Conservation Analysis and Colorimetric Characterization of Betalain Extracts from the Peel of Red Beetroot, Golden Beetroot, and Prickly Pear Applied to Cottage Cheese
Abstract
1. Introduction
2. Materials and Methods
2.1. Materials and Reagents
2.2. Betalain Extracts Preparation and Conservation Treatments
2.3. Betalain Extracts Conservation
2.4. Physicochemical Characteristics of the Betalain Extracts and Extraction Yield
- (1)
- The extraction yield was determined by Equation (1), where V = volume of extract in (mL) and mi = initial sample weight in (g).
- (2)
- Betalain quantification was obtained following the method described by Oktay et al. [13] using Equation (2).
- (3)
- Determination of the total dissolved solids was carried out using the weight loss drying technique following Equation (3).
- (4)
- The Brix of the samples was estimated using a portable digital Brix refractometer (OPTI model, Bellingham + Stanley, Barcelona, Spain). A volume of 2 mL of sample at room temperature (20 °C) was placed in the test reader. The Brix value was read directly from the instrument. The refractometer was calibrated with distilled water before measuring.
- (5)
- Colorimetric analysis was carried by a colorimeter (VINCKOLOR Pro, Hangzhou, China), using the coordinates L* (luminosity), a* (coordinates red/green) and b*(coordinates yellow/blue) of the CIELAB color system.
2.5. Shelf-Life Analysis of Betalain Extracts
2.6. Color Stability Analysis of Betalain Extracts
2.7. Application of Extracts in Cottage Cheese
2.8. Statistical Analysis
3. Results and Discussion
3.1. Physicochemical Characteristics and Yield of Betalain Extracts
- (1)
- The yield of betalain extracts was obtained with the following order: YBAC > PBAC > RBAC. The difference in yield was associated with the origin (red beetroot, golden beetroot, and purple prickly pear) and water content of each source, exposing the final water content (after the concentration process) of 20% PBAC, 15% YBAC, and 12% RBAC.
- (2)
- As expected, the betalain extracts for RBAC, YBAC, and PBAC showed an acidic pH because they contain organic acid.
- (3)
- In turn, the RBAC, YBAC, and PBAC exposed different ranges of °Bx and TDS. The highest values of °Bx and TDS were found in RBAC and YBAC because beetroot contains more sugar than prickly pear.
- (4)
- Concerning betalain content, the data between the extracts of RBAC, YBAC, and PBAC also showed significative differences (p < 0.05).
3.2. Colorimetric Characteristics of Betalain Extracts
3.3. Shelf-Life Analysis of Betalain Extracts and the Effect of Organic Acid Addition and Concentration
3.4. Color Stability of Betalain Extracts
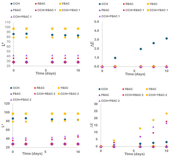
3.5. Shelf-Life Analysis of Betalain Extracts on Cottage Cheese
4. Conclusions
Author Contributions
Funding
Institutional Review Board Statement
Informed Consent Statement
Data Availability Statement
Acknowledgments
Conflicts of Interest
References
- Vega, E.N.; Ciudad-Mulero, M.; Fernández-Ruiz, V.; Barros, L.; Morales, P. Natural Sources of Food Colorants as Potential Substitutes for Artificial Additives. Foods 2023, 12, 4102. [Google Scholar] [CrossRef]
- Marques Soutelino, M.E.; de Paiva Vieira, G.; Barbatho Goulart, M.; Costa Miranda, K.; Pina da Conceição, R.; Colombo Pimentel, T.; Gomes da Cruz, A.; da Silva Rocha, R. Natural food dyes on dairy products: A critical approach between 2012–2023 literature regarding the technological and functional aspects, health benefits and future trends. Trends Food Sci. Technol. 2024, 146, 104370. [Google Scholar] [CrossRef]
- Polturak, G.; Aharoni, A. “La Vie en Rose”: Biosynthesis, Sources, and Applications of Betalain Pigments. Mol. Plant 2018, 11, 7–22. [Google Scholar] [CrossRef] [PubMed]
- Slimen, I.B.; Najar, T.; Abderrabba, M. Chemical and Antioxidant Properties of Betalains. J. Agric. Food Chem. 2017, 65, 675–689. [Google Scholar] [CrossRef]
- Chaari, M.; Elhadef, K.; Akermi, S.; Ben Hlima, H.; Fourati, M.; Mtibaa, A.C.; Ennouri, M.; D’Amore, T.; Ali, D.S.; Mellouli, L.; et al. Potentials of beetroot (Beta vulgaris L.) peel extract for quality enhancement of refrigerated beef meat. Qual. Assur. Saf. Crops Foods 2023, 15, 99–115. [Google Scholar] [CrossRef]
- Martins, I.R.; da Silva Martins, L.H.; Chisté, R.C.; Picone, C.S.F.; Joele, M.R.S.P. Betalains from vegetable peels: Extraction methods, stability, and applications as natural food colorants. Food Res. Int. 2024, 195, 114956. [Google Scholar] [CrossRef] [PubMed]
- Irianto, I.; Putra, N.R.; Yustisia, Y.; Abdullah, S.; Syafruddin, S.; Paesal, P.; Irmadamayanti, A.; Herawati, H.; Raharjo, B.; Agustini, S.; et al. Green Technologies in Food Colorant Extraction: A Comprehensive Review. S. Afr. J. Chem. Eng. 2024, 51, 22–34. [Google Scholar] [CrossRef]
- Tekin, İ.; Özcan, K.; Ersus, S. Optimization of ionic gelling encapsulation of red beet (Beta vulgaris L.) juice concentrate and stability of betalains. Biocatal. Agric. Biotechnol. 2023, 51, 102774. [Google Scholar] [CrossRef]
- Hazervazifeh, A.; Rezazadeh, A.; Banihashemi, A.; Ghasempour, Z.; Kia, E.M. Pulsed microwave radiation for extraction of betalains from red beetroot: Engineering and technological aspects. Process Biochem. 2023, 134, 121–130. [Google Scholar] [CrossRef]
- Otálora, M.C.; Wilches-Torres, A.; Castaño, J.A.G. Microencapsulation of Betaxanthin Pigments from Pitahaya (Hylocereus megalanthus) By-Products: Characterization, Food Application, Stability, and In Vitro Gastrointestinal Digestion. Foods 2023, 12, 2700. [Google Scholar] [CrossRef]
- Boravelli, J.A.R.; Vir, A.B. Continuous flow aqueous two-phase extraction of betalains in millifluidic channel. Chem. Eng. J. 2024, 495, 153265. [Google Scholar] [CrossRef]
- Morales-Huerta, A.; Flores-Andrade, E.; Jiménez-Fernández, M.; Beristain, C.; Pascual-Pineda, L. Microencapsulation of betalains by foam fluidized drying. J. Food Eng. 2023, 359, 111701. [Google Scholar] [CrossRef]
- Oktay, B.A.; Yolaçaner, E.T.; Aytaç, S.A. Ultrasound-assisted extraction of betalain-rich bioactive compounds of prickly pear fruit: An optimization study. Food Biosci. 2024, 61, 104734. [Google Scholar] [CrossRef]
- Ferreira, R.M.; Queffelec, J.; Flórez-Fernández, N.; Saraiva, J.A.; Torres, M.D.; Cardoso, S.M.; Domínguez, H. Production of betalain-rich Opuntia ficus-indica peel flour microparticles using spray-dryer: A holist approach. LWT 2023, 186, 115241. [Google Scholar] [CrossRef]
- Calva-Estrada, S.; Jiménez-Fernández, M.; Lugo-Cervantes, E. Betalains and their applications in food: The current state of processing, stability and future opportunities in the industry. Food Chem. Mol. Sci. 2022, 4, 100089. [Google Scholar] [CrossRef] [PubMed]
- Kumorkiewicz-Jamro, A.; Świergosz, T.; Sutor, K.; Spórna-Kucab, A.; Wybraniec, S. Multi-colored shades of betalains: Recent advances in betacyanin chemistry. Nat. Prod. Rep. 2021, 38, 2315–2346. [Google Scholar] [CrossRef]
- Ghasempour, Z.; Javanmard, N.; Langroodi, A.M.; Alizadeh-Sani, M.; Ehsani, A.; Kia, E.M. Development of probiotic yogurt containing red beet extract and basil seed gum; techno-functional, microbial and sensorial characterization. Biocatal. Agric. Biotechnol. 2020, 29, 101785. [Google Scholar] [CrossRef]
- Schneider-Teixeira, A.; Molina-García, A.D.; Alvarez, I.; Dello Staffolo, M.; Deladino, L. Application of betacyanins pigments from Alternanthera brasiliana as yogurt colorant. LWT 2022, 159, 113237. [Google Scholar] [CrossRef]
- Güneşer, O. Pigment and color stability of beetroot betalains in cow milk during thermal treatment. Food Chem. 2016, 196, 220–227. [Google Scholar] [CrossRef] [PubMed]
- Tamer, F.S.; Oymak, T.; Dural, E. Determination of seven synthetic colourants in pharmaceutics, foods, and beverages by a validated HPLC-PDA method: A risk assessment study. J. Food Compos. Anal. 2024, 136, 106797. [Google Scholar] [CrossRef]
- Chaari, M.; Elhadef, K.; Akermi, S.; Tounsi, L.; Ben Hlima, H.; Ennouri, M.; Abdelkafi, S.; Agriopoulou, S.; Ali, D.S.; Mellouli, L.; et al. Development of a novel colorimetric pH-indicator film based on CMC/flaxseed gum/betacyanin from beetroot peels: A powerful tool to monitor the beef meat freshness. Sustain. Chem. Pharm. 2024, 39, 101543. [Google Scholar] [CrossRef]
- Mehta, D.; Kuksal, K.; Sharma, A.; Soni, N.; Kumari, S.; Nile, S.H. Postharvest integration of prickly pear betalain-enriched gummies with different sugar substitutes for decoding diabetes type-II and skin resilience—In vitro and in silico study. Food Chem. 2025, 464, 141612. [Google Scholar] [CrossRef]
- Hernández-Acosta, E.; Muro, C.; Guadarrama-Lezama, A.Y.; Gutierrez-Cortez, E.; López-Solórzano, E. Valorization of Black Carrot Industrial Residues for the Anthocyanin Pigment Production. Waste Biomass Valor. 2024, 15, 4071–4086. [Google Scholar] [CrossRef]
- Gandía-Herrero, F.; Escribano, J.; García-Carmona, F. Characterization of the Activity of Tyrosinase on Betanidin. J. Agric. Food Chem. 2007, 55, 1546–1551. [Google Scholar] [CrossRef] [PubMed]
- Wang, J.; Jayaprakasha, G.K.; Patil, B.S. UPLC-QTOF-MS fingerprinting combined with chemometrics to assess the solvent extraction efficiency, phytochemical variation, and antioxidant activities of Beta vulgaris L. J. Food Drug Anal. 2020, 28, 217–230. [Google Scholar] [CrossRef]
- Gandía-Herrero, F.; Escribano, J.; García-Carmona, F. Structural implications on color, fluorescence, and antiradical activity in betalains. Planta 2010, 232, 449–460. [Google Scholar] [CrossRef]
- Wang, B.; Wang, Y.; Deng, Y.; Yao, Q.; Xiong, A. Synthesis of betanin by expression of the core betalain biosynthetic pathway in carrot. Hortic. Plant J. 2023, 10, 732–742. [Google Scholar] [CrossRef]
- Stintzing, F.C.; Schieber, A.; Carle, R. Identification of Betalains from Yellow Beet (Beta vulgaris L.) and Cactus Pear [Opuntia ficus-indica (L.) Mill.] by High-Performance Liquid Chromatography−Electrospray Ionization Mass Spectrometry. J. Agric. Food Chem. 2002, 50, 2302–2307. [Google Scholar] [CrossRef]
- González-Ponce, H.A.; Martínez-Saldaña, M.C.; Tepper, P.G.; Quax, W.J.; Buist-Homan, M.; Faber, K.N.; Moshage, H. Betacyanins, major components in Opuntia red-purple fruits, protect against acetaminophen-induced acute liver failure. Food Res. Int. 2020, 137, 109461. [Google Scholar] [CrossRef]
- Prieto-Santiago, V.; Cavia, M.M.; Alonso-Torre, S.R.; Carrillo, C. Relationship between color and betalain content in different thermally treated beetroot products. J. Food Sci. Technol. 2020, 57, 3305–3313. [Google Scholar] [CrossRef] [PubMed]
- Silva, J.P.P.; Bolanho, B.C.; Stevanato, N.; Massa, T.B.; Silva, C. Ultrasound-assisted extraction of red beet pigments (Beta vulgaris L.): Influence of operational parameters and kinetic modeling. J. Food Process. Preserv. 2020, 44, e14762. [Google Scholar] [CrossRef]
- Masithoh, R.E.; Pahlawan, M.F.R.; Arifani, E.N.; Amanah, H.Z.; Cho, B.K. Determination of the Betacyanin and Betaxanthin Contents of Red Beet (Beta vulgaris) Powder Using Partial Least Square Regression Based on Visible-Near Infrared Spectra. Trends Sci. 2024, 21, 7639. [Google Scholar] [CrossRef]
- Chhikara, N.; Kushwaha, K.; Sharma, P.; Gat, Y.; Panghal, A. Bioactive compounds of beetroot and utilization in food processing industry: A critical review. Food Chem. 2019, 272, 192–200. [Google Scholar] [CrossRef] [PubMed]
- Attia, G.Y.; Moussa, M.M.; Sheashea, E.E.D.R. Characterization of red pigments extracted from red beet (Beta vulgaris, L.) and its potential uses as antioxidant and natural food colorants. Egypt. J. Agric. Res. 2013, 91, 1095–1110. [Google Scholar] [CrossRef]
- Herbach, K.M.; Rohe, M.; Stintzing, F.C.; Carle, R. Structural and chromatic stability of purple pitaya (Hylocereus polyrhizus [Weber] Britton & Rose) betacyanins as affected by the juice matrix and selected additives. Food Res. Int. 2006, 39, 667–677. [Google Scholar] [CrossRef]
- Otalora, C.M.; Bonifazi, E.; Fissore, E.N.; Basanta, F.; Gerschenson, L.N. Thermal Stability of Betalains in By-Products of the Blanching and Cutting of Beta vulgaris L. var conditiva. Pol. J. Food Nutr. Sci. 2020, 70, 15–24. [Google Scholar] [CrossRef]
- Lombardelli, C.; Benucci, I.; Mazzocchi, C.; Esti, M. Betalain Extracts from Beetroot as Food Colorants: Effect of Temperature and UV-Light on Storability. Plant Foods Hum. Nutr. 2021, 76, 347–353. [Google Scholar] [CrossRef]
- Cheng, J.; Ma, Y.; Li, X.; Yan, T.; Cui, J. Effects of milk protein-polysaccharide interactions on the stability of ice cream mix model systems. Food Hydrocoll. 2015, 45, 327–336. [Google Scholar] [CrossRef]
- Rodríguez-Sánchez, J.A.; Victoria, M.T.C.Y.; Barragán-Huerta, B.E. Betaxanthins and antioxidant capacity in Stenocereus pruinosus: Stability and use in food. Food Res. Int. 2017, 91, 63–71. [Google Scholar] [CrossRef]




| Betalains Extract | Yield (mL/100 g FW) | Ph | Betaxanthins (mg/g) | Betacyanins (mg/g) | Total Betalains (mg/g) | °Bx | TDS (g/L) |
|---|---|---|---|---|---|---|---|
| RB | 30 | 6.7 ± 0.01 | 392.3 ± 2.7 | 522.2 ± 6.2 | 914.5 ± 8.9 | 12 ± 0.1 | 94.7 ± 1 |
| RBA | 30 | 4.3 ± 0.01 | 666.73 ± 5.2 | 1068.07 ± 8.8 | 1734.8 ± 14 | 12 ± 0.5 | 94.6 ± 2 |
| RBC | 6 | 6.5 ± 0.02 | 267.11 ± 1 | ND | 267.1 ± 1 | 4 ± 1 | 44 ± 2 |
| RBAC | 6 | 4.3 ± 0.3 | ND | 2866.97 ± 5.04 | 2866.9 ± 5.04 | 61 ± 1 | 243.1 ± 4 |
| YB | 80 | 6.8 ± 0.01 | 86.4 ± 0.63 | ND | 86.4 ± 0.63 | 12 ± 0.1 | 15 ± 1 |
| YBA | 80 | 4.1 ± 0.1 | 105.94 ± 0.29 | ND | 105.9 ± 0.29 | 12 ± 0.1 | 34.2 ± 1 |
| YBC | 16 | 6.8 ± 0.1 | ND | ND | ND | 4 ± 0.1 | 7 ± 1 |
| YBAC | 16 | 4.5 ± 0.2 | 776.38 ± 0.35 | ND | 776.3 ± 0.35 | 61 ± 0.1 | 68.7 ± 1 |
| PB | 44 | 5.7 ± 0.5 | ND | 193.2 ± 13.42 | 193.2 ± 13.42 | 12 ± 0.5 | 111.6 ± 1 |
| PBA | 44 | 4.1 ± 0.3 | ND | 223.9 ± 13.24 | 223.9 ± 13.24 | 11.5 ± 1 | 185.5 ± 3 |
| PBC | 9 | 6.4 ± 0.5 | ND | 83.6 ± 0.43 | 83.6 ± 0.43 | 27.4 ± 1 | 189.2 ± 2 |
| PBAC | 9 | 4.3 ± 1 | ND | 433.9 ± 12 | 433.9 ± 12 | 10 ± 2 | 237.2 ± 4 |
| Source | Shelf-Life (Storage) | Betalains Content (mg/g) | |||
|---|---|---|---|---|---|
| Red beetroot | Extracts | RBAC | RB | RBA | RBC |
| t = 0 days | 2867 ± 5 | 914 ± 9 | 1735 ± 14 | 267 ± 1 | |
| t = 180 days | 2485 ± 1 | 0 | 693.9 ± 14 | 0 | |
| Betalains maintenance % after 180 days of storage | 87 | 0 | 40 | 0 | |
| Yellow beetroot | Extracts | YBAC | YB | YBA | YBC |
| t = 0 days | 776 ± 1 | 86 ± 1 | 106 ± 1 | 0 | |
| t = 180 days | 791 ± 1 | 0 | 0 | 0 | |
| Betalains maintenance % after 180 days of storage | 95 | 0 | 0 | 0 | |
| Purple prickly pear | Extracts | PBAC | PB | PBA | PBC |
| t = 0 days | 434 ± 12 | 193 ± 13 | 224 ± 13 | 84 ± 0.5 | |
| t = 180 days | 177 ± 5 | 44 ± 2 | 78.5 ± 2 | 0 | |
| Betalains maintenance % after 180 days of storage | 50 | 23 | 35 | 0 | |
| Betalain Extracts | RBAC | YBAC | PBAC | |||||||
|---|---|---|---|---|---|---|---|---|---|---|
| Exposure Factors | Order | Betalains (mg/g) | Betalains Retention (%) | Color Difference ΔE | Betalains (mg/g) | Betalains Retention (%) | Color Difference ΔE | Betalains (mg/g) | Betalains Retention (%) | Color Difference ΔE |
| pH | 4 | 2867 ± 0.5 | 100 | 0 | 776 ± 0.3 | 100 | 0 | 434 ± 0.3 | 100 | 0 |
| 7 | 1442 ± 0.2 | 50 | 27 | 727 ± 0.5 | 94 | 10 | 420 ± 0.1 | 97 | 10 | |
| 8 | 1021 ± 0.1 | 36 | 60 | 696 ± 0.3 | 90 | 15 | 425 ± 0.6 | 60 | 49 | |
| 9 | 501 ± 0.1 | 18 | 72 | 672 ± 0.8 | 87 | 25 | 421 ± 0.4 | 47 | 57 | |
| Temperature (°C) | 20 | 2801 ± 0.5 | 98 | 8 | 776 ± 0.3 | 100 | 0 | 115 ± 0.5 | 91 | 86 |
| 90 | 2437 ± 0.6 | 85 | 38 | 776 ± 0.3 | 100 | 0 | 75 ± 0.3 | 85 | 90 | |
| 100 | 1581 ± 0.5 | 55 | 53 | 776 ± 0.3 | 100 | 0 | 14 ± 0.1 | 50 | >100 | |
| 125 | 433 ± 0.5 | 20 | 74 | 776 ± 0.3 | 100 | 0 | 5 ± 0.1 | 1 | >100 | |
| Oxigen and light (Days) | 0 | 2867 ± 0.2 | 100 | 0 | 776 ± 0.3 | 100 | 0 | 434 ± 0.4 | 100 | 0 |
| 10 | 2181 ± 1.3 | 76 | 35 | 384 ± 0.7 | 50 | 40 | 286 ± 1.6 | 66 | 26 | |
| 20 | 800 ± 1.6 | 250 | 75 | 297 ± 2.9 | 38 | 50 | 286 ± 2.1 | 56 | 32 | |
| pH | T (°C) | Oxigen/Ligth (days) | |
|---|---|---|---|
| RBAC | ![]() | ![]() | ![]() |
| PBAC | ![]() | ![]() | ![]() |
| YBAC | ![]() | ![]() | ![]() |
| Sample | Images of Pigmented Cotage Cheese | Total Betalains in Cotage Cheese (mg/g) | Color Maintanance in Cotage Cheese | |||
|---|---|---|---|---|---|---|
| Time (days) | 0 | 10 | 0 | 10 | 0 | 10 |
| CCH + RBAC | ![]() | ![]() | 56 ± 0.03 | 52 ± 0.04 | ||
| CCH + YBAC | ![]() | ![]() | 31 ± 0.39 | 19 ± 0.7 | ||
| CCH + PBAC | ![]() | ![]() | 45 ± 0.39 | 38 ± 0.83 | ||
Disclaimer/Publisher’s Note: The statements, opinions and data contained in all publications are solely those of the individual author(s) and contributor(s) and not of MDPI and/or the editor(s). MDPI and/or the editor(s) disclaim responsibility for any injury to people or property resulting from any ideas, methods, instructions or products referred to in the content. |
© 2025 by the authors. Licensee MDPI, Basel, Switzerland. This article is an open access article distributed under the terms and conditions of the Creative Commons Attribution (CC BY) license (https://creativecommons.org/licenses/by/4.0/).
Share and Cite
López-Solórzano, E.; Muro, C.; Perez, Y.A.; Guadarrama-Lezama, A.Y.; Gutiérrez-Cortez, E.; Urrieta, J.M. Conservation Analysis and Colorimetric Characterization of Betalain Extracts from the Peel of Red Beetroot, Golden Beetroot, and Prickly Pear Applied to Cottage Cheese. Foods 2025, 14, 228. https://doi.org/10.3390/foods14020228
López-Solórzano E, Muro C, Perez YA, Guadarrama-Lezama AY, Gutiérrez-Cortez E, Urrieta JM. Conservation Analysis and Colorimetric Characterization of Betalain Extracts from the Peel of Red Beetroot, Golden Beetroot, and Prickly Pear Applied to Cottage Cheese. Foods. 2025; 14(2):228. https://doi.org/10.3390/foods14020228
Chicago/Turabian StyleLópez-Solórzano, Elizabeth, Claudia Muro, Yolanda Alvarado Perez, Andrea Y. Guadarrama-Lezama, Elsa Gutiérrez-Cortez, and Juan Manuel Urrieta. 2025. "Conservation Analysis and Colorimetric Characterization of Betalain Extracts from the Peel of Red Beetroot, Golden Beetroot, and Prickly Pear Applied to Cottage Cheese" Foods 14, no. 2: 228. https://doi.org/10.3390/foods14020228
APA StyleLópez-Solórzano, E., Muro, C., Perez, Y. A., Guadarrama-Lezama, A. Y., Gutiérrez-Cortez, E., & Urrieta, J. M. (2025). Conservation Analysis and Colorimetric Characterization of Betalain Extracts from the Peel of Red Beetroot, Golden Beetroot, and Prickly Pear Applied to Cottage Cheese. Foods, 14(2), 228. https://doi.org/10.3390/foods14020228
















