Optimizing Non-Thermal Magnetic Field to Minimize Weight Loss and Tissue Degradation: Identifying Possible Enzyme Inhibition Mechanisms
Abstract
1. Introduction
2. Materials and Methods
2.1. Sample Preparation
2.2. Preliminary Experiments and Selection of Optimal Conditions of the MF Using an Orthogonal Array Design (OAD)
2.3. Quality Index
2.3.1. Appearance and Weight Loss Rate
2.3.2. Soluble Solids
2.4. Titratable Acidity
2.5. Tissue Degradation Enzyme Activity During Storage
2.5.1. PE Activity
2.5.2. PG Activity
2.5.3. Cx Activity
2.6. Enzyme Kinetics
2.7. Statistical Analysis
3. Results and Discussion
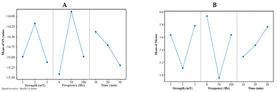
3.1. Optimization of the MF Treatment Using OAD
3.2. Effect of MF Treatment on Tomato Quality During Storage
3.2.1. Tomato Appearance
3.2.2. Weight Loss
3.2.3. Organic Acid
3.2.4. Soluble Solid
3.3. Effects of MF on the Tissue Degradation of Tomatoes During Storage and Enzyme Inhibition Mechanism
3.3.1. Activity of the PE Enzyme
3.3.2. Activity of the PG Enzyme
3.3.3. Activity of the Cx Enzyme
3.3.4. Enzyme Inhibition Mechanism
4. Conclusions
Author Contributions
Funding
Institutional Review Board Statement
Informed Consent Statement
Data Availability Statement
Acknowledgments
Conflicts of Interest
References
- Zhang, W.; Jiang, Y.; Zhang, Z. The Role of Different Natural Organic Acids in Postharvest Fruit Quality Management and Its Mechanism. Food Front. 2023, 4, 1127–1143. [Google Scholar] [CrossRef]
- Kwak, H.; Kim, J.; Lee, E.J.; Hyun, J. Enhanced Preservation of Climacteric Fruit with a Cellulose Nanofiber-Based Film Coating. ACS Omega 2024, 9, 1069–1076. [Google Scholar] [CrossRef] [PubMed]
- Hewitt, S.; Dhingra, A. Beyond Ethylene: New Insights Regarding the Role of Alternative Oxidase in the Respiratory Climacteric. Front. Plant Sci. 2020, 11, 543958. [Google Scholar] [CrossRef]
- Asrey, R.; Sharma, S.; Barman, K.; Prajapati, U.; Negi, N.; Meena, N.K. Biological and Postharvest Interventions to Manage the Ethylene in Fruit: A Review. Sustain. Food Technol. 2023, 1, 803–826. [Google Scholar] [CrossRef]
- Ren, Y.; Sun, P.; Wang, X.; Zhu, Z. Degradation of Cell Wall Polysaccharides and Change of Related Enzyme Activities with Fruit Softening in Annona Squamosa during Storage. Postharvest Biol. Technol. 2020, 166, 111203. [Google Scholar] [CrossRef]
- Fang, Y.; Wakisaka, M. A Review on the Modified Atmosphere Preservation of Fruits and Vegetables with Cutting-Edge Technologies. Agriculture 2021, 11, 992. [Google Scholar] [CrossRef]
- Gavahian, M. Opinion on the Prospects of Emerging Food Processing Technologies to Achieve Sustainability in the Industry by Reduced Energy Consumption, Waste Reduction and Valorisation, and Improved Food Nutrition. Int. J. Food Sci. Technol. 2024, 59, 8135–8140. [Google Scholar] [CrossRef]
- Nie, X.; Zuo, Z.; Zhou, L.; Gao, Z.; Cheng, L.; Wang, X.; Nie, L.; Huang, P.-H. Investigating the Effect of High-Voltage Electrostatic Field (HVEF) Treatment on the Physicochemical Characteristics, Bioactive Substances Content, and Shelf Life of Tomatoes. Foods 2024, 13, 2823. [Google Scholar] [CrossRef] [PubMed]
- Hsieh, C.; Lai, C.; Lee, C.; Ko, W. Effects of High-Voltage Electrostatic Fields on the Quality of Tilapia Meat during Refrigeration. J. Food Sci. 2011, 76, M312–M317. [Google Scholar] [CrossRef] [PubMed]
- Zhu, W.-L.; Chang, C.-K.; Tsai, S.-Y.; Gavahian, M.; Santoso, S.P.; Hsieh, C.-W. High Voltage Electric Field as a Green Technology Preserves the Appearance of Apple Juice during Cold Storage. Sustain. Chem. Pharm. 2024, 41, 101676. [Google Scholar] [CrossRef]
- Saletnik, B.; Zaguła, G.; Saletnik, A.; Bajcar, M.; Słysz, E.; Puchalski, C. Effect of Magnetic and Electrical Fields on Yield, Shelf Life and Quality of Fruits. Appl. Sci. 2022, 12, 3183. [Google Scholar] [CrossRef]
- Wang, S.; Zhang, L.; Wang, H.; Fan, W.; Hu, Y.; Tu, Z. Magnetic Field: A Non-Thermal Technology in Food Processing. Food Control 2024, 166, 110692. [Google Scholar] [CrossRef]
- Zhao, S.; Wu, J.; Guo, Z.; Wang, D.; Chen, J.; Liu, Q.; Ding, C.; Guo, L.; Tao, T. Magnetic Field Technology in Improving the Quality of Food Refrigeration and Freezing: Mechanisms, Applications, and Challenges. J. Stored Prod. Res. 2024, 106, 102254. [Google Scholar] [CrossRef]
- Xie, J. Effect of Magnetic Field-Assisted Cryogenic Storage Technology on Food Quality. Theor. Nat. Sci. 2024, 35, 126–133. [Google Scholar] [CrossRef]
- Liu, F.; Yang, N.; Zhang, L.; Cui, B.; Jin, Y.; Jin, Z.; Xu, X. Magnetic Field Delays the Senescence of Strawberries by Maintaining Energy State and Regulating Respiratory Metabolism. Postharvest Biol. Technol. 2023, 199, 112282. [Google Scholar] [CrossRef]
- Jin, Y.; Yang, N.; Tong, Q.; Xu, X. Effect of Rotating Magnetic Field and Flowing Ca2+ Solution on Calcium Uptake Rate of Fresh-Cut Apple. LWT—Food Sci. Technol. 2016, 66, 143–150. [Google Scholar] [CrossRef]
- Feng, T.; Zhang, M.; Jiang, Q.; Bhandari, B.; Chen, J. Effect of Magnetic Field on Quality Improvement of Medium-term Delivery Frozen Pepper. J. Food Process Eng. 2023, 46, e14353. [Google Scholar] [CrossRef]
- Jiang, H.; Hong, W.; Zhang, Y.; Liu, S.; Jiang, H.; Xia, S.; Si, X.; Li, B. Effects of Static Magnetic Field-Prolonged Supercooling Preservation on Blueberry Quality. Food Biosci. 2024, 59, 103771. [Google Scholar] [CrossRef]
- Qu, B.; Shao, G.; Yang, N.; Pan, K.; Xiao, Z.; Luo, Y. Revolutionizing Food Sustainability: Leveraging Magnetic Fields for Food Processing and Preservation. Trends Food Sci. Technol. 2024, 150, 104593. [Google Scholar] [CrossRef]
- Tao, J.; Zuo, J.; Watkins, C.B.; Bai, C.; He, X.; Liu, S.; Han, L.; Zhao, X.; Liu, Y.; Li, J.; et al. Low Storage Temperature Affects Quality and Volatile Compounds in Fresh Tomatoes. Food Chem. 2024, 460, 140400. [Google Scholar] [CrossRef] [PubMed]
- Al-Dairi, M.; Pathare, P.B.; Al-Yahyai, R. Chemical and Nutritional Quality Changes of Tomato during Postharvest Transportation and Storage. J. Saudi Soc. Agric. Sci. 2021, 20, 401–408. [Google Scholar] [CrossRef]
- Chang, C.-K.; Tsai, S.-Y.; Gavahian, M.; Cheng, K.-C.; Hou, C.-Y.; Yudhistira, B.; Lin, S.-H.; Santoso, S.P.; Hsieh, C.-W. Direct and Alternating Current Electric Fields Affect Pectin Esterase and Cellulase in Tomato (Solanum lycopersicum L.) Fruit during Storage. Postharvest Biol. Technol. 2023, 205, 112495. [Google Scholar] [CrossRef]
- Rodoni, L.; Casadei, N.; Concellón, A.; Chaves Alicia, A.R.; Vicente, A.R. Effect of Short-Term Ozone Treatments on Tomato (Solanum lycopersicum L.) Fruit Quality and Cell Wall Degradation. J. Agric. Food Chem. 2010, 58, 594–599. [Google Scholar] [CrossRef] [PubMed]
- Tang, Q.; Li, C.; Ge, Y.; Li, X.; Cheng, Y.; Hou, J.; Li, J. Exogenous Application of Melatonin Maintains Storage Quality of Jujubes by Enhancing Anti-Oxidative Ability and Suppressing the Activity of Cell Wall-Degrading Enzymes. LWT 2020, 127, 109431. [Google Scholar] [CrossRef]
- Ünal, M.Ü.; Şener, A. Extraction and Characterization of Pectin Methylesterase from Alyanak Apricot (Prunus armeniaca L.). J. Food Sci. Technol. 2015, 52, 1194–1199. [Google Scholar] [CrossRef] [PubMed][Green Version]
- Kicel, A.; Magiera, A.; Skrzywanek, M.; Malczuk, M.; Olszewska, M.A. The Inhibition of α-Glucosidase, α-Amylase and Protein Glycation by Phenolic Extracts of Cotoneaster Bullatus, Cotoneaster Zabelii, and Cotoneaster Integerrimus Leaves and Fruits: Focus on Anti-Hyperglycemic Activity and Kinetic Parameters. Molecules 2022, 27, 7081. [Google Scholar] [CrossRef]
- Sanad Alsbu, R.A.; Yarlagadda, P.; Karim, A. An Empirical Model for Predicting the Fresh Food Quality Changes during Storage. Foods 2023, 12, 2113. [Google Scholar] [CrossRef] [PubMed]
- Mahathaininwong, N.; Chucheep, T.; Thitithanakul, S.; Wandee, S.; Karrila, S.; Narakaew, J. Effect of Static Magnetic Field on Ripening of Thai Cavendish Bananas. J. Phys. Conf. Ser. 2019, 1380, 012049. [Google Scholar] [CrossRef]
- Zaguła, G.; Puchalski, C.; Czernicka, M.; Bajcar, M.; Saletnik, B.; Woźny, M.; Szeregii, E. The Magnetic Field Stimulation System Applied on Strawberry Fruits. An. Int. Q. J. 2017, 06, 117–122. [Google Scholar]
- Eshpulatov, N.; Yusupov, D.; Akabirov, L.; Dinikulov, D.; Toshmamatov, N. Investigation of the Influence of Microwave Energy on the Kinetics of the Release of Juice from Apples. IOP Conf. Ser. Earth Environ. Sci. 2022, 1112, 012081. [Google Scholar] [CrossRef]
- Gąstoł, M.; Błaszczyk, U. Effect of Magnetic Field and UV-C Radiation on Postharvest Fruit Properties. Agriculture 2024, 14, 1167. [Google Scholar] [CrossRef]
- Wei, L.; Yang, N.; Xu, X.; Huang, H.; Jin, Y. Application of Magnetic Field to Delay the Quality Changes by Regulating the Homeostasis of Energy Metabolism in Green Chili during Storage. Postharvest Biol. Technol. 2024, 213, 112948. [Google Scholar] [CrossRef]
- Zhao, Y.; Li, L.; Gao, S.; Wang, S.; Li, X.; Xiong, X. Postharvest Storage Properties and Quality Kinetic Models of Cherry Tomatoes Treated by High-Voltage Electrostatic Fields. LWT 2023, 176, 114497. [Google Scholar] [CrossRef]
- De Souza-Torres, A.; Sueiro-Pelegrín, L.; Zambrano-Reyes, M.; Macías-Socarras, I.; González-Posada, M.; García-Fernández, D. Extremely Low Frequency Non-Uniform Magnetic Fields Induce Changes in Water Relations, Photosynthesis and Tomato Plant Growth. Int. J. Radiat. Biol. 2020, 96, 951–957. [Google Scholar] [CrossRef] [PubMed]
- Nas, E.; Kara, F. Optimization of EDM Machinability of Hastelloy C22 Super Alloys. Machines 2022, 10, 1131. [Google Scholar] [CrossRef]
- Kou, X.; Feng, Y.; Yuan, S.; Zhao, X.; Wu, C.; Wang, C.; Xue, Z. Different Regulatory Mechanisms of Plant Hormones in the Ripening of Climacteric and Non-Climacteric Fruits: A Review. Plant Mol. Biol. 2021, 107, 477–497. [Google Scholar] [CrossRef] [PubMed]
- Lufu, R.; Ambaw, A.; Opara, U.L. Water Loss of Fresh Fruit Influencing Pre-Harvest, Harvest and Postharvest Factors. Sci Hortic. 2020, 272, 109519. [Google Scholar] [CrossRef]
- Feng, T.; Zhang, M.; Mujumdar, A.S.; Zhang, L. Effect of a Magnetic Field/Electrostatic Field on the Quality Attributes of Green Bell Peppers during Cool Chain Transportation. Sustain. Food Technol. 2023, 1, 582–589. [Google Scholar] [CrossRef]
- Batista-Silva, W.; Nascimento, V.L.; Medeiros, D.B.; Nunes-Nesi, A.; Ribeiro, D.M.; Zsögön, A.; Araújo, W.L. Modifications in Organic Acid Profiles During Fruit Development and Ripening: Correlation or Causation? Front. Plant Sci. 2018, 9, 1689. [Google Scholar] [CrossRef]
- Scalisi, A.; O’Connell, M.G. Relationships between Soluble Solids and Dry Matter in the Flesh of Stone Fruit at Harvest. Analytica 2021, 2, 14–24. [Google Scholar] [CrossRef]
- Saleem, M.S.; Ejaz, S.; Anjum, M.A.; Nawaz, A.; Naz, S.; Hussain, S.; Ali, S.; Canan, İ. Postharvest Application of Gum Arabic Edible Coating Delays Ripening and Maintains Quality of Persimmon Fruits during Storage. J. Food Process Preserv. 2020, 44, e14583. [Google Scholar] [CrossRef]
- Sun, P.; Liu, C.; Yu, C.; Zhou, J.; Ren, Y. Regulation Effect of Magnetic Field Combined with Low Temperature Storage on Postharvest Quality and Cell Wall Pectic-Polysaccharide Degradation of Clausena lansium (Lour.) Skeels. Food Chem. X 2024, 22, 101253. [Google Scholar] [CrossRef]
- Li, X.; Peng, W.; Zhang, M.; Zhao, Q.; Fang, Y.; Sun, X.; Ma, T. Mechanisms of Texture and Cell Microstructure Changes during Post-Ripening of ‘Cuixiang’ Kiwifruit. Postharvest Biol. Technol. 2024, 207, 112596. [Google Scholar] [CrossRef]
- Baek, Y.-J.; Park, S.W.; Lee, B.-R.; Yang, U.; Han, S.; Wi, S.G.; Lee, S.-H. Different Activities of Pectin-Degrading Enzymes Affecting the Growth of Asian Pears. Hortic. Sci. Technol. 2023, 41, 537–548. [Google Scholar] [CrossRef]
- Xu, Y.; Yang, C.; Zhang, Y.; Cao, Q.; Wan, C.; Chen, C.; Chen, J.; Huang, Z.; Gan, Z. Blue Light Treatment Delays Postharvest Ripening of Kiwifruit by Suppressing Ethylene Biosynthesis, Starch Degradation, and Cell Wall Metabolism. LWT 2024, 199, 116105. [Google Scholar] [CrossRef]
- Guo, X.; Li, Q.; Luo, T.; Han, D.; Zhu, D.; Wu, Z. Postharvest Calcium Chloride Treatment Strengthens Cell Wall Structure to Maintain Litchi Fruit Quality. Foods 2023, 12, 2478. [Google Scholar] [CrossRef]
- Sun, P.; Liu, Y.; Wang, W.; Song, G.; Ren, Y. Regulation Mechanism of Magnetic Field on Pectinase and Its Preliminary Application in Postharvest Sapodilla (Manilkara zapota). Food Chem. 2023, 409, 135300. [Google Scholar] [CrossRef] [PubMed]
- Valdivieso Ramirez, C.S.; Sanchez Gallego, J.E.; Gänzle, M.; Temelli, F.; Saldaña, M.D.A. Carboxylic Acid-Catalysed Hydrolysis of Polygalacturonic Acid in Subcritical Water Media. J. Supercrit. Fluids 2021, 169, 105103. [Google Scholar] [CrossRef]
- Li, D.; Li, L.; Luo, Z.; Lu, H.; Yue, Y. Effect of Nano-ZnO-Packaging on Chilling Tolerance and Pectin Metabolism of Peaches during Cold Storage. Sci. Hortic. 2017, 225, 128–133. [Google Scholar] [CrossRef]
- Xu, C.; Zhang, X.; Liang, J.; Fu, Y.; Wang, J.; Jiang, M.; Pan, L. Cell Wall and Reactive Oxygen Metabolism Responses of Strawberry Fruit during Storage to Low Voltage Electrostatic Field Treatment. Postharvest Biol. Technol. 2022, 192, 112017. [Google Scholar] [CrossRef]
- Chang, X.; Liang, Y.; Shi, F.; Guo, T.; Wang, Y. Biochemistry behind Firmness Retention of Jujube Fruit by Combined Treatment of Acidic Electrolyzed Water and High-Voltage Electrostatic Field. Food Chem. X 2023, 19, 100812. [Google Scholar] [CrossRef]
- Kassab, Z.; Bahloul, A.; Hassani, F.-Z.S.A.; Ablouh, E.-H.; Bouhfid, R.; Qaiss, A.E.K.; Sehaqui, H.; El Achaby, M. Structure and Properties of Cellulose and Its Derivatives; Springer: Singapore, 2023; pp. 443–463. [Google Scholar]
- Wang, B.-T.; Hu, S.; Yu, X.-Y.; Jin, L.; Zhu, Y.-J.; Jin, F.-J. Studies of Cellulose and Starch Utilization and the Regulatory Mechanisms of Related Enzymes in Fungi. Polymers 2020, 12, 530. [Google Scholar] [CrossRef] [PubMed]
- Pesaresi, A. Mixed and Non-Competitive Enzyme Inhibition: Underlying Mechanisms and Mechanistic Irrelevance of the Formal Two-Site Model. J. Enzym. Inhib. Med. Chem. 2023, 38, 2245168. [Google Scholar] [CrossRef]
- Sahu, S.; Pathak, K.; Gogoi, U.; Das, A.; Saikia, R. Recent Advances in Pharmaceutical Sciences; Singla, C., Ed.; AkiNik Publications: New Delhi, India, 2020; Volume 3, ISBN 9789390217694. [Google Scholar]








| Sample Runs | Factors | Result | ||
|---|---|---|---|---|
| Strength (mT) | Frequency (Hz) | Time (min) | Weight Loss (%) | |
| 1 | 1 | 0 | 10 | 6.37 ± 0.11 |
| 2 | 1 | 50 | 20 | 5.13 ± 0.09 |
| 3 | 1 | 100 | 30 | 5.56 ± 0.14 |
| 4 | 2 | 0 | 20 | 4.85 ± 0.13 |
| 5 | 2 | 50 | 30 | 5.33 ± 0.15 |
| 6 | 2 | 100 | 10 | 5.05 ± 0.16 |
| 7 | 3 | 0 | 30 | 6.42 ± 0.17 |
| 8 | 3 | 50 | 10 | 4.52 ± 0.12 |
| 9 | 3 | 100 | 20 | 6.41 ± 0.11 |
| k1 | 5.636 | 5.934 | 5.290 | |
| k2 | 5.110 | 4.956 | 5.471 | |
| k3 | 5.780 | 5.636 | 5.764 | |
| R (Δ) | 0.670 | 0.979 | 0.474 | |
| Rank | 2 | 1 | 3 | |
| Source | DF | SS | MS | F-Value | p-Value | C (%) |
|---|---|---|---|---|---|---|
| Strength (mT) | 2 | 2.238 | 1.1190 | 2.33 | 0.119 | 24.91 |
| Frequency (Hz) | 2 | 4.530 | 2.2649 | 5.87 | 0.008 | 50.42 |
| Time (min) | 2 | 1.032 | 0.5159 | 0.97 | 0.393 | 11.48 |
| Error | 2 | 1.8335 | 1.8335 | 0.9167 | ||
| Total | 8 | 8.98335 |
Disclaimer/Publisher’s Note: The statements, opinions and data contained in all publications are solely those of the individual author(s) and contributor(s) and not of MDPI and/or the editor(s). MDPI and/or the editor(s) disclaim responsibility for any injury to people or property resulting from any ideas, methods, instructions or products referred to in the content. |
© 2025 by the authors. Licensee MDPI, Basel, Switzerland. This article is an open access article distributed under the terms and conditions of the Creative Commons Attribution (CC BY) license (https://creativecommons.org/licenses/by/4.0/).
Share and Cite
Chang, C.-K.; Adi, P.; Mulyani, R.; Lin, C.-F.; Listyaningrum, R.S.; Santoso, S.P.; Gavahian, M.; Hsieh, C.-W. Optimizing Non-Thermal Magnetic Field to Minimize Weight Loss and Tissue Degradation: Identifying Possible Enzyme Inhibition Mechanisms. Foods 2025, 14, 166. https://doi.org/10.3390/foods14020166
Chang C-K, Adi P, Mulyani R, Lin C-F, Listyaningrum RS, Santoso SP, Gavahian M, Hsieh C-W. Optimizing Non-Thermal Magnetic Field to Minimize Weight Loss and Tissue Degradation: Identifying Possible Enzyme Inhibition Mechanisms. Foods. 2025; 14(2):166. https://doi.org/10.3390/foods14020166
Chicago/Turabian StyleChang, Chao-Kai, Prakoso Adi, Rizka Mulyani, Chun-Fu Lin, Ratna Sari Listyaningrum, Shella Permatasari Santoso, Mohsen Gavahian, and Chang-Wei Hsieh. 2025. "Optimizing Non-Thermal Magnetic Field to Minimize Weight Loss and Tissue Degradation: Identifying Possible Enzyme Inhibition Mechanisms" Foods 14, no. 2: 166. https://doi.org/10.3390/foods14020166
APA StyleChang, C.-K., Adi, P., Mulyani, R., Lin, C.-F., Listyaningrum, R. S., Santoso, S. P., Gavahian, M., & Hsieh, C.-W. (2025). Optimizing Non-Thermal Magnetic Field to Minimize Weight Loss and Tissue Degradation: Identifying Possible Enzyme Inhibition Mechanisms. Foods, 14(2), 166. https://doi.org/10.3390/foods14020166

