The Effect of Sea Salt, Dry Sourdough and Fermented Sugar as Sodium Chloride Replacers on Rheological Behavior of Wheat Flour Dough
Abstract
1. Introduction
2. Materials and Methods
2.1. Materials
2.2. Dough Rheological Properties during Mixing and Extension
2.3. Dough Rheological Properties during Pasting
2.4. Dough Rheological Properties during Fermentation
2.5. Bread-Making Samples
2.6. Bread Samples Analysis
2.7. Experimental Design and Statistical Analysis
3. Results
3.1. Fitting Models
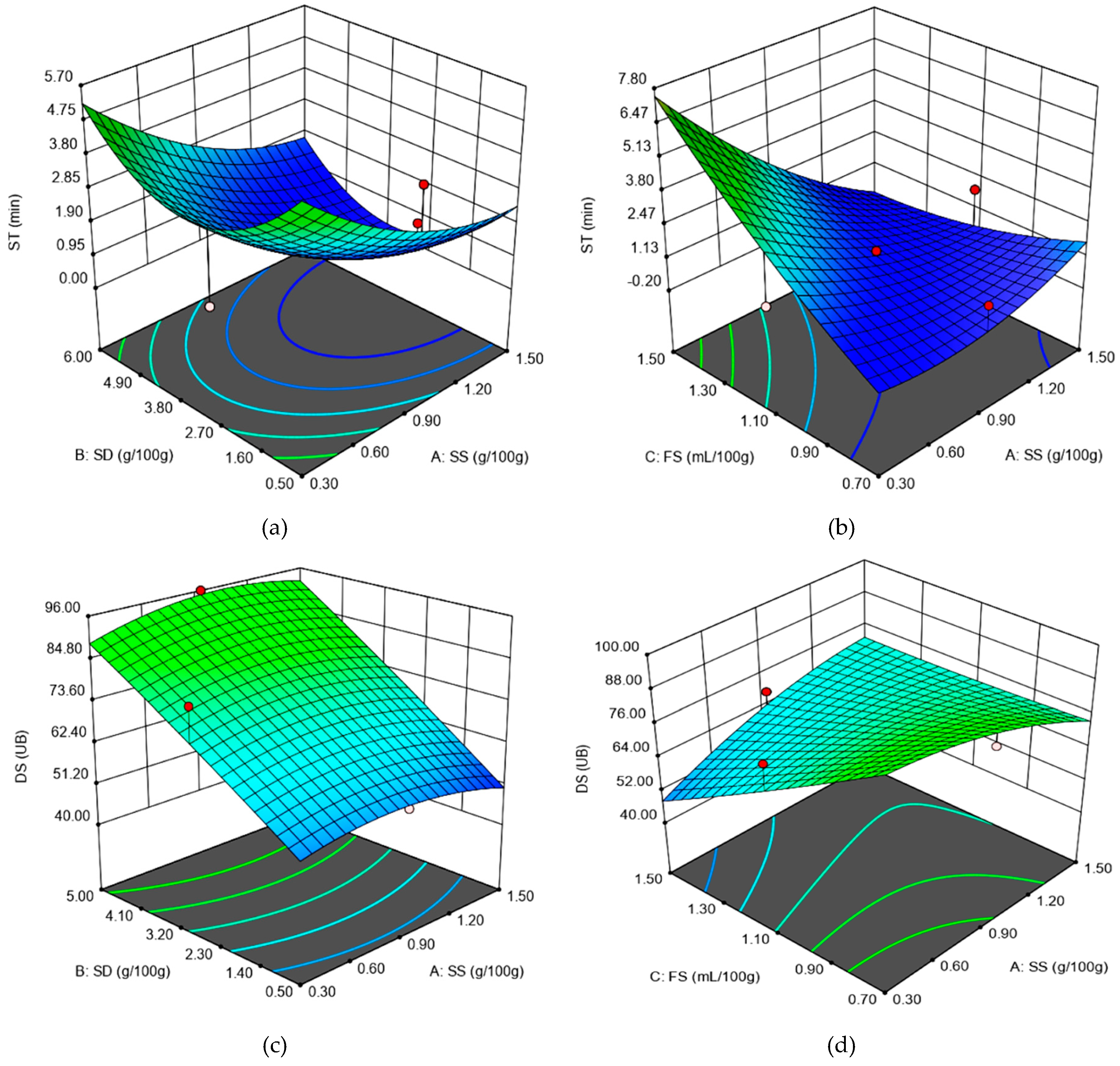
3.2. Dough Rheological Properties during Mixing and Extension
3.3. Dough Rheological Properties during Pasting
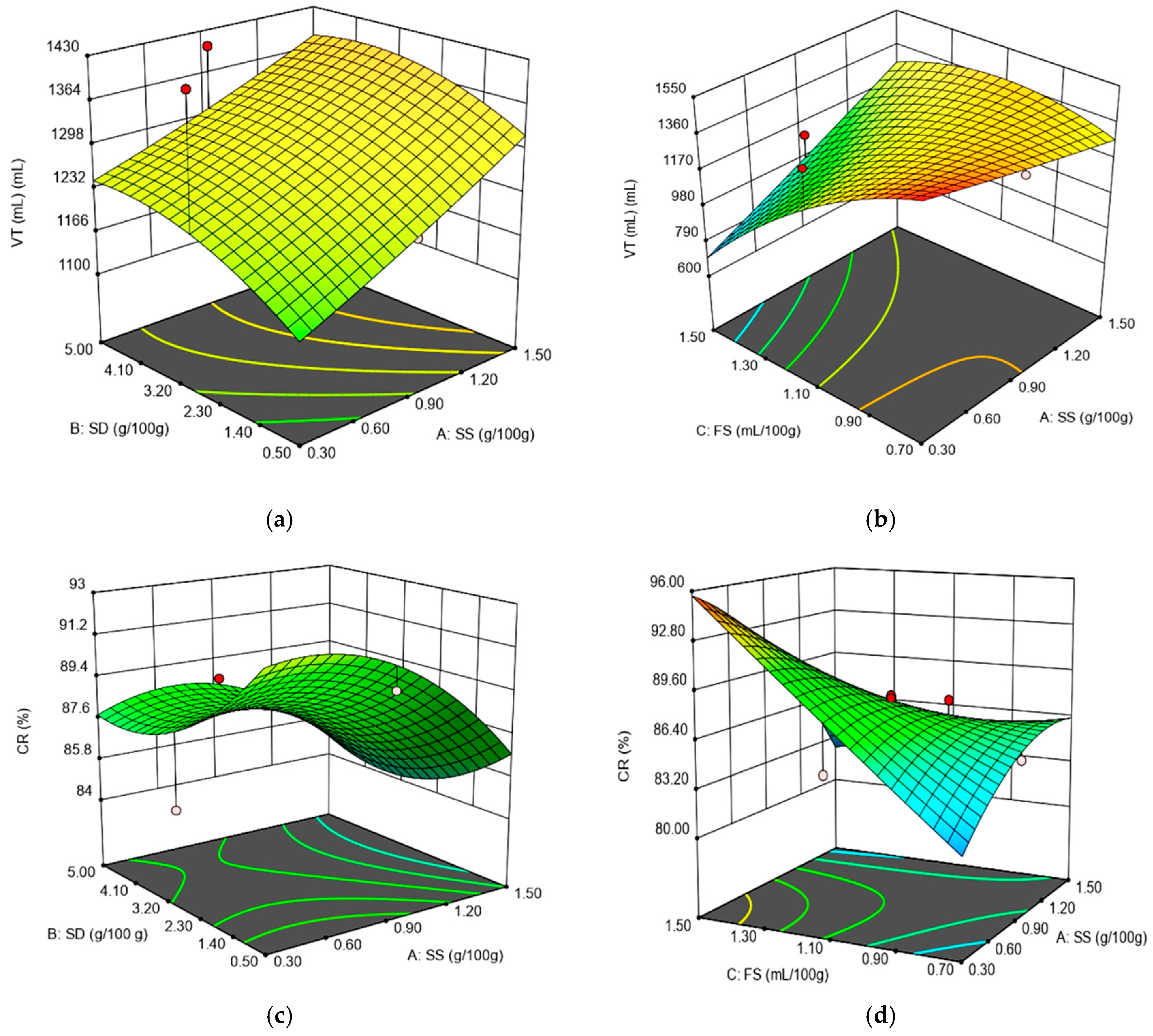
3.4. Dough Rheological Properties during Fermentation
3.5. Optimization of Sea Salt, Dry Sourdough and Fermented Sugar Formulation
3.6. Quality Characteristics for Bread Samples with 1.5% NaCl Addition (Control Sample) and the Optimized Sea Salt, Sry Sourdough and Sermented Sugar Formulation
4. Conclusions
Author Contributions
Funding
Acknowledgments
Conflicts of Interest
References
- Van Buren, L.; Dötsch-Klerk, M.; Seewi, G.; Newson, R.S. Dietary impact of adding potassium chloride to foods as a sodium reduction technique. Nutrients 2016, 8, 235. [Google Scholar] [CrossRef]
- Zandstra, E.H.; Lion, R.; Newson, R.S. Salt reduction: Moving from consumer awareness to action. Food Qual. Prefer. 2016, 48, 376–381. [Google Scholar] [CrossRef]
- Lopes, M.; Cavaleiro, C.; Ramos, F. Sodium reduction in bread: A role for glasswort (Salicornia ramosissima J. woods). Compr. Rev. Food Sci. Food 2017, 16, 1056–1071. [Google Scholar] [CrossRef]
- Kloss, L.; Meyer, J.D.; Graeve, L.; Vetter, W. Sodium intake and its reduction by food reformulation in the European Union—A review. NFS J. 2015, 1, 9–19. [Google Scholar] [CrossRef]
- Belc, N.; Smeu, I.; Macri, A.; Vallauri, D.; Flynn, K. Reformulating foods to meet current scientific knowledge about salt, sugar and fats. Trends Food Sci. Technol. 2019, 84, 25–28. [Google Scholar] [CrossRef]
- Silow, C.; Axel, C.; Zannini, E.; Arendt, E.K. Current status of salt reduction in bread and bakery products—A review. J. Cereal Sci. 2016, 72, 135–145. [Google Scholar] [CrossRef]
- Lynch, E.J.; Dal Bello, F.; Sheehan, E.M.; Cashman, K.D.; Arendt, E.K. Fundamental studies on the reduction of salt on dough and bread characteristics. Food Res. Int. 2009, 42, 885–891. [Google Scholar] [CrossRef]
- Moreau, L.; Lagrange, J.; Bindzus, W.; Hill, S. Influence of sodium chloride on colour, residual volatiles and acrylamide formation in model systems and breakfast cereals. Int. J. Food Sci. Technol. 2009, 44, 2407–2416. [Google Scholar] [CrossRef]
- Koliandris, A.L.; Morris, C.; Hewson, L.; Hort, J.; Taylor, A.J.; Wolf, B. Correlation between saltiness perception and shear flow behavior for viscous solutions. Food Hydrocoll. 2010, 24, 792–799. [Google Scholar] [CrossRef]
- Bassett, M.N.; Palacios, T.P.; Cipriano, I.; Cardoso, P.; Ferreira, I.M.; Samman, N.; Pinho, O. Development of bread with NaCl reduction and calcium fortification: Study of its quality. J. Food Qual. 2013, 37, 107–116. [Google Scholar] [CrossRef]
- Belz, M.C.E.; Ryan, L.A.M.; Arendt, E.K. The Impact of Salt Reduction in Bread: A Review. Crit. Rev. Food Sci. Nutr. 2012, 52, 514–524. [Google Scholar] [CrossRef]
- Miller, R.A.; Hoseney, R.C. Role of Salt in Baking. Cereal Foods World 2008, 53, 4–6. [Google Scholar] [CrossRef]
- Raffo, A.; Carcea, M.; Moneta, E.; Narducci, V.; Nicoli, S. Influence of different levels of sodium chloride of a reduced sodium salt substitute on volatiles formation and sensory quality of wheat bread. J. Cereal Sci. 2018, 79, 519–526. [Google Scholar] [CrossRef]
- Nogueira, A.C.; Kussano, J.T.; Steel, C.J. Sourdough reduces sodium in wheat flour doughs. Int. J. Food Sci. Technol. 2015, 50, 2621–2629. [Google Scholar] [CrossRef]
- Jimenez-Maroto, L.A.; Sato, T.; Rankin, S.A. Saltiness potentiation in white bread by substituting sodium chloride with a fermented soy ingredient. J. Cereal Sci. 2013, 58, 313–317. [Google Scholar] [CrossRef]
- Israr, T.; Rakha, A.; Sohail, M.; Rashid, S.; Shehzad, A. Salt reduction in baked products: Strategies and constraints. Trends Food Sci. Technol. 2016, 51, 98–105. [Google Scholar] [CrossRef]
- Zhao, C.J.; Kinner, M.; Wismer, W.; Ganzle, M.G. Effect of glutamate-accumulation during sourdough fermentation with Lactobacillus reuteri on the taste of bread and sodium-reduced bread. Cereal Chem. 2014, 92, 224–230. [Google Scholar] [CrossRef]
- Belz, M.C.E.; Mairinger, R.; Zannini, E.; Ryan, L.A.M.; Cashman, K.D.; Arendt, E.K. The effect of sourdough and calcium propionate on the microbial shelf-life of salt-reduced bread. Appl. Microbiol. Biotechnol. 2012, 96, 493–501. [Google Scholar] [CrossRef]
- Simsek, S.; Martinez, M.O. Quality of dough and bread prepared with sea salt or sodium chloride. J. Food Process. Eng. 2016, 39, 44–52. [Google Scholar] [CrossRef]
- Voinea, A.; Stroe, S.-G.; Codină, G.G. Use of Response Surface Methodology to Investigate the Effects of Sodium Chloride Substitution with Potassium Chloride on Dough’s Rheological Properties. Appl. Sci. 2020, 10, 4039. [Google Scholar] [CrossRef]
- Voinea, A.; Stroe, S.-G.; Codină, G.G. The effect of sodium reduction by sea salt and dry sourdough addition on the wheat flour dough rheological properties. Foods 2020, 9, 610. [Google Scholar] [CrossRef]
- Codină, G.G.; Mironeasa, S.; Mironeasa, C. Variability and relationship among Mixolab and Falling Number evaluation based on influence of fungal α-amylase addition. J. Food Sci. Agric. 2012, 92, 2162–2170. [Google Scholar] [CrossRef]
- Wang, Y.; Gao, Y.; Ding, H.; Liu, S.; Han, X.; Gui, J.; Liu, D. Subcritical ethanol extraction of flavonoids from Moringaoleifera leaf and evaluation of antioxidant activity. Food Chem. 2017, 218, 152–158. [Google Scholar] [CrossRef]
- Codină, G.G.; Mironeasa, S. Use of response surface methodology to investigate the effects of brown and golden flaxseed on wheat flour dough microstructure and rheological properties. J. Food Sci. Technol. 2016, 53, 4149–4158. [Google Scholar]
- McCann, T.H.; Day, L. Effect of sodium chloride on gluten network formation, dough microstructure and rheology in relation to bread making. J. Cereal Sci. 2013, 57, 444–452. [Google Scholar] [CrossRef]
- Beck, M.; Jekle, M.; Becker, T. Impact of sodium chloride on wheat flour dough for yeast-leavened products. I. Rheological attributes. J. Food Sci. Agric. 2012, 92, 585–592. [Google Scholar] [CrossRef]
- Beck, M.; Jekle, M.; Becker, T. Impact of sodium chloride on wheat flour dough for yeast-leavened products. II. Baking quality parameters and their relationship. J. Food Sci. Agric. 2012, 92, 299–306. [Google Scholar] [CrossRef]
- Jekle, M.; Necula, A.; Jekle, M.; Becker, T. Concentration dependent rate constants of sodium substitute functionalities during wheat dough development. Food Res. Int. 2019, 116, 346–353. [Google Scholar] [CrossRef]
- Uthayakumaran, S.; Batey, I.L.; Day, L.; Wrigley, C.W. Salt reduction in wheat-based foods-technical challenges and opportunities. Food Aust. 2011, 63, 137–140. [Google Scholar]
- Costa, R.G.B.; Sobrala, D.; Aglaê, V.; Teodoro, M.; Costa Junior, L.C.G.; de Paula, J.C.J.; Landin, T.B.; Oliveira, M.B. Sodium substitutes in Prato cheese: Impact on the physicochemical parameters, rheology aspects and sensory acceptance. LWT-Food Sci. Tehcnol. 2018, 90, 643–649. [Google Scholar] [CrossRef]
- Wellner, N.; Bianchini, D.; Mills, E.N.C.; Belton, P.S. Effect of selected hofmeister anions on the secondary structure and dynamics of wheat prolamins in gluten. Cereal Chem. 2003, 80, 596–600. [Google Scholar] [CrossRef]
- Ortolan, F.; Corream, G.P.; da Cunha, R.L.; Steel, C.J. Rheological properties of vital wheat glutens with water or sodium chloride. LWT-Food Sci. Tehcnol. 2017, 79, 647–654. [Google Scholar] [CrossRef]
- Tuhumury, H.C.D.; Small, D.M.; Day, L. Effects of Hofmeister salt series on gluten network formation: Part, I. Cation series. Food Chem. 2016, 212, 789–797. [Google Scholar] [CrossRef]
- Clarke, C.I.; Shober, T.J.; Angst, E.; Arendt, E.K. Use of response surface methodology to investigate the effects of processing conditions on sourdough bread quality. Eur. Food Res. Technol. 2003, 217, 23–33. [Google Scholar]
- Schober, T.J.; Dockery, P.; Arendt, E.A. Model studies for wheat sourdoughs systems using gluten, lactate buffer and sodium chloride. Eur. Food Res. Technol. 2003, 217, 235–243. [Google Scholar] [CrossRef]
- Pasqualone, A.; Caponio, F.; Pagani, M.A.; Summo, C.; Paradiso, V.M. Effect of salt reduction on quality and acceptability. Food Chem. 2019, 289, 575–581. [Google Scholar] [CrossRef]
- Codină, G.G.; Voica, D. The influence of different forms of bakery yeast Saccharomyces cerevisie type strain on the concentration of individual sugars and their utilization during fermentation. Rom. Biotech. Lett 2010, 15, 5417–5422. [Google Scholar]
- Candioti, L.V.; de Zan, M.M.; Cámara, M.S.; Héctor, C.G. Experimental design and multiple response optimization. Using the desirability function in analytical methods development. Talanta 2014, 124, 123–138. [Google Scholar] [CrossRef]
Publisher’s Note: MDPI stays neutral with regard to jurisdictional claims in published maps and institutional affiliations. |






| Run | Real Values | Coded Values | ||||
|---|---|---|---|---|---|---|
| SS (g/100 g) | SD (g/100 g) | FS (mL/100 g) | X1 | X2 | X3 | |
| 1 | 0.90 | 2.75 | 1.10 | 0 | 0 | 0 |
| 2 | 1.50 | 0.50 | 1.50 | +1 | −1 | +1 |
| 3 | 0.90 | 2.75 | 1.10 | 0 | 0 | 0 |
| 4 | 0.30 | 5.00 | 1.50 | −1 | +1 | +1 |
| 5 | 0.90 | 0.50 | 1.10 | 0 | −1 | 0 |
| 6 | 0.90 | 2.75 | 1.50 | 0 | 0 | +1 |
| 7 | 1.50 | 5.00 | 0.70 | +1 | +1 | −1 |
| 8 | 1.50 | 5.00 | 1.50 | +1 | +1 | +1 |
| 9 | 0.30 | 0.50 | 0.70 | −1 | −1 | −1 |
| 10 | 0.30 | 2.75 | 1.10 | −1 | 0 | 0 |
| 11 | 0.30 | 0.50 | 1.50 | −1 | −1 | +1 |
| 12 | 0.30 | 5.00 | 0.70 | −1 | +1 | −1 |
| 13 | 1.50 | 0.50 | 0.70 | +1 | −1 | −1 |
| 14 | 0.90 | 2.75 | 0.70 | 0 | 0 | −1 |
| 15 | 0.90 | 2.75 | 1.10 | 0 | 0 | 0 |
| 16 | 0.90 | 2.75 | 1.10 | 0 | 0 | 0 |
| 17 | 0.90 | 5.00 | 1.10 | 0 | +1 | 0 |
| 18 | 0.90 | 2.75 | 1.10 | 0 | 0 | 0 |
| 19 | 0.90 | 2.75 | 1.10 | 0 | 0 | 0 |
| 20 | 1.50 | 2.75 | 1.10 | +1 | 0 | 0 |
| Run | Farinograph | Extensograph (Proving Time 135 min) | ||||||
|---|---|---|---|---|---|---|---|---|
| WA (%) | ST (min) | DS (UB) | E (cm2) | R50 (BU) | Ext (mm) | Rmax (BU) | R/E | |
| 1 | 58.0 ± 0.41 | 1.4 ± 0.10 | 76 ± 1.12 | 95 ± 2.3 | 611 ± 5.1 | 110 ± 1.3 | 665 ± 5.8 | 6.0 ± 0.14 |
| 2 | 55.7 ± 0.70 | 1.2 ± 0.10 | 51 ± 0.80 | 132 ± 4.1 | 898 ± 8.9 | 106 ± 1.2 | 949 ± 9.7 | 6.8 ± 0.16 |
| 3 | 58.0 ± 0.41 | 1.4 ± 0.10 | 76 ± 1.12 | 95 ± 2.3 | 611 ± 5.1 | 110 ± 1.3 | 665 ± 5.8 | 6.0 ± 0.14 |
| 4 | 57.4 ± 0.37 | 9.6 ± 0.14 | 44 ± 0.90 | 95 ± 2.3 | 545 ± 4.8 | 116 ± 1.4 | 627 ± 5.4 | 5.7 ± 0.13 |
| 5 | 56.4 ± 0.28 | 3.4 ± 0.14 | 55 ± 0.80 | 102 ± 3.0 | 530 ± 4.7 | 122 ± 1.1 | 629 ± 5.4 | 5.2 ± 0.12 |
| 6 | 59.2 ± 0.28 | 1.3 ± 0.14 | 69 ± 1.00 | 95 ± 2.3 | 619 ± 5.2 | 109 ± 1.3 | 693 ± 6.0 | 6.4 ± 0.17 |
| 7 | 59.8 ± 0.32 | 1.0 ± 0.14 | 97 ± 1.60 | 82 ± 1.7 | 590 ± 5.0 | 103 ± 1.3 | 620 ± 5.9 | 6.1 ± 0.13 |
| 8 | 59.6 ± 0.14 | 0.9 ± 0.14 | 93 ± 1.60 | 93 ± 2.3 | 680 ± 6.2 | 102 ± 1.3 | 711 ± 7.8 | 7.0 ± 0.24 |
| 9 | 57.8 ± 0.13 | 2.9 ± 0.14 | 59 ± 0.80 | 77 ± 2.2 | 392 ± 5.6 | 123 ± 1.5 | 453 ± 4.2 | 3.7 ± 0.10 |
| 10 | 60.0 ± 0.21 | 1.4 ± 0.10 | 81 ± 1.40 | 73 ± 2.0 | 430 ± 4.1 | 117 ± 1.4 | 466 ± 4.4 | 4.0 ± 0.10 |
| 11 | 57.4 ± 0.14 | 9.6 ± 0.14 | 44 ± 0.80 | 95 ± 2.3 | 545 ± 4.8 | 116 ± 1.4 | 627 ± 5.4 | 5.7 ± 0.13 |
| 12 | 61.4 ± 0.14 | 0.9 ± 0.14 | 130 ± 2.20 | 51 ± 0.8 | 354 ± 5.2 | 104 ± 1.4 | 364 ± 5.3 | 3.5 ± 0.10 |
| 13 | 57.4 ± 0.28 | 3.5 ± 0.14 | 56 ± 0.80 | 119 ± 3.6 | 671 ± 5.9 | 119 ± 1.5 | 784 ± 8.3 | 6.6 ± 0.18 |
| 14 | 58.9 ± 0.42 | 1.4 ± 0.10 | 85 ± 1.40 | 77 ± 2.2 | 462 ± 4.4 | 113 ± 1.3 | 520 ± 4.6 | 4.6 ± 0.10 |
| 15 | 58.0 ± 0.28 | 1.4 ± 0.10 | 76 ± 1.12 | 95 ± 2.3 | 611 ± 5.1 | 110 ± 1.3 | 665 ± 5.8 | 6.0 ± 0.14 |
| 16 | 58.0 ± 0.28 | 1.4 ± 0.10 | 76 ± 1.12 | 95 ± 2.3 | 611 ± 5.1 | 110 ± 1.3 | 665 ± 5.8 | 6.0 ± 0.14 |
| 17 | 60.2 ± 0.14 | 0.9 ± 0.03 | 96 ± 1.60 | 78 ± 2.2 | 573 ± 4.8 | 102 ± 1.3 | 612 ± 5.1 | 6.0 ± 0.14 |
| 18 | 58.0 ± 0.14 | 1.4 ± 0.10 | 76 ± 1.12 | 95 ± 2.3 | 611 ± 5.1 | 110 ± 1.3 | 665 ± 5.8 | 6.0 ± 0.14 |
| 19 | 58.0 ± 0.28 | 1.4 ± 0.10 | 76 ± 1.12 | 95 ± 2.3 | 611 ± 5.1 | 110 ± 1.3 | 665 ± 5.8 | 6.0 ± 0.14 |
| 20 | 57.8 ± 0.28 | 1.9 ± 0.14 | 63 ± 0.90 | 111 ± 3.4 | 730 ± 8.1 | 107 ± 1.2 | 803 ± 8.5 | 7.5 ± 0.25 |
| Run | Responses | |||||
|---|---|---|---|---|---|---|
| PVmax (BU) | Tmax (℃) | H’m (mm) | VT (mL) | VR (mL) | CR (%) | |
| 1 | 1245 ± 5.66 | 89.8 ± 0.3 | 72.5 ± 1.1 | 1267 ± 6.7 | 1122 ± 8.1 | 88.5 ± 0.9 |
| 2 | 1368 ± 1.41 | 89.8 ± 0.3 | 55.1 ± 0.7 | 1213 ± 6.5 | 1023 ± 7.8 | 84.3 ± 0.7 |
| 3 | 1245 ± 2.83 | 89.8 ± 0.3 | 72.4 ± 1.1 | 1266 ± 6.6 | 1120 ± 8.0 | 88.4 ± 0.9 |
| 4 | 1251 ± 1.84 | 89.3 ± 0.2 | 37.2 ± 0.8 | 601 ± 4.2 | 589 ± 5.2 | 98.0 ± 1.2 |
| 5 | 1218 ± 1.41 | 89.4 ± 0.3 | 62.5 ± 1.1 | 1222 ± 8.3 | 1104 ± 7.8 | 90.3 ± 1.0 |
| 6 | 1207 ± 1.13 | 89.1 ± 0.3 | 70.6 ± 1.0 | 1103 ± 9.6 | 1002 ± 7.2 | 90.8 ± 0.7 |
| 7 | 1265 ± 2.12 | 90.3 ± 0.4 | 64.0 ± 0.85 | 1301 ± 4.0 | 1119 ± 8.3 | 86.0 ± 0.5 |
| 8 | 1252 ± 2.10 | 89.5 ± 0.35 | 60.0 ± 0.8 | 1272 ± 6.7 | 1049 ± 8.1 | 82.4 ± 0.3 |
| 9 | 1113 ± 1.10 | 89.1 ± 0.3 | 70.6 ± 0.9 | 1376 ± 6.8 | 1213 ± 6.6 | 88.1 ± 0.4 |
| 10 | 1198 ± 1.15 | 89.5 ± 0.4 | 75.6 ± 1.0 | 1427 ± 6.9 | 1215 ± 6.8 | 85.1 ± 0.4 |
| 11 | 1251 ± 2.10 | 89.3 ± 0.4 | 37.2 ± 0.5 | 601 ± 3.1 | 589 ± 3.4 | 98.0 ± 0.2 |
| 12 | 1107 ± 1.20 | 89.3 ± 0.4 | 81.0 ± 1.5 | 1538 ± 8.1 | 1216 ± 6.5 | 79.0 ± 0.3 |
| 13 | 1286 ± 2.30 | 89.8 ± 0.4 | 64.1 ± 0.8 | 1279 ± 6.8 | 1132 ± 7.9 | 88.5 ± 0.6 |
| 14 | 1270 ± 2.13 | 89.3 ± 0.4 | 72.3 ± 1.1 | 1364 ± 6.7 | 1161 ± 6.3 | 85.1 ± 0.6 |
| 15 | 1245 ± 2.10 | 89.8 ± 0.5 | 72.5 ± 1.1 | 1267 ± 6.7 | 1122 ± 7.3 | 88.5 ± 0.7 |
| 16 | 1245 ± 2.10 | 89.8 ± 0.5 | 72.3 ± 1.1 | 1264 ± 6.2 | 1120 ± 7.2 | 88.6 ± 0.7 |
| 17 | 1250 ± 2.13 | 90.3 ± 0.6 | 75.9 ± 1.2 | 1405 ± 5.9 | 1244 ± 6.8 | 88.5 ± 0.7 |
| 18 | 1245 ± 2.10 | 89.8 ± 0.5 | 72.4 ± 1.1 | 1266 ± 8.4 | 1120 ± 7.2 | 88.4 ± 0.5 |
| 19 | 1245 ± 2.10 | 89.8 ± 0.5 | 72.3 ± 1.1 | 1267 ± 7.9 | 1121 ± 7.2 | 88.4 ± 0.7 |
| 20 | 1315 ± 2.83 | 90.0 ± 0.5 | 67.2 ± 1.0 | 1276 ± 8.1 | 1108 ± 6.8 | 86.8 ± 0.7 |
| Factors b | Parameters | |||||||
|---|---|---|---|---|---|---|---|---|
| Farinograph | Extensograph (Proving Time 135 min) | |||||||
| WA (%) | ST (min) | DS (UB) | E (cm2) | R50 (BU) | Ext (mm) | Rmax (BU) | R/E | |
| Constant | +58.28 | +1.20 | +76.11 | +92.50 | +591.45 | +110.95 | +648.95 | +5.89 |
| X1 | −0.37 | +1.59 ** | +0.20 | +14.60 ** | +130.30 ** | −3.90 ** | +133.00 ** | +1.14 |
| X2 | +1.37 ** | −0.73 | +19.50 ** | −12.60 ** | −29.40 * | −5.90 ** | −50.80 ** | +0.03 |
| X3 | −0.60 * | +1.29 | −12.60 ** | +10.40 ** | +81.80 ** | −1.30 * | +86.60 ** | +0.71 |
| X1 × X2 | +0.34 | −0.10 | +1.50 | −6.25 ** | −32.62 | −0.12 | −39.12 ** | −0.012 |
| X1 × X3 | +0.31 | −2.22 ** | +11.50 ** | −4.75 * | −3.37 | −2.37 ** | −22.62 | −0.39 |
| X2 × X3 | −0.26 | +0.53 | −8.75 * | +3.00 | −12.37 | +3.88 ** | +1.88 | +0.11 |
| X12 | +0.20 | +0.74 | −4.27 | +2.45 | +17.86 | +0.59 | +9.64 | +0.036 |
| X22 | −0.40 | +1.24 | −0.77 | +0.45 | −10.64 | +0.59 | −4.36 | −0.11 |
| X32 | +0.35 | +0.44 | +0.73 | −3.55 | −21.64 | −0.41 | −18.36 | −0.21 |
| Adjusted R2 | 0.62 | 0.78 | 0.82 | 0.92 | 0.87 | 0.85 | 0.90 | 0.85 |
| Std. dev. | 0.91 | 1.20 | 8.81 | 5.00 | 43.80 | 2.43 | 40.33 | 0.41 |
| p-value | 0.0003 ** | 0.001 ** | <0.0001 ** | <0.0001 ** | <0.0001 ** | 0.0002 ** | <0.0001 ** | 0.0002 ** |
| Factors b | Parameters | |||||
|---|---|---|---|---|---|---|
| PVmax (BU) | Tmax (°C) | H’m (mm) | VT (mL) | VR (mL) | CR (%) | |
| Constant | +1241.35 | +89.75 | +73.65 | +1229.95 | +1147.61 | +88.22 |
| X1 | +56.60 ** | +0.29 ** | +0.88 | +79.80 * | +60.90 * | −2.02 ** |
| X2 | −11.10 | +0.13 * | +2.86 | +42.60 | +15.60 | −1.53 * |
| X3 | +28.80 * | −0.08 | −9.19 ** | −206.80 ** | −158.90 ** | +2.68 ** |
| X1 × X2 | −16.37 | +0.001 | −0.70 | −10.12 | +1.25 | +0.59 |
| X1 × X3 | −26.62 | −0.12 * | +8.03 ** | +202.13 ** | +134.00 ** | −4.59 ** |
| X2 × X3 | −11.12 | −0.12 * | −0.67 | −15.62 | +4.50 | +1.21 * |
| X12 | +10.64 | +0.077 | −4.13 | +5.86 | −26.27 | −1.91 |
| X22 | −11.86 | +0.18 | −6.33 * | −32.14 | −13.77 | +1.54 |
| X32 | −7.36 | −0.47 * | −4.08 | −112.14 | −106.27 | +0.091 |
| Adjusted R2 | 0.65 | 0.71 | 0.75 | 0.80 | 0.77 | 0.83 |
| Std. dev. | 34.95 | 0.19 | 5.81 | 103.26 | 84.20 | 1.79 |
| p-value | 0.00123 ** | 0.0045 ** | 0.0022 ** | 0.0007 ** | 0.0014 ** | 0.0003 ** |
| Parameters | Values | |
|---|---|---|
| Control Sample | Optimized Sample | |
| Water absorption (%) | 57.2 ± 0.1 | 56.6 |
| Dough development time (min) | 2.7 ± 0.1 | 1.5 |
| Stability (min) | 3.6 ± 0.2 | 4.6 |
| Degree of softening (UB) | 61 ± 0.8 | 57 |
| Energy (cm2) | 85 ± 2.2 | 83.95 |
| Resistance to extension up to 50 mm (BU) | 416 ± 3.9 | 437.35 |
| Extensibility (mm) | 122 ± 1.1 | 122.14 |
| Maximum resistance (BU) | 298 ± 5.6 | 502.69 |
| Ratio number at a proving time of 135 | 2.78 ± 0.2 | 4.34 |
| Gelatinization temperature (˚C) | 63.9 ± 0.1 | 63.86 |
| Peak viscosity (BU) | 1290 ± 3.1 | 1163.81 |
| Temperature at peak viscosity (˚C) | 89.9 ± 0.2 | 89.50 |
| Maximum height of gaseous production (mm) | 50.6 ± 0.8 | 62.91 |
| Total CO2 volume production (mL) | 939 ± 3.5 | 1236.85 |
| Volume of the gas retained in the dough at the end of the test (mL) | 855 ± 2.3 | 1104.63 |
| Retention coefficient (%) | 91.0 ± 0.1 | 90.37 |
| Parameters | Values | |
|---|---|---|
| Control Sample | Optimized Sample | |
| Physical characteristics | ||
| Loaf volume (cm3/100 g) | 332.97 ± 1.2 a | 343.83 ± 1.3 a |
| Porosity (%) | 95.00 ± 0.15 a | 96.66 ± 0.14 a |
| Elasticity (%) | 67.88 ± 0.12 a | 75.49 ± 0.15 a |
| Color characteristics | ||
| Lightness—L* | 73.9 ± 0.12 a | 71.81 ± 0.16 a |
| Redness/greenness—a* | −3.73 ± 0.08 a | −3.72 ± 0.06 a |
| Yellowness/blueness—b* | 20.83 ± 0.09 a | 21.24 ± 0.11 a |
| Textural characteristics | ||
| Springiness (%) | 81.36 ± 0.22 a | 88.83 ± 0.12 a |
| Cohesiveness | 0.75 ± 0.01 a | 0.82 ± 0.02 a |
| Gumminess (kg) | 1.22 ± 0.06 a | 1.27 ± 0.05 a |
| Firmness (kg) | 1.61 ± 0.02 a | 1.55 ± 0.02 a |
| Resilience | 1.53 ± 0.06 a | 1.71 ± 0.04 a |
| Sensory characteristics | ||
| Appearance | 8.44 ± 0.05 a | 8.66 ± 0.03 a |
| Color | 8.11 ± 0.07 a | 8.55 ± 0.06 a |
| Taste | 7.77 ± 0.12 a | 8.33 ± 0.17 a |
| Smell | 7.66 ± 0.16 a | 8.22 ± 0.11 a |
| Texture | 7.00 ± 0.21 a | 8.33 ± 0.18 a |
| Flavor | 7.44 ± 0.13 a | 8.11 ± 0.14 a |
| Overall acceptability | 8.00 ± 0.14 a | 8.44 ± 0.12 a |
© 2020 by the authors. Licensee MDPI, Basel, Switzerland. This article is an open access article distributed under the terms and conditions of the Creative Commons Attribution (CC BY) license (http://creativecommons.org/licenses/by/4.0/).
Share and Cite
Voinea, A.; Stroe, S.-G.; Codină, G.G. The Effect of Sea Salt, Dry Sourdough and Fermented Sugar as Sodium Chloride Replacers on Rheological Behavior of Wheat Flour Dough. Foods 2020, 9, 1465. https://doi.org/10.3390/foods9101465
Voinea A, Stroe S-G, Codină GG. The Effect of Sea Salt, Dry Sourdough and Fermented Sugar as Sodium Chloride Replacers on Rheological Behavior of Wheat Flour Dough. Foods. 2020; 9(10):1465. https://doi.org/10.3390/foods9101465
Chicago/Turabian StyleVoinea, Andreea, Silviu-Gabriel Stroe, and Georgiana Gabriela Codină. 2020. "The Effect of Sea Salt, Dry Sourdough and Fermented Sugar as Sodium Chloride Replacers on Rheological Behavior of Wheat Flour Dough" Foods 9, no. 10: 1465. https://doi.org/10.3390/foods9101465
APA StyleVoinea, A., Stroe, S.-G., & Codină, G. G. (2020). The Effect of Sea Salt, Dry Sourdough and Fermented Sugar as Sodium Chloride Replacers on Rheological Behavior of Wheat Flour Dough. Foods, 9(10), 1465. https://doi.org/10.3390/foods9101465

