environmental impact of transport services. This system helps carriers and shippers to make more sustainable choices by evaluating the emissions of different transport options. Concerning that point, Kirschstein et al. [15] proposed an eco-labeling system based on a common emission reporting standard, demonstrating its effectiveness in assessing transport services, even with mixed goods. However, they also highlighted key challenges in eco-labeling for freight transport. Firstly, eco-labels must be effectively integrated into logistics planning to reflect customers’ environmental preferences in operational decisions. Secondly, the choice of emission allocation rules is critical, particularly when heterogeneous goods share transport services. Lastly, the low granularity of categorical labels limits their discriminatory power, as services with differing environmental performance may receive the same label. In this regard, collaboration strategies in multimodal distribution are tested to enhance both economic and environmental performance. Liotta et al. [16] used multistage optimization and simulation to demonstrate that collaboration among supply chain partners improves sustainability and transport performance, with results varying based on supply chain complexity and demand uncertainties.
Therefore, since individual operators cannot meet sustainability goals on their own, especially under strict emission reduction requirements, collaborative planning becomes a crucial strategy to address competition in the transport market (Li and Feng [17]). For instance, Guo et al. [18] demonstrated how lateral collaboration, coupled with effective cost-sharing mechanisms, can lead to optimal decision-making that simultaneously minimizes total costs and environmental impacts. Their research provides a combinatorial framework for achieving triple-bottom-line sustainability objectives within multiple supply chains.
Furthermore, a recent systematic literature review by Alouia et al. [19] provided an extensive analysis of sustainability and collaboration in freight transport, highlighting that while operational transport optimization is well studied, social dimensions and integrated supply chain design are less explored, indicating promising avenues for future research. Cruijssen et al. [20] highlighted the benefits and challenges of horizontal cooperation in logistics, defined as collaboration between companies at the same market level to optimize resources and improve competitiveness. Key advantages include cost reduction through reduced empty mileage, the better utilization of storage facilities, and the joint purchasing of non-core activities (e.g., safety training, fuel, and vehicle acquisitions). Collaboration also enables economies of scale, greater operational efficiency, improved service quality, and strengthened market positions. On the other hand, challenges concern partner selection, equitable benefit sharing, and ICT investment requirements. Notably, a critical aspect of collaboration is the fair division of profits among partners. Profit-sharing mechanisms based on cooperative game theory, such as the Shapley value (Shapley [21]), proportional sharing, or nucleolus (Schmeidler [22]), are essential to ensure equitable distribution and maintain cooperation (Guajardo and Rönnqvist [23]). In this context, collaboration can take various forms, involving shippers and carriers as partners (Pan et al. [24]), allowing for the sharing of shipment requests and enabling overall transportation optimization. In this regard, the literature on transportation routing distinguishes between non-collaborative and collaborative settings (Gansterer, and Hartl [25]). In non-collaborative approaches, participants independently optimize their individual profits based on their specific requests, associated costs, and capacity constraints (Schneeweis [26]). By contrast, collaborative models focus on maximizing joint profits, which can be achieved through centralized planning (where a central authority has full information) or decentralized planning (where participants exchange limited information via mechanisms like auctions or multi-agent systems) (Fischer et al. [27]). However, according to Adenso-Díaz et al. [28], even though collaboration reduces inefficiencies such as empty return trips, it is often complicated by information asymmetries. Collaborative transportation models typically involve carriers and shippers concerning shipment types such as full truckload (FTL) and less-than truckload (LTL). From an operational perspective, although the exchange of requests within horizontal coalitions has been explored in routing problems across various transportation scenarios [29,30,31], limited research has been conducted on integrating transshipment into conventional routing problems within a collaborative context. In this regard, Vaziri et al. [32] proposed a vehicle routing model incorporating multicommodity, multi-pickup, and delivery operations under carrier collaboration. Their approach aimed to simultaneously maximize total profit and ensure a fair distribution of profits among carriers. Farvaresh and Shahmansouri [33] developed a coalition structure algorithm for large-scale collaborative pickup and delivery problems with time windows, demonstrating significant cost savings and identifying critical factors for achieving high efficiency through machine learning analysis. Bae et al. [34] further emphasized the integration of advanced modeling and technological solutions, investigating collaborative freight transportation planning. Using agent-based simulation and auction mechanisms, they assessed sustainability impacts such as mileage reduction, lead times, and utilization in urban freight hubs, highlighting innovative approaches to enhance collaboration.
Cortés et al. [35] addressed the Pickup and Delivery Problem with Transfer (PDPT) using a Mixed-Integer Programming (MIP) model, introducing an approach to manage transfers and precedence relationships. Similarly, Rais et al. [36] and Vornhusen et al. [37] incorporated transshipment into PDP within a collaborative framework, demonstrating significant cost savings for carrier coalitions. Regarding collaborative freight transportation for multimodal transport, existing studies have explored strategic-level cooperation from a business model perspective, with minimal attention given to tactical and operational collaboration among independent players. Gumuskaya et al. [38] presented a framework for intermodal collaboration, but decision support models are lacking. Notable exceptions include Puettmann and Stadtler [39], who analyzed the coordination of a long-haul carrier and a drayage carrier in an intermodal transport chain, and Di Febbraro et al. [40], who developed an agent-based modeling framework for intermodal freight transport chains planning.
Despite focusing on emission reductions, the majority of studies do not address how carriers should incorporate shippers’ sustainability objectives into their decision-making processes [41,42]. In this sense, Heinold et al. [43] were an exception, since they modeled stochastic dynamic intermodal transportation as a multi-objective sequential decision process aimed at minimizing costs and eco-labels. Specifically, the authors proposed a reinforcement learning method simulating trajectories of the problem and storing observed values (violated eco-labels and costs) and states to improve decision making in the next trajectories. On the other hand, Zhang et al. [7] introduced a novel collaborative planning model for intermodal transport that incorporates eco-labels, demonstrating that collaboration can enhance service levels and reduce emissions compared to non-collaborative approaches. Starting from this work, we focus on road transport, considering different vehicle emission classes instead of multiple transport modes. Additionally, we introduce the concept of restricted traffic zones typically known as low emission zone (LEZ) policies, incorporating a parameter associated with both vehicles and network arcs to indicate whether a specific vehicle class can traverse a given arc. This extension integrates elements of urban logistics and traffic regulation policies. Therefore, we investigate whether transshipment facilitates the management of restricted traffic zones by enabling the exchange of requests between coalitions. Furthermore, we address the problem as a bi-objective optimization model that simultaneously minimizes costs and CO 2 emissions. In this framework, emissions exceeding predefined eco-label thresholds are incorporated as cost penalties in the objective function, thereby enabling a flexible exploration of trade-offs between economic efficiency and environmental impact across varying decision-making scenarios.

3. Problem Description

The problem analyzed concerns the fulfillment of a set number of shipments, organized in pallets, in both urban and suburban areas, managed by a set of shippers. The focus is on the distribution of non-perishable products, e.g., beverages, which do not require temperature-controlled logistics but still demand efficient and timely handling. To fulfill these orders, the shippers rely on a group of transport companies, i.e., carriers, that own heterogeneous fleets in terms of emissions end costs and can collaborate with each other in a marketplace where transportation orders can be exchanged. With the definition of incentive schemes and operational mechanisms of the marketplace being outside the scope of this work, we focused on the quantification of the benefit given by the collaboration, assuming that the carriers were allowed to exchange shipments if doing so reduced their costs. The carriers operated using different vehicles equipped with various engine technologies. Some of these vehicles were allowed to enter low-emission zones, while others, although more economical for extra-urban areas, were not permitted access to such zones. The different types of vehicles were modeled as vehicle classes, as detailed in the following section. Thus, in the transportation network, certain roads (arcs) could only be accessed by specific types of vehicles due to policies set by an authority. In general, the authority had the ability to restrict access for high-emission vehicles through various means, such as financial penalties or incentives. However, in this case, we assumed that the authority completely denied access to specific vehicle classes in specific areas named restricted access zones. This reflects the real application case examined in our project, and the model assumed full compliance by the carriers. Therefore, the authority-imposed limitations required the carriers to cooperate to deliver all the orders from the shippers so that they could minimize operational costs and try to adhere to the eco-labels specified by the shipper to avoid additional penalties. On the other hand, the authority’s aim was to reduce local emissions, particularly in areas that needed greater preservation (e.g., old town center), through the implementation of sustainable mobility policies. Figure 1 illustrates the process of order fulfillment through collaborative planning and cooperation among multiple carriers. In this process, each shipment was delivered by multiple carriers owning different fleets that exchanged requests at some nodes of the network. Thus, for each shipment, a coalition of vehicles was formed. In particular, the nodes designated as T1 and T2 denote the transshipment points within the network where shipments were transferred between vehicles. These transshipments were modeled in the mathematical formulation using dedicated binary variables, which indicated whether a transshipment occurred at a specific node between two vehicles for a given shipment k. In addition, the facilities highlighted in orange correspond to the locations from which shipments were dispatched, whereas the buildings depicted in purple represent the customer destinations for the deliveries.

Mathematical Model

The presented formulation is a mathematical model that focuses on transportation planning, with particular attention paid to road transport. The primary goal of this formulation was to minimize the total costs associated with freight transportation, considering both direct transport costs and those related to CO2 emissions, while considering authority policies applied to the road network in order to contain emissions in specific zones. This approach aimed to provide an optimal solution that met transportation needs efficiently and in an environmentally sustainable manner. The formulation took into account a series of critical factors, such as vehicle capacity, travel times, delivery time windows, and environmental labels. Specifically, the considered vehicles included three distinctive categories: diesel, methane, and electric vehicles. The model relied on the following assumptions: (i) average travel times were considered for all network arcs and (ii) the traffic generated by the shipments was assumed not to influence these travel times. This simplification was justified by the relatively limited number of shipments and vehicles analyzed, which represented a marginal addition to the existing traffic on the network. As a result, the additional traffic introduced by the modeled shipments was not expected to generate any significant congestion effects. The proposed formulation represents a powerful tool for optimizing road transport planning, thereby contributing to the promotion of more efficient and environmentally sustainable transportation practices, taking into account the different vehicle classes. However, given the model’s generality, it is possible to implement additional vehicle classes. The transportation network was characterized as a directed graph G = ( N , A ) , where N represents the set of all nodes and A ( i , j ) i , j N , i j represents the set of arcs, respectively. Each transport service could be operated by multiple carriers forming a specific coalition. In other words, a coalition was a set of vehicles that collaborated to complete a shipment. However, these vehicles needed to adhere to the transit constraints imposed by the authority on certain arcs, meaning that for each arc and each type of vehicle, a binary parameter a i j w was used to specify whether the vehicle class w W was allowed to transit on a particular arc ( i , j ) A or not. The parameter U w defined the capacity of the vehicle class w W , while c i j w indicated the transportation cost for arc ( i , j ) A using the vehicle class w W . The quantity of the shipment k K required (expressed in transport units) was defined through the parameter q p k , whereas t p i j indicated the travel time (in hours) on arc ( i , j ) A . For each node i N , let Δ + ( i ) be the nodes j N such that ( i , j ) A and Δ ( i ) and the nodes j N such that ( j , i ) A and K is the set of shipments. [ E D k , D D k ] are the earliness and lateness of the shipment k K , respectively, and are bound by the total lead time allowed for a specific delivery. For each shipment k K , there is an associated pair ( o ( k ) , d ( k ) ) representing respectively the origin node o ( k ) O N and the destination node d ( k ) D N of the shipment. Therefore, N ¯ k = N { o ( k ) , d ( k ) } represents the set of nodes N, with the origin and destination of the shipment k K excluded. Moreover, each request k K is associated with an ecological label representing the maximum emission level allowed in order for that shipment to be classified at the considered level. Any excess over this label incurs a penalty in the objective function through the cost parameter c e . Therefore, the problem is to minimize the sum of the total transportation costs and the costs of emissions exceeding compared to the ecological label (measured in kg of CO2). Other parameters are M k   k K , a sufficiently large and positive number (specifically equal to D D k k K ); parameter δ , which amplifies emissions cost c e , considering negative externalities and the local impact of CO2 and other pollutants; and d i s t i j , representing the distance (measured in km) of the arc ( i , j ) A . In the formulation, decision variables are used to capture different aspects of the transportation system.
The binary variable y i j k w assumes a value of 1 if request k K is transported by vehicle w W and uses the arc ( i , j ) A , and 0 otherwise. Another binary variable, x i j w , is set to 1 when vehicle w W travels through the arc ( i , j ) A , and 0 otherwise. Additionally, the formulation includes s i k w l , a binary variable set to 1 if request k K is transferred from vehicle w W to another vehicle l W (where l w ) at terminal i N , and 0 otherwise. It should be noted that the use of the three sets of variables, x, y, and s, was both required and distinctive in our proposed model, as it allowed us to represent and balance vehicle flows, shipment flows, and their exchange at transshipment points.
The variable t i k represents the arrival time of shipment k K at node i N . To address environmental considerations, the model incorporated η k , a continuous variable that expresses the positive deviation between the actual emissions of shipment k K ( e k ) and the emissions associated with the ecological label of shipment k K ( e l k ). e w denotes the unitary CO2 emissions for vehicle class w W . Table 1, Table 2 and Table 3 provide a summary of the sets, parameters, and decision variables used in the model.
The model is formulated as a bi-objective program as follows:
min F 1 = w W ( i , j ) A c i j w x i j w + δ k K c e η k (1) min F 2 = w W k K ( i , j ) A d i s t i j y i j k w e w (2) s . t . w W y i j k w 1 k K , ( i , j ) A (3) y i j k w a i j w ( i , j ) A , k K , w W (4) i Δ ( j ) y i j k w + l W w l s j k l w = i Δ + ( j ) y j i k w + l W w l s j k w l k K , w W , j N ¯ k (5) l W l w s j k w l 1 i N , k K , w W (6) l W l w s j k l w 1 i N , k K , w W (7) l W l w s j k w l i Δ ( j ) y i j k w j N , k K , w W (8) l W l w s j k l w i Δ + ( j ) y j i k w j N , k K , w W (9) s j k w l + s j k l w 1 j N , k K , w , l W , l w (10) j Δ + ( o ( k ) ) w W y o ( k ) j k w = 1 k K (11) i Δ ( d ( k ) ) w W y i d ( k ) k w = 1 k K (12) t i k + t p i j w t j k ( 1 y i j k w ) D D k ( i , j ) A , k K , w W (13) t j k i Δ ( j ) w W y i j k w D D k j N , k K (14) E D k t d k D D k k K (15) w W l W ( i , j ) A y i j k w t p i j w t d ( k ) k k K (16) k K y i j k w q p k x i j w U w ( i , j ) A , w W (17) ( i , j ) A w W ( d i s t i j y i j k w e w ) e l k ) η k k K (18) y i j k w { 0 , 1 } ( i , j ) A , k K , w W (19) x i j w { 0 , 1 } ( i , j ) A , w W (20) s i k w l { 0 , 1 } i N , k K , w , l W (21) η k 0 k K (22) t i k 0 i N , k K (23)
The first objective function, F 1 (1), aims to minimize the total transportation costs across all vehicle types w W and arcs ( i , j ) A , combined with a penalty term for shipments k K whose emissions exceed the respective eco-label thresholds. This penalty is weighted by the parameter δ , which amplifies the emissions cost c e to account for negative externalities and the localized impact of CO 2 and other pollutants. The term η k indicates the level of emissions non-compliance for shipment k. The second objective function, F 2 (2), minimizes the total CO 2 emissions produced by the system, calculated as the sum over traveled distances d i s t i j , binary assignment variables y i j k w , and the emission factor e w specific to each vehicle type. The model constraints are explained as follows:
  • Constraints on Product Flow (3) and (4): These constraints regulate the flow of shipments between nodes. In particular, (3) ensures that an arc is traversed by only one vehicle for a given shipment and (4) restricts the use of an arc ( i , j ) A through the parameter a i j w , indicating the possibility for a vehicle class w W to operate on the arc.
  • Net Flow Constraints (5): These constraints ensure that the net flow through each node is balanced, ensuring that the incoming flow at a node j N equals the outgoing flow from j N , considering possible shipment transfers between vehicles.
  • Request Transfer Constraints (6)–(10): These constraints regulate request transfers between vehicles and nodes.
  • Origin and Destination Constraints (11) and (12): They ensure that the shipment is picked up from the origin node and delivered to the correct recipient.
  • Time Constraints (13) and (14): These constraints regulate transit times, ensuring that shipment arrival times at each node are correct based on arc usage. Equation (13) guarantees that if a certain arc ( i , j ) A is traversed by a shipment, the arrival time at node j N will be a function of the arrival time at node i N and the travel time of the arc itself; while (14) sets the transit time of a shipment in a node to 0 if the shipment does not pass through that specific node.
  • Destination Time Constraints (15) and (16): Equation (16) Ensures that the arrival time at the destination of a specific shipment k K is at least equal to the expected arrival time, while (15) ensures that it is less than or equal to the maximum allowed arrival time D D k and greater than or equal to the minimum arrival time E D k , i.e., it enforces that the shipment arrival time respects the planned time window [ E D K , D D k ] .
  • Capacity Constraints (17): These constraints ensure that the capacity U w of vehicles w W is not exceeded during transportation.
  • Emission Constraints (18): These constraints ensure that emissions excess for each shipment is calculated in reference to limits specified by ecological labels. Specifically, emissions for a specific vehicle are defined in relation to the traveled distance.
  • Variable Domain Constraints (19)–(23): These constraints specify limits and restrictions on the variables of the mathematical model (non-negativity or binary constraints in this case) and thus define the search space within which optimization is conducted.
These combined constraints define the required conditions for an optimal solution that is practically achievable in a products distribution context.

4. Case Study

The presented formulation was tested on a case study concerning a transportation network along the Naples beltway and its main connecting zones. Furthermore, potential authority policies restricting or penalizing traffic for specific vehicle classes were considered. The transportation network included 10 nodes, representing specific locations in the Naples area. These nodes were connected by a set of arcs, each denoting a direct route between two locations. The transportation network is shown in Figure 2.
Regarding the vehicle classes, three different models were considered: diesel trucks with a capacity of 35 pallets, LPG (Liquefied Petroleum Gas) trucks with a capacity of 25 pallets, and electric vans with a capacity of 15 pallets. The calculations for each vehicle type included factors such as purchase cost, annual depreciation, employee costs, annual mileage, fuel consumption, and operational costs. Meanwhile, the values concerning the average fuel prices were sourced from the Ministry of Economic Development (MISE) (https://sisen.mase.gov.it/dgsaie/prezzi-mensili-carburanti, accessed on 15 April 2025) and refer to the month of September 2023. The case study also analyzed and compared the CO2 emissions associated with trucks using different propulsion systems. It provided approximate values for CO2 emissions for diesel, LPG, and electric trucks, taking into account both direct emissions during operation and indirect emissions associated with the production and distribution of fuel or energy. Therefore, emissions were calculated utilizing technical data in grams per liter and subsequently converted to grams per kilometer. Specifically, concerning the electric vehicle class, energy consumption data referred to the average data provided by Enel Energia, and indirect emissions were based on an average energy mix. The vehicle parameters are shown in Table 4.
In addition, the concept of emissions quotas (eco-labels) was included in the model. For all scenarios, the parameter δ was set to 10. The cost of exceeding emissions quotas over the eco-label for the product is 0.035 EUR/kg. This value was determined in relation to significant environmental studies that assessed the economic impact associated with the rise in CO2 levels in the atmosphere. Specifically, a recent study conducted by the Environmental Protection Agency (EPA), the U.S. agency established to safeguard human health and the environment legislatively, drew attention to the social cost resulting from increased CO2 levels. According to the findings of this research, the social cost of each ton of CO2 was estimated to be USD 37 per capita in 2015, which is equivalent to about EUR 35 per person. This assessment highlights the importance of considering not only direct environmental costs but also the broader impact that CO2 emissions can have on society as a whole. This study extends its focus to specific products being transported, each with its origin, destination, and quantity in pallets. Eco-labels were assigned to these products, reflecting their environmental impact based on the traveled distance and potential emissions. These eco-label values were integrated into the objective function to assess and limit the environmental impact of each product. The demand equaled a total of 95 units split into six shipments. Table 5 provides data on shipments characteristics, including their corresponding eco-labels.
In the analysis of the case study, four scenarios were developed, according to potential restrictive policies used by the authority, and their characteristics are summarized in Table 6 for better understanding.
In the considered baseline scenario ( S 1 ), it was assumed that all vehicle classes could travel along all network arcs; consequently, the matrix indicating whether vehicles could operate on the arcs, denoted as A, was entirely unitary. Additionally, two vehicles were considered for each vehicle type, ensuring sufficient resources to satisfy the total transport demand.
In S 2 , a restriction was introduced, allowing only LPG and electric vehicles to travel along the arcs that connected Posillipo, Vomero, and Capodimonte to the other nodes of the network. This measure aimed to reduce emissions in these areas by promoting the use of environmentally friendly vehicles.
In scenarios S 3 a and S 3 b , the transit restriction was applied to LPG vehicles too. Therefore, the network accessible to LPG and diesel vehicles is shown in Figure 3. Apart from the A matrix mentioned above, the other parameters remained unchanged.
In scenario S 3 b the ecological label values were halved compared to the other scenarios and the cost associated with a kg of CO2 was set at EUR 0.4. This value was derived from a collaborative research effort between the European Institute for Economics and the Environment (EIEE) and the University of California. The study developed a dataset allowing the quantification of the social cost of carbon, i.e., the economic damage resulting from carbon dioxide emissions, for each country worldwide. The results indicate that the social cost of produced CO2 varies from USD 117 to 805 per ton (with an estimated average of about USD 417), and countries with the highest emission rates are India, China, and the United States. This represents significantly greater economic, as well as environmental, damage compared to traditional estimates. Based on this average, USD 417 is approximately EUR 395.27. Therefore, the social cost of one kilogram of CO2 is approximately EUR 0.4. Emission cost increases result in encouraging electric vehicle use for a more cost-effective and sustainable choice.
In order to fully assess the benefits arising from the collaboration among vehicles, an additional scenario was created ( S 1 * ). Without loss of generality, this scenario was based on the same network as the baseline scenario ( S 1 ): this choice aimed to highlight the potentiality of collaborative planning, emphasizing its advantages not only in terms of emissions but also in terms of costs, even when the network is accessible to all types of vehicles. Additionally, for the sake of completeness, scenario S 3 b * was also analyzed, in which the same restrictions as in scenario S 3 b were considered, but any form of transshipment was allowed in this case. Therefore, in scenarios S 1 * and S 3 b * , transshipments were completely prohibited to evaluate how costs and carbon emissions varied depending on this restriction.

5. Computational Results

An in-depth analysis of the interplay among variables was conducted in order to evaluate the effects of partially closing the network for specific vehicles within the previously described scenarios. Specifically, environmental benefits and economical costs were computed for different eco-label policies. In order to accurately reconstruct the Pareto front, the two objective functions F 1 (see Equation (1)) and F 2 ( see Equation (2)) were weighted by parameters α and ( 1 α ) , respectively. This enabled us to evaluate how the optimal solution, and, thus, flow allocation and number of transshipments, changed with varying α . Formally, the bi-objective function was expressed as a weighted sum:
min α · F 1 + ( 1 α ) · F 2
The model was coded with Python and solved using Gurobi 9.5.2 (a server powered by an Intel(R) Core(TM) i5-1035G1 CPU at 1.19 GHz with 8-GB RAM was used to run the numerical tests.).

5.1. Case Study Results

Firstly, the model was tested considering the Naples beltway as a real-world case. The following tables present the results for various scenarios based on different values of α (see Table 7, Table 8, Table 9 and Table 10).
Upon evaluating various scenarios, notably, for α = 0.5 , thus weighting the two objectives equally, the transition from scenario S 1 to scenarios S 2 , S 3 a and S 3 b revealed the following insights:
  • Total emissions decreased progressively.
  • Total costs increased due to the higher unit transport costs of electric and smaller-sized LPG vehicles.
Furthermore, several significant indicators were calculated to evaluate the effects of network restrictions in the specified scenarios:
  • Number of transshipments between vehicles: This indicated how often shipments were transferred from one vehicle to another. A higher number suggested greater collaboration. Table 11 lists the number of transshipments corresponding to the optimal solution in the various scenarios for α = 0.5 . Specifically, the collaboration level increased as a result of the decision to exclude more polluting vehicles from the network, forcing high-impact vehicles to collaborate with lower-emission ones to ensure demand satisfaction for all shipments.
  • Coalitions of vehicles for each shipment: This represented the set of vehicles collaborating in the fulfillment of a shipment. Table 12 shows which coalitions were formed for scenario S 3 a when α was 0.5. As an example, this scenario was chosen because it corresponded to the maximum number of transshipments, making it the most significant, in a sense, for illustrating the coalitions. In the table, the w i with i = 1 , , | W | indicates the vehicles of the coalitions.
  • Carbon emissions per shipment: Another notable indicator to analyze total emissions related to each shipment, representing a fundamental parameter in the model. In fact, the aim was to limit emissions associated with each shipment, considering its eco-label. Therefore, for α = 0.5, a reduction in emissions from the baseline scenario to scenario S 3 b was observed, as shown in Table 13. Particularly, the most significant decrease corresponded to scenario S 3 b , in which the cost related to emissions was increased, and eco-label criteria were made more stringent. In addition, as could be expected, the greatest emissions reduction corresponded to shipments k 3 , k 5 , and k 6 since their origins (or destinations) were located in the restricted area. Furthermore, a further analysis was conducted on shipment emissions in scenarios S 1 and S 3 b for α { 0 , 0.5 , 1 } (see Figure 4, Figure 5 and Figure 6). Basically, as shown by the histogram below (Figure 6), when α = 1, which meant taking into account only costs, all shipments produced lower or equal emissions in scenario S 3 b compared to scenario S 1 . This was due to restrictions that compelled the use of less polluting vehicles to access certain areas of the network.
Additionally, a comparison between scenario S 1 and scenario S 1 * as well as scenario S 3 b and scenario S 3 b * was made to evaluate how the ability to perform transshipments impacted costs and emissions in the case of a fully accessible network compared to a network with transit restrictions. For α = 0 , which meant exclusively weighting emissions and giving no weight to costs, scenarios S 1 S 1 * and S 3 b S 3 b * were equivalent in terms of objective function value (as shown in Table 14). For α = 0.5 , meaning that emissions and costs had the same weight, F 1 and F 2 were equivalent in S 1 and S 1 * , whereas S 3 b and S 3 b * returned different solutions. Specifically, we obtained lower costs and higher emissions in S 3 b compared to S 3 b * since, in S 3 b * , we had to use exclusively electric vehicles to reach areas with transit restrictions as a result of transshipment prohibition. For α = 1 and, thus, when we considered only costs, F 1 and F 2 were lower in S 1 than in S 1 * (in which transshipments were prohibited). On the other hand, comparing S 3 b and S 3 b * , we obtained lower costs and higher emissions in S 3 b for the reason explained above. In this case, the cost difference between S 3 b and S 3 b * was greater than if α = 0.5 because we weighted costs more heavily and thus made greater use of transshipments, which allowed for cost reductions in scenario S 3 b (in which they were allowed).
Furthermore, for α = 1 , concerning the comparison S 1 - S 1 * , and thus considering the baseline scenario in which the entire network was accessible to all vehicles, emissions indicators returned by S 1 were overall better than those of S 1 * (see Table 15). Meanwhile, in the case of S 3 b - S 3 b * , emission indicators from both shipments and vehicles were better in the no transshipment scenario ( S 3 b * ); the reason for this was that by restricting the transit of a subnetwork to only electric vehicles and increasing emission costs while tightening eco-label standards, in the scenario without transshipments, only electric vehicles were used to deliver some shipments, despite higher costs.
Therefore, it is important to highlight that transshipments generally tended to ensure cost savings.

5.2. Sensitivity Analysis

A sensitivity analysis was conducted on the case study network, i.e., Naples beltway network, by performing 100 independent runs, each with input parameters randomly sampled, as detailed in Table 16. This analysis enabled us to assess the robustness of the model and its behavior under different scenarios. Table 17 shows descriptive statistics for the two objective functions F 1 and F 2 , which were weighted equally with a coefficient of 0.5 in the combined objective. Both objectives exhibited significant variability: the mean value of F 1 was 194.90, with a standard deviation of 89.47, whereas, for F 2 , the mean was 25.90 and the standard deviation was 19.24. Therefore, the analyzed metrics demonstrated that the model’s outputs were sensitive to changes in the input parameters.
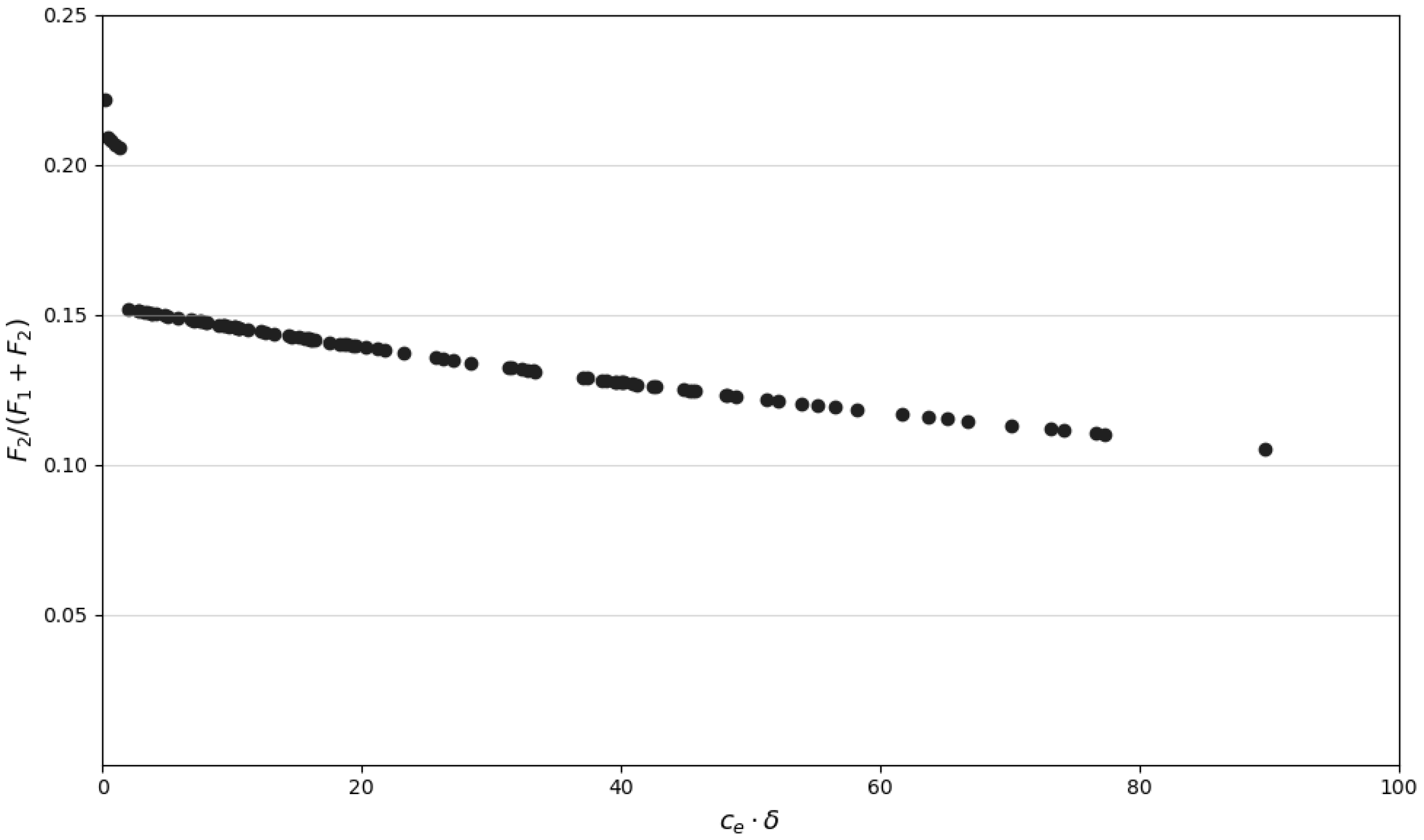
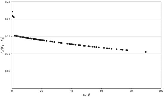
Furthermore, a targeted analysis was carried out to evaluate the impact of emissions-related penalties on model performance. Within this framework, all model parameters were set equal to values adopted in the case study (see Section 4), except for c e and δ , which were systematically varied according to the ranges described in Table 16. These two parameters respectively represented the unit cost for emissions exceeding the eco-label threshold ( e l k ) and the amplification factor reflecting externalities associated with those excess emissions. In other words, c e · δ captured the level of penalty applied to emissions that exceeded the designated environmental standards. As shown by Figure 7, the plot reveals a decreasing trend in the relative share of F 2 in the combined objective function ( F 1 + F 2 ) as the value of c e · δ increased. A sharp drop was observed around the threshold value of 1.88, where the share of emissions in the objective function decreased by more than five percentage points, falling from approximately 20% to 15%. Beyond this point, the trend continued downward and gradually leveled off at around 10%. This behavior suggests that the optimization model increasingly prioritized environmentally sustainable solutions when the cost of exceeding emissions limits became economically significant. The analysis highlights the model’s responsiveness to emission-related penalties and supports the effectiveness of the multi-objective framework in balancing cost efficiency with environmental impact.

5.3. Computational Analysis

Finally, in order to evaluate the model’s performance and therefore its computational time, it was tested on a medium-scale network, the well-known Sioux-Falls network. This network had 24 nodes, 76 links, and 528 OD pairs, as shown in Figure 8. Specifically, a scenario in which the subnetwork consisting of nodes { 10 , 11 , 12 , 13 , 14 , 17 , 19 , 20 , 21 , 22 , 23 , 24 } (and related incident edges) was accessible only to electric vehicles was evaluated.
Table 18 presents the results for the SiouxFalls network, detailing the percentage gap and the runtime for α = { 0 , 0.25 , 0.5 , 0.75 , 1 } and for different cardinalities of the set K of shipments. A time limit of 3 h was considered.
Basically, the abovementioned analysis shows that the optimality gap, or, equivalently, the runtime, increased as | K | rose. This demonstrates that as the set of shipments grew larger, the computational complexity of the problem increased. In particular, for | K | 20 , the gap in runtime rose significantly.

6. Conclusions

On the whole, this research positions itself at the intersection of operational efficiency and environmental sustainability, providing an advanced and integrated perspective to address the ever-evolving challenges in the distribution logistics field. The proposed mathematical model integrates the concept of multimodal transportation, considering modal shifts as transshipments between vehicles of various emission levels. The analysis extended further ahead than the direct aspects of transportation, also encompassing crucial considerations related to CO2 emissions and reflecting the growing importance of environmentally sustainable logistic solutions by integrating the concept of eco-labels. Key aspects of the proposed model lie in its bi-objective formulation, which jointly minimizes costs and environmental impact, and on the modeling of Low Emission Zones. This structure enables decision-makers to investigate various trade-offs between economic efficiency and sustainability across different planning scenarios. It turns out that enabling transshipments between vehicles has a significant impact, promoting a collaborative approach that results in benefits in terms of efficiency and environmental footprint, while taking into account authority policies for emissions control. In particular, in the scenario without LEZ constraints but allowing transshipments ( S 1 ), compared to the same scenario without transshipments ( S 1 * ), we observed a cost saving of approximately 9.5% when α = 1 (i.e., full cost prioritization), with the total cost decreasing from 82.66 to 74.80. Similarly, in the scenario with LEZ constraints where only electric vehicles were allowed to enter the restricted traffic zones, comparing the cases with and without transshipments ( S 3 b and S 3 b * , respectively), cost savings reached approximately 17.5% (from 105.38 to 86.92), confirming the advantage of a collaborative approach in constrained networks. However, this cost efficiency could results in higher emissions: for α = 1 , emissions in S 3 b were substantially higher (36.82) than in S 3 b * (7.52), as transshipment restrictions in the this scenario forced the exclusive use of electric vehicles. These findings highlight the critical trade-off between economic and environmental objectives, particularly under regulatory emissions constraints.
Looking ahead, a possible extension of this research could focus on optimizing the selection of the most appropriate transportation mode, a decision of fundamental importance in the international distribution and logistics field. Empirical evidence indicates that multimodal transportation represents a potentially advantageous solution, not only from a cost perspective but also in terms of reducing environmental impact. An additional development could involve presenting an integrated and multistage optimization–simulation approach aiming to strengthen the optimization model solution. This could be achieved by integrating dynamic testing within a static solution through feedback between demand and supply for the optimal replanning of production and final distribution. In conclusion, this manuscript quantifies the potential benefits of collaboration in both economic and environmental dimensions. Building on this, further research could focus on the implementation of incentive policies to promote carrier cooperation, as well as schemes to encourage authorities to adopt sustainable vehicles in urban areas.

Author Contributions

Conceptualization, A.L.P. and G.S.; methodology, A.L.P. and G.S.; software, A.L.P.; validation, A.L.P., and G.S.; formal analysis, A.L.P. and G.S.; investigation, A.L.P. and G.S.; data curation, A.L.P.; writing—original draft preparation, A.L.P.; writing—review and editing, A.L.P. and G.S.; supervision, G.S.; funding acquisition, G.S. All authors have read and agreed to the published version of the manuscript.

Funding

This work has been partially supported by NextGeneration EU/Italian Ministry of University and Research MUR Missione 4 Componente 2, Investimento 1.4—D.D. 1033 17/06/2022 Grant id CN00000023, PNRR Sustainable Mobility Center (Centro Nazionale per la Mobilità Sostenibile—CN MOST), CUP No. B43C22000440001.

Institutional Review Board Statement

Not applicable.

Informed Consent Statement

Not applicable.

Data Availability Statement

Data are available upon email request to pala@diag.uniroma1.it.

Conflicts of Interest

The authors declare no conflicts of interest.

References

  1. Krajewska, M.A.; Kopfer, H. Collaborating freight forwarding enterprises: Request allocation and profit sharing. Contain. Termin. Cargo Syst. Des. Oper. Manag. Logist. Control Issues 2007, 365–381. [Google Scholar] [CrossRef]
  2. Kopfer, H. Konzepte genetischer Algorithmen und ihre Anwendung auf das Frachtoptimierungsproblem im gewerblichen Guterfernverkehr. Oper.-Res.-Spektrum 1992, 14, 137–147. [Google Scholar] [CrossRef]
  3. Fensterer, V.; Küchenhoff, H.; Maier, V.; Wichmann, H.E.; Breitner, S.; Peters, A.; Gu, J.; Cyrys, J. Evaluation of the impact of low emission zone and heavy traffic ban in Munich (Germany) on the reduction of PM10 in ambient air. Int. J. Environ. Res. Public Health 2014, 11, 5094–5112. [Google Scholar] [CrossRef] [PubMed]
  4. Gadema, Z.; Oglethorpe, D. The use and usefulness of carbon labelling food: A policy perspective from a survey of UK supermarket shoppers. Food Policy 2011, 36, 815–822. [Google Scholar] [CrossRef]
  5. European Parliament. Regulation (EC) No 66/2010 of the European Parliament and of the Council of 25 November 2009 on the EU Ecolabel; Technical Report 1; European Parliament: Strasbourg, France, 2010.
  6. Ghosh, M. Determinants of green procurement implementation and its impact on firm performance. J. Manuf. Technol. Manag. 2019, 30, 462–482. [Google Scholar] [CrossRef]
  7. Zhang, Y.; Heinold, A.; Meisel, F.; Negenborn, R.R.; Atasoy, B. Collaborative planning for intermodal transport with eco-label preferences. Transp. Res. Part Transp. Environ. 2022, 112, 103470. [Google Scholar] [CrossRef]
  8. Stabler, B. Transportation Networks for Research Github Repository. 2018. Available online: https://github.com/bstabler/TransportationNetworks.git (accessed on 15 April 2025).
  9. Wiedmann, T.; Minx, J. A definition of ‘carbon footprint’. Ecol. Econ. Res. Trends 2008, 1, 1–11. [Google Scholar]
  10. Thøgersen, J.; Nielsen, K.S. A better carbon footprint label. J. Clean. Prod. 2016, 125, 86–94. [Google Scholar] [CrossRef]
  11. Zhang, Y.; Li, X.; van Hassel, E.; Negenborn, R.R.; Atasoy, B. Synchromodal transport planning considering heterogeneous and vague preferences of shippers. Transp. Res. Part Logist. Transp. Rev. 2022, 164, 102827. [Google Scholar] [CrossRef]
  12. Sciomachen, A.; Stecca, G. Forwarding containers to dry ports in congested logistic networks. Transp. Res. Interdiscip. Perspect. 2023, 20, 100846. [Google Scholar] [CrossRef]
  13. European Environment Agency. Greenhouse Gas Emissions from Transport in Europe; European Environment Agency: Copenhagen, Denmark, 2024.
  14. Demailly, D.; Quirion, P. European Emission Trading Scheme and competitiveness: A case study on the iron and steel industry. Energy Econ. 2008, 30, 2009–2027. [Google Scholar] [CrossRef]
  15. Kirschstein, T.; Heinold, A.; Behnke, M.; Meisel, F.; Bierwirth, C. Eco-labeling of freight transport services: Design, evaluation, and research directions. J. Ind. Ecol. 2022, 26, 801–814. [Google Scholar] [CrossRef]
  16. Liotta, G.; Kaihara, T.; Stecca, G. Optimization and simulation of collaborative networks for sustainable production and transportation. IEEE Trans. Ind. Inform. 2014, 12, 417–424. [Google Scholar] [CrossRef]
  17. Li, J.; Rong, G.; Feng, Y. Request selection and exchange approach for carrier collaboration based on auction of a single request. Transp. Res. Part Logist. Transp. Rev. 2015, 84, 23–39. [Google Scholar] [CrossRef]
  18. Guo, Y.; Yu, J.; Allaoui, H.; Choudhary, A. Lateral collaboration with cost-sharing in sustainable supply chain optimisation: A combinatorial framework. Transp. Res. Part Logist. Transp. Rev. 2022, 157, 102593. [Google Scholar] [CrossRef]
  19. Aloui, A.; Hamani, N.; Derrouiche, R.; Delahoche, L. Systematic literature review on collaborative sustainable transportation: Overview, analysis and perspectives. Transp. Res. Interdiscip. Perspect. 2021, 9, 100291. [Google Scholar] [CrossRef]
  20. Cruijssen, F.; Cools, M.; Dullaert, W. Horizontal cooperation in logistics: Opportunities and impediments. Transp. Res. Part E Logist. Transp. Rev. 2007, 43, 129–142. [Google Scholar] [CrossRef]
  21. Shapley, L.S. 17. A Value for n-Person Games. In Contributions to the Theory of Games, Volume II; Kuhn, H.W., Tucker, A.W., Eds.; Princeton University Press: Princeton, NJ, USA, 1953; pp. 307–318. [Google Scholar] [CrossRef]
  22. Schmeidler, D. The nucleolus of a characteristic function game. SIAM J. Appl. Math. 1969, 17, 1163–1170. [Google Scholar] [CrossRef]
  23. Guajardo, M.; Rönnqvist, M. A review on cost allocation methods in collaborative transportation. Int. Trans. Oper. Res. 2016, 23, 371–392. [Google Scholar] [CrossRef]
  24. Pan, S.; Trentesaux, D.; Ballot, E.; Huang, G.Q. Horizontal collaborative transport: Survey of solutions and practical implementation issues. Int. J. Prod. Res. 2019, 57, 5340–5361. [Google Scholar] [CrossRef]
  25. Gansterer, M.; Hartl, R.F. Collaborative vehicle routing: A survey. Eur. J. Oper. Res. 2018, 268, 1–12. [Google Scholar] [CrossRef]
  26. Schneeweiss, C. Distributed decision making—A unified approach. Eur. J. Oper. Res. 2003, 150, 237–252. [Google Scholar] [CrossRef]
  27. Fischer, K.; Müller, J.P.; Pischel, M. A pragmatic BDI architecture. In Proceedings of the International Workshop on Agent Theories, Architectures, and Languages; Springer: Berlin/Heidelberg, Germany, 1995; pp. 203–218. [Google Scholar]
  28. Adenso-Díaz, B.; Lozano, S.; Garcia-Carbajal, S.; Smith-Miles, K. Assessing partnership savings in horizontal cooperation by planning linked deliveries. Transp. Res. Part Policy Pract. 2014, 66, 268–279. [Google Scholar] [CrossRef]
  29. Berger, S.; Bierwirth, C. Solutions to the request reassignment problem in collaborative carrier networks. Transp. Res. Part E Logist. Transp. Rev. 2010, 46, 627–638. [Google Scholar] [CrossRef]
  30. Özener, O.Ö.; Ergun, Ö.; Savelsbergh, M. Lane-exchange mechanisms for truckload carrier collaboration. Transp. Sci. 2011, 45, 1–17. [Google Scholar] [CrossRef]
  31. Wang, X.; Kopfer, H. Collaborative transportation planning of less-than-truckload freight: A route-based request exchange mechanism. OR Spectr. 2014, 36, 357–380. [Google Scholar] [CrossRef]
  32. Vaziri, S.; Etebari, F.; Vahdani, B. Development and optimization of a horizontal carrier collaboration vehicle routing model with multi-commodity request allocation. J. Clean. Prod. 2019, 224, 492–505. [Google Scholar] [CrossRef]
  33. Farvaresh, H.; Shahmansouri, S. A coalition structure algorithm for large-scale collaborative pickup and delivery problem. Comput. Ind. Eng. 2020, 149, 106737. [Google Scholar] [CrossRef]
  34. Bae, K.H.; Mustafee, N.; Lazarova-Molnar, S.; Zheng, L. Hybrid modeling of collaborative freight transportation planning using agent-based simulation, auction-based mechanisms, and optimization. Simulation 2022, 98, 753–771. [Google Scholar] [CrossRef]
  35. Cortés, C.E.; Matamala, M.; Contardo, C. The pickup and delivery problem with transfers: Formulation and a branch-and-cut solution method. Eur. J. Oper. Res. 2010, 200, 711–724. [Google Scholar] [CrossRef]
  36. Rais, A.; Alvelos, F.; Carvalho, M.S. New mixed integer-programming model for the pickup-and-delivery problem with transshipment. Eur. J. Oper. Res. 2014, 235, 530–539. [Google Scholar] [CrossRef]
  37. Vornhusen, B.; Wang, X.; Kopfer, H. Vehicle routing under consideration of transhipment in horizontal coalitions of freight carriers. Procedia CIRP 2014, 19, 117–122. [Google Scholar] [CrossRef]
  38. Gumuskaya, V.; van Jaarsveld, W.; Dijkman, R.; Grefen, P.; Veenstra, A. A framework for modelling and analysing coordination challenges in hinterland transport systems. Marit. Econ. Logist. 2020, 22, 124–145. [Google Scholar] [CrossRef]
  39. Puettmann, C.; Stadtler, H. A collaborative planning approach for intermodal freight transportation. OR Spectr. 2010, 32, 809–830. [Google Scholar] [CrossRef]
  40. Di Febbraro, A.; Sacco, N.; Saeednia, M. An agent-based framework for cooperative planning of intermodal freight transport chains. Transp. Res. Part Emerg. Technol. 2016, 64, 72–85. [Google Scholar] [CrossRef]
  41. Özener, O.Ö. Developing a collaborative planning framework for sustainable transportation. Math. Probl. Eng. 2014, 2014. [Google Scholar] [CrossRef]
  42. Zhang, Y.; Atasoy, B.; Negenborn, R.R. Preference-based multi-objective optimization for synchromodal transport using Adaptive Large Neighborhood Search. Transp. Res. Rec. 2022, 2676, 71–87. [Google Scholar] [CrossRef]
  43. Heinold, A.; Meisel, F.; Ulmer, M.W. Primal-dual value function approximation for stochastic dynamic intermodal transportation with eco-labels. Transp. Sci. 2023, 57, 1452–1472. [Google Scholar] [CrossRef]
Figure 1. An illustrative example of collaborative planning using transshipments. The figure shows the process of order fulfillment through cooperation among multiple carriers, each owning different fleets that exchange shipment requests at various network nodes. Nodes labeled T1 and T2 represent transshipment points where shipments were transferred between vehicles. The orange-colored facilities indicate shipment dispatch locations, while the purple-colored buildings denote customer delivery destinations.
Figure 1. An illustrative example of collaborative planning using transshipments. The figure shows the process of order fulfillment through cooperation among multiple carriers, each owning different fleets that exchange shipment requests at various network nodes. Nodes labeled T1 and T2 represent transshipment points where shipments were transferred between vehicles. The orange-colored facilities indicate shipment dispatch locations, while the purple-colored buildings denote customer delivery destinations.
Logistics 09 00091 g001
Figure 2. Transportation network in Naples area.
Figure 2. Transportation network in Naples area.
Logistics 09 00091 g002
Figure 3. Restricted transportation network.
Figure 3. Restricted transportation network.
Logistics 09 00091 g003
Figure 4. Comparison of carbon emissions per shipment for α = 0 in scenarios S 1 and S 3 b .
Figure 4. Comparison of carbon emissions per shipment for α = 0 in scenarios S 1 and S 3 b .
Logistics 09 00091 g004
Figure 5. Comparison of carbon emissions per shipment for α = 0.5 in scenarios S 1 and S 3 b .
Figure 5. Comparison of carbon emissions per shipment for α = 0.5 in scenarios S 1 and S 3 b .
Logistics 09 00091 g005
Figure 6. Comparison of carbon emissions per shipment for α = 1 in scenarios S 1 and S 3 b .
Figure 6. Comparison of carbon emissions per shipment for α = 1 in scenarios S 1 and S 3 b .
Logistics 09 00091 g006
Figure 7. Impact of emissions cost ( c e · δ ) on the emissions share ( F 2 ) of the combined objective function ( F 1 + F 2 ).
Figure 7. Impact of emissions cost ( c e · δ ) on the emissions share ( F 2 ) of the combined objective function ( F 1 + F 2 ).
Logistics 09 00091 g007
Figure 8. Sioux Falls network.
Figure 8. Sioux Falls network.
Logistics 09 00091 g008
Table 1. Problem notation: Sets.
Table 1. Problem notation: Sets.
SetsIndexDescription
N iNetwork nodes
A ( i , j ) Network arcs
W wVehicle classes
K kShipment requests
O oOrigin nodes subset ( O N )
D dDestination nodes subset ( D N )
N ¯ k - N { o ( k ) , d ( k ) } for shipment k
Table 2. Problem notation: Parameters.
Table 2. Problem notation: Parameters.
ParametersDescription
a i j w Binary parameter indicating if vehicle w is allowed on arc ( i , j )
U w Load capacity of vehicle class w
c i j w Transportation cost on arc ( i , j ) using vehicle w
q p k Quantity of shipment k (in transport units)
t p i j Travel time on arc ( i , j ) (in hours)
E D k Earliest delivery time for shipment k
D D k Latest delivery time for shipment k
o ( k ) Origin node of shipment k
d ( k ) Destination node of shipment k
e l k Ecological emission limit for shipment k
c e Unit cost for emissions exceeding e l k
δ Amplification factor for emissions cost due to externalities
d i s t i j Lenght of arc ( i , j ) (in km)
M k A large positive number equal to D D k for shipment k
e w Unit CO2 emissions of vehicle class w
Table 3. Problem notation: Decision variables.
Table 3. Problem notation: Decision variables.
Decision VariablesDescription
y i j k w { 0 , 1 } Equal to 1 if shipment k is transported by vehicle w through arc ( i , j ) ; 0 otherwise
x i j w { 0 , 1 } Equal to 1 if vehicle w uses arc ( i , j ) ; 0 otherwise
s i k w l { 0 , 1 } equal to 1 if shipment k is transferred from vehicle w to vehicle l at node i; 0 otherwise
t i k R + Arrival time of shipment k at node i
η k R + Positive deviation over emission limit for shipment k
e k R + Total emissions of shipment k
Table 4. Vehicle parameters.
Table 4. Vehicle parameters.
Diesel Trucks (35 plts)LPG Trucks (25 plts)Electric Trucks (15 plts)
c i j w [€/km]1.791.291.70
e w [kg/km]0.900.200.05
Table 5. Shipments characteristics.
Table 5. Shipments characteristics.
( o , d ) Quantity [plt] el k [g]
k 1 (1,10)2530
k 2 (3,10)1030
k 3 (3,5)1510
k 4 (2,5)1510
k 5 (10,6)530
k 6 (9,7)2530
Table 6. Scenarios.
Table 6. Scenarios.
ScenarioVehicular AccessibilityTransshipments
S 1 Unlimited for all gasoline vehiclesAllowed
S 2 Restricted for gasoline vehiclesAllowed
S 3 a Restricted for gasoline and LPG vehiclesAllowed
S 3 b Restricted for gasoline and LPG vehiclesAllowed
S 1 * Unlimited for all vehiclesProhibited
S 3 b * Restricted for gasoline and LPG vehiclesProhibited
Table 7. S 1 results as α varied.
Table 7. S 1 results as α varied.
α 00.10.20.30.40.50.60.70.80.91
F 1 5388.48109.14109.1487.6287.6287.6287.6283.3876.3874.8074.80
F 2 8.479.409.4016.2816.2816.2816.2823.7040.9048.1248.12
Table 8. S 2 results as α varied.
Table 8. S 2 results as α varied.
α 00.10.20.30.40.50.60.70.80.91
F 1 5388.48109.14109.1487.6287.6287.6287.6287.6280.6179.0479.04
F 2 8.479.409.4016.2816.2816.2816.2816.2833.4840.7040.70
Table 9. S 3 a results as α varied.
Table 9. S 3 a results as α varied.
α 00.10.20.30.40.50.60.70.80.91
F 1 5613.00114.58114.5898.6298.6297.4697.4697.4686.9286.9286.92
F 2 3.884.074.0710.0610.0610.9310.9310.9336.8236.8236.82
Table 10. S 3 b results as α varied.
Table 10. S 3 b results as α varied.
α 00.10.20.30.40.50.60.70.80.91
F 1 5613.00114.58114.5898.6298.6297.4697.4697.4690.4690.4690.46
F 2 3.884.074.0710.0610.0610.9310.9310.9328.1328.1328.86
Table 11. Number of transshipments for α = 0.5 .
Table 11. Number of transshipments for α = 0.5 .
ScenarioNumber of Transshipments
10
24
3a6
3b5
Table 12. Coalitions of vehicles for α = 0.5 for scenario S 3 a .
Table 12. Coalitions of vehicles for α = 0.5 for scenario S 3 a .
Kk1k2k3k4k5k6
Coalitionsw3-w4w3w3-w4-w6w3-w4w4-w6w4
Table 13. Carbon emissions from shipments for α = 0.5 .
Table 13. Carbon emissions from shipments for α = 0.5 .
K k 1 k 2 k 3 k 4 k 5 k 6
S 1 4.603.962.622.041.541.52
S 2 4.603.962.622.041.541.52
S 3 a 4.603.231.091.250.390.38
S 3 b 4.603.2251.091.250.390.38
Table 14. Comparison of objective function values F 1 and F 2 for α { 0 , 0.5 , 1 } between scenarios S 1 - S 1 * and S 3 b - S 3 b * .
Table 14. Comparison of objective function values F 1 and F 2 for α { 0 , 0.5 , 1 } between scenarios S 1 - S 1 * and S 3 b - S 3 b * .
S 1 S 1 * S 3 b S 3 b *
α F 1 F 2 F 1 F 2 F 1 F 2 F 1 F 2
05388.488.475388.488.475613.003.885613.003.88
0.587.6216.2887.6216.2897.4610.93105.387.52
174.8048.1282.6664.3586.9236.82105.387.52
Table 15. Comparison of C O 2 emissions from shipments and vehicles for α = 1 between scenarios S 1 - S 1 * and S 3 b - S 3 b * .
Table 15. Comparison of C O 2 emissions from shipments and vehicles for α = 1 between scenarios S 1 - S 1 * and S 3 b - S 3 b * .
S 1 S 1 * S 3 b S 3 b *
k e k w e w k e k w e w k e k w e w k e k w e w
117.1910123.3110117.191014.6010
212.36239.96217.01261.29212.36230.4220.9920
39.7634.74311.7933.0631.8335.1030.6634.60
45.7543.4249.184044.6841.0340.5142.41
51.545051.545050.395050.3950
61.526061.526060.3860.2760.3860.51
Table 16. Input parameters randomized to generate multiple scenarios.
Table 16. Input parameters randomized to generate multiple scenarios.
ParameterRandomization Description
| K | Number of products, random integer between 5 and 25
o ( k ) Randomly selected origin node from N for each product k
d ( k ) Randomly selected destination node from N for each product k, different from o ( k )
e l k Random integer between 5 and 15
q p k Random integer between 1 and 20
c i j w Base transportation cost multiplied by random factor in [0.5, 1.5], rounded to 3 decimals
c e Random float between 0.01 and 0.10
δ Random integer between 1 and 100
e w Base emission factor multiplied by random factor in [0.5, 1.5]
Table 17. Descriptive statistics for the two objective functions F 1 and F 2 .
Table 17. Descriptive statistics for the two objective functions F 1 and F 2 .
MeanStd. Dev.25th Perc.Median75th Perc.MaxMin
F 1 194.9089.47125.44177.43249.87393.9145.27
F 2 25.9019.2412.2120.4636.0597.882.75
Table 18. Results for Sioux Falls network as α varied.
Table 18. Results for Sioux Falls network as α varied.
| K | = 5 | K | = 10 | K | = 20
α Gap (%)Runtime [s]Gap (%)Runtime [s]Gap (%)Runtime [s]
00.0000.4790.0002.7850.00017.849
0.250.00038.3250.000425.8366.18510800.000
0.50.0007.9140.00071.37411.50010800.000
0.750.00012.6800.000179.56718.00810800.000
10.00013.3220.000814.26713.42110800.000
Disclaimer/Publisher’s Note: The statements, opinions and data contained in all publications are solely those of the individual author(s) and contributor(s) and not of MDPI and/or the editor(s). MDPI and/or the editor(s) disclaim responsibility for any injury to people or property resulting from any ideas, methods, instructions or products referred to in the content.

Share and Cite

MDPI and ACS Style

Pala, A.L.; Stecca, G. Fleet Coalitions: A Collaborative Planning Model Balancing Economic and Environmental Costs for Sustainable Multimodal Transport. Logistics 2025, 9, 91. https://doi.org/10.3390/logistics9030091

AMA Style

Pala AL, Stecca G. Fleet Coalitions: A Collaborative Planning Model Balancing Economic and Environmental Costs for Sustainable Multimodal Transport. Logistics. 2025; 9(3):91. https://doi.org/10.3390/logistics9030091

Chicago/Turabian Style

Pala, Anna Laura, and Giuseppe Stecca. 2025. "Fleet Coalitions: A Collaborative Planning Model Balancing Economic and Environmental Costs for Sustainable Multimodal Transport" Logistics 9, no. 3: 91. https://doi.org/10.3390/logistics9030091

APA Style

Pala, A. L., & Stecca, G. (2025). Fleet Coalitions: A Collaborative Planning Model Balancing Economic and Environmental Costs for Sustainable Multimodal Transport. Logistics, 9(3), 91. https://doi.org/10.3390/logistics9030091

Article Metrics

Back to TopTop