Optimising Extraction of Specific Food Allergens from Challenging Food Matrices for Immunoassay Quantification
Abstract
1. Introduction
2. Methods and Materials
2.1. Extraction Buffer Preparation
2.2. Preparation of Incurred Foods
2.3. Allergen Extraction
2.4. Optimising Extraction of Specific Allergen from Allergenic Source Materials
2.5. Optimising Extraction from Incurred Foods
2.6. Allergen Quantification by Immunoassay
2.6.1. MARIA for Foods (Multiplex Immunoassay)
2.6.2. Enzyme-Linked Immunosorbent Assay (ELISA)
2.7. Statistics
2.8. Calculation of Allergen-Incurred Matrix Recovery
3. Results
3.1. Extraction Optimisation of Allergen Source Materials
3.2. Calculation of Extracted Specific Allergen Abundance
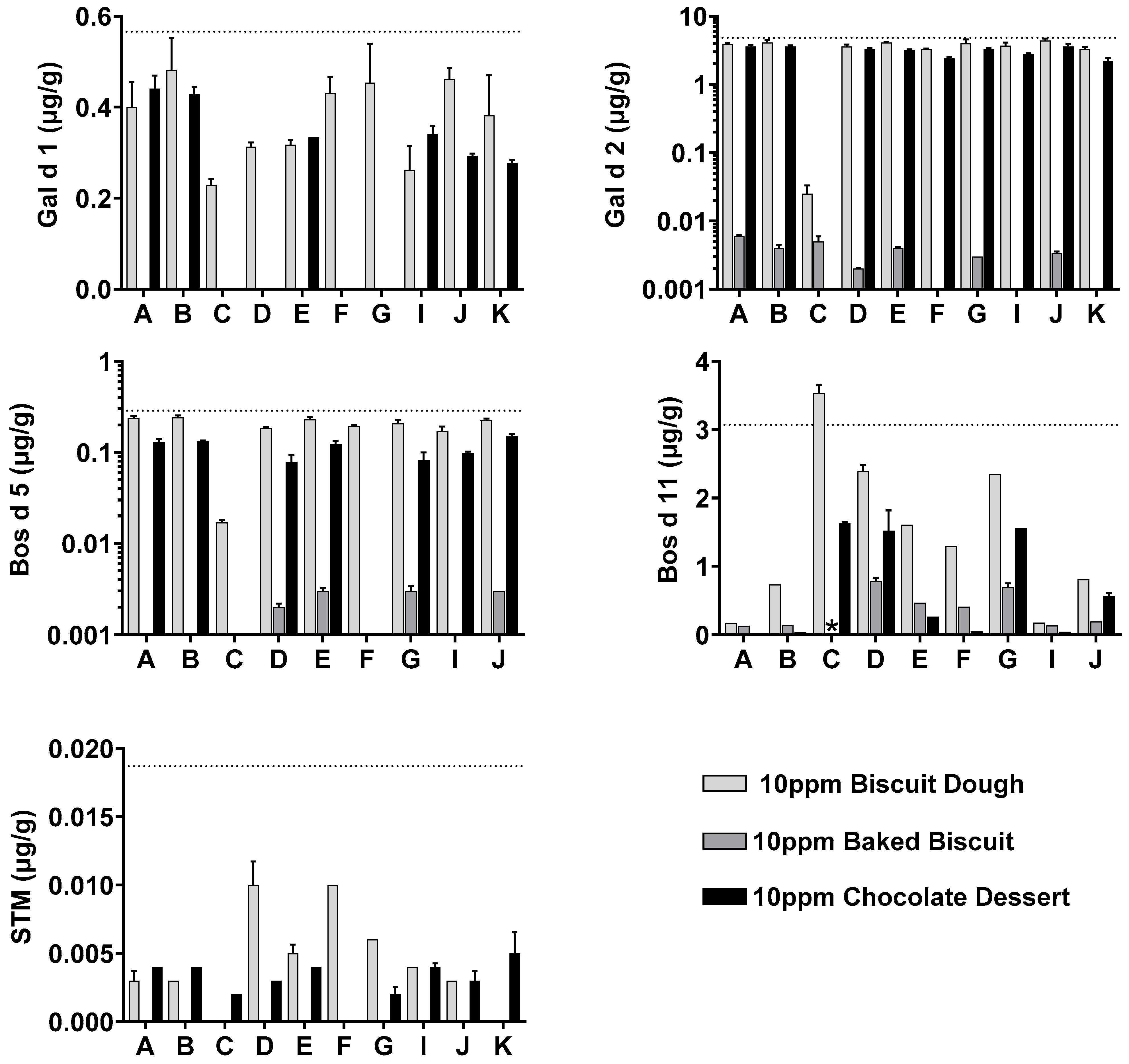
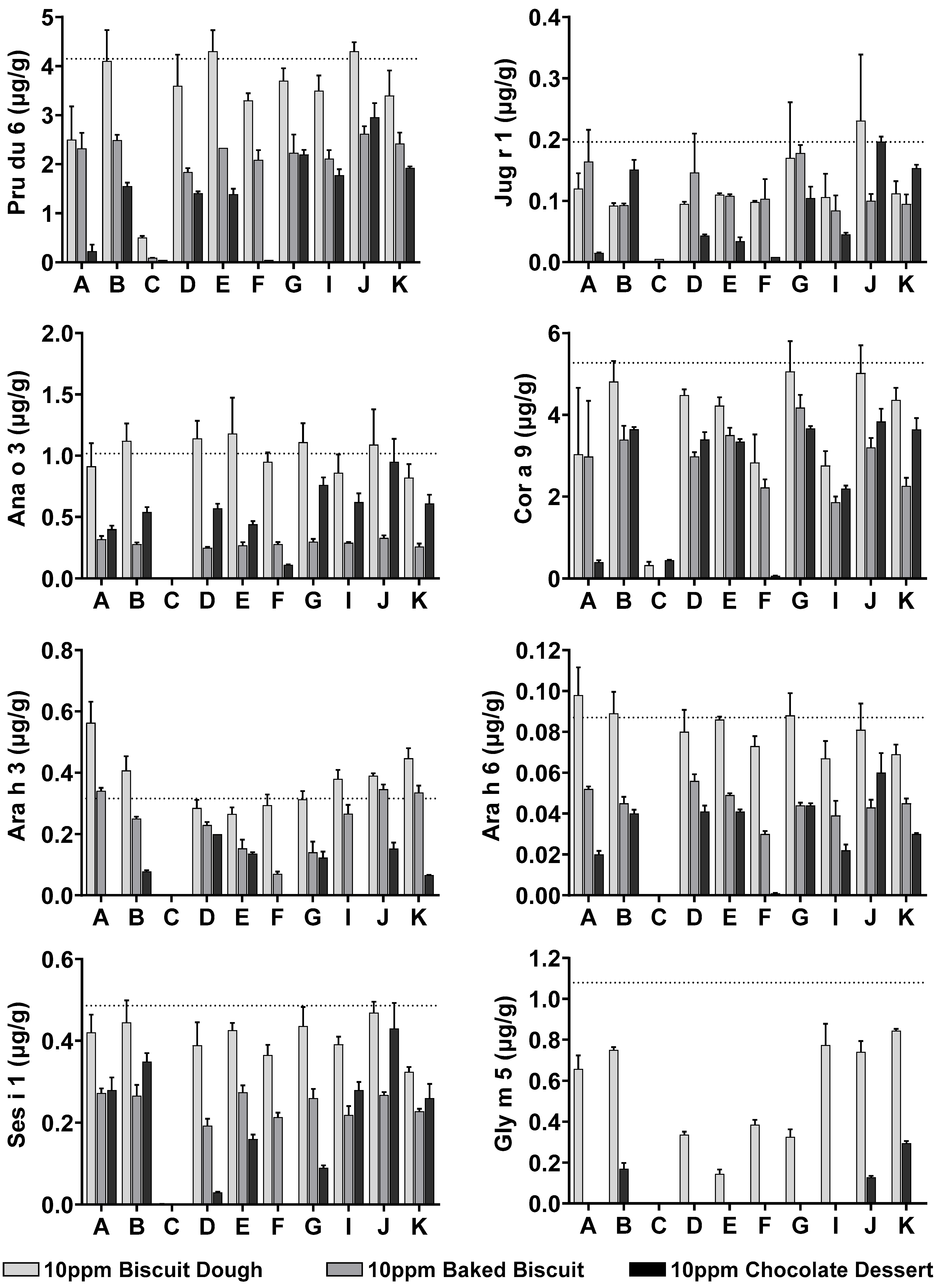
3.3. 10 ppm Recovery Optimisation
3.4. Api g 1 Extraction Optimisation
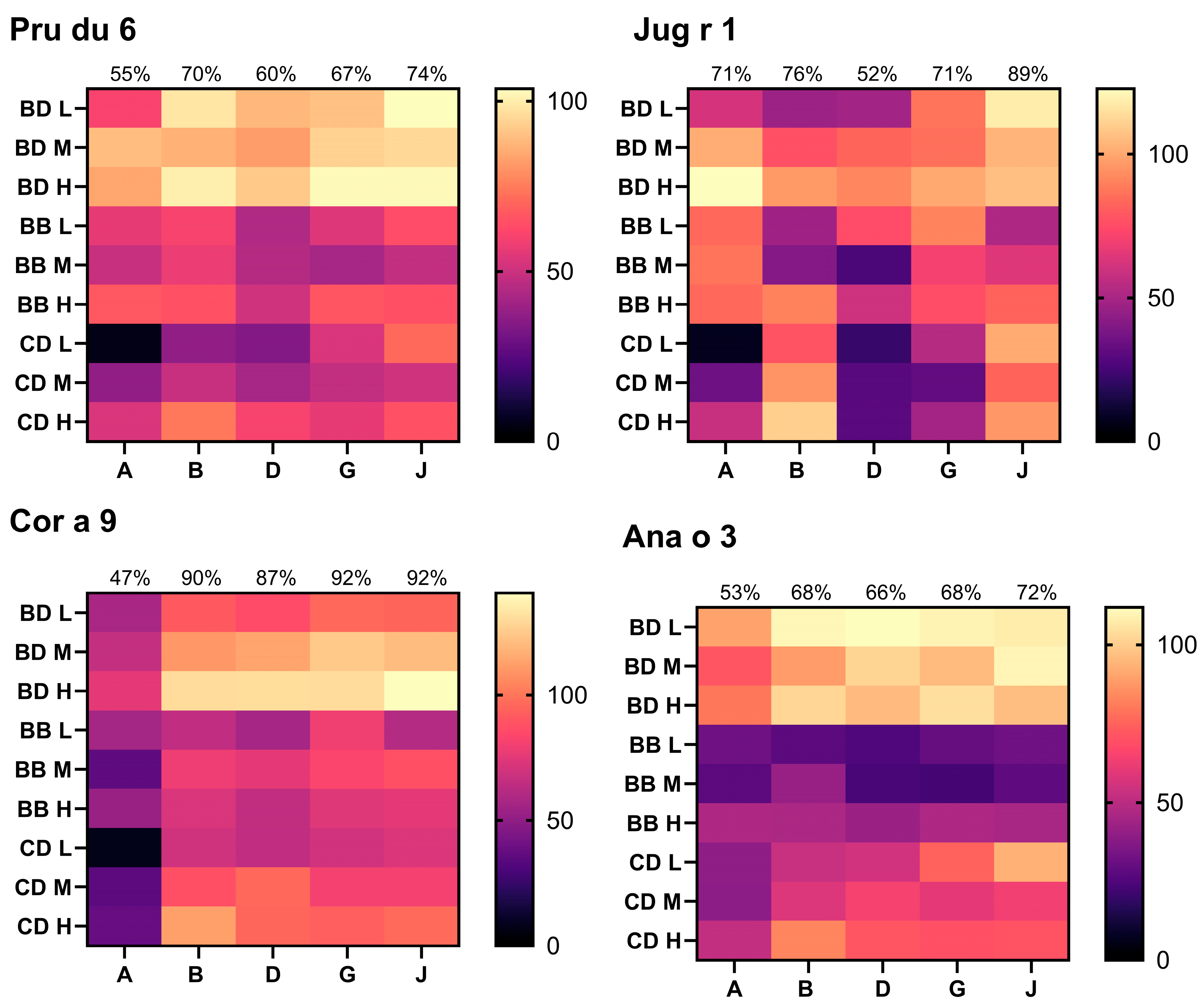
3.5. Multi-Dose Recovery Analysis at 10, 100, and 1000 ppm
4. Discussion
4.1. Specific Allergens Are Biomarkers for Contamination Assessments
4.2. Specific Allergen Assays for Analysis and Standardisation of Foods Associated with the Diagnosis and Treatment of Allergies
4.3. Limitations and Future Work
5. Conclusions
Supplementary Materials
Author Contributions
Funding
Institutional Review Board Statement
Informed Consent Statement
Data Availability Statement
Conflicts of Interest
Appendix A. Allergen Source Materials
| Sample | Supplier | Item | Batch | Processing Notes |
|---|---|---|---|---|
| Egg Powder | Sigma-Aldrich (St. Louis, MO, USA) | Egg white powder EO500-1 kg | SLCG7215 | 57 °C drying |
| Milk Powder | Sigma-Aldrich (St. Louis, MO, USA) | Skimmed milk powder 70166-500 g | BCCH4990 | 72 °C pasteurisation and drying |
| Peanut Flour | Golden Peanut Company (Alpharetta, GA, USA) | Light roast peanut flour 12% Fat | 119FA28318 | Light dry roasted, defatted by pressing [85]. Light roasting = 121 °C for 11 min, then 157–166 °C for 14 min [86]. |
| Soy Flour | Sigma-Aldrich (St. Louis, MO, USA) | Soybean flour Type 1S9633-500 g | SLCF4138 | ‘Not roasted, minimal heat treatment’. |
| Cashew Flour | Beyond the nut (Benin, West Africa) | Organic cashew flour | 221118 | Raw, ground |
| Walnut Flour | Hortus Verdi (Bihor, Romania) | Walnut protein flour | 05/24_011 | Raw, partially defatted by cold pressing, ground |
| Almond Flour | Sukrin (Lillestrøm, Norway) | Defatted almond flour | 112390 | Raw, defatted, ground |
| Hazelnut Flour | Bulgarian Nuts Premium (Mezhden, Bulgaria) | Hazelnut flour from ground blanched hazelnut | L20032023 | Blanched, ground |
| Sesame Powder | Sukrin (Lillestrøm, Norway) | Sesame seed flour | 111940 | Dehusked, defatted, ground |
| Mustard Powder | Colmans (Norwich, UK) | Colman’s Mustard Powder, double superfine | L3012DM9715:27 | Information not provided. |
| Celeriac (Celery root) Powder | Vehgro (Hengelo, Netherlands) | Celeriac ground organic powder | 22144526 | Dried < 90 °C, ground |
| Shrimp | Baracel (Market Drayton, UK) | Shrimp powder (cooked) 37411 | 100626.12 | Steam cooked 100–140 °C 35 min, dried 110–120 °C 90 min |
| Salmon Powder | AABaits (Birkenhead, UK) | Salmon fishmeal | N/A | Information not provided. |
Appendix B. Extraction Temperature Verification; Pru du 6, Jug r 1, Ses i 1, and Api g 1
| Allergen Content (µg/g) | ||||
|---|---|---|---|---|
| Extraction Temperature | Almond, Pru du 6 | Walnut, Jug r 1 | Sesame, Ses i 1 | Celery, Api g 1 |
| RT | 8602 | 378 | 900 | 72 |
| 37 °C | 9343 | 382 | 1079 | 72 |
| 60 °C | 10,326 | 501 | 1111 | 32 |
References
- Huet, A.C.; Paulus, M.; Henrottin, J.; Brossard, C.; Tranquet, O.; Bernard, H.; Pilolli, R.; Nitride, C.; Larré, C.; Adel-Patient, K.; et al. Development of incurred chocolate bars and broth powder with six fully characterised food allergens as test materials for food allergen analysis. Anal. Bioanal. Chem. 2022, 414, 2553–2570. [Google Scholar] [CrossRef]
- Khuda, S.E.; Jackson, L.S.; Fu, T.-J.; Williams, K.M. Effects of processing on the recovery of food allergens from a model dark chocolate matrix. Food Chem. 2015, 168, 580–587. [Google Scholar] [CrossRef]
- Alves, R.C.; Pimentel, F.B.; Nouws, H.P.A.; Silva, T.H.B.; Oliveira, M.B.P.P.; Delerue-Matos, C. Improving the extraction of Ara h 6 (a peanut allergen) from a chocolate-based matrix for immunosensing detection: Influence of time, temperature and additives. Food Chem. 2017, 218, 242–248. [Google Scholar] [CrossRef]
- Jayasena, S.; Wijeratne, S.S.K.; Taylor, S.L.; Baumert, J.L. Improved extraction of peanut residues from a wheat flour matrix for immunochemical detection. Food Chem. 2019, 278, 832–840. [Google Scholar] [CrossRef]
- Lacorn, M.; Dubois, T.; Siebeneicher, S.; Weiss, T. Accurate and Sensitive Quantification of Soy Proteins in Raw and Processed Food by Sandwich ELISA. Food Sci. Technol. 2016, 4, 69–77. [Google Scholar] [CrossRef][Green Version]
- Vinton, R.; Chapman, M.D.; Pomes, A. Peanut allergen (ara h 1) detection in foods containing chocolate. J. Allergy Clin. Immunol. 2003, 111, S194. [Google Scholar] [CrossRef]
- Nguyen, A.V.; Williams, K.M.; Ferguson, M.; Lee, D.; Sharma, G.M.; Do, A.B.; Khuda, S.E. Enhanced quantitation of egg allergen in foods using incurred standards and antibodies against processed egg in a model ELISA. Anal. Chim. Acta 2019, 1081, 157–167. [Google Scholar] [CrossRef] [PubMed]
- Filep, S.; Chapman, M.D. Doses of Specific Allergens in Early Introduction Foods for Prevention of Food Allergy. J. Allergy Clin. Immunol. Pract. 2022, 10, 150–158.E3. [Google Scholar] [CrossRef]
- Ito, K.; Yamamoto, T.; Oyama, Y.; Tsuruma, R.; Saito, E.; Saito, Y.; Ozu, T.; Honjoh, T.; Adachi, R.; Sakai, S.; et al. Food allergen analysis for processed food using a novel extraction method to eliminate harmful reagents for both ELISA and lateral-flow tests. Anal. Bioanal. Chem. 2016, 408, 5973–5984. [Google Scholar] [CrossRef]
- Filep, S.; Black, K.R.; Bermingham, M.; Oliver, M.; Chapman, M. Optimization of Extraction Buffers for Food Allergens. J. Allergy Clin. Immunol. 2024, 153, AB36. [Google Scholar] [CrossRef]
- Holzhauser, T.; Franke, A.; Treudler, R.; Schmiedeknecht, A.; Randow, S.; Becker, W.M.; Lidholm, J.; Vieths, S.; Simon, J.C. The BASALIT multicenter trial: Gly m 4 quantification for consistency control of challenge meal batches and toward Gly m 4 threshold data. Mol. Nutr. Food Res. 2017, 61, 1600527. [Google Scholar] [CrossRef]
- Pomés, A.; Vinton, R.; Chapman, M.D. Peanut allergen (Ara h 1) detection in foods containing chocolate. J. Food Prot. 2004, 67, 793–798. [Google Scholar] [CrossRef] [PubMed]
- Keck-Gassenmeier, B.; Benet, S.; Rosa, C.; Hischenhuber, C. Determination of Peanut Traces in Food by a Commercially-available ELISA Test. Food Agric. Immunol. 1999, 11, 243–250. [Google Scholar] [CrossRef]
- Guo, F.; Kothary, M.H.; Wang, Y.; Yu, X.; Howard, A.J.; Fu, T.J.; Zhang, Y.Z. Purification and crystallization of Cor a 9, a major hazelnut allergen. Acta Crystallogr. Sect. F Struct. Biol. Cryst. Commun. 2009, 65, 42–46. [Google Scholar] [CrossRef]
- Dramburg, S.; Hilger, C.; Santos, A.F.; de Las Vecillas, L.; Aalberse, R.C.; Acevedo, N.; Aglas, L.; Altmann, F.; Arruda, K.L.; Asero, R.; et al. EAACI Molecular Allergology User’s Guide 2.0. Pediatr. Allergy Immunol. 2023, 34 (Suppl. 28), e13854. [Google Scholar] [CrossRef]
- Neogen. BioKits Egg Assay Kit—Product Insert. Edition 902072T. 2010. Available online: www.neogen.com/49b7fe/globalassets/pim/assets/original/10017/t201391-biokits-egg-assay_902072t_kitinsert.pdf (accessed on 10 July 2025).
- Chen, J.; Feng, Y.; Kong, B.; Xia, X.; Liu, Q. An eco-friendly extraction method for adsorbed proteins from emulsions stabilized by whey protein isolate by using Tween 20. Colloids Surf. A Physicochem. Eng. Asp. 2020, 604, 125332. [Google Scholar] [CrossRef]
- Hjertén, S.; Johansson, K.-E. Selective solubilization with tween 20 of membrane proteins from Acholeplasma laidlawii. Biochim. Biophys. Acta (BBA) Biomembr. 1972, 288, 312–325. [Google Scholar] [CrossRef]
- Pomés, A.; Helm, R.M.; Bannon, G.A.; Burks, A.W.; Tsay, A.; Chapman, M.D. Monitoring peanut allergen in food products by measuring Ara h 1. J. Allergy Clin. Immunol. 2004, 111, 640–645. [Google Scholar] [CrossRef]
- Lim, P.W. Development of an Enzyme-Linked Immunosorbent Assay (ELISA) for the Detection of Pistachio Residues in Processed Foods. Master’s Thesis, University of Nebraska, Lincoln, NE, USA, 2010. [Google Scholar]
- Nguyen, A.V.; Lee, D.; Williams, K.M.; Jackson, L.S.; Bedford, B.; Kwon, J.; Scholl, P.F.; Khuda, S.E. Effectiveness of antibody specific for heat-processed milk proteins and incurred calibrants for ELISA-based quantification of milk in dark chocolate matrices. Food Control 2021, 123, 107760. [Google Scholar] [CrossRef]
- Stephan, O.; Möller, N.; Lehmann, S.; Holzhauser, T.; Vieths, S. Development and validation of two dipstick type immunoassays for determination of trace amounts of peanut and hazelnut in processed foods. Eur. Food Res. Technol. 2002, 215, 431–436. [Google Scholar] [CrossRef]
- Neogen. BioKits BLG Assay Kit—Kit Insert. Edition 902061Y. 2010. Available online: www.neogen.com/49e8dd/globalassets/pim/assets/original/10017/t201185-biokits-assay-kit-biokits-blg-assay_902061y_kitinsert.pdf (accessed on 12 July 2025).
- Immer, U.; Lacorn, M. Food. In Handbook of Food Allergen Detection and Control; Flanagan, S., Ed.; Woodhead Publishing: Cambridge, UK, 2015; pp. 199–217. [Google Scholar]
- Holzhauser, T.; Johnson, P.; Hindley, J.P.; O’Connor, G.; Chan, C.-H.; Costa, J.; Fæste, C.K.; Hirst, B.J.; Lambertini, F.; Miani, M.; et al. Are current analytical methods suitable to verify VITAL® 2.0/3.0 allergen reference doses for EU allergens in foods? Food Chem. Toxicol. 2020, 145, 111709. [Google Scholar] [CrossRef]
- Remington, B.C.; Baumert, J.L.; Blom, W.M.; Houben, G.F.; Taylor, S.L.; Kruizinga, A.G. Unintended allergens in precautionary labelled and unlabelled products pose significant risks to UK allergic consumers. Allergy 2015, 70, 813–819. [Google Scholar] [CrossRef] [PubMed]
- Turner, P.J.; Bognanni, A.; Arasi, S.; Ansotegui, I.J.; Schnadt, S.; Vieille, S.L.; Hourihane, J.O.B.; Zuberbier, T.; Eigenmann, P.; Ebisawa, M.; et al. Time to ACT-UP: Update on precautionary allergen labelling (PAL). World Allergy Organ. J. 2024, 17, 100972. [Google Scholar] [CrossRef]
- Blom, W.M.; Michelsen-Huisman, A.D.; van Os-Medendorp, H.; van Duijn, G.; de Zeeuw-Brouwer, M.-l.; Versluis, A.; Castenmiller, J.J.M.; Noteborn, H.P.J.M.; Kruizinga, A.G.; Knulst, A.C.; et al. Accidental food allergy reactions: Products and undeclared ingredients. J. Allergy Clin. Immunol. 2018, 142, 865–875. [Google Scholar] [CrossRef]
- Walker, M.J.; Burns, D.T.; Elliott, C.T.; Gowland, M.H.; Mills, E.N.C. Is food allergen analysis flawed? Health and supply chain risks and a proposed framework to address urgent analytical needs. Analyst 2016, 141, 24–35. [Google Scholar] [CrossRef]
- Food and Argiculture Organization. Risk Assessment of Food Allergens. Part 2: Review and Establish Threshold Levels in Foods for the Priority Allergens. Meeting Report, 1st ed.; World Health Organization: Geneva, Switzerland, 2023. [Google Scholar]
- Shen, Y.; Liu, W.; Li, J.; Yang, X.; Zheng, S.; Jin, X.; Chen, H.; Wu, Y. Developing a dual-antibody Sandwich ELISA and LFIA for detecting the cashew allergen Ana o 3 in foods. Food Chem. 2025, 472, 142942. [Google Scholar] [CrossRef]
- Trashin, S.A.; Cucu, T.; Devreese, B.; Adriaens, A.; De Meulenaer, B. Development of a highly sensitive and robust Cor a 9 specific enzyme-linked immunosorbent assay for the detection of hazelnut traces. Anal. Chim. Acta 2011, 708, 116–122. [Google Scholar] [CrossRef]
- Filep, S.C.; Reid Black, K.; Smith, B.R.E.; Block, D.S.; Kuklinska-Pijanka, A.; Bermingham, M.; Oliver, M.A.; Thorpe, C.M.; Schuhmacher, Z.P.; Agah, S.; et al. Simultaneous quantification of specific food allergen proteins using a fluorescent multiplex array. Food Chem. 2022, 389, 132986. [Google Scholar] [CrossRef] [PubMed]
- Jayasena, S.; Koppelman, S.J.; Taylor, S.L.; Baumert, J.L. Development of a sensitive and Ara h 2 specific competitive ELISA for the quantification of Peanut. Food Control 2025, 177, 111435. [Google Scholar] [CrossRef]
- Bannon, G.A. What makes a food protein an allergen? Curr. Allergy Asthma Rep. 2004, 4, 43–46. [Google Scholar] [CrossRef]
- Costa, J.; Villa, C.; Verhoeckx, K.; Cirkovic-Velickovic, T.; Schrama, D.; Roncada, P.; Rodrigues, P.M.; Piras, C.; Martín-Pedraza, L.; Monaci, L.; et al. Are Physicochemical Properties Shaping the Allergenic Potency of Animal Allergens? Clin. Rev. Allergy Immunol. 2022, 62, 1–36. [Google Scholar] [CrossRef]
- Foo, A.C.Y.; Mueller, G.A. Abundance and Stability as Common Properties of Allergens. Front. Allergy 2021, 2, 769728. [Google Scholar] [CrossRef]
- Hindley, J.P.; Oliver, M.A.; Thorpe, C.; Cullinane, A.; Wuenschmann, S.; Chapman, M.D. Bos d 11 in baked milk poses a risk for adverse reactions in milk-allergic patients. Clin. Exp. Allergy 2021, 51, 132–140. [Google Scholar] [CrossRef]
- Hicks, A.; Filep, S.; Friebert, A.; Pickett-Nairne, K.; Knight, V.; Fleischer, D.; Venter, C. Decreased allergenic protein content of hard-boiled eggs vs scrambled: When food science meets clinical practice. Ann. Allergy Asthma Immunol. 2024, 133, S70–S71. [Google Scholar] [CrossRef]
- Liu, E.G.; Tan, J.; Munoz, J.S.; Shabanova, V.; Eisenbarth, S.C.; Leeds, S. Food Matrix Composition Affects the Allergenicity of Baked Egg Products. J. Allergy Clin. Immunol. Pract. 2024, 12, 2111–2117. [Google Scholar] [CrossRef]
- Kaman, K.; Leeds, S. The impact of food matrices on egg allergenicity. J. Food Allergy 2021, 3, 56–58. [Google Scholar] [CrossRef] [PubMed]
- Garber, E.A.E.; Cho, C.Y.; Rallabhandi, P.; Nowatzke, W.L.; Oliver, K.G.; Venkateswaran, K.V.; Venkateswaran, N. Multi-laboratory validation of the xMAP-Food Allergen Detection Assay: A multiplex, antibody-based assay for the simultaneous detection of food allergens. PLoS ONE 2020, 15, e0234899. [Google Scholar] [CrossRef]
- Nowatzke, W.L.; Oliver, K.G.; Cho, C.Y.; Rallabhandi, P.; Garber, E.A.E. Single-Laboratory Validation of the Multiplex xMAP Food Allergen Detection Assay with Incurred Food Samples. J. Agric. Food Chem. 2019, 67, 484–498. [Google Scholar] [CrossRef] [PubMed]
- Cochrane, S.A.; Salt, L.J.; Wantling, E.; Rogers, A.; Coutts, J.; Ballmer-Weber, B.K.; Fritsche, P.; Fernández-Rivas, M.; Reig, I.; Knulst, A.; et al. Development of a standardized low-dose double-blind placebo-controlled challenge vehicle for the EuroPrevall project. Allergy 2012, 67, 107–113. [Google Scholar] [CrossRef] [PubMed]
- Earle, C.D.; Tsay, A.; Saric, B.; Godbout, R.; Oliver, K.G.; Chapman, M.D. High Throughput Fluorescent Multiplex Array for Indoor Allergen Exposure Assessment. J. Allergy Clin. Immunol. 2006, 117, S28. [Google Scholar] [CrossRef]
- Roux, K.H.; Teuber, S.S.; Robotham, J.M.; Sathe, S.K. Detection and stability of the major almond allergen in foods. J. Agric. Food Chem. 2001, 49, 2131–2136. [Google Scholar] [CrossRef]
- Castromil-Benito, E.S.; Betancor, D.; Parrón-Ballesteros, J.; Bueno-Díaz, C.; Gutiérrez-Díaz, G.; Turnay, J.; Heras, M.d.l.; Cuesta-Herranz, J.; Villalba, M.; Pastor-Vargas, C. Walnut Jug r 1 is Responsible for Primary Sensitization among Patients Suffering Walnut-Hazelnut 2S Albumin Cross-Reactivity. J. Agric. Food Chem. 2024, 72, 18162–18170. [Google Scholar] [CrossRef]
- Beyer, K.; Grishina, G.; Bardina, L.; Grishin, A.; Sampson, H.A. Identification of an 11S globulin as a major hazelnut food allergen in hazelnut-induced systemic reactions. J. Allergy Clin. Immunol. 2002, 110, 517–523. [Google Scholar] [CrossRef]
- Mattison, C.P.; Bren-Mattison, Y.; Vant-Hull, B.; Vargas, A.M.; Wasserman, R.L.; Grimm, C.C. Heat-induced alterations in cashew allergen solubility and IgE binding. Toxicol. Rep. 2016, 3, 244–251. [Google Scholar] [CrossRef]
- Tai, S.S.K.; Lee, T.T.T.; Tsai, C.C.Y.; Yiu, T.-J.; Tzen, J.T.C. Expression pattern and deposition of three storage proteins, 11S globulin, 2S albumin and 7S globulin in maturing sesame seeds§1The nucleotide sequences reported in this paper have been submitted to the GenBank database under accession numbers AF240004 (11S globulin), AF240005 (2S albumin), and AF240006 (7S globulin). Plant Physiol. Biochem. 2001, 39, 981–992. [Google Scholar] [CrossRef]
- Marsh, J.T.; Palmer, L.K.; Koppelman, S.J.; Johnson, P.E. Determination of Allergen Levels, Isoforms, and Their Hydroxyproline Modifications Among Peanut Genotypes by Mass Spectrometry. Front. Allergy 2022, 3, 872714. [Google Scholar] [CrossRef] [PubMed]
- Bernhisel-Broadbent, J.; Dintzis, H.M.; Dintzis, R.Z.; Sampson, H.A. Allergenicity and antigenicity of chicken egg ovomucoid (Gal d III) compared with ovalbumin (Gal d I) in children with egg allergy and in mice. J. Allergy Clin. Immunol. 1994, 93, 1047–1059. [Google Scholar] [CrossRef] [PubMed]
- Villa, C.; Costa, J.; Oliveira, M.; Mafra, I. Bovine Milk Allergens: A Comprehensive Review. Compr. Rev. Food Sci. Food Saf. 2018, 17, 137–164. [Google Scholar] [CrossRef] [PubMed]
- Holzhauser, T.; Wackermann, O.; Ballmer-Weber, B.K.; Bindslev-Jensen, C.; Scibilia, J.; Perono-Garoffo, L.; Utsumi, S.; Poulsen, L.K.; Vieths, S. Soybean (Glycine max) allergy in Europe: Gly m 5 (beta-conglycinin) and Gly m 6 (glycinin) are potential diagnostic markers for severe allergic reactions to soy. J. Allergy Clin. Immunol. 2009, 123, 452–458. [Google Scholar] [CrossRef]
- Jeoung, B.-J.; Reese, G.; Hauck, P.; Oliver, J.B.; Daul, C.B.; Lehrer, S.B. Quantification of the major brown shrimp allergen Pen a 1 (tropomyosin) by a monoclonal antibody-based sandwich ELISA. J. Allergy Clin. Immunol. 1997, 100, 229–234. [Google Scholar] [CrossRef]
- Daul, C.B.; Slattery, M.; Reese, G.; Lehrer, S.B. Identification of the Major Brown Shrimp (Penaeus aztecus) Allergen as the Muscle Protein Tropomyosin. Int. Arch. Allergy Immunol. 1994, 105, 49–55. [Google Scholar] [CrossRef] [PubMed]
- FAO/INFOODS.FAO/INFOODS. Guidelines for Checking Food Composition Data Prior to the Publication of a User Table/Database, version 1.0; FAO: Rome, Italy, 2012. [Google Scholar]
- Association of Official Agricultural Chemists International. AM-1 Guidance on Food Allergen Immunoassay Validation. In Official Methods of Analysis of AOAC International; AOAC Publications: New York, NY, USA, 2023. [Google Scholar] [CrossRef]
- Pedersen, R.O.; Peters, T.; Panda, R.; Wehling, P.; Garber, E.A.E. Detection and Antigenic Profiling of Undeclared Peanut in Imported Garlic Using an xMAP Multiplex Immunoassay for Food Allergens. J. Food Prot. 2017, 80, 1204–1213. [Google Scholar] [CrossRef]
- Geiselhart, S.; Podzhilkova, A.; Hoffmann-Sommergruber, K. Cow’s Milk Processing-Friend or Foe in Food Allergy? Foods 2021, 10, 572. [Google Scholar] [CrossRef] [PubMed]
- Rib-Schmidt, C.; Riedl, P.; Meisinger, V.; Schwaben, L.; Schulenborg, T.; Reuter, A.; Schiller, D.; Seutter von Loetzen, C.; Rösch, P. pH and Heat Resistance of the Major Celery Allergen Api g 1. Mol. Nutr. Food Res. 2018, 62, e1700886. [Google Scholar] [CrossRef]
- Albillos, S.M.; Al-Taher, F.; Maks, N. Increasing extractability of protein for allergen detection after food processing. Food Chem. 2011, 127, 1831–1834. [Google Scholar] [CrossRef]
- Watanabe, Y.; Aburatani, K.; Mizumura, T.; Sakai, M.; Muraoka, S.; Mamegosi, S.; Honjoh, T. Novel ELISA for the detection of raw and processed egg using extraction buffer containing a surfactant and a reducing agent. J. Immunol. Methods 2005, 300, 115–123. [Google Scholar] [CrossRef]
- Lacorn, M.; Immer, U. Enzyme-Linked Immunosorbent Assays (ELISAs) for Detecting Allergens in Food. In Handbook of Food Allergen Detection and Control, 2nd ed.; Flanagan, S., Ed.; Woodhead Publishing: Cambridge, UK, 2025. [Google Scholar]
- Dimitriadis, G.J. Effect of detergents on antibody-antigen interaction. Anal. Biochem. 1979, 98, 445–451. [Google Scholar] [CrossRef]
- Yu, P.S.; Khlgatian, S.V.; Yu, E.O.; Pishulina, L.A.; Berzhets, V.M. Structure and biological functions of milk caseins. Russ. Open Med. J. 2022, 11, 209. [Google Scholar] [CrossRef]
- Wal, J.M. Structure and function of milk allergens. Allergy 2001, 56 (Suppl. 67), 35–38. [Google Scholar] [CrossRef]
- Verhoeckx, K.C.M.; Vissers, Y.M.; Baumert, J.L.; Faludi, R.; Feys, M.; Flanagan, S.; Herouet-Guicheney, C.; Holzhauser, T.; Shimojo, R.; van der Bolt, N.; et al. Food processing and allergenicity. Food Chem. Toxicol. 2015, 80, 223–240. [Google Scholar] [CrossRef]
- Allergen Bureau. The Food Industry Guide to the Voluntary Incidental Trace Allergen Labelling Programme (VITAL®) 4.0. 2024. Available online: https://vital.allergenbureau.net/wp-content/uploads/2024/08/Food_Industry_Guide_to_VITAL_4.0_2024_F3.pdf (accessed on 8 October 2025).
- Allergen Bureau. VITAL 4.0 Summary and FAQs. 2024. Available online: https://vital.allergenbureau.net/wp-content/uploads/2024/08/VITAL-4.0-Summary-and-FAQ_F1e.pdf (accessed on 31 March 2025).
- Wiederstein, M.; Baumgartner, S.; Lauter, K. Soybean (Glycine max) allergens─A Review on an Outstanding Plant Food with Allergenic Potential. ACS Food Sci. Technol. 2023, 3, 363–378. [Google Scholar] [CrossRef]
- Bauermeister, K.; Ballmer-Weber, B.K.; Bublin, M.; Fritsche, P.; Hanschmann, K.M.; Hoffmann-Sommergruber, K.; Lidholm, J.; Oberhuber, C.; Randow, S.; Holzhauser, T.; et al. Assessment of component-resolved in vitro diagnosis of celeriac allergy. J. Allergy Clin. Immunol. 2009, 124, 1273–1281.E2. [Google Scholar] [CrossRef]
- Jankiewicz, A.; Aulepp, H.; Baltes, W.; Bögl, K.W.; Dehne, L.I.; Zuberbier, T.; Vieths, S. Allergic sensitization to native and heated celery root in pollen-sensitive patients investigated by skin test and IgE binding. Int. Arch. Allergy Immunol. 1996, 111, 268–278. [Google Scholar] [CrossRef] [PubMed]
- Casale, T.; Stone, C.; Chapman, M.; Tilles, S.; Irani, A.-M.; Sanchez-Lopez, J.; Batard, T.; Mascarell, L. Comparison of the Variability of Peanut-Containing Products Used in Oral Immunotherapy for Peanut Allergy. J. Allergy Clin. Immunol. 2025, 155, AB130. [Google Scholar] [CrossRef]
- Casale, T.B.; Stone, C.A., Jr.; Chapman, M.D.; Tilles, S.A.; Irani, A.-M.; Sánchez-López, J.; Batard, T.; Mascarell, L. Comparison of an FDA-approved peanut oral immunotherapy product with peanut food products. J. Allergy Clin. Immunol. 2025, in press. Available online: https://www.jacionline.org/article/S0091-6749(25)00621-9/fulltext (accessed on 8 October 2025). [CrossRef]
- Maudsley, S.; Lett, H.; Rosborough, S.; Payne, H. Analytical development, validation and standardisation strategy for test methods of challenge meals which are utilised as oral food challenges (OFCS) for the diagnosis and monitoring of food allergies (100478). Allergy 2023, 78, 283–682. [Google Scholar] [CrossRef]
- Taylor, S.L.; Nordlee, J.A.; Niemann, L.M.; Lambrecht, D.M. Allergen immunoassays—Considerations for use of naturally incurred standards. Anal. Bioanal. Chem. 2009, 395, 83–92. [Google Scholar] [CrossRef]
- Holcombe, G.; Walker, M.J.; Singh, M.; Gray, K.; Cowen, S.; Ellison, S.L.R.; Rogers, A.; Balasundaram, A.; Burns, M.; Clare Mills, E.N. Clinically and industrially relevant incurred reference materials to improve analysis of food allergens, milk, egg, almond, hazelnut and walnut. Food Chem. 2024, 434, 137391. [Google Scholar] [CrossRef]
- Nugraha, R.; Ruethers, T.; Johnston, E.B.; Rolland, J.M.; O'Hehir, R.E.; Kamath, S.D.; Lopata, A.L. Effects of Extraction Buffer on the Solubility and Immunoreactivity of the Pacific Oyster Allergens. Foods 2021, 10, 409. [Google Scholar] [CrossRef]
- Yue, S.R.; Shrivastava, R.; Campbell, K.; Walker, M.J. Food allergen recalls in the United Kingdom: A critical analysis of reported recalls from 2016 to 2021. Food Control 2023, 144, 109375. [Google Scholar] [CrossRef]
- Koppelman, S.J.; Nordlee, J.A.; Lee, P.W.; Happe, R.P.; Hessing, M.; Norland, R.; Manning, T.; Deschene, R.; De Jong, G.A.H.; Taylor, S.L. Parvalbumin in fish skin-derived gelatin: Is there a risk for fish allergic consumers? Food Addit. Contam. 2012, 29 (Pt A), 1347–1355. [Google Scholar] [CrossRef]
- Satsuki-Murakami, T.; Kudo, A.; Masayama, A.; Ki, M.; Ki, T. An optimized extraction method for gluten analysis in cacao-containing products using an extraction buffer with polyvinylpyrrolidone. Food Control 2018, 84, 70–74. [Google Scholar] [CrossRef]
- Westphal, C.D.; Pereira, M.R.; Raybourne, R.B.; Williams, K.M. Evaluation of extraction buffers using the current approach of detecting multiple allergenic and nonallergenic proteins in food. AOAC Int. 2004, 87, 1458–1465. [Google Scholar] [CrossRef]
- Holcombe, G.; Walker, M.; Singh, M.; Ellison, S.; Cowen, S.; Topping, J.; Rogers, A.; Johnson, P.; Adaba, R.; Nitride, C.; et al. Clinically and Industrially Relevant Peanut Reference Materials to Improve Analysis of Food Allergens. SSRN 2023. preprint. [Google Scholar] [CrossRef]
- Leonard, S.A.; Ogawa, Y.; Jedrzejewski, P.T.; Maleki, S.J.; Chapman, M.D.; Tilles, S.A.; Du Toit, G.; Mustafa, S.S.; Vickery, B.P. Manufacturing processes of peanut (Arachis hypogaea) allergen powder-dnfp. Front. Allergy 2022, 3, 1004056. [Google Scholar] [CrossRef] [PubMed]
- Filep, S.; Block, D.S.; Smith, B.R.E.; King, E.M.; Commins, S.; Kulis, M.; Vickery, B.P.; Chapman, M.D. Specific allergen profiles of peanut foods and diagnostic or therapeutic allergenic products. J. Allergy Clin. Immunol. 2018, 141, 626–631.E7. [Google Scholar] [CrossRef] [PubMed]





| Buffer Identifier | Formulation |
|---|---|
| A | PBS, 2% Tween-20, 1 M NaCl, pH 7.4 |
| B | PBS, 2% Tween-20, 1 M NaCl, 10% fish gelatine pH 7.4 |
| C | 0.1 M Tris, 1% SDS, 0.1 M sodium sulphite, pH 8.5 |
| D | 0.05 M sodium carbonate/sodium bicarbonate, 10% fish gelatine, pH 9.6 |
| E | 0.05 M Tris, 0.2 M NaCl, 10% fish gelatine, pH 8.3 |
| F | 0.1 M ammonium carbonate, pH 9.0 |
| G | 0.1 M ammonium carbonate, 10% fish gelatine pH 9.0 |
| I | PBS, 2% Tween-20, 1 M NaCl, 0.25% BSA, 1% PVP, pH 7.4 |
| J | PBS, 2% Tween-20, 1 M NaCl, 10% fish gelatine, 1% PVP pH 7.4 |
| K | PBS, 2% Tween-20, 1 M NaCl, 2.5% NFDM, 1% PVP, pH 7.4 |
| Extraction Method | ||||||||||
|---|---|---|---|---|---|---|---|---|---|---|
| A | B | C | D | E | F | G | I | J | K | |
| Pru du 6 (ug/g)SMM | 10,137 (±6%) | 9741 (±8%) | 3355 (±13%) | 8625 (±13%) | 8613 (±6%) | 7722 (±10%) | 6574 (±7%) | 8573 (±9%) | 6875 (±4%) | 8276 (±15%) |
| Pru du 6 (ug/g)T | 219,508 | 210,946 | 72,653 | 186,765 | 186,525 | 167,230 | 142,369 | 185,653 | 148,888 | 179,207 |
| % Recovery† | 100 | 96 | 33 | 85 | 85 | 76 | 65 | 85 | 68 | 82 |
| Significance∆ | - | NS | **** | NS | NS | ** | **** | NS | *** | * |
| Jug r 1 (ug/g)SMM | 478 (±11%) | 416 (±11%) | 2 (±23%) | 258 (±6%) | 307 (±3%) | 244 (±4%) | 252 (±14%) | 422 (±18%) | 370 (±4%) | 411 (±14%) |
| Jug r 1 (ug/g)T | 8841 | 7704 | 38 | 4776 | 5672 | 4514 | 4671 | 7800 | 6851 | 7603 |
| % Recovery† | 100 | 87 | 0.1 | 54 | 64 | 51 | 53 | 88 | 77 | 86 |
| Significance∆ | - | NS | **** | **** | *** | **** | **** | NS | * | NS |
| Cor a 9 (ug/g)SMM | 11,668 (±29%) | 10,830 (±28%) | 910 (±17%) | 11,683 (±14%) | 11,966 (±5%) | 12,883 (±6%) | 10,521 (±7%) | 10,800 (±14%) | 11,520 (±22%) | 10,913 (±9%) |
| Cor a 9 (ug/g)T | 78,813 | 73,149 | 6148 | 78,910 | 80,826 | 87,019 | 71,060 | 72,950 | 77,811 | 73,714 |
| % Recovery† | 91 | 84 | 7 | 91 | 93 | 100 | 82 | 84 | 89 | 85 |
| Significance∆ | NS | NS | **** | NS | NS | - | NS | NS | NS | NS |
| Ana o 3 (ug/g)SMM | 2485 (±12%) | 2350 (±22%) | 106 (±23%) | 2320 (±29%) | 1946 (±16%) | 1905 (±6%) | 1768 (±10%) | 2155 (±23%) | 1718 (±9%) | 2430 (±31%) |
| Ana o 3 (ug/g)T | 21,564 | 20,398 | 917 | 20,136 | 16,892 | 16,535 | 15,344 | 18,703 | 14,912 | 21,090 |
| % Recovery† | 100 | 95 | 4 | 93 | 78 | 77 | 71 | 87 | 69 | 98 |
| Significance∆ | - | NS | **** | NS | NS | NS | NS | NS | NS | NS |
| Ses i 1 (ug/g)SMM | 1124 (±9%) | 1148 (±16%) | 1 (±4%) | 815 (±26%) | 1188 (±21%) | 451 (±3%) | 536 (±9%) | 977 (±15%) | 651 (±3%) | 980 (±14%) |
| Ses i 1 (ug/g)T | 20,885 | 21,327 | 28 | 15,145 | 22,081 | 8389 | 9955 | 18,162 | 12,091 | 18,209 |
| % Recovery† | 95 | 97 | 0.1 | 69 | 100 | 38 | 45 | 82 | 55 | 82 |
| Significance∆ | NS | NS | **** | * | - | **** | **** | NS | *** | NS |
| Ara h 3 (ug/g)SMM | 772 (±7%) | 650 (±8%) | 3 (±20%) | 509 (±10%) | 223 (±5%) | 678 (±10%) | 501 (±9%) | 727 (±6%) | 437 (±7%) | 742 (±10%) |
| Ara h 3 (ug/g)T | 17,166 | 14,454 | 68 | 11,320 | 4964 | 15,071 | 11,147 | 16,163 | 9718 | 16,483 |
| % Recovery† | 100 | 84 | 0.4 | 66 | 29 | 88 | 65 | 94 | 57 | 96 |
| Significance∆ | - | * | **** | **** | **** | NS | **** | ns | **** | NS |
| Ara h 6 (ug/g)SMM | 213 (±6%) | 213(±10%) | 1(±48%) | 193 (±13%) | 174 (±7%) | 170 (±14%) | 169 (±12%) | 198 (±7%) | 157 (±4%) | 198 (±12%) |
| Ara h 6 (ug/g)T | 4745 | 4728 | 33 | 4286 | 3874 | 3786 | 3747 | 4394 | 3483 | 4398 |
| % Recovery† | 100 | 100 | 0.7 | 90 | 82 | 80 | 79 | 93 | 73 | 93 |
| Significance∆ | - | NS | **** | NS | NS | * | * | NS | ** | NS |
| Gal d 1 (ug/g)SMM | 1275 (±6%) | 1305 (±7%) | 114 (±10%) | 1383 (±3%) | 1177 (±19%) | 1049 (±10%) | 1055 (±8%) | 1047 (±6%) | 755 (±28%) | 821 (±9%) |
| Gal d 1 (ug/g)T | 41,816 | 42,784 | 3734 | 45,359 | 38,592 | 34,381 | 34,598 | 34,324 | 24,760 | 26,924 |
| % Recovery† | 92 | 94 | 8 | 100 | 85 | 76 | 76 | 76 | 55 | 59 |
| Significance∆ | NS | NS | **** | - | NS | * | * | * | **** | **** |
| Gal d 2 (ug/g)SMM | 11,794 (±4%) | 11,346 (±15%) | 12 (±10%) | 10,879 (±20%) | 10,268 (±11%) | 7948 (±8%) | 7370 (±15%) | 8939 (±13%) | 8023 (±3%) | 8169 (±9%) |
| Gal d 2 (ug/g)T | 386,721 | 372,022 | 392 | 356,726 | 336,676 | 260,619 | 241,651 | 293,104 | 263,077 | 267,855 |
| % Recovery† | 100 | 96 | 0.1 | 92 | 87 | 67 | 62 | 76 | 68 | 69 |
| Significance∆ | - | NS | **** | NS | NS | ** | *** | * | ** | ** |
| Bos d 5 (ug/g)SMM | 701 (±20%) | 699 (±3%) | 18 (±33%) | 338 (±5%) | 467 (±15%) | 367 (±13%) | 382 (±20%) | 602 (±20%) | 645 (±3%) | ND |
| Bos d 5 (ug/g)T | 9357 | 9327 | 246 | 4517 | 6232 | 4892 | 5103 | 8035 | 8601 | ND |
| % Recovery† | 100 | 100 | 3 | 48 | 67 | 52 | 55 | 86 | 92 | - |
| Significance∆ | - | NS | **** | **** | ** | *** | *** | NS | NS | |
| Bos d 11 (ug/g)SMM | 2424 (±16%) | 222 (±21%) | 4827 (±7%) | 7504 (±16%) | 2699 (±8%) | 819 (±7%) | 921 (±16%) | ND | 452 (±11%) | ND |
| Bos d 11 (ug/g)T | 28,578 | 2957 | 64,410 | 103,415 | 36,019 | 10,934 | 12,288 | ND | 129 | ND |
| % Recovery† | 32 | 3 | 64 | 100 | 36 | 11 | 12 | - | 6 | - |
| Significance∆ | **** | **** | **** | - | **** | **** | **** | **** | ||
| STM (ug/g)SMM | 29 (±11%) | 28 (±3%) | 45 (±17%) | 42 (±11%) | 46 (±4%) | 42 (±6%) | 33 (±8%) | 18 (±28%) | 19 (±6%) | 19 (±16%) |
| STM (ug/g)T | 776 | 749 | 1191 | 1117 | 1212 | 1127 | 870 | 480 | 498 | 494 |
| % Recovery† | 64 | 62 | 98 | 92 | 100 | 93 | 72 | 40 | 41 | 41 |
| Significance∆ | *** | *** | NS | NS | NS | ** | **** | **** | **** | |
| Gly m 5 (ug/g)SMM | 2636 (±7%) | 2179 (±9%) | 1825 (±7%) | 1039 (±6%) | 635 (±2%) | 1665 (±25%) | 1055 (±5%) | 2311 (±2%) | 1366 (±10%) | 2279 (±10%) |
| Gly m 5 (ug/g)T | 55,675 | 46,037 | 38,558 | 21,940 | 13,414 | 35,176 | 22,283 | 48,808 | 28,848 | 48,147 |
| % Recovery† | 100 | 83 | 69 | 39 | 24 | 63 | 40 | 88 | 52 | 86 |
| Significance∆ | - | * | *** | **** | **** | **** | **** | NS | **** | NS |
| Api g 1 (ug/g)SMM | 20 (±37%) | 20 (±18%) | 31 (±31%) | 8 (±12%) | 46 (±28%) | 19 (±9%) | 9(±11%) | 32 (±7%) | 28 (±63%) | 20 (±20%) |
| Api g 1 (ug/g)T | 86 | 90 | 136 | 34 | 201 | 83 | 39 | 140 | 124 | 89 |
| Api g 1 (ug/g)SMM 37 °C◊ | 75 (±8%) | - | - | - | 32 (±1%) | - | - | - | 73 (±25%) | - |
| Api g 1 (ug/g)T 37 °C◊ | 330 | 141 | 320 | |||||||
| % Recovery† | 100 | 43 | 97 | |||||||
| Significance∆ | - | * | NS | |||||||
| Source Material | Total Protein (Kjeldahl, µg/g) ‡ | Optimised Specific Allergen Content (µg/g) | Extraction Buffer | % Extracted Specific Allergen Relative to Total Protein |
|---|---|---|---|---|
| Almond Flour | 438,435 α | Pru du 6 | A (B †) | 50 |
| 219,508 | ||||
| Walnut Flour | 383,296 β | Jug r 1 | A | 2 |
| 8841 | ||||
| Hazelnut Flour | 139,920 β | Cor a 9 | F (A/D/E †) | 62 |
| 87,019 | ||||
| Cashew Flour | 179,776 β | Ana o 3 | A (B/D †) | 12 |
| 21,564 | ||||
| Sesame Flour | 384,992 β | Ses i 1 | E (A/B †) | 6 |
| 22,081 | ||||
| Light Roast Peanut Flour | 474,364 γ | Ara h 3 | A (I/K †) | 4 |
| 17,166 | ||||
| Ara h 6 | A (B/D/I/K †) | 1 | ||
| 4745 | ||||
| Egg Powder | 801,000 | Gal d 1 | D (A/B †) | 6 |
| 45,359 | ||||
| Gal d 2 | A (/B/D/I/K †) | 48 | ||
| 386,721 | ||||
| Skim Milk Powder | 332,780 δ | Bos d 5 | A (B/J †) | 3 |
| 9357 | ||||
| Bos d 11 | D | 30 | ||
| 100,139 | ||||
| Soybean Flour | 471,417 ε | Gly m 5 | A | 12 |
| 55,675 | ||||
| Celeriac Powder | 108,000 | Api g 1 | A * (J †) | 0.2 |
| 330 | ||||
| Shrimp Powder | 648,000 | Tropomyosin | E (C/D/F †) | 0.2 |
| 1128 |
| Matrix | % Recovery from Incurred Matrix | ||||||||||||||
|---|---|---|---|---|---|---|---|---|---|---|---|---|---|---|---|
| Egg | Peanut | Cow’s Milk | Tree Nuts | Sesame | Shrimp | Celery | Soy | ||||||||
| Gal d 1 | Gal d 2 | Ara h 3 | Ara h 6 | Bos d 5 | Bos d 11 | Pru du 6 | Ana o 3 | Jug r 1 | Cor a 9 | Ses i 1 | STM | Api g 1 | Gly m 5 | ||
| Extraction Buffer: | J | J | D/J | D/J | J | D | J | J | J | J | J | D | J | J | |
| Biscuit Dough | 0 ppm | <LOD | <LOD | <LOD | <LOD | <LOD | <LOD | (+) | <LOD | <LOD | <LOD | <LOD | <LOD | <LOD | <LOD |
| 10 ppm | 82 | 90 | 90/123 | 91/93 | 88 | 78 | 104 | 108 | 118 | 95 | 96 | 35 | <LOD | 69 | |
| 100 ppm | 67 | 93 | 135/142 | 105/109 | 71 | 111 | 95 | 110 | 103 | 121 | 87 | 90 | 52 | 94 | |
| 1000 ppm | 69 | 80 | 117/113 | 83/82 | 89 | 95 | 103 | 96 | 106 | 141 | 88 | 85 | 86 | 89 | |
| Ave % | 73 | 88 | 114/126 | 93 | 83 | 95 | 101 | 105 | 109 | 119 | 90 | 70 | 69 | 89 | |
| Baked Biscuit | 0 ppm | <LOD | <LOD | <LOD | <LOD | <LOD | <LOD | (+) | <LOD | <LOD | <LOD | <LOD | <LOD | <LOD | <LOD |
| 10 ppm | <LOD | 0 | 72/109 | 64/50 | 1 | 28 | 63 | 32 | 51 | 61 | 55 | <LOD | <LOD | <LOD | |
| 100 ppm | <LOD | 0 | 51/77 | 48/45 | 1 | 24 | 48 | 28 | 64 | 87 | 44 | 5 | <LOD | 17 | |
| 1000 ppm | 2 | 2 | 74/89 | 57/54 | 12 | 71 | 64 | 45 | 82 | 75 | 50 | 18 | <1 | 30 | |
| Ave % | 2 | 1 | 66/92 | 56/50 | 5 | 41 | 58 | 35 | 66 | 74 | 50 | 11 | <1 | 24 | |
| Chocolate Dessert | 0 ppm | <LOD | <LOD | <LOD | <LOD | <LOD | <LOD | <LOD | <LOD | <LOD | <LOD | <LOD | <LOD | <LOD | <LOD |
| 10 ppm | 52 | 74 | 63 | 47/68 | 52 | 49 | 71 | 93 | 101 | 73 | 88 | 16 | <LOD | 1 | |
| 100 ppm | 59 | 84 | 53 | 64/52 | 44 | 34 | 51 | 64 | 83 | 80 | 80 | 66 | 56 | 14 | |
| 1000 ppm | 60 | 66 | 70 | 58/49 | 55 | 74 | 65 | 70 | 96 | 97 | 65 | 91 | 79 | 39 | |
| Ave % | 60 | 75 | 62 | 56/57 | 50 | 52 | 63 | 76 | 93 | 83 | 78 | 58 | 67 | 22 | |
Disclaimer/Publisher’s Note: The statements, opinions and data contained in all publications are solely those of the individual author(s) and contributor(s) and not of MDPI and/or the editor(s). MDPI and/or the editor(s) disclaim responsibility for any injury to people or property resulting from any ideas, methods, instructions or products referred to in the content. |
© 2025 by the authors. Licensee MDPI, Basel, Switzerland. This article is an open access article distributed under the terms and conditions of the Creative Commons Attribution (CC BY) license (https://creativecommons.org/licenses/by/4.0/).
Share and Cite
Bermingham, M.D.; Meredith, R.T.; Mills, H.; Maddocks, S.; Chapman, M.D.; Blaxland, J.A.; Oliver, M.A. Optimising Extraction of Specific Food Allergens from Challenging Food Matrices for Immunoassay Quantification. Foods 2025, 14, 3501. https://doi.org/10.3390/foods14203501
Bermingham MD, Meredith RT, Mills H, Maddocks S, Chapman MD, Blaxland JA, Oliver MA. Optimising Extraction of Specific Food Allergens from Challenging Food Matrices for Immunoassay Quantification. Foods. 2025; 14(20):3501. https://doi.org/10.3390/foods14203501
Chicago/Turabian StyleBermingham, Max D., Rhys T. Meredith, Hayley Mills, Sarah Maddocks, Martin D. Chapman, James A. Blaxland, and Maria A. Oliver. 2025. "Optimising Extraction of Specific Food Allergens from Challenging Food Matrices for Immunoassay Quantification" Foods 14, no. 20: 3501. https://doi.org/10.3390/foods14203501
APA StyleBermingham, M. D., Meredith, R. T., Mills, H., Maddocks, S., Chapman, M. D., Blaxland, J. A., & Oliver, M. A. (2025). Optimising Extraction of Specific Food Allergens from Challenging Food Matrices for Immunoassay Quantification. Foods, 14(20), 3501. https://doi.org/10.3390/foods14203501

