Development and Optimization of a Real-Time Monitoring System of Small-Scale Multi-Purpose Juice Extractor
Abstract
1. Introduction
2. Materials and Methods
2.1. System Development
2.1.1. Juicing Machine Description
2.1.2. Designing the Monitoring System
2.1.3. Operating the Monitoring System
2.2. Experiment
2.2.1. Raw Materials
2.2.2. Experimental Design
2.2.3. Experimental Operation and Data Acquisition
2.3. Data Analysis and Optimization
2.3.1. Data Preprocessing
2.3.2. Optimization Using Response Surface Methodology (RSM)
3. Results
3.1. Juice Extraction Monitoring and Data
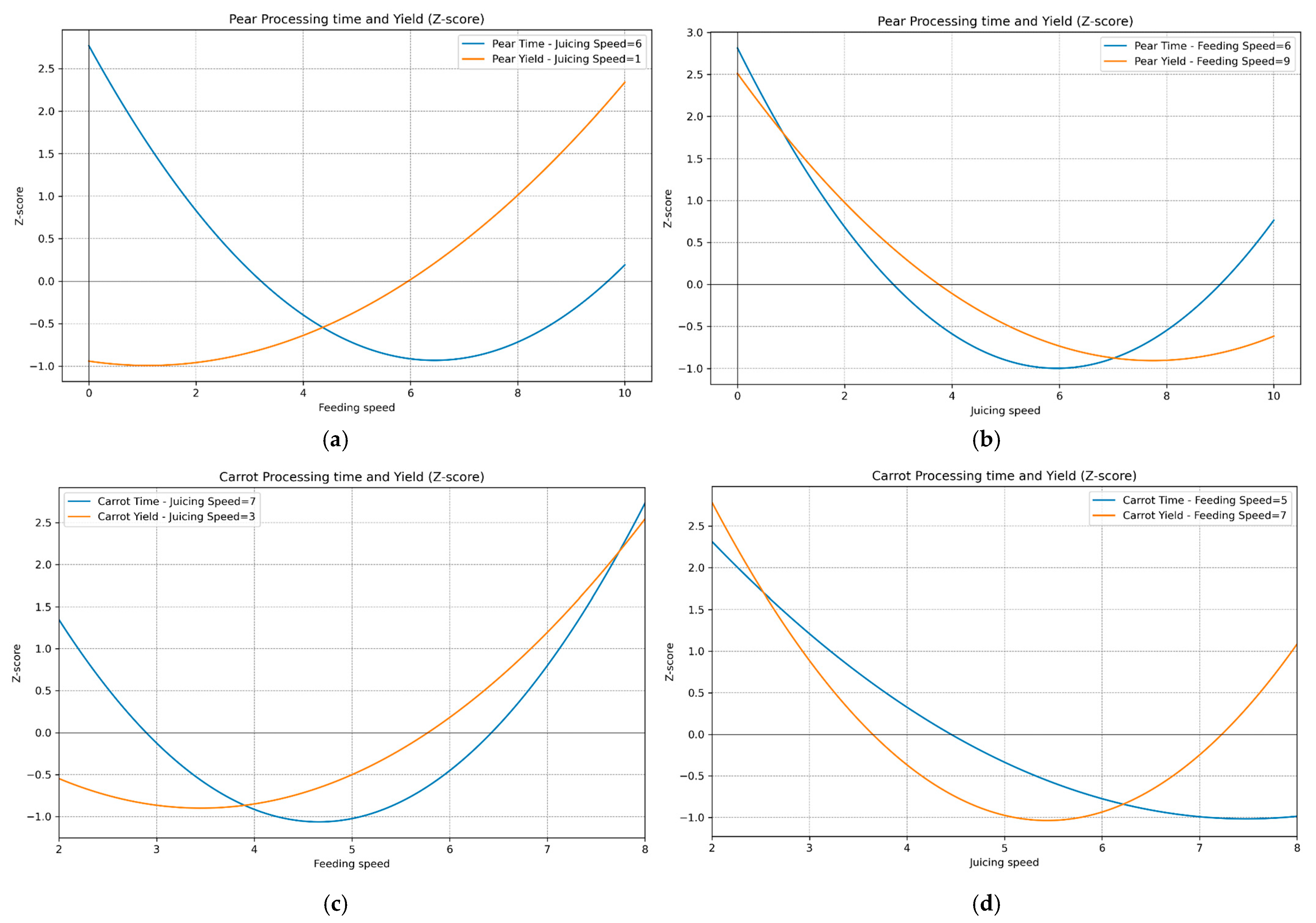
3.2. Optimization of Yield and Processing Time
3.3. Changes in Optimal Yield and Processing Time by Screw Speeds
4. Discussion
5. Conclusions
Author Contributions
Funding
Institutional Review Board Statement
Informed Consent Statement
Data Availability Statement
Conflicts of Interest
References
- Baker, P.; Machado, P.; Santos, T.; Sievert, K.; Backholer, K.; Hadjikakou, M.; Russell, C.; Huse, O.; Bell, C.; Scrinis, G.; et al. Ultra-Processed Foods and The Nutrition Transition: Global, Regional and National Trends, Food Systems Transformations and Political Economy Drivers. Obes. Rev. 2020, 21, e13126. [Google Scholar] [CrossRef]
- Putnam, J.J.; Allshouse, J.E. Food Consumption, Prices, and Expenditures, 1970–1997; Economic Research Service, U.S. Department of Agriculture: Washington, DC, USA, 1999.
- O’Neil, C.E.; Nicklas, T.A.; Zanovec, M.; Fulgoni, V.L. Diet Quality Is Positively Associated with 100% Fruit Juice Consumption in Children and Adults in the United States: NHANES 2003–2006. Nutr. J. 2011, 10, 17. [Google Scholar] [CrossRef] [PubMed]
- Priyadarshini, A.; Priyadarshini, A. Chapter 2—Market Dimensions of the Fruit Juice Industry. In Fruit Juices; Rajauria, G., Tiwari, B.K., Eds.; Academic Press: San Diego, CA, USA, 2018; pp. 15–32. [Google Scholar]
- Lan, T.; Wang, J.; Bao, S.; Zhao, Q.; Sun, X.; Fang, Y.; Ma, T.; Liu, S. Effects and Impacts of Technical Processing Units on the Nutrients and Functional Components of Fruit and Vegetable Juice. Food Res. Int. 2023, 168, 112784. [Google Scholar] [CrossRef]
- Frank, J.; Wheelock, V. International Trends in Food Consumption. Br. Food J. 1988, 90, 22–29. [Google Scholar] [CrossRef]
- Nielsen, S.J.; Popkin, B.M. Changes in Beverage Intake between 1977 and 2001. Am. J. Prev. Med. 2004, 27, 205–210. [Google Scholar] [CrossRef] [PubMed]
- Otles, S.; Sakalli, A. Industry 4.0: The Smart Factory of the Future in Beverage Industry. In Production and Management of Beverages; Elsevier: Amsterdam, The Netherlands, 2019. [Google Scholar]
- Chauhan, A.; Brouwer, B.; Westra, E. Robotics for a Quality-Driven Post-Harvest Supply Chain. Curr. Robot. Rep. 2022, 3, 39–48. [Google Scholar] [CrossRef]
- Kasera, R.K.; Gour, S.; Acharjee, T. A Comprehensive Curvey on Iot and AI Based Applications in Different Pre-Harvest, During-Harvest and Post-Harvest Activities of Smart Agriculture. Comput. Electron. Agric. 2024, 216, 108522. [Google Scholar] [CrossRef]
- Khaksar, G.; Assatarakul, K.; Sirikantaramas, S. Effect of Cold-Pressed and Normal Centrifugal Juicing on Quality Attributes of Fresh Juices: Do Cold-Pressed Juices Harbor a Superior Nutritional Quality and Antioxidant Capacity? Heliyon 2019, 5, e01917. [Google Scholar] [CrossRef] [PubMed]
- Wilczyński, K.; Kobus, Z.; Dziki, D. Effect of Press Construction on Yield and Quality of Apple Juice. Sustainability 2019, 11, 3630. [Google Scholar] [CrossRef]
- Majaliwa, N.; Kibazohi, O.; Alminger, M. Optimization of Process Parameters for Mechanical Extraction of Banana Juice Using Response Surface Methodology. J. Food Sci. Technol. 2019, 56, 4068–4075. [Google Scholar] [CrossRef] [PubMed]
- Adiamo, O.Q.; Ghafoor, K.; Al-Juhaimi, F.; Babiker, E.E.; Mohamed Ahmed, I.A. Thermosonication Process for Optimal Functional Properties in Carrot Juice Containing Orange Peel and Pulp Extracts. Food Chem. 2018, 245, 79–88. [Google Scholar] [CrossRef]
- Takenaka, M.; Nanayama, K.; Isobe, S.; Ozaki, K.; Miyagi, K.; Sumi, H.; Toume, Y.; Morine, S.; Ohta, H. Effect of Extraction Method on Yield and Quality of Citrus Depressa Juice. Food Sci. Technol. Res. 2007, 13, 281–285. [Google Scholar] [CrossRef][Green Version]
- Mortimore, S.; Wallace, C. HACCP: A Practical Approach; Springer Science & Business Media: Berlin/Heidelberg, Germany, 2013. [Google Scholar]
- Mendes Lopes, M.L.; Miguel, M.A.L.; Fialho, E.; Valente-Mesquita, V.L. Grape Juice Obtained Using Steam Extraction and Other Small-scale Extraction Methods: Phenolic Content, Antioxidant Capacity and Stability during Storage. Int. J. Food Sci. Technol. 2016, 51, 1696–1702. [Google Scholar] [CrossRef]
- Purkiewicz, A.; Ciborska, J.; Tańska, M.; Narwojsz, A.; Starowicz, M.; Przybyłowicz, K.E.; Sawicki, T. The Impact of the Method Extraction and Different Carrot Variety on the Carotenoid Profile, Total Phenolic Content and Antioxidant Properties of Juices. Plants 2020, 9, 1759. [Google Scholar] [CrossRef] [PubMed]
- Kim, H.S.; Oh, K.Y.; Lee, S.M.; Kim, J.Y.; Lee, S.H.; Jang, J.S.; Lee, M.H. Effect of Extraction Methods on the Quality of Pomegranate Juice and Physiological Activity. J. Korean Soc. Food Sci. Nutr. 2021, 50, 136–148. [Google Scholar] [CrossRef]
- Kuswandi, B.; Jayus; Oktaviana, R.; Abdullah, A.; Heng, L.Y. A Novel On-Package Sticker Sensor Based on Methyl Red for Real-Time Monitoring of Broiler Chicken Cut Freshness. Packag. Technol. Sci. 2014, 27, 69–81. [Google Scholar] [CrossRef]
- Sun, Q.; Zhang, M.; Yang, P. Combination of LF-NMR and BP-ANN to Monitor Water States of Typical Fruits and Vegetables during Microwave Vacuum Drying. LWT 2019, 116, 108548. [Google Scholar] [CrossRef]
- Verboven, P.; Defraeye, T.; Datta, A.K.; Nicolai, B. Digital Twins of Food Process Operations: The next Step for Food Process Models? Curr. Opin. Food Sci. 2020, 35, 79–87. [Google Scholar] [CrossRef]
- Vashishth, R.; Pandey, A.K.; Kaur, P.; Semwal, A.D. Smart Technologies in Food Manufacturing. In Smart and Sustainable Food Technologies; Springer: Singapore, 2022; pp. 125–155. [Google Scholar] [CrossRef]
- Misra, N.N.; Dixit, Y.; Al-Mallahi, A.; Bhullar, M.S.; Upadhyay, R.; Martynenko, A. IoT, big data and artificial intelligence in agriculture and food industry. IEEE Internet Things J. 2020, 9, 6305–6324. [Google Scholar] [CrossRef]
- Hassoun, A.; Aït-Kaddour, A.; Abu-Mahfouz, A.M.; Rathod, N.B.; Bader, F.; Barba, F.J.; Biancolillo, A.; Cropotova, J.; Galanakis, C.M.; Jambrak, A.R.; et al. The fourth industrial revolution in the food industry—Part I: Industry 4.0 technologies. Crit. Rev. Food Sci. Nutr. 2022, 63, 6547–6563. [Google Scholar] [CrossRef]
- Ropkins, K.; Beck, A.J. Evaluation of Worldwide Approaches to the Use of HACCP to Control Food Safety. Trends Food Sci. Technol. 2000, 11, 10–21. [Google Scholar] [CrossRef]
- Bolton, W. Programmable Logic Controllers; Newnes: Oxford, UK, 2015. [Google Scholar]
- Baranski, R.; Maksylewicz-Kaul, A.; Nothnagel, T.; Cavagnaro, P.F.; Simon, P.W.; Grzebelus, D. Genetic Diversity of Carrot (Daucus carota L.) Cultivars Revealed by Analysis of SSR Loci. Genet. Resour. Crop. Evol. 2012, 59, 163–170. [Google Scholar] [CrossRef]
- Silva, G.J.; Souza, T.M.; Barbieri, R.L.; Costa de Oliveira, A. Origin, Domestication, and Dispersing of Pear (Pyrus spp.). Adv. Agric. 2014, 2014, 541097. [Google Scholar] [CrossRef]
- García, S.; Luengo, J.; Herrera, F. Data Preprocessing in Data Mining; Intelligent Systems Reference Library; Springer: Cham, NY, USA, 2015; Volume 72. [Google Scholar]
- Ling, R.F. Residuals and Influence in Regression. Technometrics 1984, 26, 413–415. [Google Scholar] [CrossRef]
- Pukelsheim, F. The Three Sigma Rule. Am. Stat. 1994, 48, 88–91. [Google Scholar] [CrossRef]
- Khuri, A.I.; Mukhopadhyay, S. Response Surface Methodology. Wiley Interdiscip. Rev. Comput. Stat. 2010, 2, 128–149. [Google Scholar] [CrossRef]
- Kim, D.G.; Kim, G.W.; Lee, S.H.; Park, J.T.; Lee, W.H. Optimization of Growth Conditions for Forage Production in a Fresh Forage Growing System. Emir. J. Food Agric. 2019, 31, 759–767. [Google Scholar] [CrossRef]
- Lenth, R.V. Response-Surface Methods in R, Using Rsm. J. Stat. Softw. 2009, 32, 1–17. [Google Scholar] [CrossRef]
- Team RC. R: A Language and Environment for Statistical Computing Vienna, Austria: R Foundation for Statistical Computing. 2023. Available online: https://www.R-project.org/ (accessed on 11 October 2023).
- Ben Ayed, R.; Hanana, M. Artificial Intelligence to Improve the Food and Agriculture Sector. J. Food Qual. 2021, 2021, 5584754. [Google Scholar] [CrossRef]
- Nasirahmadi, A.; Hensel, O. Toward the Next Generation of Digitalization in Agriculture Based on Digital Twin Paradigm. Sensors 2022, 22, 498. [Google Scholar] [CrossRef]
- Rejeb, A.; Rejeb, K.; Abdollahi, A.; Al-Turjman, F.; Treiblmaier, H. The Interplay between the Internet of Things and Agriculture: A Bibliometric Analysis and Research Agenda. Internet Things 2022, 19, 100580. [Google Scholar] [CrossRef]
- Duguma, A.L.; Bai, X. Contribution of Internet of Things (IoT) in Improving Agricultural Systems. Int. J. Environ. Sci. Technol. 2024, 21, 2195–2208. [Google Scholar] [CrossRef]
- Obaideen, K.; Yousef, B.A.A.; AlMallahi, M.N.; Tan, Y.C.; Mahmoud, M.; Jaber, H.; Ramadan, M. An Overview of Smart Irrigation Systems Using IoT. Energy Nexus. 2022, 7, 100124. [Google Scholar] [CrossRef]
- Javaid, M.; Haleem, A.; Khan, I.H.; Suman, R. Understanding the Potential Applications of Artificial Intelligence in Agriculture Sector. Advanced Agrochem. 2023, 2, 15–30. [Google Scholar] [CrossRef]
- Kraus, A.; Popek, S. Structural Model of Fruit Juice Quality Determining Factors in Product Design and Development. Br. Food J. 2013, 115, 865–875. [Google Scholar] [CrossRef]
- Al-Najjar, B. Total Quality Maintenance. J. Qual. Maint. Eng. 1996, 2, 4–20. [Google Scholar] [CrossRef]
- Isobe, S.; Zuber, F.; Manebog, E.S.; Lite, L.; Uemura, K.; Noguchi, A. Solid-Liquid Separation of Agricultural Products Using Twin Screw Press and Electro-Osmosis. Jpn. Agric. Res. Q. 1997, 31, 137–146. [Google Scholar]
- Takenaka, M.; Hiyane, R.; Nanayama, K.; Isobe, S. Investigation on Processing Thinned-out Young Bitter Gourds by Twin-Screw Press. Nippon. Shokuhin Kagaku Kogaku Kaishi. 2005, 52, 542–544. [Google Scholar] [CrossRef]
- Muchiri, P.; Pintelon, L. Performance Measurement Using Overall Equipment Effectiveness (OEE): Literature Review and Practical Application Discussion. Int. J. Prod. Res. 2008, 46, 3517–3535. [Google Scholar] [CrossRef]
- Farnworth, E.R.; Lagacé, M.; Couture, R.; Yaylayan, V.; Stewart, B. Thermal Processing, Storage Conditions, and the Composition and Physical Properties of Orange Juice. Food Res. Int. 2001, 34, 25–30. [Google Scholar] [CrossRef]
- Vursavuş, K.; Kelebek, H.; Selli, S. A Study on Some Chemical and Physico-Mechanic Properties of Three Sweet Cherry Varieties (Prunus avium L.) in Turkey. J. Food Eng. 2006, 74, 568–575. [Google Scholar] [CrossRef]
- Haq, R.-u.; Kumar, P.; Prasad, K. Physico-Chemical, Antioxidant and Bioactive Changes in Cortex Core Sections of Carrot (Daucus carota Var. Pusa Rudhira). J. Food Meas. Charact. 2016, 10, 701–708. [Google Scholar] [CrossRef]
- Bartley, I.M.; Knee, M.; Casimir, M. Fruit Softening I. Changes in Cell Wall Composition and Endo-Polygalacturonase in Ripening Pears. J. Exp. Bot. 1982, 33, 1248–1255. [Google Scholar] [CrossRef]
- Tamura, S.; Senda, T. Fine Structure of the Cell Wall of Carrot Parenchyma Revealed by Quick-Freeze, Deep-Etch Electron Microscopy. Microscopy 1992, 41, 91–98. [Google Scholar] [CrossRef]
- Baker, R.A. Reassessment of Some Fruit and Vegetable Pectin Levels. J. Food Sci. 1997, 62, 225–229. [Google Scholar] [CrossRef]
- Weier, T.E. A Cytological Study of the Carotene in the Root of Daucus carota Under Various Experimental Treatments. Am. J. Bot. 1942, 29, 35–44. [Google Scholar] [CrossRef]
- Sugiura, T.; Honjo, H.; Horimoto, M. Measuring Fruit Cell Size and Estimating Changes in the Number of Fruit Cells by Replica or Video Microscope. HortScience 1995, 30, 270–271. [Google Scholar] [CrossRef]
- Bates, R.P.; Morris, J.R.; Crandall, P.G. Principles and Practices of Small and Medium Scale Fruit Juice Processing; Food and Agricultural Organization of the United Nations: Rome, Italy, 2001; Volume 146. [Google Scholar]
- Upadhyay, A.; Sharma, H.K.; Sarkar, B.C. Optimization of Carrot Pomace Powder Incorporation on Extruded Product Quality by Response Surface Methodology. J. Food Qual. 2010, 33, 350–369. [Google Scholar] [CrossRef]
- Manosa, N.A. Influence of Temperature on Yield and Quality of Carrots (Daucus Carota Var. Sativa); Department of Soil, Crop and Climate Sciences University of the Free State Bloemfontein Faculty of Natural and Agricultural Sciences: Bloemfontein, South Africa, 2011. [Google Scholar]
- Massa, G.D.; Chase, E.; Santini, J.B.; Mitchell, C.A. Temperature Affects Long-Term Productivity and Quality Attributes of Day-Neutral Strawberry for a Space Life-Support System. Life Sci. Space Res. 2015, 5, 39–46. [Google Scholar] [CrossRef] [PubMed]





| Materials | Factor | Descriptive Statistics | Value | Juicing Speed | Feeding Speed |
|---|---|---|---|---|---|
| Pear | Yield (%) | Maximum | 83.82 | 1 | 7 |
| Median | 77.38 | 7 | 5 | ||
| Minimum | 75.36 | 9 | 7 | ||
| Mean | 78.10 | - | - | ||
| Standard deviation | 2.23 | - | - | ||
| Time(s) | Maximum | 2163.7 | 1 | 1 | |
| Median | 570.1 | 3 | 5 | ||
| Minimum | 281.9 | 7 | 9 | ||
| Mean | 768.53 | - | - | ||
| Standard deviation | 502.15 | - | - | ||
| Carrot | Yield(%) | Maximum | 36.98 | 3 | 7 |
| Median | 33.56 | 3 | 3 | ||
| Minimum | 32.38 | 5 | 3 | ||
| Mean | 33.98 | - | - | ||
| Standard deviation | 1.62 | - | - | ||
| Time(s) | Maximum | 1530.8 | 3 | 7 | |
| Median | 828.1 | 5 | 3 | ||
| Minimum | 681.1 | 7 | 3 | ||
| Mean | 1008.16 | - | - | ||
| Standard deviation | 307.62 | - | - |
| Materials | Factor | Parameter | Estimate | Standard Error | t Value | Pr > |t| |
|---|---|---|---|---|---|---|
| Pear | Time | Intercept | 14,180.912 | 36.686 | 386.553 | <0.001 |
| X1 * | −1850.801 | 13.591 | −136.177 | <0.001 | ||
| X2 ** | −2631.888 | 13.757 | −191.309 | <0.001 | ||
| X1 X1 | 170.419 | 1.277 | 133.501 | <0.001 | ||
| X1 X2 | −29.700 | 0.989 | −30.039 | <0.001 | ||
| X2 X2 | 217.913 | 1.326 | 164.340 | <0.001 | ||
| Yield | Intercept | 83.571 | 0.01 | 8498.348 | <0.001 | |
| X1 | −1.976 | 0.004 | −542.267 | <0.001 | ||
| X2 | −0.011 | 0.0003 | −4.059 | <0.001 | ||
| X1 X1 | 0.134 | 0.0003 | 391.039 | <0.001 | ||
| X1 X2 | −0.011 | 0.0003 | −42.483 | <0.001 | ||
| X2 X2 | 0.010 | 0.0004 | 27.500 | <0.001 | ||
| Carrot | Time | Intercept | 22,807.938 | 371.212 | 61.442 | <0.001 |
| X1 | −1861.500 | 109.672 | −16.973 | <0.001 | ||
| X2 | −6130.000 | 105.581 | −58.060 | <0.001 | ||
| X1 X1 | 124.50 | 11.087 | 11.229 | <0.001 | ||
| X2 X2 | 657.562 | 10.444 | 62.961 | <0.001 | ||
| Yield | Intercept | 41.668 | 0.205 | 266.346 | <0.001 | |
| X1 | −2.23 | 0.058 | −144.824 | <0.001 | ||
| X2 | −1.92 | 0.061 | −17.262 | <0.001 | ||
| X1 X1 | 0.205 | 0.006 | 131.153 | <0.001 | ||
| X2 X2 | 0.278 | 0.006 | 16.934 | <0.001 |
| Materials | Factor | Juicing Speed (rpm) | Feeding Speed (rpm) |
| Pear | Time | 5.992 (1003.1) | 6.447 (1115.3) |
| Yield | 1 (167.4) | 9 (1506.6) | |
| Carrot | Time | 7.476 (1251.5) | 4.661 (806.4) |
| Yield | 3 (502.2) | 7 (1211) |
Disclaimer/Publisher’s Note: The statements, opinions and data contained in all publications are solely those of the individual author(s) and contributor(s) and not of MDPI and/or the editor(s). MDPI and/or the editor(s) disclaim responsibility for any injury to people or property resulting from any ideas, methods, instructions or products referred to in the content. |
© 2025 by the authors. Licensee MDPI, Basel, Switzerland. This article is an open access article distributed under the terms and conditions of the Creative Commons Attribution (CC BY) license (https://creativecommons.org/licenses/by/4.0/).
Share and Cite
Kim, T.-H.; Jung, J.-M.; Lee, W.-H. Development and Optimization of a Real-Time Monitoring System of Small-Scale Multi-Purpose Juice Extractor. Foods 2025, 14, 227. https://doi.org/10.3390/foods14020227
Kim T-H, Jung J-M, Lee W-H. Development and Optimization of a Real-Time Monitoring System of Small-Scale Multi-Purpose Juice Extractor. Foods. 2025; 14(2):227. https://doi.org/10.3390/foods14020227
Chicago/Turabian StyleKim, Tae-Hyeon, Jae-Min Jung, and Wang-Hee Lee. 2025. "Development and Optimization of a Real-Time Monitoring System of Small-Scale Multi-Purpose Juice Extractor" Foods 14, no. 2: 227. https://doi.org/10.3390/foods14020227
APA StyleKim, T.-H., Jung, J.-M., & Lee, W.-H. (2025). Development and Optimization of a Real-Time Monitoring System of Small-Scale Multi-Purpose Juice Extractor. Foods, 14(2), 227. https://doi.org/10.3390/foods14020227

