Effect of Liquid Nitrogen Freezing on Maintaining the Quality of Crayfish During Freeze–Thaw Cycles: Muscle Structure and Myofibrillar Proteins Properties
Abstract
1. Introduction
2. Materials and Methods
2.1. Materials and Reagents
2.2. Sample Preparation
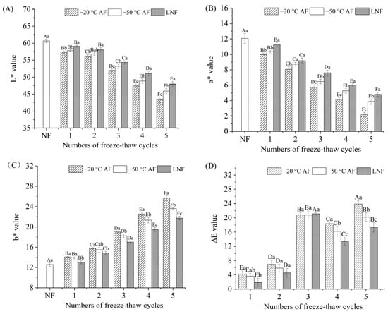
2.3. Color Difference Analysis
2.4. Measurement of pH, Total Volatile Basic Nitrogen (TVB-N), Drip Loss (DL), Water Holding Capacity (WHC), Shear Force
2.4.1. pH
2.4.2. TVB-N
2.4.3. DL
2.4.4. WHC
2.4.5. Shear Force
2.5. Observation of Ice Crystal Microstructure
2.6. Scanning Electron Microscopy (SEM)
2.7. Extraction of Myofibrillar Proteins from Crayfish
2.8. Measurement of Rheological Properties of MPs
2.9. Measurement of Thermal Stability of MPs
2.10. Statistical Analysis
3. Results and Discussion
3.1. Color Analysis
3.2. Quality Characteristics Analysis
3.3. Ice Crystal Morphology and Size Analysis
3.4. Microstructure Analysis
3.5. Dynamic Rheological Properties of MPs
3.6. Thermal Stability of MPs
3.7. Multivariate Statistical Analysis
4. Conclusions
Author Contributions
Funding
Institutional Review Board Statement
Informed Consent Statement
Data Availability Statement
Conflicts of Interest
References
- Abdelnaby, T.; Li, Z.; Cao, W.; Xue, C. The Effect of Gamma-Poly Glutamic Acid as a Cryoprotectant on Crayfish Physicochemical and Texture Properties During Frozen Storage. LWT 2023, 184, 114905. [Google Scholar] [CrossRef]
- Tan, H.; Shen, L.; Zhou, M.; Huang, Q.; Liu, X.; Wei, L.; Qiao, Y. Exploration into Lipid Oxidation and Flavour Characteristics of Crayfish (Procambarus clarkia) After Hot Water Blanching Pretreatment and Deep Frying. Int. J. Gastron. Food Sci. 2025, 39, 101100. [Google Scholar] [CrossRef]
- Chen, B.; Xu, X.; Chen, Y.; Xie, H.; Zhang, T.; Mao, X. Red Swamp Crayfish (Procambarus clarkii) as a Growing Food Source: Opportunities and Challenges in Comprehensive Research and Utilization. Foods 2024, 13, 3780. [Google Scholar] [CrossRef] [PubMed]
- Abdelnaby, T.; Li, Z.; Xue, C. The Influence of γ-PGA on the Quality of Cooked Frozen Crayfish During Temperature Fluctuations. Food Chem. 2024, 441, 138258. [Google Scholar] [CrossRef]
- Bonilla, F.; Reyes, V.; Chouljenko, A.; Dzandu, B.; Sathivel, S. Influence of Energy Removal Rate on the Quality of Minced Meat from Undersized Crawfish During Frozen Storage. Food Prod. Process. Nutr. 2020, 2, 20. [Google Scholar] [CrossRef]
- Huang, J.; Hu, Z.; Li, G.; Xiang, Y.; Chen, J.; Hu, Y. Preservation mechanism of Liquid Nitrogen Freezing on Crayfish (Procambarus clarkia): Study on the Modification Effects in Biochemical and Structural Properties. J. Food Process. Preserv. 2022, 46, e17116. [Google Scholar] [CrossRef]
- Han, J.; Sun, Y.; Zhang, T.; Wang, C.; Xiong, L.; Ma, Y.; Zhu, Y.; Gao, R.; Wang, L.; Jiang, N. The Preservable Effects of Ultrasound-Assisted Alginate Oligosaccharide Soaking on Cooked Crayfish Subjected to Freeze-Thaw Cycles. Ultrason. Sonochem. 2023, 92, 106259. [Google Scholar] [CrossRef]
- Wang, B.; Du, X.; Kong, B.; Liu, Q.; Li, F.; Pan, N.; Xia, X.; Zhang, D. Effect of Ultrasound Thawing, Vacuum Thawing, and Microwave Thawing on Gelling Properties of Protein from Porcine Longissimus Dorsi. Ultrason. Sonochem. 2020, 64, 104860. [Google Scholar] [CrossRef]
- Yang, B.; Yang, L.; Xu, R.; Jiang, S.; Lin, L.; Lu, J. Effects of Static Magnetic Field (SMF) and Alternating Magnetic Field (AMF) Assisted Freezing on the Microstructure and Protein Properties of Channel Catfish (Ictalurus punctatus) Fillet. Food Chem. 2024, 434, 137509. [Google Scholar] [CrossRef] [PubMed]
- Liu, S.; Zhang, L.; Li, Z.; Liu, M.; Chen, J.; Hong, P.; Zhong, S.; Huang, J. Effect of Temperature Fluctuation on the Freshness, Water Migration and Quality of Cold-Storage Penaeus vannamei. LWT Food Sci. Technol. 2024, 193, 115771. [Google Scholar] [CrossRef]
- Li, X.; Li, S.; Shi, G.; Xiong, G.; Shi, L.; Kang, J.; Su, J.; Ding, A.; Li, X.; Qiao, Y. Quantitative Proteomics Insights into Gel Properties Changes of Myofibrillar Protein from Procambarus clarkii Under Cold Stress. Food Chem. 2022, 372, 130935. [Google Scholar] [CrossRef] [PubMed]
- Lee, S.; Jo, K.; Jeong, H.G.; Choi, Y.-S.; Kyoung, H.; Jung, S. Freezing-Induced Denaturation of Myofibrillar Proteins in Frozen Meat. Crit. Rev. Food Sci. Nutr. 2024, 64, 1385–1402. [Google Scholar] [CrossRef] [PubMed]
- Feng, X.; Yu, X.; Yang, Y.; Tang, X. Improving the Freeze-Thaw Stability of Fish Myofibrils and Myofibrillar Protein Gels: Current Methods and Future Perspectives. Food Hydrocoll. 2023, 144, 109041. [Google Scholar] [CrossRef]
- Yang, Z.; Liu, S.; Sun, Q.; Zheng, O.; Wei, S.; Xia, Q.; Ji, H.; Deng, C.; Hao, J.; Xu, J. Insight into Muscle Quality of Golden Pompano (Trachinotus ovatus) Frozen with Liquid Nitrogen at Different Temperatures. Food Chem. 2022, 374, 131737. [Google Scholar] [CrossRef]
- Teng, X.; Liu, Y.; Chen, L.; Xue, C.; Li, Z. Effects of Liquid Nitrogen Freezing at Different Temperatures on the Quality and Flavor of Pacific Oyster (Crassostrea gigas). Food Chem. 2023, 422, 136162. [Google Scholar] [CrossRef]
- Wang, L.; Shi, L.; Jiao, C.; Qiao, Y.; Wu, W.; Li, X.; Wang, J.; Ding, A.; Liao, L.; Xiong, G. Effect of Ultrasound Combined with Ozone Water Pretreatment on the Bacterial Communities and the Physicochemical Properties of Red Swamp Crayfish Meat (Procambarus clarkii). Food Bioprocess Technol. 2020, 13, 1778–1790. [Google Scholar] [CrossRef]
- Han, J.; Sun, Y.; Sun, R.; Zhang, T.; Wang, C.; Jiang, N. Effects of Freeze-Thaw Cycles on Physicochemical Properties and Structure of Cooked Crayfish (Procambarus clarkii). Food Prod. Process. Nutr. 2022, 4, 25. [Google Scholar] [CrossRef]
- Alizadeh-Sani, M.; Tavassoli, M.; Mohammadian, E.; Ehsani, A.; Khaniki, G.J.; Priyadarshi, R.; Rhim, J.-W. pH-Responsive Color Indicator Films Based on Methylcellulose/Chitosan Nanofiber and Barberry Anthocyanins for Real-Time Monitoring of Meat Freshness. Int. J. Biol. Macromol. 2021, 166, 741–750. [Google Scholar] [CrossRef] [PubMed]
- Yu, D.; Xu, Y.; Jiang, Q.; Xia, W. Effects of Chitosan Coating Combined with Essential Oils on Quality and Antioxidant Enzyme Activities of Grass Carp (Ctenopharyngodon idellus) Fillets Stored at 4 °C. Int. J. Food Sci. Technol. 2017, 52, 404–412. [Google Scholar] [CrossRef]
- Ruan, C.; Zhang, Y.; Sun, Y.; Gao, X.; Xiong, G.; Liang, J. Effect of Sodium Alginate and Carboxymethyl Cellulose Edible Coating with Epigallocatechin Gallate on Quality and Shelf Life of Fresh Pork. Int. J. Biol. Macromol. 2019, 141, 178–184. [Google Scholar] [CrossRef] [PubMed]
- Li, J.; Wang, J.; Zhai, J.; Gu, L.; Su, Y.; Chang, C.; Yang, Y. Improving Gelling Properties of Diluted Whole Hen Eggs with Sodium Chloride and Sodium Tripolyphosphate: Study on Intermolecular Forces, Water State and Microstructure. Food Chem. 2021, 358, 129823. [Google Scholar] [CrossRef]
- Bao, Y.; Boeren, S.; Ertbjerg, P. Myofibrillar Protein Oxidation Affects Filament Charges, Aggregation and Water-Holding. Meat Sci. 2018, 135, 102–108. [Google Scholar] [CrossRef]
- Du, X.; Chang, P.; Tian, J.; Kong, B.; Sun, F.; Xia, X. Effect of Ice Structuring Protein on the Quality, Thermal Stability and Oxidation of Mirror Carp (Cyprinus carpio L.) Induced by Freeze-Thaw Cycles. LWT Food Sci. Technol. 2020, 124, 109140. [Google Scholar] [CrossRef]
- Yin, M.; Dai, K.; Qiu, Z.; Shi, Y.; Shi, J.; Matsuoka, R.; Jiang, Q.; Fang, Z.; Shi, W.; Wang, X. Effect of Temperature Fluctuations During Frozen Storage on Ice Crystal Distribution and Quality of Tilapia (Oreochromis mossambicus). Food Chem. 2025, 463, 141104. [Google Scholar] [CrossRef]
- Mi, J.; Zhao, X.; Huang, P.; Hong, J.; Jia, R.; Deng, S.; Yu, X.; Wei, H.; Yang, W. Effect of Hydroxypropyl Distarch Phosphate on the Physicochemical Characteristics and Structure of Shrimp Myofibrillar Protein. Food Hydrocoll. 2022, 125, 107417. [Google Scholar] [CrossRef]
- Zhang, T.; Xue, Y.; Li, Z.; Wang, Y.; Yang, W.; Xue, C. Effects of Ozone on the Removal of Geosmin and the Physicochemical Properties of Fish Meat from Bighead Carp (Hypophthalmichthys nobilis). Innov. Food Sci. Emerg. Technol. 2016, 34, 16–23. [Google Scholar] [CrossRef]
- Holman, B.W.; Kerry, J.P.; Hopkins, D.L. Meat Packaging Solutions to Current Industry Challenges: A Review. Meat Sci. 2018, 144, 159–168. [Google Scholar] [CrossRef]
- Megaache, M.; Bennoune, O. Effect of Freeze-Thaw Cycles on the Physicochemical, Water-Holding Properties, and Histology of Sardinella aurita. Rev. Cient. Fac. Vet. 2024, 34, 7. [Google Scholar] [CrossRef]
- Cheng, S.; Wang, X.; Li, R.; Yang, H.; Wang, H.; Wang, H.; Tan, M. Influence of Multiple Freeze-Thaw Cycles on Quality Characteristics of Beef Semimembranous Muscle: With Emphasis on Water Status and Distribution by LF-NMR and MRI. Meat Sci. 2019, 147, 44–52. [Google Scholar] [CrossRef]
- Li, F.; Zhong, Q.; Kong, B.; Wang, B.; Pan, N.; Xia, X. Deterioration in Quality of Quick-Frozen Pork Patties Induced by Changes in Protein Structure and Lipid and Protein Oxidation During Frozen Storage. Food Res. Int. 2020, 133, 109142. [Google Scholar] [CrossRef] [PubMed]
- Sun, L.; Sun, J.; Thavaraj, P.; Yang, X.; Guo, Y. Effects of Thinned Young Apple Polyphenols on the Quality of Grass Carp (Ctenopharyngodon idellus) Surimi During Cold Storage. Food Chem. 2017, 224, 372–381. [Google Scholar] [CrossRef]
- Sun, Q.; Kong, B.; Liu, S.; Zheng, O.; Zhang, C. Ultrasound-Assisted Thawing Accelerates the Thawing of Common Carp (Cyprinus carpio) and Improves Its Muscle Quality. LWT Food Sci. Technol. 2021, 141, 111080. [Google Scholar] [CrossRef]
- Abdelnaby, T.; Feng, T.; Zhang, T.; Jiang, X.; Wang, Y.; Li, Z.; Xue, C. Impact of Frozen Storage on Physicochemical Parameters and Quality Changes in Cooked Crayfish. Heliyon 2024, 10, e31649. [Google Scholar] [CrossRef]
- Du, N.; Sun, Y.; Chen, Z.; Huang, X.; Li, C.; Gao, L.; Bai, S.; Wang, P.; Hao, Q. Effects of Multiple Freeze-Thaw Cycles on Protein and Lipid Oxidation, Microstructure and Quality Characteristics of Rainbow Trout (Oncorhynchus mykiss). Fishes 2023, 8, 108. [Google Scholar] [CrossRef]
- Hu, Y.M.; Zhang, N.H.; Wang, H.; Yang, Y.F.; Tu, Z.C. Effects of Pre-Freezing Methods and Storage Temperatures on the Qualities of Crucian Carp (Carassius auratus var. pengze) During Frozen Storage. J. Food Process. Preserv. 2021, 45, e15139. [Google Scholar] [CrossRef]
- Qin, N.; Li, D.; Hong, H.; Zhang, Y.; Zhu, B.; Luo, Y. Effects of Different Stunning Methods on the Flesh Quality of Grass Carp (Ctenopharyngodon idellus) Fillets Stored at 4 °C. Food Chem. 2016, 201, 131–138. [Google Scholar] [CrossRef]
- Liu, S.; Zhang, L.; Chen, J.; Li, Z.; Liu, M.; Hong, P.; Zhong, S.; Li, H. Effect of Freeze–Thaw Cycles on the Freshness of Prepackaged Penaeus vannamei. Foods 2024, 13, 305. [Google Scholar] [CrossRef]
- Yang, H.; Lu, H.; He, X.; Chen, J.; Peng, L.; Liao, E. Insight into Quality, Microstructure, and Protein Physicochemical Properties of Monopterus albus Frozen with Liquid Nitrogen. Int. J. Refrig. 2024, 165, 188–198. [Google Scholar] [CrossRef]
- Dalvi-Isfahan, M.; Hamdami, N.; Le-Bail, A. Effect of Freezing Under Electrostatic Field on the Quality of Lamb Meat. Innov. Food Sci. Emerg. Technol. 2016, 37, 68–73. [Google Scholar] [CrossRef]
- Jiang, Q.; Nakazawa, N.; Hu, Y.; Osako, K.; Okazaki, E. Changes in Quality Properties and Tissue Histology of Lightly Salted Tuna Meat Subjected to Multiple Freeze-Thaw Cycles. Food Chem. 2019, 293, 178–186. [Google Scholar] [CrossRef]
- Hu, L.; Ying, Y.; Zhang, H.; Liu, J.; Chen, X.; Shen, N.; Li, Y.; Hu, Y. Advantages of Liquid Nitrogen Freezing in Long-Term Frozen Preservation of Hairtail (Trichiurus haumela): Enzyme Activity, Protein Structure, and Tissue Structure. J. Food Process Eng. 2021, 44, e13789. [Google Scholar] [CrossRef]
- Leygonie, C.; Britz, T.J.; Hoffman, L.C. Impact of Freezing and Thawing on the Quality of Meat. Meat Sci. 2012, 91, 93–98. [Google Scholar] [CrossRef] [PubMed]
- Kaale, L.D.; Eikevik, T.M. The Development of Ice Crystals in Food Products During the Superchilling Process and Following Storage, a Review. Trends Food Sci. Technol. 2014, 39, 91–103. [Google Scholar] [CrossRef]
- Sun, Q.; Sun, F.; Xia, X.; Xu, H.; Kong, B. The Comparison of Ultrasound-Assisted Immersion Freezing, Air Freezing and Immersion Freezing on the Muscle Quality and Physicochemical Properties of Common Carp (Cyprinus carpio) During Freezing Storage. Ultrason. Sonochem. 2019, 51, 281–291. [Google Scholar] [CrossRef] [PubMed]
- Du, X.; Wang, B.; Li, H.; Liu, H.; Shi, S.; Feng, J.; Pan, N.; Xia, X. Research Progress on Quality Deterioration Mechanism and Control Technology of Frozen Muscle Foods. Compr. Rev. Food Sci. Food Saf. 2022, 21, 4812–4846. [Google Scholar] [CrossRef]
- Wan, W.; Li, W.; Sun, L.; Liu, H.; Xia, X. Effects of Freeze-Thaw Cycles on In-Vitro Digestive Properties of Myofibrillar Protein in Mirror Carp (Cyprinus carpio L.), based on Protein Degradation, Oxidation, and Structural Properties. Food Chem. 2024, 436, 137662. [Google Scholar] [CrossRef] [PubMed]
- Bertram, H.C.; Andersen, H.J.; Karlsson, A.H. Comparative Study of Low-Field NMR Relaxation Measurements and Two Traditional Methods in the Determination of Water Holding Capacity of Pork. Meat Sci. 2001, 57, 125–132. [Google Scholar] [CrossRef]
- Jiang, Q.; Okazaki, E.; Zheng, J.; Que, T.; Chen, S.; Hu, Y. Structure of Northern Snakehead (Channa argus) Meat: Effects of Freezing Method and Frozen Storage. Int. J. Food Prop. 2018, 21, 1166–1179. [Google Scholar] [CrossRef]
- Dara, P.K.; Geetha, A.; Mohanty, U.; Raghavankutty, M.; Mathew, S.; Nagarajarao, R.C.; Rangasamy, A. Extraction and Characterization of Myofibrillar Proteins from Different Meat Sources: A Comparative Study. J. Bioresour. Bioprod. 2021, 6, 367–378. [Google Scholar] [CrossRef]
- Miller, D.K.; Acevedo, N.C.; Lonergan, S.M.; Sebranek, J.G.; Tarté, R. Rheological Characteristics of Mechanically Separated Chicken and Chicken Breast Trim Myofibril Solutions During Thermal Gelation. Food Chem. 2020, 307, 125557. [Google Scholar] [CrossRef] [PubMed]
- Egelandsdal, B.; Fretheim, K.; Samejima, K. Dynamic Rheological Measurements on Heat-Induced Myosin Gels: Effect of Ionic Strength, Protein Concentration and Addition of Adenosine Triphosphate or Pyrophosphate. J. Sci. Food Agric. 1986, 37, 915–926. [Google Scholar] [CrossRef]
- Marchetti, M.D.; Gómez, P.L.; Yeannes, M.I.; Garcia Loredo, A.B. Structure of Fish Proteins as Modified by Salting Procedures: A Rheological and Ultrastructural Analysis of Hake (Merluccius hubbsi) Fillets. J. Food Sci. 2022, 87, 1134–1147. [Google Scholar] [CrossRef]
- Amiri, A.; Mousakhani-Ganjeh, A.; Shafiekhani, S.; Mandal, R.; Singh, A.P.; Kenari, R.E. Effect of High Voltage Electrostatic Field Thawing on the Functional and Physicochemical Properties of Myofibrillar Proteins. Innov. Food Sci. Emerg. Technol. 2019, 56, 102191. [Google Scholar] [CrossRef]
- Köhler, M.H.; Barbosa, R.C.; da Silva, L.B.; Barbosa, M.C. Role of the Hydrophobic and Hydrophilic Sites in the Dynamic Crossover of the Protein-Hydration Water. Phys. A Stat. Mech. Its Appl. 2017, 468, 733–739. [Google Scholar] [CrossRef]
- Liu, S.; Zeng, X.; Zhang, Z.; Long, G.; Lyu, F.; Cai, Y.; Liu, J.; Ding, Y. Effects of Immersion Freezing on Ice Crystal Formation and the Protein Properties of Snakehead (Channa argus). Foods 2020, 9, 411. [Google Scholar] [CrossRef]
- Badii, F.; Howell, N.K. Changes in the Texture and Structure of Cod and Haddock Fillets During Frozen Storage. Food Hydrocoll. 2002, 16, 313–319. [Google Scholar] [CrossRef]
- Zhang, Y.; Bai, G.; Wang, J.; Wang, Y.; Jin, G.; Teng, W.; Geng, F.; Cao, J. Myofibrillar Protein Denaturation/Oxidation in Freezing-Thawing Impair the Heat-Induced Gelation: Mechanisms and Control Technologies. Trends Food Sci. Technol. 2023, 138, 655–670. [Google Scholar] [CrossRef]
- Song, Z.; Zhang, S.; Qi, X.; Yin, M.; Wang, X. Application of Ultrasound Technology in the Washing Process of Surimi: Improvement of Meat Yield and Gel Quality. Food Biophys. 2024, 19, 745–760. [Google Scholar] [CrossRef]






| Crayfish | pH | TVB-N (mg/100 g) | DL (%) | WHC (%) | Shear Force (N) | |
|---|---|---|---|---|---|---|
| NF | 7.96 ± 0.02 Da | 5.09 ± 0.03 Ea | 2.18 ± 0.14 Fa | 86.4 ± 0.9 Aa | 18.3 ± 0.4 Aa | |
| −20 °C AF | 1 FT | 7.91 ± 0.01 Ea | 8.24 ± 0.17 Da | 3.74 ± 0.07 Ea | 71.8 ± 3.1 Bb | 16.9 ± 0.2 Bb |
| 2 FT | 7.60 ± 0.03 Fa | 8.40 ± 0.13 Da | 5.56 ± 0.04 Da | 71.3 ± 2.8 Bb | 15.8 ± 0.1 Cb | |
| 3 FT | 8.18 ± 0.01 Cc | 11.73 ± 0.48 Ca | 5.99 ± 0.23 Ca | 67.3 ± 4.9 BCb | 13.2 ± 0.2 Dc | |
| 4 FT | 8.44 ± 0.01 Ba | 16.24 ± 0.15 Ba | 7.41 ± 0.15 Ba | 65.3 ± 1.6 CDb | 12.6 ± 0.2 Ec | |
| 5 FT | 8.68 ± 0.04 Aa | 24.01 ± 0.23 Aa | 12.8 ± 0.22 Aa | 60.6 ± 0.8 Dc | 11.0 ± 0.1 Fc | |
| −50 °C AF | 1 FT | 7.69 ± 0.05 Eb | 7.68 ± 0.15 Db | 3.47 ± 0.10 Eb | 73.7 ± 0.3 Bb | 17.1 ± 0.2 Bb |
| 2 FT | 7.65 ± 0.05 Ea | 8.05 ± 0.04 Db | 4.03 ± 0.4 Db | 73.2 ± 1.0 Bb | 15.9 ± 0.1 Cab | |
| 3 FT | 8.26 ± 0.04 Cb | 11.04 ± 0.64 Ca | 4.67 ± 0.26 Cb | 70.5 ± 1.5 Cb | 14.4 ± 0.2 Db | |
| 4 FT | 8.38 ± 0.02 Bb | 15.05 ± 0.05 Bb | 5.46 ± 0.22 Bb | 67.7 ± 1.2 Db | 13.0 ± 0.2 Eb | |
| 5 FT | 8.59 ± 0.06 Ab | 20.28 ± 0.48 Ab | 11.02 ± 0.48 Ab | 63.5 ± 1.0 Eb | 11.5 ± 0.1 Fb | |
| LNF | 1 FT | 7.83 ± 0.12 Eab | 7.61 ± 0.08 Db | 3.25 ± 0.04 Ec | 82.0 ± 0.2 Ba | 17.6 ± 0.1 Ba |
| 2 FT | 7.48 ± 0.01 Fb | 7.61 ± 0.03 Dc | 3.72 ± 0.09 CDb | 82.0 ± 0.4 Ba | 16.5 ± 0.4 Ca | |
| 3 FT | 8.36 ± 0.04 Ca | 9.57 ± 0.29 Cb | 4.38 ± 0.58 BCb | 80.8 ± 0.3 Ca | 15.0 ± 0.1 Da | |
| 4 FT | 8.29 ± 0.02 Cc | 12.88 ± 0.11 Bc | 4.96 ± 0.07 Bc | 75.9 ± 0.9 Da | 13.8 ± 0.2 Ea | |
| 5 FT | 8.50 ± 0.02 Bb | 18.39 ± 0.77 Ac | 10.01 ± 0.79 Ab | 70.8 ± 0.7 Ea | 12.1 ± 0.1 Fa | |
| Crayfish | T1 (°C) | G′1 (Pa). | T2 (°C) | G′2 (Pa) | T3 (°C) | G′3 (Pa) | |
|---|---|---|---|---|---|---|---|
| NF | 36.5 | 0.062 | 40.5 | 0.584 | 46.5 | 0.150 | |
| −20 °C AF | 1 FT | 36.2 | 0.019 | 41.7 | 0.439 | 46.3 | 0.150 |
| 2 FT | 36.3 | 0.006 | 43.7 | 0.070 | 63.4 | 1.849 | |
| 3 FT | 35.0 | 0.002 | 42.4 | 0.023 | 48.2 | 0.013 | |
| 4 FT | 36.9 | 0.005 | 42.2 | 0.048 | 45.7 | 0.031 | |
| 5 FT | 34.3 | 0.001 | 43.1 | 0.006 | 48.6 | 0.004 | |
| −50 °C AF | 1 FT | 36.4 | 0.062 | 41.0 | 0.586 | 49.4 | 0.151 |
| 2 FT | 35.5 | 0.027 | 43.0 | 0.296 | 50.7 | 0.085 | |
| 3 FT | 35.8 | 0.012 | 46.7 | 0.134 | 51.6 | 0.041 | |
| 4 FT | 35.6 | 0.005 | 47.1 | 0.080 | 52.7 | 0.042 | |
| 5 FT | 35.0 | 0.002 | 46.4 | 0.024 | 52.8 | 0.013 | |
| LNF | 1 FT | 33.8 | 0.001 | 43.2 | 0.011 | 46.7 | 0.006 |
| 2 FT | 36.3 | 0.061 | 41.7 | 0.584 | 45.7 | 0.151 | |
| 3 FT | 35.7 | 0.015 | 41.2 | 0.199 | 45.2 | 0.151 | |
| 4 FT | 36.2 | 0.010 | 42.4 | 0.181 | 47.8 | 0.050 | |
| 5 FT | 35.6 | 0.005 | 41.8 | 0.096 | 47.1 | 0.060 | |
| Crayfish MPs | Myosin | Actin | |||
|---|---|---|---|---|---|
| Tmax1 (°C) | ΔH1 (J/g) | Tmax2 (°C) | ΔH2 (J/g) | ||
| NF | 65.8 ± 0.3 Ea | 9.54 ± 0.04 Aa | 136 ± 1 Aa | 5.80 ± 0.02 Aa | |
| −20 °C AF | 1 FT | 66.9 ± 0.1 CDb | 8.27 ± 0.04 Bb | 132 ± 1 Ea | 5.37 ± 0.03 Bb |
| 2 FT | 66.5 ± 0.9 Deb | 8.13 ± 0.05 Ca | 133 ± 1 Da | 5.19 ± 0.04 Cb | |
| 3 FT | 68.7 ± 0.7 Aa | 7.74 ± 0.04 Da | 133 ± 1 Db | 3.99 ± 0.05 Db | |
| 4 FT | 68.0 ± 0.2 ABb | 6.74 ± 0.06 Eb | 135 ± 1 Cb | 2.34 ± 0.06 Eb | |
| 5 FT | 67.6 ± 0.3 BCc | 5.82 ± 0.07 Fa | 135 ± 1 Bb | 0.10 ± 0.02 Fc | |
| −50 °C AF | 1 FT | 66.0 ± 0.1 Db | 8.35 ± 0.07 Bb | 132 ± 1 Da | 5.08 ± 0.03 Bc |
| 2 FT | 65.7 ± 0.1 Eb | 8.19 ± 0.06 Ca | 131 ± 1 Eb | 4.93 ± 0.04 Cc | |
| 3 FT | 62.3 ± 0.1 Fb | 7.09 ± 0.03 Db | 135 ± 1 Ba | 4.92 ± 0.04 Ca | |
| 4 FT | 68.2 ± 0.1 Cb | 6.68 ± 0.08 Eb | 134 ± 1 Cb | 1.74 ± 0.04 Dc | |
| 5 FT | 68.2 ± 0.1 Cb | 5.81 ± 0.04 Fa | 136 ± 1 Aab | 1.68 ± 0.07 Db | |
| LNF | 1 FT | 69.2 ± 0.2 Da | 9.20 ± 0.20 Aa | 133 ± 1 Ca | 5.87 ± 0.12 Aa |
| 2 FT | 70.0 ± 3.0 Da | 6.90 ± 0.32 Cb | 133 ± 1 BCa | 5.48 ± 0.17 Ba | |
| 3 FT | 68.1 ± 0.3 Da | 6.98 ± 0.19 Cb | 134 ± 1 Ba | 4.96 ± 0.10 Ca | |
| 4 FT | 76.3 ± 0.4 Ca | 7.63 ± 0.41 Ba | 136 ± 1 Aa | 2.56 ± 0.07 Da | |
| 5 FT | 79.1 ± 0.4 Ba | 5.82 ± 0.12 Da | 136 ± 1 Aa | 1.92 ± 0.06 Ea | |
Disclaimer/Publisher’s Note: The statements, opinions and data contained in all publications are solely those of the individual author(s) and contributor(s) and not of MDPI and/or the editor(s). MDPI and/or the editor(s) disclaim responsibility for any injury to people or property resulting from any ideas, methods, instructions or products referred to in the content. |
© 2025 by the authors. Licensee MDPI, Basel, Switzerland. This article is an open access article distributed under the terms and conditions of the Creative Commons Attribution (CC BY) license (https://creativecommons.org/licenses/by/4.0/).
Share and Cite
Teng, Z.; He, X.; Wang, L.; Xu, L.; Jiao, C.; Chen, J. Effect of Liquid Nitrogen Freezing on Maintaining the Quality of Crayfish During Freeze–Thaw Cycles: Muscle Structure and Myofibrillar Proteins Properties. Foods 2025, 14, 279. https://doi.org/10.3390/foods14020279
Teng Z, He X, Wang L, Xu L, Jiao C, Chen J. Effect of Liquid Nitrogen Freezing on Maintaining the Quality of Crayfish During Freeze–Thaw Cycles: Muscle Structure and Myofibrillar Proteins Properties. Foods. 2025; 14(2):279. https://doi.org/10.3390/foods14020279
Chicago/Turabian StyleTeng, Zongna, Xiaoyue He, Liuqing Wang, Limin Xu, Chuyi Jiao, and Jiwang Chen. 2025. "Effect of Liquid Nitrogen Freezing on Maintaining the Quality of Crayfish During Freeze–Thaw Cycles: Muscle Structure and Myofibrillar Proteins Properties" Foods 14, no. 2: 279. https://doi.org/10.3390/foods14020279
APA StyleTeng, Z., He, X., Wang, L., Xu, L., Jiao, C., & Chen, J. (2025). Effect of Liquid Nitrogen Freezing on Maintaining the Quality of Crayfish During Freeze–Thaw Cycles: Muscle Structure and Myofibrillar Proteins Properties. Foods, 14(2), 279. https://doi.org/10.3390/foods14020279
