The Cryoprotective Effect of an Antifreeze Collagen Peptide Complex Obtained by Enzymatic Glycosylation on Tilapia
Abstract
1. Introduction
2. Materials and Methods
2.1. Materials
2.2. Sample Preparation
2.3. Determination of Freshness
2.3.1. pH
2.3.2. Total Volatile Basic Nitrogen (TVB-N)
2.3.3. Color Difference
2.4. Moisture Change
2.4.1. Drip Loss
2.4.2. Low-Frequency Nuclear Magnetic Resonance (LF-NMR)
2.5. Protein Structure
2.5.1. Extraction of Myofibrillar Protein (MP)
2.5.2. Sodium Dodecyl Sulfate–Polyacrylamide Gel Electrophoresis (SDS–PAGE)
2.5.3. Tertiary Structural Changes in MP
2.6. Texture Property Analysis (TPA)
2.7. Dynamic Rheology
2.8. Statistical Analysis
3. Results and Discussion
3.1. Physicochemical Properties
3.1.1. pH
3.1.2. TVB-N
3.2. Whiteness
3.3. Water Status
3.3.1. Drip Loss
3.3.2. LF-NMR
3.4. Protein Structure
3.4.1. SDS–PAGE
3.4.2. UV Absorption Spectrum
3.4.3. Intrinsic Fluorescence Spectroscopy
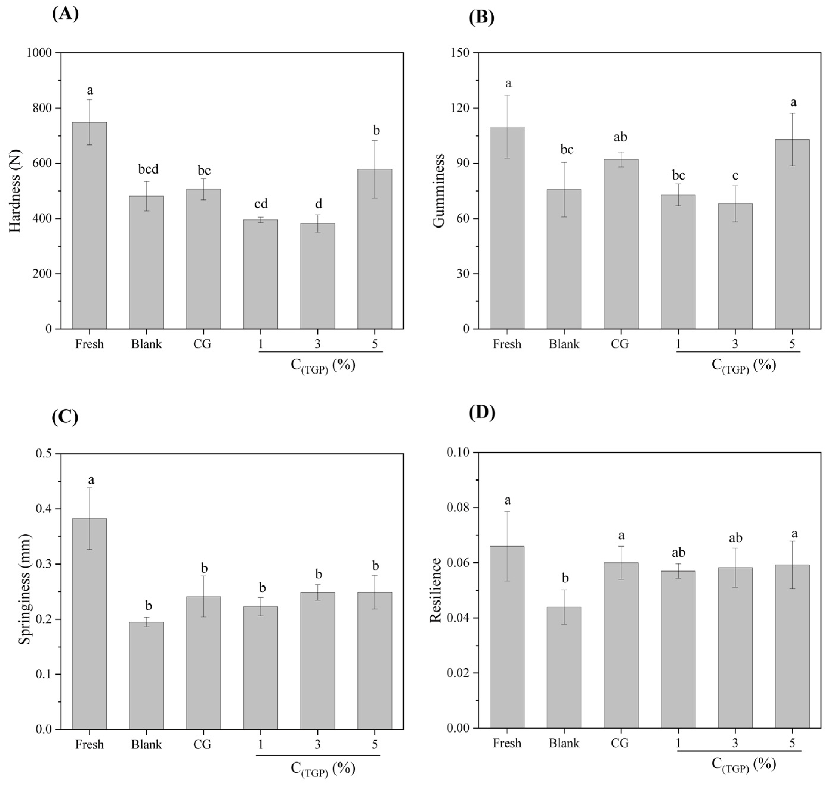
3.5. TPA
3.6. Rheological Properties
3.6.1. Temperature Scanning
3.6.2. Strain Scanning
3.6.3. Frequency Scanning
4. Conclusions
Author Contributions
Funding
Institutional Review Board Statement
Informed Consent Statement
Data Availability Statement
Conflicts of Interest
References
- Xie, X.; Zhai, X.; Chen, M.; Li, Q.; Huang, Y.; Zhao, L.; Wang, Q.; Lin, L. Effects of frozen storage on texture, chemical quality indices and sensory properties of crisp Nile tilapia fillets. Aquac. Fish. 2023, 8, 626–633. [Google Scholar] [CrossRef]
- Duarte, A.M.; Silva, F.; Pinto, F.R.; Barroso, S.; Gil, M.M. Quality assessment of chilled and frozen fish—Mini review. Foods 2020, 9, 1739. [Google Scholar] [CrossRef] [PubMed]
- Cheng, S.; Wang, X.; Li, R.; Yang, H.; Wang, H.; Wang, H.; Tan, M. Influence of multiple freeze-thaw cycles on quality characteristics of beef semimembranous muscle: With emphasis on water status and distribution by LF-NMR and MRI. Meat Sci. 2019, 147, 44–52. [Google Scholar] [CrossRef] [PubMed]
- Zhu, Z.; Zhou, Q.; Sun, D.-W. Measuring and controlling ice crystallization in frozen foods: A review of recent developments. Trends Food Sci. Technol. 2019, 90, 13–25. [Google Scholar] [CrossRef]
- Chen, X.; Wu, J.; Cai, X.; Wang, S. Production, structure–function relationships, mechanisms, and applications of antifreeze peptides. Compr. Rev. Food Sci. Food Saf. 2021, 20, 542–562. [Google Scholar] [CrossRef] [PubMed]
- Cao, L.; Majura, J.J.; Liu, L.; Cao, W.; Chen, Z.; Zhu, G.; Gao, J.; Zheng, H.; Lin, H. The cryoprotective activity of tilapia skin collagen hydrolysate and the structure elucidation of its antifreeze peptide. LWT—Food Sci. Technol. 2023, 179, 114670. [Google Scholar] [CrossRef]
- Sun, Y.; Zhang, M.; Bhandari, B.; Yang, C. Ultrasound treatment of frozen crayfish with chitosan Nano-composite water-retaining agent: Influence on cryopreservation and storage qualities. Food Res. Int. 2019, 126, 108670. [Google Scholar] [CrossRef] [PubMed]
- Kittiphattanabawon, P.; Benjakul, S.; Visessanguan, W.; Shahidi, F. Cryoprotective effect of gelatin hydrolysate from blacktip shark skin on surimi subjected to different freeze-thaw cycles. LWT—Food Sci. Technol. 2012, 47, 437–442. [Google Scholar] [CrossRef]
- Damodaran, S.; Wang, S. Ice crystal growth inhibition by peptides from fish gelatin hydrolysate. Food Hydrocoll. 2017, 70, 46–56. [Google Scholar] [CrossRef]
- Sun, Y.; Zhang, M.; Bhandari, B.; Yang, P. Intelligent detection of flavor changes in ginger during microwave vacuum drying based on LF-NMR. Food Res. Int. 2019, 119, 417–425. [Google Scholar] [CrossRef] [PubMed]
- Yang, R.; Zuo, P.; Zhang, M.; Meng, D.; Wang, B.; Zhen, T. Transglutaminase induced oligochitosan glycosylation of ferritin as a novel nanocarrier for food bioactive molecules. Food Hydrocoll. 2019, 94, 500–509. [Google Scholar] [CrossRef]
- Zhang, Y.; Zhang, L.; Hu, J.; Wang, Z.; Meng, D.; Li, H.; Zhou, Z.; Yang, R. The structural characterization and color stabilization of the pigment protein-phycoerythrin glycosylated with oligochitosan. Food Hydrocoll. 2023, 136, 108241. [Google Scholar] [CrossRef]
- Wang, X.-j.; Liu, X.-l.; Zheng, X.-q.; Qu, Y. Antagonistic effect of the glycopeptide from zein on acute alcohol-induced liver injury in mice. J. Funct. Foods 2022, 92, 105062. [Google Scholar] [CrossRef]
- Zhang, A.; Cui, Q.; Zhou, M.; Wang, X.; Zhao, X.-H. Improving freeze–thaw stability of soy protein isolate-glucosamine emulsion by transglutaminase glycosylation. Food Bioprod. Process. 2021, 128, 77–83. [Google Scholar] [CrossRef]
- Hong, P.K.; Gottardi, D.; Ndagijimana, M.; Betti, M. Glycation and transglutaminase mediated glycosylation of fish gelatin peptides with glucosamine enhance bioactivity. Food Chem. 2014, 142, 285–293. [Google Scholar] [CrossRef] [PubMed]
- GB 5009.228-2016; National Standard for Food Safety Determination of Volatile Salt Nitrogen in Foods. National Health and Family Planning Commission: Beijing, China, 2016.
- Wang, H.; Wang, R.; Song, Y.; Kamal, T.; Lv, Y.; Zhu, B.; Tao, X.; Tan, M. A fast and non-destructive LF-NMR and MRI method to discriminate adulterated shrimp. J. Food Meas. Charact. 2018, 12, 1340–1349. [Google Scholar] [CrossRef]
- Peng, X.; Liu, C.; Wang, B.; Kong, L.; Wen, R.; Zhang, H.; Yu, X.; Bai, Y.; Jang, A. Hygroscopic properties of whey protein hydrolysates and their effects on water retention in pork patties during repeated freeze–thaw cycles. LWT—Food Sci. Technol. 2023, 184, 114984. [Google Scholar] [CrossRef]
- Chen, X.; Wang, S. Cryoprotective effect of antifreeze glycopeptide analogues obtained by nonenzymatic glycation on Streptococcus thermophilus and its possible action mechanism. Food Chem. 2019, 288, 239–247. [Google Scholar] [CrossRef] [PubMed]
- Cao, Y.; Xiong, Y.L. Chlorogenic acid-mediated gel formation of oxidatively stressed myofibrillar protein. Food Chem. 2015, 180, 235–243. [Google Scholar] [CrossRef] [PubMed]
- Huang, J.; Zeng, S.; Xiong, S.; Huang, Q. Steady, dynamic, and creep-recovery rheological properties of myofibrillar protein from grass carp muscle. Food Hydrocoll. 2016, 61, 48–56. [Google Scholar] [CrossRef]
- Cai, L.; Nian, L.; Cao, A.; Zhang, Y.; Li, X.J.F.; Technology, B. Effect of carboxymethyl chitosan magnetic nanoparticles plus herring antifreeze protein on conformation and oxidation of myofibrillar protein from red sea bream (Pagrosomus major) after freeze-thaw treatment. Food Bioprocess Technol. 2020, 13, 355–366. [Google Scholar] [CrossRef]
- Manju, S.; Jose, L.; Gopal, T.K.S.; Ravishankar, C.N.; Lalitha, K.V. Effects of sodium acetate dip treatment and vacuum-packaging on chemical, microbiological, textural and sensory changes of Pearlspot (Etroplus suratensis) during chill storage. Food Chem. 2007, 102, 27–35. [Google Scholar] [CrossRef]
- Parlapani, F.F.; Haroutounian, S.A.; Nychas, G.-J.E.; Boziaris, I.S. Microbiological spoilage and volatiles production of gutted European sea bass stored under air and commercial modified atmosphere package at 2 C. Food Microbiol. 2015, 50, 44–53. [Google Scholar] [CrossRef] [PubMed]
- Wan, W.; Feng, J.; Wang, H.; Du, X.; Wang, B.; Yu, G.; Xia, X. Influence of repeated freeze-thaw treatments on the oxidation and degradation of muscle proteins from mirror carp (Cyprinus carpio L.), based on myofibrillar protein structural changes. Int. J. Biol. Macromol. 2023, 226, 454–462. [Google Scholar] [CrossRef] [PubMed]
- Zhou, K.; Zhang, J.; Xie, Y.; Wang, Z.; Wu, X.; Li, C.; Wang, W.; Zhou, H.; Xu, B. Hemin from porcine blood effectively stabilized color appearance and odor of prepared pork chops upon repeated freeze-thaw cycles. Meat Sci. 2021, 175, 108432. [Google Scholar] [CrossRef] [PubMed]
- Walayat, N.; Wang, X.; Liu, J.; Nawaz, A.; Zhang, Z.; Khalifa, I.; Cervera, M.Á.R.; Pateiro, M.; Lorenzo, J.M.; Nikoo, M. Kappa-carrageenan as an effective cryoprotectant on water mobility and functional properties of grass carp myofibrillar protein gel during frozen storage. LWT—Food Sci. Technol. 2022, 154, 112675. [Google Scholar] [CrossRef]
- Chen, X.; Wu, J.-H.; Li, L.; Wang, S.-Y. The cryoprotective effects of antifreeze peptides from pigskin collagen on texture properties and water mobility of frozen dough subjected to freeze–thaw cycles. Eur. Food Res. Technol. 2017, 243, 1149–1156. [Google Scholar] [CrossRef]
- Majid, I.; Hussain, S.; Nanda, V. Moisture sorption isotherms and quality characteristics of onion powder during storage as affected by sprouting. J. Food Meas. Charact. 2019, 13, 775–784. [Google Scholar] [CrossRef]
- Xu, F.; Jin, X.; Zhang, L.; Chen, X.D. Investigation on water status and distribution in broccoli and the effects of drying on water status using NMR and MRI methods. Food Res. Int. 2017, 96, 191–197. [Google Scholar] [CrossRef] [PubMed]
- Zhang, M.; Xia, X.; Liu, Q.; Chen, Q.; Kong, B. Changes in microstructure, quality and water distribution of porcine longissimus muscles subjected to ultrasound-assisted immersion freezing during frozen storage. Meat Sci. 2019, 151, 24–32. [Google Scholar] [CrossRef] [PubMed]
- Cao, Y.; Zhao, L.; Huang, Q.; Xiong, S.; Yin, T.; Liu, Z. Water migration, ice crystal formation, and freeze-thaw stability of silver carp surimi as affected by inulin under different additive amounts and polymerization degrees. Food Hydrocoll. 2022, 124, 107267. [Google Scholar] [CrossRef]
- Cao, M.; Cao, A.; Wang, J.; Cai, L.; Regenstein, J.; Ruan, Y.; Li, X. Effect of magnetic nanoparticles plus microwave or far-infrared thawing on protein conformation changes and moisture migration of red seabream (Pagrus Major) fillets. Food Chem. 2018, 266, 498–507. [Google Scholar] [CrossRef] [PubMed]
- Wang, R.; Guo, F.; Zhao, J.; Feng, C. Myofibril degradation and structural changes in myofibrillar proteins of porcine longissimus muscles during frozen storage. Food Chem. 2024, 435, 137671. [Google Scholar] [CrossRef] [PubMed]
- Kang, Z.-L.; Kong, L.-H.; Hu, Z.-l.; Li, Y.-P.; Ma, H.-J. Effect of sodium bicarbonate and sodium chloride on protein conformation and gel properties of pork myofibrillar protein. Arab. J. Chem. 2023, 16, 104574. [Google Scholar] [CrossRef]
- Hou, F.; Ma, X.; Fan, L.; Wang, D.; Wang, W.; Ding, T.; Ye, X.; Liu, D. Activation and conformational changes of chitinase induced by ultrasound. Food Chem. 2019, 285, 355–362. [Google Scholar] [CrossRef] [PubMed]
- Rajasekaran, B.; Singh, A.; Ponnusamy, A.; Patil, U.; Zhang, B.; Hong, H.; Benjakul, S. Ultrasound treated fish myofibrillar protein: Physicochemical properties and its stabilizing effect on shrimp oil-in-water emulsion. Ultrason. Sonochem. 2023, 98, 106513. [Google Scholar] [CrossRef] [PubMed]
- Wang, Y.; Wang, Z.; Handa, C.L.; Xu, J. Effects of ultrasound pre-treatment on the structure of β-conglycinin and glycinin and the antioxidant activity of their hydrolysates. Food Chem. 2017, 218, 165–172. [Google Scholar] [CrossRef] [PubMed]
- Kingwascharapong, P.; Benjakul, S. Effect of phosphate and bicarbonate replacers on quality changes of raw and cooked Pacific white shrimp as influenced by the repeated freeze–thawing. Int. J. Refrig. 2016, 67, 345–354. [Google Scholar] [CrossRef]
- Feng, J.; Bai, X.; Li, Y.; Kong, B.; Nuerjiang, M.; Wu, K.; Li, Z.; Xia, X. Improvement on gel properties of myofibrillar protein from chicken patty with potato dietary fiber: Based on the change in myofibrillar protein structure and water state. Int. J. Biol. Macromol. 2023, 230, 123228. [Google Scholar] [CrossRef] [PubMed]
- Du, J.; Cao, J.; Zhou, C.; Pan, D.; Geng, F.; Wang, Y. Insight into the mechanism of myosin-fibrin gelation induced by non-disulfide covalent cross-linking. Food Res. Int. 2022, 156, 111168. [Google Scholar] [CrossRef] [PubMed]
- Li, M.; He, S.; Sun, Y.; Pan, D.; Zhou, C.; He, J. Effectiveness of L-arginine/L-lysine in retarding deterioration of structural and gelling properties of duck meat myofibrillar protein during freeze-thaw cycles. Food Biosci. 2023, 51, 102302. [Google Scholar] [CrossRef]





Disclaimer/Publisher’s Note: The statements, opinions and data contained in all publications are solely those of the individual author(s) and contributor(s) and not of MDPI and/or the editor(s). MDPI and/or the editor(s) disclaim responsibility for any injury to people or property resulting from any ideas, methods, instructions or products referred to in the content. |
© 2024 by the authors. Licensee MDPI, Basel, Switzerland. This article is an open access article distributed under the terms and conditions of the Creative Commons Attribution (CC BY) license (https://creativecommons.org/licenses/by/4.0/).
Share and Cite
Liu, S.; Zhang, L.; Li, Z.; Chen, J.; Zhang, Y.; Yang, X.; Chen, Q.; Cai, H.; Hong, P.; Zhu, C.; et al. The Cryoprotective Effect of an Antifreeze Collagen Peptide Complex Obtained by Enzymatic Glycosylation on Tilapia. Foods 2024, 13, 1319. https://doi.org/10.3390/foods13091319
Liu S, Zhang L, Li Z, Chen J, Zhang Y, Yang X, Chen Q, Cai H, Hong P, Zhu C, et al. The Cryoprotective Effect of an Antifreeze Collagen Peptide Complex Obtained by Enzymatic Glycosylation on Tilapia. Foods. 2024; 13(9):1319. https://doi.org/10.3390/foods13091319
Chicago/Turabian StyleLiu, Shouchun, Luyao Zhang, Zhuyi Li, Jing Chen, Yinyu Zhang, Xuebo Yang, Qiuhan Chen, Hongying Cai, Pengzhi Hong, Chunhua Zhu, and et al. 2024. "The Cryoprotective Effect of an Antifreeze Collagen Peptide Complex Obtained by Enzymatic Glycosylation on Tilapia" Foods 13, no. 9: 1319. https://doi.org/10.3390/foods13091319
APA StyleLiu, S., Zhang, L., Li, Z., Chen, J., Zhang, Y., Yang, X., Chen, Q., Cai, H., Hong, P., Zhu, C., & Zhong, S. (2024). The Cryoprotective Effect of an Antifreeze Collagen Peptide Complex Obtained by Enzymatic Glycosylation on Tilapia. Foods, 13(9), 1319. https://doi.org/10.3390/foods13091319

