Next Article in Journal
Assessing Seasonal Effects on Identification of Cultivation Methods of Short–Growth Cycle Brassica chinensis L. Using IRMS and NIRS
Next Article in Special Issue
Characterization of Degraded Konjac Glucomannan from an Isolated Bacillus licheniformis Strain with Multi-Enzyme Synergetic Action
Previous Article in Journal
Unlocking the Therapeutic Potential of a Manila Clam-Derived Antioxidant Peptide: Insights into Mechanisms of Action and Cytoprotective Effects against Oxidative Stress
Previous Article in Special Issue
Encapsulation Properties of Mentha piperita Leaf Extracts Prepared Using an Ultrasound-Assisted Double Emulsion Method
 
 
Font Type:
Arial Georgia Verdana
Font Size:
Aa Aa Aa
Line Spacing:
Column Width:
Background:
Article

Chemical Profile and Biological Activities of Brassica rapa and Brassica napus Ex Situ Collection from Portugal

by
Carmo Serrano
1,2,*,
M. Conceição Oliveira
3,
V. R. Lopes
4,
Andreia Soares
1,
Adriana K. Molina
5,6,
Beatriz H. Paschoalinotto
5,6,
Tânia C. S. P. Pires
5,6,
Octávio Serra
4 and
Ana M. Barata
4
1
Instituto Nacional de Investigação Agrária e Veterinária (INIAV, I.P.), Av. da República, 2780-157 Oeiras, Portugal
2
LEAF—Linking Landscape, Environment, Agriculture and Food—Research Center, Instituto Superior de Agronomia, Associated Laboratory TERRA, Universidade de Lisboa, Tapada da Ajuda, 1349-017 Lisboa, Portugal
3
Centro de Química Estrutural, Institute of Molecular Sciences, Instituto Superior Técnico, Universidade de Lisboa, 1049-001 Lisboa, Portugal
4
Banco Português de Germoplasma Vegetal (BPGV), Agrária e Veterinária, Quinta de S. José, S. Pedro de Merelim, 4700-859 Braga, Portugal
5
Centro de Investigação de Montanha (CIMO), Instituto Politécnico de Bragança, Campus de Santa Apolónia, 5300-253 Bragança, Portugal
6
Laboratório Associado Para a Sustentabilidade e Tecnologia em Regiões de Montanha (SusTEC), Instituto Politécnico de Bragança, Campus de Santa Apolónia, 5300-253 Bragança, Portugal
*
Author to whom correspondence should be addressed.
Foods 2024, 13(8), 1164; https://doi.org/10.3390/foods13081164
Submission received: 8 March 2024 / Revised: 4 April 2024 / Accepted: 6 April 2024 / Published: 11 April 2024

Abstract

This study aimed to analyse the chemical profile and biological activities of 29 accessions of Brassica rapa (turnips) and 9 of Brassica napus (turnips and seeds) collections, maintained ex situ in Portugal. HPLC-HRMS allowed the determination of glucosinolates (GLS) and polyphenolic compounds. The antioxidant and antimicrobial activities were determined by using relevant assays. The chemical profiles showed that glucosamine, gluconasturtiin, and neoglucobrassin were the most abundant GLS in the extracts from the turnip accessions. Minor forms of GLS include gluconapoleiferin, glucobrassicanapin, glucoerucin, glucobrassin, and 4-hydroxyglucobrassin. Both species exhibited strong antioxidant activity, attributed to glucosinolates and phenolic compounds. The methanol extracts of Brassica rapa accessions were assessed against a panel of five Gram-negative bacteria (Enterobacter cloacae, Escherichia coli, Pseudomonas aeruginosa, Salmonella enterica subsp. enterica serovar, and Yersinia enterocolitica) and three Gram-positive bacteria (Bacillus cereus, Listeria monocytogenes, and Staphylococcus aureus). The extracts exhibited activity against S. enterica and S. aureus, and two showed inhibitory activity against E. coli and Y. enterocolitica. This study provides valuable insights into the chemical composition and biological properties of Brassica rapa and Brassica napus collections in Portugal. The selected accessions can constitute potential sources of natural antioxidants and bioactive compounds, which can be used in breeding programs and improving human health and to promote healthy food systems.

1. Introduction

Crops of the Brassica L. genus, belonging to the Cruciferae family, are of great economic interest to humans as food or condiments in many cultures. In 2014, the Brassica market was worth approximately USD 14 billion [1], and it is projected to reach USD 39.40 billion by 2023 [2].
In 2018, the Brassica production reached 69,381,155 tonnes globally, further increasing to approximately 96 million tonnes in 2020 [3]. Europe accounted for 18% of the world’s production, with 9,749,374 tonnes [4], whereas in 2021, Portugal produced 285.4 tonnes of major Brassica crops [5].
Brassicas are believed to have originated in countries around the Mediterranean basin and have since spread throughout central and southwestern Asia, including the Mediterranean, Irano-Turanian, and Saharo-Sindian phytogeographic regions [6,7]. The Brassicaceae family comprises a wide range of species, valued for different plant parts, including leaves (such as kale), roots (such as turnip and radish), seeds (such as rapeseed), buds (such as Brussels sprouts), and flowers (such as cauliflower) [8].
Brassica seeds, due to their high concentration of GLS, have been used as a spicy food condiment (such as Dijon mustard in France). Additionally, the seeds have become popular for non-food applications, particularly in the cosmetic and pharmaceutical industries. Mustard seeds are used in various folk remedies in both traditional and modern medicine [9,10]. While the roots, leaves, and green parts are for human consumption. B. rapa L. includes turnips, leafy greens (such as bok choy, napa cabbage, mizuna, tatsoi, rapini, grelos, and choy sum), and oilseed crops, such as turnip rape, and yellow sarsons as well as weedy forms (B. rapa ssp. sylvestris (Lam.) Briggs) which may be wild or feral [11,12]. The Iberian leafy crop, known as grelos or nabiza, belongs to the same subspecies as Italian rapini.
B. napus L. is the world’s largest source of cooking oil [13], known as rapeseed, and its by-products are used in animal feed. Some cultivars of B. napus, such as B. napus var. napobrassica, produce edible roots. This annual vegetable has vertical roots and alternate leaves, often glaucous and with long roots, and is commonly known as Swedish turnip.
B. rapa spp. rapa are vegetables usually consumed due to their nutritional benefits and low-calorie content. Its roots present various shapes (spherical to triangular), and colours (white to purple), and have green pubescent leaves. These vegetables have a spicy flavour and sulphurous aroma due to the degradation of GLS into isothiocyanates (ITCs), which are sulphur-containing compounds. The ITCs have various biological properties and potential health benefits [14,15]). Sulforaphane and glucobrassicin are attributed to anticancer effects [16,17,18,19] and inflammatory effects [20], while progoitrin has been associated with antithyroid effects [21]. The allyl isothiocyanate and glucosinolate compounds are responsible for antioxidant, antibacterial, and antifungal properties [22,23]. Polyphenol compounds found in the Brassicaceae family may regulate metabolism, weight, chronic diseases, and cell proliferation [24]. Flavonoid compounds such as quercetin, kaempferol, and rutin are responsible for antioxidant activity and anti-inflammatory properties [25]. Turnip varieties may contain terpenoids with antioxidant, anti-inflammatory, and antimicrobial effects. However, the specific chemical profiles and biological activities can vary depending on factors such as genotype, growing conditions, and plant part analysed.
It is an important crop in traditional farming systems and in the Portuguese diet [26]. The year-round cultivation of Brassica is due to the presence of mild winters and cool summers [27].
Generations of farmers have cultivated and selected various species, resulting in the development of regional varieties known as landraces [28]. These landraces are highly adapted to their growing locations and serve essential functions in the local diet [29]. The local names of the landraces vary by region in Portugal. Different landraces may have the same name or distinct names may refer to the same landrace [30].
Portuguese Brassica landraces have high genetic variability and robustness to high and low temperatures and low humidity. Their bioactivity and resistance to biotic stresses make them a valuable germplasm source for their ethnobotanical importance and genes for breeding programs [31,32,33,34].
Germplasm banks that respond to society’s needs include this group of crops in their priorities, and the last decade of the previous century gained notoriety due to the prominence of diets, food wheels, and pyramids in consumer decisions [35]. The Portuguese Brassica collection comprises 1271 landrace accessions, categorised into three crops: 139 B. napus accessions, 381 B. rapa accessions, and 751 B. oleracea accessions. These accessions are collected from farms where traditional crops are grown, and farmers cultivate local varieties (landraces).
The work presented by [36] is the most recent on local breeds in Italy. In Portugal, in the 2000s, there was research into traditional varieties of the cultivated group B. oleracea from the Brassica collection preserved ex situ at the BPGV. However, there has been no systematic evaluation of methanol extracts in traditional Portuguese varieties of B. rapa since the mid-2000s [37]. There are no studies on the varieties of B. napus from Portugal in this area. The GLS content of Brassica landrace accessions varies depending on various factors such as the species, cultivar, plant part, climatic conditions, agronomic practices, insect attack, and microorganism intrusion [18]. Therefore, high-resolution tandem mass spectrometry (HRMS) can provide detailed information about the mass and structure of GLS non-nutritive compounds, allowing accurate identification. Furthermore, assessing their biological activity can provide valuable information about effective antimicrobial compounds for breeding aims.

2. Material and Methods

2.1. Plant Material

A collection of 29 accessions of B. rapa, and 9 B. napus species (Table 1), local varieties (landraces), conserved in the Portuguese Germplasm Bank (BPGV) and collected in the northern and central regions of Portugal, were cultivated under the same environmental conditions in Braga, North-west of Minho province during 2019, 2020, and 2021.
The plot of land remained the same. However, sowing in trays with a 1:1 soil:turf substrate was carried out on different dates between the years and species: B. rapa (November 2018 and March 2020), B. napus (February 2021). For B. rapa, transplantation occurred in February 2019 and April 2020, with harvesting taking place in June of both years. For B. napus, transplantation was carried out in March 2021, and the seeds were harvested in July and August.
The study was conducted without fertilisation, and drip irrigation was applied once a week.
Freeze-drying of the turnip samples was performed in a freeze-dryer (Scanvac Cool Safe, Labogene Scandinavian by Design). The seeds were dried in an oven. The dried material (turnip and seeds) was ground in a mill (IKA® MF 10.2, Burladingen, Germany) using a 1.0 mm thick sieve. The turnip samples were stored under vacuum in plastic film packaging with a high barrier to gases and water vapour, composed of the combination of low-density polyethylene (LDPE 60 µm)/oriented polyamide (PA 30 µm) polymers (Amcor Flexibles Portugal), and were placed in desiccators until further analysis.

2.2. Methanol Extracts

To identify the GLS and phenolic compounds present in Brassica rapa and Brassica napus samples, the freeze-fried material (5 g) was shaken with methanol (Merck, Darmstadt, Germany) at a ratio of 1:20 (w/v) solid-to-liquid, in an orbital shaker (Unitronic-OR, Selecta, Barcelona) at 25 °C, stirring at 70 rpm, for 2 h. The extracts were centrifuged at 3100 rpm, 5 °C, and 20 min (Sigma and Laborzentrifugen, 1k15). The supernatant was separated from the residue, filtered through a 0.45µm porous membrane, and evaporated under vacuum (40 °C, 178 mbar) in a rotary evaporator (Buchi R-114 Rotavapor Vap System, Merck, Lisboa, Portugal). The residue of extraction was weighed and placed in amber glass flasks (25 mL), at freeze (−80 °C) to be used in all analyses. The assays were performed in duplicate.

2.3. Liquid Chromatography and Tandem Mass Spectrometry

Three aliquots of each extract of turnip roots were analysed on a UHPLC Elute system coupled in line with a quadrupole time-of-flight Impact II mass spectrometer equipped with an ESI source (Bruker Daltonics, Bremen, Germany). High-resolution mass spectra were acquired in the ESI negative mode. Internal calibration was achieved with a solution of ammonium formate (Fisher Chemical (Hampton, NH, USA) 10 µM introduced to the ion source via a 20 µL loop at the beginning of each analysis, using a six-port valve. The mass spectrometric parameters were set as follows: end plate offset, 500 V; capillary voltage, −2.5 kV; nebulizer, 40 psi; dry gas, 8 L·min−1; dry temperature, 200 °C; range m/z 100–1000; and acquisition mode: data-dependent analysis (DDA) with a rate of 5 Hz, a fixed cycle time of 3 s, with an isolation window of 0.03 Da. Data acquisition and processing were performed using the Data Analysis 5.2 software.
Chromatographic separation was achieved on a Kinetex C18 column 100 Å (150 × 2.1 mm, 2.6 μm particle size, Phenomenex) at 40 °C, using a flow rate of 0.3 mL·min−1. The mobile phase was 0.1% v/v acid formic in water and in acetonitrile (Fisher Chemical Hampton, NH, USA), the elution gradient was as follows: 0–2 min linear gradient to 7% B; 2–23 min linear gradient to 100% B; 23–27 min isocratic 100% B; 27–30 min linear gradient to 7% B; and then the column was re-equilibrated with 7% B for 7 min.

2.4. Evaluation of Biological Activities

2.4.1. Antioxidant Activity

  • Radical-scavenging capacity assay (DPPH)
The scavenging effect of the DPPH free radical was assessed spectrophotometrically by the modified method of [39]. A volume of 0.1 mL of each plant extract was added at different concentrations to 2 mL of 0.07 mmol L−1 DPPH (Sigma, Sternheim, Germany) in 950 g L−1 ethanol (Merck, Darmstadt, Germany), and the mixture was shaken and stayed for 60 min at room temperature in the dark. The absorbance of samples was measured at 517 nm, using a UV–visible spectrophotometer (double-beam; Hitachi U-2010, Cincinatti, Illinois, USA). The absorption of a blank sample containing the same amount of ethanol and DPPH solution acted as a negative control. The results for the antioxidant activity were expressed as Trolox (Sigma, Sternheim, Germany) equivalent (TE) on the basis of the standard curve y = −0.0011 x + 0.0109 (r2 = 0.999) in terms of micromole equivalents of Trolox per g of plant dry residue extract (µmol TE g−1 plant dry residue extract), and a linearity range 23.97–800 µmol TE g−1 and an absorbance range of 0.037–0.85 AU. All determinations were performed in triplicate.
  • Ferric-ion-reducing antioxidant power assay
Ferric-ion-reducing antioxidant power (FRAP) measures the formation of a blue-coloured Fe2+-tripyridyltriazine compound from the colourless oxidised Fe3+ form by the action of electron-donating antioxidants. The FRAP assay was carried out using a modified methodology of [40]. Briefly, the FRAP reagent was prepared with 1 mmolL−1 TPTZ (Fluka, Buchs, Germany) and 2 mmol L−1 ferric chloride (Fluka, Buchs, Germany) in 0.25 mol L−1 sodium acetate (Fluka, Buchs, Germany) (pH 3.6). Diluted extracts (in 500 g L−1 methanol; 200 µL) were mixed with 1.8 mL FRAP reagent, allowed to stand for 4 min at room temperature (20 °C), and the absorbance of the blue complex was monitored at 593 nm and determined against a water blank, using a UV–visible spectrophotometer (double-beam; Hitachi U-2010). A standard curve y = 0.0213x + 0.0057 (r2 = 0.998) was prepared using different concentrations of iron sulphate (Panreac, Barcelona, Spain) (linearity range 1.25–50 µmol L−1; and an absorbance range of 0.02–1.03 AU). FRAP values are presented as µmol Fe2+ g−1 of the sample (ferric reducing power). All determinations were performed in triplicate.
  • Total phenolic content by Folin–Ciocalteu reagent
Total phenolic content (TPC) in methanol extracts was estimated using the Folin–Ciocalteu colorimetric method described by [41] and modified by [42], using gallic acid as the standard phenolic compound. Briefly, 1–3 mL of diluted samples (methanol extracts were diluted in water to fit the standard curve), were added to 10 mL volumetric flasks containing distilled water and Folin–Ciocalteu (Sigma, Sternheim, Germany) phenol reagent (0.5 mL) and shaken. After 5 min, 1.5 mL of a 200 g L−1 sodium carbonate (BDH, Poole, UK) solution was added and the volume was adjusted to 10 mL with distilled water, mixed and allowed to stand for 2 h. A blank reagent using distilled water was prepared. The absorbance was measured at 750 nm using a UV–visible spectrophotometer (double-beam; Hitachi U-2010, USA). The concentrations of total phenolic compounds in the different extracts were determined based on the standard curve y = 88.003x + 0.0288 (r2 = 0.998) in terms of grams per litter of Gallic acid (Sigma, Sternheim, Germany) equivalents (GAE). The linearity range for this assay was determined as 6.3 × 10−4−1.3 × 10−2 gL−1 GAE, and an absorbance range of 0.08–1.13 AU. All determinations were performed in triplicate.

2.4.2. Antibacterial Activity

The extracts were tested against foodborne contaminants: five Gram-negative bacteria, namely Enterobacter cloacae (ATCC 49741), Escherichia coli (ATCC 25922), Pseudomonas aeruginosa (ATCC 9027), Salmonella enterica subsp. enterica serovar (ATCC 13076), Yersinia enterocolitica (ATCC 8610) and three Gram-positive bacteria, namely Bacillus cereus (ATCC 11778), Listeria monocytogenes (ATCC 19111) and Staphylococcus aureus (ATCC 25923). All microorganisms were obtained from Frilabo, Porto, Portugal. To assess antibacterial activity, all microorganisms were incubated at 37 °C in TSB (Tryptic Soy Broth) fresh medium for 24 h before analysis to ensure they were in the exponential growth phase.
The minimum inhibitory concentration (MIC) and minimum bactericidal concentration (MBC) were determined using the microdilution method and a colourimetric assay following the protocol described by [43]. The samples were dissolved in 5% (v/v) DMSO (Sigma, Sternheim, Germany) and autoclaved water to achieve a final concentration of 20 mg mL−1. Then the samples were serially diluted to obtain different concentrations ranging from 10 to 0.15 mg mL−1. Initially, 100 μL of each extract was added to the first well of a 96-well microplate, which already contained 90 μL of the medium, followed by successive dilutions. Afterwards, 10 μL of inoculum (standardised at 1.5 × 106 CFU/mL) was added to all wells.
Two negative controls were prepared, one with Tryptic Soy Broth (TSB) obtained from Biolab® (Hungary) and another one with the extract. Two positive controls were prepared with TSB and each inoculum and another with medium, antibiotics, and bacteria. Ampicillin and Streptomycin (Sigma, St. Louis, MO, USA), were used at 10 mg mL−1 and 1 mg mL−1, respectively, for all bacteria tested and Methicillin (Sigma, St. Louis, MO, USA) was also used at 1 mg mL−1 for S. aureus. The microplates were then covered and incubated at 37 °C for 24 h. MIC was detected by adding 40 μL of p-iodonitrotetrazolium chloride (Sigma, St. Louis, MO, USA) (INT, 0.2 mg mL−1) followed by incubation at 37 °C for 30 min. MIC was defined as the lowest concentration inhibiting visible bacterial growth indicated by a colour change from yellow to pink. MBC was determined by plating 50 μL of suspension from each well without colour change on blood agar solid medium and incubating at 37 °C for 24 h. The lowest concentration that yielded no growth determined the MBC, defined as the lowest concentration required to kill the bacteria.

2.5. Statistical Analysis

The results were submitted to one-way analysis of variance (ANOVA) using multiple comparison tests (Tukey HSD) to identify differences between groups. Statistical analyses were tested at a 0.05 level of probability. The range, mean, and relative standard deviation (RSD) of each parameter were calculated using the software, StatisticaTM 12.0 [44].
Statistical analysis for GLS compounds was performed in R programming language v4.1.2 [45]. Raw data were initially explored for distribution and completeness. Replicates for each accession were averaged and then grouped per geographic origin using the R package “tidyverse” [46] and plotted using the package “ggplot2” [47]. Principal component analysis (PCA) was calculated with R function prcomp and the biplot was generated using the package “ggplot2” [47]. Accessions were clustered using package “metan” [48] based on their Euclidean distance, followed by UPGMA hierarchical clustering. The dendrogram was generated with a basic R plot function.

3. Results and Discussion

3.1. GLS’ Profile by Liquid Chromatography–Tandem Mass Spectrometry

A high-resolution tandem mass spectrometry analysis was employed to identify the GLS compounds present in the methanolic extracts of turnip roots. The compounds were identified based on the accurate m/z values of the deprotonated molecules. The probable ionic formulas were validated by extracting the ion chromatograms from the raw data. The accurate mass, isotopic pattern, and fragmentation paths were evaluated and compared to available literature data [49]. MS fragmentation of glucosinolates presented two typical pathways, one associated with the common moiety (aglycone) and the other providing useful ions for the identification of the R-side chain (Figure 1). The latter, corresponds to a combined loss of sulphur trioxide and the anhydroglucose [M-H-242], leading to fragment (F1) assigned to [R + SCNOH]. F1 is common to all GLSs and allows its differentiation. Furthermore, fragments F2a and F2b can also be useful to distinguish each GLS. The loss of 196 u and 193 u from the GLS precursor ions yields F2a and F2b, the fragment ions which correspond to [R + C2NHO3S] and [R + CS2O3], respectively. The fragmentation path to produce F2a or F2b is dependent on the R group present in the GLS structure. As a result, the tandem mass spectrometric analysis of GLSs generally produces F2a or F2b, but not both. Table 2 summarises the more abundant GLSs present in the extracts. The bold marks indicate the F1, F2a or F2b fragments identified in the tandem mass spectra.
The methanolic extracts also contain small amounts of hydroxycinnamic acids and their derivatives. The more relevant compounds are also listed in Table 2. As additional data, a fragmentation pathway for the precursor ion of gluconasturtiin is illustrated in Scheme S1.

3.2. In Vitro Antioxidant Activity and Total Phenolic Content

FRAP analysis for seed turnip extracts showed a strong antioxidant activity (ranging from 2.99 to 3.18 mmol Fe2+g−1 DW), higher than root extracts (varying from 44.01–130.83 µmol Fe2+g−1 DW). The DPPH free radical scavenging activity followed the same trend of reducing power analysis, for seeds, the values ranged from 246.44 to 330.88 TEmmol·g−1 and for turnips 94.00 to 232.53 TEmmol·g−1 (Table 3 and Table 4). The antioxidant activity was attributed to the presence of glucosinolate compounds as reported by [50]. The highest antioxidant activity for seeds, obtained by the FRAP and DPPH methods, was found for the accession harvested in Braga (BPGV02578) while the highest TPC was obtained for the accession harvested in Viana do Castelo (BPGV02740). Regarding turnips, the maximum value of FRAP and DPPH was obtained for the accession collected in Viseu (BPGV06207), whereas for TPC it was for the accession (BPGV12914) collected in Aveiro (Table 3 and Table 4).
TPC obtained for seed extracts (24.90–27.39 GAE·g−1 DW) of the B. napus revealed statistically higher values than those found for turnips extracts (5.38–18.00 GAE·g−1 DW). The phenol content obtained for the turnip extracts for B. rapa and B. napus species was lower than those reported by [50] for Rutabaga species. The opposite was reported by other authors [51], where the TPC content found for methanolic extracts of B. rapa turnips was lower than the phenol values we found for the same species. Romani and colleagues [25] obtained similar results for Brassica rapa L. subsp, sylvestris L.
Such differences might be due to the soil and climate conditions which can affect the content of secondary metabolites in plants, or the methodologies used to extract compounds such as the period to collect the samples, conservation of the plant (fresh or dry), and extraction methods (type of solvent and concentration ratio of the plant to solvent), such as phenolic compounds [52].
The FRAP assay showed a positive correlation with the total phenolic content (y = 0.12x + 0.81; R2 = 0.79). However, there was only a weak positive correlation between the DPPH• free radical scavenging activity and TPCs. This difference was explained by [53] since the TPC and FRAP methods determine only hydrophilic antioxidants, while DPPH detects those soluble in organic solvents, especially alcohols. Furthermore, small molecules may have a better chance of accessing the DPPH radical due to steric inaccessibility showing higher values than larger molecules [54].

3.3. Antibacterial Activity

The results of the antibacterial activity, for the accessions collected in 2019, are summarised in Table 5. Each sample has been tested against bacteria such as E. cloacae, E. coli, P. aeruginosa, S. enterica, Y. enterocolitica, B. cereus, L. monocytogenes, and S. aureus. The sample BPGV02906, demonstrated bacteriostatic activity against E. coli and S. enterica with an MIC of 5 mg mL−1 and showed notable activity against S. aureus with an MIC of 2.5 mg mL−1. However, it was not effective against E. cloacae, P. aeruginosa, Y. enterocolitica, B. cereus, and L. monocytogenes, with MIC values above 10 mg mL−1. The sample BPGV06987B, exhibited bacteriostatic activity against E. coli with an MIC of 10 mg mL−1 and against S. enterica and S. aureus with an MIC of 5 mg mL−1 and 10 mg mL−1, respectively, but it was ineffective against the other tested bacteria with MIC values greater than 10 mg mL−1. Accession BPGV06987A presented a similar result to accession BPGV06987B showing bacteriostatic activity against E. coli, S. enterica, and S. aureus with MICs of 10 mg mL−1, 5 mg mL−1 and 5 mg mL−1, respectively. Accession BPGV16127, showed bacteriostatic activity against E. coli, S. enterica, and Y. enterocolitica with MICs of 10 mg mL−1, 5 mg mL−1, and 10 mg mL−1, respectively, and notable activity against S. aureus with an MIC of 2.5 mg mL−1. Accession BPGV07480, showed similar activity patterns as BPGV16127, with MIC values above 10 mg mL−1 for most bacteria, except for S. enterica (MIC 2.5 mg mL−1) and S. aureus (MIC 2.5 mg mL−1), where it demonstrated better inhibitory effects. Accession BPG12296 presented MIC values for E. cloacae, B. cereus, and L. monocytogenes greater than 10 mg mL−1, while for E. coli and S. aureus the MICs were 10 mg mL−1 and 5 mg mL−1, respectively. S. enterica and Y. enterocolitica had MIC values of 5 mg mL−1 and 10 mg mL−1, suggesting some inhibitory potential. Accession BGV12376 has presented MIC values indicating no inhibition for E. cloacae, B. cereus, and L. monocytogenes at concentrations above 10 mg mL−1, while the same sample has presented moderate inhibition for E. coli and Y. enterocolitica (MIC 10 mg mL−1) and better activity against S. enterica and S. aureus with MICs of 5 mg mL−1. Accession BPGV05888 was ineffective against all bacteria tested with MICs above 10 mg mL−1 and presented inhibition for S. enterica (MIC 5 mg mL−1) and good activity against S. aureus with MICs of 2.5 mg mL−1. Accession BPGV03990 had an MIC above 10 mg mL−1 for E. cloacae, Y. enterocolitica, P. aeruginosa, B. cereus, and L. monocytogenes, indicating no effective inhibition, while it showed good activity against E. coli, S. enterica, and S. aureus with MICs of 10 mg mL−1, 2.5 mg mL−1, and 2.5 mg mL−1, respectively. Accession BPGV11177 was able to inhibit the growth of E. coli and S. aureus at concentrations of 10 mg mL−1 and 2.5 mg mL−1, respectively. S. enterica and Y. enterocolitica had MICs of 5 mg mL−1 and 10 mg mL−1, suggesting some degree of susceptibility. However, the sample was not effective against E. cloacae, P. aeruginosa, B. cereus, and L. monocytogenes, as the MIC was greater than 10 mg mL−1 for these bacteria. The pattern for accession BPGV05875 was similar to BPGV11177, with some effectiveness against E. coli (MIC 10 mg mL−1) and S. aureus (MIC 2.5 mg mL−1). S. enterica and Y. enterocolitica also showed MICs of 5 mg mL−1, indicating that the sample had some bacteriostatic capacity. Yet, it remained ineffective against the other bacteria, with MIC values exceeding 10 mg mL−1. Accession BPGV07301 was effective in inhibiting S. aureus at a concentration of 2.5 mg mL−1. The sample also inhibited the growth of S. enterica at 2.5 mg mL−1 and showed some effect on E. coli and Y. enterocolitica with MICs of 10 mg mL−1. Similar to the previous samples, it did not inhibit E. cloacae, P. aeruginosa, B. cereus, and L. monocytogenes, with MIC values above 10 mg mL−1. Accession BPGV11111 showed varying levels of inhibition against different bacteria. The Minimum Inhibitory Concentration (MIC) for E. cloacae, P. aeruginosa, B. cereus, and L. monocytogenes was determined to be greater than 10 mg mL−1, which suggests that the sample was not effective in inhibiting these particular bacteria. On the other hand, E. coli had an MIC of 10 mg mL−1, indicating a moderate inhibitory effect. S. enterica was in some whey more susceptible, with an MIC of 5 mg mL−1. Notably, S. aureus was quite responsive to the sample, with an MIC of 2.5 mg mL−1, indicating a good level of inhibition. The results for accession BPGV12405 were similar to BPGV11111 in that there was no inhibitory effect against E. cloacae, P. aeruginosa, B. cereus, and L. monocytogenes, as indicated by the MIC values which were again greater than 10 mg mL−1. E. coli and S. enterica showed MICs of 10 mg mL−1 and 5 mg mL−1, respectively, and S. aureus showed a promising MIC of 2.5 mg mL−1. It failed to inhibit the growth of E. coli effectively, with an MIC greater than 10 mg mL−1. However, the sample was effective against S. enterica with an MIC of 5 mg mL−1 and was quite effective against S. aureus with an MIC of 2.5 mg mL−1. Accession BPGV12239 demonstrated bacteriostatic activity against E. coli at an MIC of 5 mg mL−1, which was a better outcome compared to some previous samples. It also inhibited S. enterica at an MIC of 2.5 mg mL−1 and showed moderate activity against S. aureus with an MIC of 5 mg mL−1. No effective inhibition was observed for the other bacteria, with MICs greater than 10 mg mL−1. None of the samples tested exhibited the capacity to kill the bacteria, as evidenced by the Minimum Fungicidal Concentration (MFC) values for all samples being greater than 10 mg mL−1. When examining the antibacterial activity of various accessions from Table 4, it becomes evident that there is a notable variation in their effectiveness against different bacteria. The data demonstrate a range of Minimum Inhibitory Concentration (MIC) and Minimum Bactericidal Concentration (MBC) across the samples when tested against Gram-negative and Gram-positive bacteria.
S. aureus was particularly sensitive to the samples, often being inhibited at lower MIC values, such as 2.5 mg mL−1. This was a consistent finding across several accessions, suggesting these accessions could be potential candidates for therapeutic use against infections caused by this bacterium. Similarly, S. enterica displayed susceptibility, although not as pronounced as S. aureus, with several samples achieving inhibition at MIC values of either 2.5 mg mL−1 or 5 mg mL−1. E. coli showed a moderate level of susceptibility, with effective samples generally having MIC values around 10 mg mL−1.
Some samples stood out for their effectiveness. For instance, accession BPGV02906 showed notable activity against S. aureus with an MIC of 2.5 mg mL−1 and moderate activity against E. coli and S. enterica. Similarly, accessions BPGV16127 and BPGV07480 were particularly effective against S. aureus and S. enterica, with low MIC values indicating strong inhibitory effects. Accession BPGV03990 exhibited good activity against E. coli, S. enterica, and S. aureus, and BPGV12239 showed better outcomes against E. coli and excellent inhibition of S. enterica.
However, not all accessions were effective. A significant number of them showed no effective inhibition against bacteria such as E. cloacae, P. aeruginosa, Y. enterocolitica, B. cereus, and L. monocytogenes, with MIC values exceeding 10 mg mL−1. This suggests that these bacteria are more resistant to the samples tested.
Overall, the study indicates that while some accessions show potential as antimicrobial agents, particularly against S. aureus and to some extent against S. enterica and E. coli, there is a lack of bactericidal activity at the concentrations tested. The variation in the efficacy of the samples, with some showing broad-spectrum activity and others being effective against a more limited range of bacteria, emphasizes the need for further research. This research should aim to enhance the efficacy and expand the spectrum of these antimicrobial agents, as well as to understand the mechanisms of resistance in the less susceptible bacteria. Comparing these findings with the study on B. rapa extracts by [55], which demonstrated positive inhibitory effects against C. albicans, P. aeruginosa, and B. subtilis, it can be inferred that extracts from B. rapa possess a different antibacterial activity spectrum. For example, while the B. rapa extracts were effective against B. subtilis, the extracts in our study did not show significant activity against B. cereus, closely related to B. subtilis. Furthermore, the MIC values for effective inhibition in the B. rapa study (12.5–25 mg mL−1) were higher compared to the lower MIC values observed in some of our extracts (2.5–10 mg mL−1).
Another study by [56] concluded that the compound 2-phenylethyl isothiocyanate found in B. rapa samples showed significant activity against Vibrio parahaemolyticus, S. aureus, and B. cereus, particularly effective against V. parahaemolyticus with an MIC of 100 μg mL−1. This indicates the potential of specific plant-derived compounds as highly effective antimicrobial agents. Additionally, the inhibition of Helicobacter pylori by turnip root extracts suggests a potential role in treating H. pylori infections.
Both studies provide valuable insights into the potential of plant extracts as antimicrobial agents. However, their effectiveness varies depending on the type of extract and the microbial strain. The variation in MIC values among different extracts and organisms highlights the complexity of developing plant-based antimicrobial treatments and the need for detailed, strain-specific research. These results suggest that the efficacy of samples varies significantly across different bacterial strains. Some samples show potential for therapeutic use, especially against S. aureus, but none seem to possess strong bactericidal properties at the tested concentrations. This information is crucial for understanding the potential use of these accessions as antimicrobial agents and may guide further research and development.

3.4. Principal Component Analysis (PCA) to Assess Overall Variation

Fourteen GLS were identified among the group of 27 B. rapa accessions from traditional varieties (landraces).
The main compounds identified in the sampling of Portuguese landraces from B. rapa were GST, GBNISOM, NGBS, and 4-OHGBSisom.
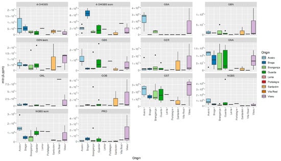
The box plot graph (Figure 2) presents the variation between the average values of accessions by region of origin. It is evident that there is greater variability in all the GLS compounds identified in the accessions collected in Aveiro, except for 4-OHGBS and NGBS compounds. The longer length of the boxes for GNA and GST compounds suggests greater variability in the data of the accessions collected in six regions. The boxes for 4-OHGBS, GBN-isomer, GER, and GNL compounds in the Aveiro and Braga regions overlap, suggesting no significant difference in central tendency between those regions. The same trend was observed for 4-OHGBS and its isomer, GBN, GER, and PRO collected in Braga and Bragança. Non-overlapping boxes for the other compounds may indicate a potential difference in average values between regions.
It is important to note that all areas of origin are represented in the GLS analysis. In order to improve the identification of GLS profiles in traditional B. rapa varieties, future evaluations should include more samples from Vila Real, Leiria, Santarém, and Portalegre.
A Principal Component Analysis (PCA) biplot (Figure 3) was performed to match the interactions between the variability in GLS profiles within the species of the B. rapa collection with the nine regions where the turnips were harvested.
The data points are represented in the space defined by the first two principal components (PC1 = 34.44% and PC2 = 21.92%) and explain 56.36% of the total variance. The vectors associated with the original variables are also plotted in the same space. The vectors’ angle and length indicate the correlation between variables and the importance of each variable in defining the principal components.
Statistically, it is preferable for the percentage of variance explained by the two principal components to be greater than 70%. The analysis revealed that 56% of the variance was explained. However, this percentage may be an underestimation due to the lack of contribution from some accessions.
Figure 3 shows that, within principal component 2, the vectors for GOB, PRO, GBN, and GER point in similar directions, indicating positive correlations. Conversely, the vectors for GST, GNA, GBS, NBS, GBA, 4-OHGBS, and isomer point in different directions, suggesting negative correlations. The length of the vectors reflects the variables’ importance in explaining the data’s variance, with longer vectors representing variables that contribute more to the principal components. The analysis indicates that certain GLS profiles seem to be more prevalent in certain regions where the turnips were harvested.
There is a wider GLS profile associated with the inland areas with a continental influence Bragança, Viseu, Guarda, since accessions from these locations tend to spread over both principal components. On the other hand, accessions from Aveiro tend to accumulate on the bottom part of the PCA, below any other accession, most likely revealing a greater effect of GBA and NBGS, which was already noticeable from Figure 2. Vila Real also presented an interesting location in the PCA, occupying a unique space outside the main cluster. Although Vila Real is only represented by one single accession (BPGV07480), this result could indicate a regional effect on GLS profiling, namely for GNL, which was at least 3-fold when compared with any other accession, and also very low values for GST.
Accession BPGV05888 belongs to the taxonomic classification of B. rapa sylvestris, commonly known as the wild form of B. campestris, and also referred to in the literature as the wild or weedy form of B. rapa [11,12]. Similar to other studies, this taxon differs from other B. rapa accessions in its GLS profile, despite being represented by a single accession. In the study conducted by [57], the authors identified the compounds GNA and GBN for the first time. In this study, we found that the main compounds in the accession’s GLS profile were GNA and GST.
Accessions BPGV06207 and BPGV12239 have a distinct GLS profile. The first is a landrace cultivated for sprouts, although it produces edible roots. The second landrace was designated by the farmer as B. rapa, but morphological taxonomy studies indicate that it is B. napus napobrassica and the GLS profile obtained may reflect this fact.
Hierarchical clustering was used to group similar accessions based on their GLS profiles into clusters. The resulting clusters are presented in the dendrogram’s hierarchical tree-like structure (Figure 4). The clusters appear to be influenced by the year of characterisation, with more cohesive groups forming within each agricultural year. However, they are not grouped together in the dendrogram.
There is variability in the GLS profiles between B. rapa landraces, with different profiles observed between B. rapa accessions from the same area, characterised in the same year and on the same plot.
The soil and climate conditions influenced the GLS profiles identified and detected, regardless of the organ being analysed (in this case turnips), as expected and considered by other authors [29,36,37].

3.5. Conclusions

The turnip breeding program could be useful for a deeper understanding of these crops for both nutritional quality and bioaccessibility, focusing on turnips with specific characteristics, namely GLS and phenolic compounds, as well as, antioxidant and antimicrobial activities, indicating varieties that contribute health benefits and adapted to Mediterranean conditions, thereby contributing to the diversification of, traditional or not, Brassica vegetable production systems, and may have disease-fighting properties potential, associated with the consumption of cruciferous.
The results from HRMS allowed the identification of a diverse range of chemical constituents from Brassica rapa and Brassica napus landraces conserved in ex situ collections in Portugal. These compounds include 14 GLS compounds and 7 hydroxyciannamic acids and their derivatives. PRO was the major compound identified in the turnip extracts of accession BPGV06207 and has been related to antithyroid effects. GBS was identified in the extracts of accession BPGV13051 and has been associated with anticancer and anti-inflammatory properties. These compounds could be responsible for the observed biological activities and may have potential health benefits.
There was observed some variability in the antioxidant activities among different Brassica accessions. Some landraces (BPGV06207 accession) exhibited significant antioxidant properties, while others (BPGV12736 and BPGV05049 accessions) have shown relatively lower activity in FRAP and DPPH▪ assays, respectively.
The antibacterial activity has shown variability among the 16 turnip accessions. A total of 11 accessions exhibited significant activity against two bacteria (S. enterica and S. aureus) with MIC values (2.5 mg mL−1), two accessions (BPGV12239 and BPGV02906) revealed also inhibition against E. coli) with MIC values of about 5 mg mL−1, and only one accession (BPGV05875) inhibited Y. enterocolitica with 5 mg mL−1 MIC value. These results suggest that these accessions could be potential candidates for therapeutic use against infections caused by the indicated bacteria.
The variation in the efficacy of the accessions, with some showing broad-spectrum activity and others being effective against a more limited range of bacteria, emphasizes the need for further research. This research aimed to enhance the efficacy and expand the spectrum of these antimicrobial agents, as well as to understand the mechanisms of resistance in the less susceptible bacteria.
The results suggest that consuming Brassica rapa and Brassica napus varieties, particularly those grown in Portuguese environments, could potentially contribute to human health due to their bioactive properties.
The findings have implications for agricultural practices, crop diversification, and industry stakeholders involved in Brassica production and product development. Understanding the chemical and biological characteristics of Brassica varieties stands for breeding strategies aimed at enhancing desirable traits for both agricultural productivity and human health. Similarly, the development of Brassica-based products with optimised bioactive profiles could cater to consumer demand for functional foods and natural health supplements.

Supplementary Materials

The following supporting information can be downloaded at: https://www.mdpi.com/article/10.3390/foods13081164/s1. Scheme S1—Proposed fragmentation mechanism for precursor ion m/z 422.0593 attributed to the deprotonated molecule of Gluconasturtiin.

Author Contributions

Conceptualisation, V.R.L. and C.S. methodology, V.R.L., C.S., M.C.O., A.S. and O.S.; software, C.S., O.S. and M.C.O.; validation, C.S., M.C.O. and T.C.S.P.P.; formal analysis, C.S., M.C.O., A.S. and O.S.; investigation, V.R.L., C.S., M.C.O., O.S., A.K.M., B.H.P. and T.C.S.P.P.; resources, V.R.L., A.M.B. and C.S.; data curation, C.S. and M.C.O. writing—original draft preparation, C.S., V.R.L., M.C.O. and T.C.S.P.P.; writing—review and editing, V.R.L., C.S., M.C.O., T.C.S.P.P. and O.S.; visualisation, V.R.L., C.S. and M.C.O.; supervision, V.R.L., C.S., M.C.O. and T.C.S.P.P.; project administration, V.R.L. and. C.S.; funding acquisition, V.R.L. and A.M.B. All authors have read and agreed to the published version of the manuscript.

Funding

Work developed within the project was financially supported by PDR2020-7.8.4-FEADER-784-042736 Conservação e melhoramento de Hortícolas and Foundation for Science and Technology (FCT, Portugal) for financial support through national funds FCT/MCTES to CIMO (UIDB/00690/2020), and Centro de Química Estrutural (CQE) is supported by the Fundação para a Ciência e Tecnologia (FCT, Portugal) through Projects UIDB/00100/2020 and UIDP/00100/2020.

Institutional Review Board Statement

Not applicable.

Informed Consent Statement

Not applicable.

Data Availability Statement

The original contributions presented in the study are included in the article/supplementary material, further inquiries can be directed to the corresponding author.

Conflicts of Interest

The authors declare no conflicts of interest.

References

  1. FAOSTAT. Food and Agriculture Organization of the United Nations. FAOSTAT Statistical Database. FAO DATABASE. 2014. Available online: http://www.fao.org/faostat/en/ (accessed on 5 May 2021).
  2. Mordor Intelligence Research & Advisory. Análise de Tamanho e Participação do Mercado de Couves e Outras Brássicas—Tendências e Previsões de Crescimento (2023–2028). Mordor Intelligence. 2023. Available online: https://www.mordorintelligence.com/pt/industry-reports/cabbages-and-other-brassicas-market (accessed on 17 January 2024).
  3. FAO. Fruit and vegetables—Your dietary essentials. In The International Year of Fruits and Vegetables; Background Paper; FAO: Rome, Italy, 2021. [Google Scholar] [CrossRef]
  4. FAOSTAT. Food and Agriculture Organization of the United Nations. FAOSTAT Statistical Database. FAO DATABASE. 2018. Available online: http://www.fao.org/faostat/en/#data (accessed on 30 March 2022).
  5. INE. Base de Dados—Produção das Principais Culturas Agrícolas. 2022. Available online: https://www.ine.pt/xportal/xmain?xpid=INE&xpgid=ine_indicadores&indOcorrCod=0000020&xlang=pt&contexto=bd&selTab=tab2 (accessed on 12 May 2022).
  6. Prakash, S.; Wu, X.-M.; Bhat, S.R. History, Evolution, and Domestication of Brassica Crops. In Plant Breeding Reviews; Janick, J., Ed.; Wiley Online Books: Hoboken, NJ, USA, 2011; Volume 35, pp. 19–84. [Google Scholar] [CrossRef]
  7. Guo, Y.; Chen, S.; Li, Z.; Wallace, C.A. Center of Origin and Centers of Diversity in an Ancient Crop, Brassica rapa (Turnip Rape). J. Hered. 2014, 105, 555–565. [Google Scholar] [CrossRef]
  8. Prakash, S.; Bhat, S.R.; Quiros, C.F.; Kirti, P.B.; Chopra, V.L. Brassica and Its Close Allies: Cytogenetics and Evolution. In Plant Breeding Reviews; Janick, J., Ed.; John Wiley & Sons: Hoboken, NY, USA, 2009; pp. 21–187. [Google Scholar] [CrossRef]
  9. Ayadi, J.; Debouba, M.; Rahmani, R.; Bouajila, J. Brassica Genus Seeds: A Review on Phytochemical Screening and Pharmacological Properties. Molecules 2022, 27, 6008. [Google Scholar] [CrossRef] [PubMed]
  10. Das, G.; Tantengco, O.A.G.; Tundis, R.; Robles, J.A.H.; Loizzo, M.R.; Shin, H.S.; Patra, J.K. Glucosinolates and Omega-3 Fatty Acids from Mustard Seeds: Phytochemistry and Pharmacology. Plants 2022, 11, 2290. [Google Scholar] [CrossRef]
  11. Bird, K.A.; An, H.; Gazave, E.; Gore, M.A.; Pires, J.C.; Robertson, L.D.; Labate, J.A. Population Structure and Phylogenetic Relationships in a Diverse Panel of Brassica rapa L. Front. Plant Sci. 2017, 13, 321. [Google Scholar] [CrossRef]
  12. McAlvay, A.C.; Ragsdale, A.P.; Mabry, M.E.; Qi, X.; Bird, K.A.; Velasco, P.; An, H.; Pires, J.C.; Emshwiller, E. Brassica rapa Domestication: Untangling Wild and Feral Forms and Convergence of Crop Morphotypes. Mol. Biol. Evol. 2021, 38, 3358–3372. [Google Scholar] [CrossRef]
  13. Hayward, A. Introduction-oilseed Brassicas. In Genetics, Genomics and Breeding of Oilseed Brassicas; Science Publishers, Inc.: Enfield, NH, USA, 2011; pp. 1–13. [Google Scholar]
  14. Halkier, B.A.; Gershenzon, J. Biology and biochemistry of glucosinolates. Annu. Rev. Plant Biol. 2006, 57, 303–333. [Google Scholar] [CrossRef] [PubMed]
  15. Gonçalves, E.; Alegria, C.; Abreu, M. Benefits of Brassica nutraceutical compounds in human health. In Brassicaceae: Characterization, Functional Genomics and Health Benefits; Lang, M., Ed.; Nova Publishers, Inc.: New York, NY, USA, 2013; Chapter 2; pp. 19–65. [Google Scholar]
  16. Gonçalves, E.M.; Alegria, C.; Ramos, A.C.; Abreu, M. Advances in understanding and improving the nutraceutical properties of broccoli and other Brassicas. In Understanding and Optimising the Nutraceutical Properties of Fruit and Vegetables; Preedy, V.R., Patel, V.B., Eds.; Burleigh Dodds Science Publishing: Cambridge, UK, 2022; pp. 1–31. ISBN 978-1-78676-850-6. Available online: www.bdspublishing.com (accessed on 28 February 2023). [CrossRef]
  17. Fahey, J.W.; Zalcmann, A.T.; Talalay, P. The chemical diversity and distribution of glucosinolates and isothiocyanates among plants. Phytochemistry 2001, 56, 5–51. [Google Scholar] [CrossRef] [PubMed]
  18. Holst, B.; Williamson, G. A critical review of the bioavailability of glucosinolates and related compounds. Nat. Prod. Rep. 2004, 21, 425–447. [Google Scholar] [CrossRef]
  19. Padilla, G.; Cartea, M.E.; Velasco, P.; de Haro, A.; Ordás, A. Variation of glucosinolates in vegetable crops of Brassica rapa. Phytochemistry 2007, 68, 536–545. [Google Scholar] [CrossRef]
  20. Wagner, A.E.; Terschluessen, A.M.; Rimbach, G. Health promoting effects of brassica-derived phytochemicals: From chemo-preventive and anti-inflammatory activities to epigenetic regulation. Oxid. Med. Cell. Longev. 2013, 2013, 964539. [Google Scholar] [CrossRef]
  21. Burrows, G.E.; Tyrl, R.J. Toxic Plants of North America, 2nd ed.; Wiley-Blackwell: Ames, IA, USA, 2013; ISBN 978-0-813-82034-7. [Google Scholar]
  22. Shapiro, T.A.; Fahey, J.W.; Dinkova-Kostova, A.T.; Holtzclaw, W.D.; Stephenson, K.K.; Wade, K.L.; Ye, L.; Talalay, P. Safety, tolerance, and metabolism of broccoli sprout glucosinolates and isothiocyanates: A clinical phase I study. Nutr. Cancer 2006, 55, 53–62. [Google Scholar] [CrossRef] [PubMed]
  23. Burčul, F.; Generalić Mekinić, I.; Radan, M.; Rollin, P.; Blažević, I. Isothiocyanates: Cholinesterase inhibiting, antioxidant, and anti-inflammatory activity. J. Enzym. Inhib. Med. Chem. 2018, 33, 577–582. [Google Scholar] [CrossRef] [PubMed]
  24. Esteve, M. Mechanisms Underlying Biological Effects of Cruciferous Glucosinolate-Derived Isothiocyanates/Indoles: A Focus on Metabolic Syndrome. Front. Nutr. 2020, 7, 111. [Google Scholar] [CrossRef] [PubMed]
  25. Romani, A.; Vignolini, P.; Isolani, L.; Ieri, F.; Heimler, D. HPLC-DAD/MS characterization of flavonoids and hydroxycinnamic derivatives in turnip tops (Brassica rapa L. Subsp. sylvestris L.). J. Agric. Food Chem. 2006, 54, 1342–1346. [Google Scholar] [CrossRef] [PubMed]
  26. Dias, J.S. Taxonomia das Couve Galaico-Portuguesas Utilizando Caracteres Morfológicos, Isoenzimas e RFLPs. Ph.D. Thesis, Universidade Técnica de Lisboa, Lisboa, Portugal, 1992. [Google Scholar]
  27. Dias, J.S. Portuguese perennial kale: A relic leafy vegetable crop. Genet. Resour. Crop Evol. 2012, 59, 1201–1206. [Google Scholar] [CrossRef]
  28. Negri, V.; Maxted, N.; Vetelainen, M. European landrace conservation: An introduction. In European Landraces: On-Farm Conservation, Management and Use; Bioversity Technical, Bulletin; Vetelainen, M., Negri, V., Maxted, N., Eds.; Bioversity International: Rome, Italy, 2009; Volume 15, pp. 1–22. [Google Scholar]
  29. Cartea, E.; Cámara-Martos, F.; Obregón, S.; Rubén Badenes-Pérez, F.; De Haro, A. Advances in Breeding in Vegetable Brassica rapa Crops; IntechOpen: London, UK, 2021. [Google Scholar] [CrossRef]
  30. Lopes, V.R.; Barata, A.M.; Nunes, E.; Cartea, M.H.; Soengas, P.; Allender, C.; Bas, N. Assessment of Genetic Diversity in Iberian Landraces of Brassica oleracea by Molecular Markers. In Proceedings of the 6th International Symposium on Brassica and 18th Crucifer Genetic Workshop, Catania, Italy, 12–16 November 2012; p. 98. [Google Scholar]
  31. Branca, F.; Coelho, P.S.; De Haro, A.; Rosa, E.; Lopes, V.R.; Scalzo, R. Collection, Characterization and Evaluation of Wild and Cultivated Brassicas. 2016. Available online: https://www.researchgate.net/profile/Ferdinando_Branca/ (accessed on 30 March 2020). [CrossRef]
  32. Coelho, P.S.; Monteiro, A.A.; Lopes, V.R.; Branca, F. New sources of resistance to downy mildew in a collection of wild and cultivated brassicas. Acta Hortic. 2018, 1202, 93–100. [Google Scholar] [CrossRef]
  33. Tribulato, A.; Donzella, E.; Sdouga, D.; Lopes, V.R.; Branca, F. Bio-morphological characterization of Mediterranean wild and cultivated Brassica species. Acta Hortic. 2018, 1202, 9–16. [Google Scholar] [CrossRef]
  34. Coelho, P.S.; Carlier, J.D.; Monteiro, A.A.; Leitão, J.M. A major QTL conferring downy mildew resistance in ‘Couve Algarvia’ (Brassica oleracea var. tronchuda) is located on chromosome 8. Acta Hortic. 2023, 1362, 289–296. [Google Scholar] [CrossRef]
  35. Subramanian, P.; Kim, S.H.; Hahn, B.S. Brassica biodiversity conservation: Prevailing constraints and future avenues for sustainable distribution of plant genetic resources. Front. Plant Sci. 2023, 14, 1220134. [Google Scholar] [CrossRef]
  36. Conversa, G.; Lazzizera, C.; Bonasia, A.; La Rotonda, P.; Elia, A. Nutritional Characterization of Two Rare Landraces of Tur-nip (Brassica rapa. var. rapa) Tops and Their On-Farm Conservation in Foggia Province. Sustainability 2020, 12, 3842. [Google Scholar] [CrossRef]
  37. Aires, A.; Fernandes, C.; Carvalho, R.; Bennett, R.N.; Saavedra, M.J.; Rosa, E.A.S. Seasonal Effects on Bioactive Compounds and Antioxidant Capacity of Six Economically Important Brassica Vegetables. Molecules 2011, 16, 6816–6832. [Google Scholar] [CrossRef] [PubMed]
  38. OECD. Brassica crops (Brassica species). In Safety Assessment of Transgenic Organisms in the Environment; OECD Consensus Documents; OECD Publishing: Paris, France, 2016; Volume 5. [Google Scholar] [CrossRef]
  39. Kondo, S.; Yoshikawa, H.; Katayama, R. Antioxidant activity in astringent and non-astringent persimmons. J. Hortic. Sci. Biotechnol. 2004, 79, 390–394. [Google Scholar] [CrossRef]
  40. Deighton, N.; Brennan, R.; Finn, C.; Davies, H.V. Antioxidant properties of domesticated and wild Rubus species. J. Sci. Food Agric. 2000, 80, 1307–1313. [Google Scholar] [CrossRef]
  41. Slinkard, K.; Singleton, V.L. Total Phenol Analysis: Automation and Comparison with Manual Methods. Am. J. Enol. Vitic. 1977, 28, 49–55. [Google Scholar] [CrossRef]
  42. Asami, D.K.; Hong, Y.J.; Barrett, D.M.; Mitchell, A.E. Processing-induced changes in total phenolics and procyanidins in clingstone peaches. J. Sci. Food Agric. 2003, 83, 56–63. [Google Scholar] [CrossRef]
  43. Pires, T.C.P.; Dias, M.I.; Barros, L.; Alves, M.J.; Oliveira, M.B.P.; Santos-Buelga, C.; Ferreira, I.C.R. Antioxidant and antimicrobial properties of dried Portuguese apple variety (Malus domestica Borkh. cv Bravo de Esmolfe). Food Chem. 2018, 240, 701–706. [Google Scholar] [CrossRef] [PubMed]
  44. STATISTICA (Data Analysis Software System), Version 12; StatSoft. Inc. Available online: https://statistica.software.informer.com/12.0/ (accessed on 1 November 2021).
  45. R Core Team. R: A Language and Environment for Statistical Computing; R Foundation for Statistical Computing: Vienna, Austria, 2021; Available online: https://www.R-project.org/ (accessed on 1 November 2021).
  46. Wickham, H.; Averick, M.; Bryan, J.; Chang, W.; McGowan, L.D.; François, R.; Grolemund, G.; Hayes, A.; Henry, L.; Hester, J.; et al. Welcome to the Tidyverse. J. Open Source Softw. 2019, 4, 1686. [Google Scholar] [CrossRef]
  47. Wickham, H. ggplot2: Elegant Graphics for Data Analysis; Springer: New York, NY, USA, 2016. [Google Scholar]
  48. Olivoto, T.; Lúcio, A.D. metan: An R package for multi-environment trial analysis. Methods Ecol. Evol. 2020, 11, 783–789. [Google Scholar] [CrossRef]
  49. Mocniak, L.E.; Elkin, K.R.; Dillard, S.L.; Bryant, R.B.; Soder, E.J. Building comprehensive glucosinolate profiles for brassica varieties. Talanta 2023, 251, 123814. [Google Scholar] [CrossRef]
  50. Stefanucci, A.; Zengin, G.; Llorent-Martinez, E.J.; Dimmito, M.P.; Della Valle, A.; Pieretti, S.; Ak, G.; Sinan, K.I.; Mollica, A. Chemical characterization, antioxidant properties and enzyme inhibition of Rutabaga root’s pulp and peel (Brassica napus L.). Arab. J. Chem. 2020, 13, 7078–7086. [Google Scholar] [CrossRef]
  51. Nawaz, H.; Shad, M.A.; Muzaffar, S. Phytochemical Composition and Antioxidant Potential of Brassica. In Brassica Germplasm—Characterization, Breeding and Utilization; InTech: Houston, TX, USA, 2018. [Google Scholar] [CrossRef]
  52. Serrano, C.; Matos, O.; Teixeira, B.; Ramos, C.; Neng, N.; Nogueira, J.; Nunes, M.L.; Marques, A. Antioxidant and antimicrobial activity of Satureja montana L. extracts. J. Sci. Food Agric. 2011, 91, 1554–1560. [Google Scholar] [CrossRef] [PubMed]
  53. Arnao, M.B. Some Methodological Problems in the Determination of Antioxidant Activity Using Chromogen Radicals: A Practical Case. Trends Food Sci. Technol. 2000, 11, 419–421. [Google Scholar] [CrossRef]
  54. Prior, R.L.; Wu, X.; Schaich, K. Standardized Methods for the Determination of Antioxidant Capacity and Phenolics in Foods and Dietary Supplements. J. Agric. Food Chem. 2005, 53, 4290–4302. [Google Scholar] [CrossRef] [PubMed]
  55. Beltagy, A.M. Investigation of new antimicrobial and antioxidant activities of Brassica rapa L. Int. J. Pharm. Pharm. Sci. 2014, 6, 19–25. [Google Scholar]
  56. Paul, S.; Geng, C.-A.; Yang, T.-H.; Yang, Y.-P.; Chen, J.-J. Phytochemical and health-beneficial progress of turnip (Brassica rapa). J. Food Sci. 2019, 84, 19–30. [Google Scholar] [CrossRef]
  57. Barbieri, G.; Pernice, R.; Maggio, A.; De Pascale, S.; Fogliano, V. Glucosinolates profile of Brassica rapa L. subsp. Sylvestris L. Janch. var. esculenta Hort. Food Chem. 2008, 107, 1687–1691. [Google Scholar] [CrossRef]
Figure 1. General structure of a deprotonated molecule of a GLS.
Figure 1. General structure of a deprotonated molecule of a GLS.
Foods 13 01164 g001
Figure 2. Variation between the average values (m/z (Δ ppm)) of the accessions by region of origin.
Figure 2. Variation between the average values (m/z (Δ ppm)) of the accessions by region of origin.
Foods 13 01164 g002
Figure 3. Principal component analysis biplot based on average values matrix of GLS identifies 27 accessions of B. rapa. The different colours represent the different districts, and each district’s accessions are marked by the same colours.
Figure 3. Principal component analysis biplot based on average values matrix of GLS identifies 27 accessions of B. rapa. The different colours represent the different districts, and each district’s accessions are marked by the same colours.
Foods 13 01164 g003
Figure 4. Hierarchical clustering of the 27 accessions based on their LC-MS profile (r = 0.915).
Figure 4. Hierarchical clustering of the 27 accessions based on their LC-MS profile (r = 0.915).
Foods 13 01164 g004
Table 1. Identification of the turnip and rapeseed accessions evaluated, their origin, sample, and harvest year.
Table 1. Identification of the turnip and rapeseed accessions evaluated, their origin, sample, and harvest year.
AccessionCounty OriginPortugal RegionSpeciesSample AnalizedHarvest Year
BPGV03990BragaNorth-westBrassica rapaturnip2019
BPGV12376BragançaFar northeastBrassica rapaturnip2019
BPGV12405BragançaFar northeastBrassica rapaturnip2019
BPGV12239BragançaFar northeastBrassica rapaturnip2019
BPGV12296BragançaFar northeastBrassica rapaturnip2019
BPGV16127GuardaCentral-north inlandBrassica rapaturnip2019
BPGV11177LeiriaLittoral western centralBrassica rapaturnip2019
BPGV05875SantarémCentreBrassica rapaturnip2019
BPGV11111SantarémCentreBrassica rapaturnip2019
BPGV04542ViseuCentre-northBrassica rapaturnip2019
BPGV07301Vila RealNorthern inlandBrassica rapaturnip2019
BPGV07480Vila realNorthern inlandBrassica rapaturnip2019
BPGV06987ABragançaFar northeastBrassica napus var. napobrassica (L.) Rchb.turnip2019
BPGV06987BBragançaFar northeastBrassica napus var. napobrassica (L.) Rchb.turnip2019
BPGV02906Vila realNorthern inlandBrassica napus var. napobrassica (L.) Rchb.turnip2019
BPGV05888SantarémCentreBrassica rapa sylvestristurnip2019
BPGV12636AveiroLittoral CentreBrassica rapaturnip2020
BPGV12736AveiroLittoral CentreBrassica rapaturnip2020
BPGV12737AveiroLittoral CentreBrassica rapaturnip2020
BPGV12878AveiroLittoral CentreBrassica rapaturnip2020
BPGV12914AveiroLittoral CentreBrassica rapaturnip2020
BPGV05049BragançaFar northeastBrassica rapaturnip2020
BPGV13051GuardaCentral-north inlandBrassica rapaturnip2020
BPGV13083GuardaCentral-north inlandBrassica rapaturnip2020
BPGV05096GuardaCentral-north inlandBrassica rapaturnip2020
BPGV11840PortalegreCentre-south inlandBrassica rapaturnip2020
BPGV06207ViseuCentre-northBrassica rapaturnip2020
BPGV16434ViseuCentre-northBrassica rapaturnip2020
BPGV04856GuardaCentral-north inlandBrassica rapa subsp. rapaturnip2020
BPGV04075GuardaCentral-north inlandBrassica rapa subsp. rapaturnip2020
BPGV02160BragaNorth-westBrassica rapa subsp. rapaturnip2020
BPGV02578BragaNorth-westBrassica napusseeds2021
BPGV04238BragancaFar northeastBrassica napusseeds2021
BPGV02636Viana CasteloLittoral North-westBrassica napusseeds2021
BPGV02740Viana CasteloLittoral North-westBrassica napusseeds2021
BPGV02745Viana CasteloLittoral North-westBrassica napusseeds2021
BPGV02707Vila RealNorthern inlandBrassica napusseeds2021
The identification of the accessions follows the Nomenclature and genomic relationships of cultivated Brassica species and related genera from the [38].
Table 2. UHPLC-ESI(-)-HRMS/MS characterisation of the main compounds present in the turnip methanol extracts.
Table 2. UHPLC-ESI(-)-HRMS/MS characterisation of the main compounds present in the turnip methanol extracts.
Semisystematic Name
(Glucosinolate Group)
Trivial Name
(Abbreviation)
TR
(min)
Ionic
Formula
[M − H]
(m/z (Δ ppm)
MS/MS
[m/z (Δ ppm) (Attribution)]
2(R)-2-Hydroxyl but- -3-enyl
(hydroxyalkenyl)
Progoitrin
(PRO)
1.38[C11H19N1O10S2]388.0380; −0.7308.0805; −2.4; (C11H18N1O7S1)
301.0124; −0.5; (C8H13O8S2)
274.9904; −1.0; (C6H11O8S2)
259.0131; −0.6; (C6H11O9S1)
241.0029; −2.3; (C6H9O8S1)
195.0334; −0.6; (C6H11O5S1)
194.9794; −1.3; (C6H7O4S2)*F2b
179.0560; −0.7; (C5H11O6)
146.0278; +1.9; (C5H8N1O2S1)*F1
135.9706; +3.1; (C2H2N1O4S1)
2-Hydroxypent-
-4-enyl
(hydroxyalkenyl)
Gluco-
napoleiferin
(GNL)
1.45[C12H20N1O10S2]402.0543; −2.3322.0950; −2.4; (C12H20N1O7S1)
274.9902; −1.9; (C6H11O8S2)
259.0131; −2.1; (C6H11O9S1)
208.9952; −2.2; (C6H9O4S2)*F2b
195.0333; −0.9; (C6H11O5S1)
160.0437; +0.2; (C6H10N1O2S)*F1
135.9713; −2.0; (C2H2N1O4S)
But-3-enyl
(alkenyl)
Gluconapin
(GNA)
1.47[C11H18N1O9S2]372.0432; −1.0292.0861; −0.4; (C11H18N1O6S)
274.9905; −1.5; (C6H11O8S2)
259.0133; −1.3; (C6H11O9S1)
241.0025; −0.5; (C6H9O8S1)
195.0333; −0.9; (C6H11O5S1)
178.9834; −4.4; (C5H7O3S2)*F2b
130.0334; −1.2; (C5H8NOS)*F1
4-Hydroxyindol-
-3-ylmethyl
(indole)
4-Hydroxy-
glucobrassicin
(4-OHGBS)
1.55[C16H19N2O10S2]463.0491; −0.9383.0921; −0.6; (C16H19N2O7S)
274.9903; −0.4; (C6H11O8S2)
267.0081; −0.2; (C10H7N2O5S) *F2a
259.0128; −0.4; (C6H11O9S1)
221.0390; −0.3; (C10H9N2O2S1)*F1
Pent-4-enyl
(alkenyl)
Gluco-
brassicanapin
(GBN)
2.20[C12H20N1O9S2]386.0583; −0.6306.1011; −1.1; (C12H20N1O6S)
274.9900; −0.3; (C6H11O8S2)
259.0131; −0.6; (C6H11O9S1)
241.0021; −1.1; (C6H9O8S1)
195.0332; −0.4; (C6H11O5S)
190.0187; −3.8; (C6H8NO4S1)*F2a
144.0484; −2.9; (C6H10NOS1)*F1
Hydroxyindol-
-3-ylmethyl
(indole)
Hydroxy-
glucobrassicin isomer
(OHGBS isomer)
3.02[C16H19N2O10S2]463.0493; −1.1383.0917; −0.4; (C16H19N2O7S)
274.9902; −0.3; (C6H11O8S2)
267.0092; −4.2; (C10H7N2O5S)*F2a
259.0131; −0.6; (C6H11O9S1)
221.0391; −0.4; (C10H9N2O4S1)*F1
195.0339; −4.4; (C6H11O5S)
4(Methylsulphanyl)-
-butyl
(sulphur containing)
Glucoerucin
(GER)
3.21[C12H22N1O9S3]420.0467; −1.2340.0913; −5.4; (C12H22N1O6S2)
331.0716; −1.4; (C11H22N1O6S2)
274.9900; −1.5; (C6H11O8S2)
259.0140; −4.3; (C6H11O9S1)
226.9884; −3.5; (C6H11O3S3)*F2b
195.0340; −4.9; (C6H11O5S)
178.0366; −0.1; (C6H12N1OS2)*F1
130.0334; −1.2; (C5H8NOS)
Pentenyl
(alkenyl)
Gluco-
brassicanapin
isomer
(GBN isomer)
3.38[C12H20N1O9S2]386.0595; −2.6306.1024; −2.5; (C12H20N1O6S)
274.9905; −2.6; (C6H11O8S2)
259.0133; −1.3; (C6H11O9S1)
241.0035; −2.0; (C6H9O8S1)
195.0339; −2.5; (C6H11O5S)
190.0187; −3.8; (C6H8NO4S)*F2a
144.0487; −0.9; (C6H10NOS)*F1
Indol-3-ylmethyl
(indole)
Glucobrassicin
(GBS)
3.40[C16H19N2O9S2]447.0547; −2.0367.0962; −2.0; (C16H19N2O6S1)
274.9909; −3.1; (C6H11O8S2)
259.0138; −3.4; (C6H11O9S1)
253.9961; −3.9; (C10H8N1O3S2)*F2b
205.0440; −0.5; (C10H9N2OS)*F1
172.0223; −2.1; (C10H6N1S1)
2(R)-Hydroxy-
-2-phenylethyl
(aromatic)
Glucobarbarin
(GBA)
3.70[C15H20N1O10S2]438.0534; −3.7358.0996; −7.4; (C15H20N1O7S1)
274.9909; −3.1; (C6H11O8S2)
259.0140; −4.1; (C6H11O9S1)
244.9941; −2.8; (C9H9O4S2)*F2b
196.0442; −2.0; (C9H10NO2S1)*F1
172.0223; −2.1; (C10H6N1S1)
5-(Methylsulfanyl)-
-pentyl
(sulfur containing)
Glucoberteroin
(GOB)
4.46[C13H24N1O9S3]434.0626; −1.7354.1060; −2.8; (C13H24N1O6S2)
274.9903; −0.7; (C6H11O8S2)
259.0140; −1.8; (C6H11O9S1)
241.0035; −1.1; (C7H13O3S3)*F2b
195.0335; −1.3; (C6H11O5S1)
192.0524; −1.3; (C7H14N1O1S2)*F1
2-Phenylethyl
(aromatic)
Gluconasturtiin
(GST)
4.47[C15H20N1O9S2]422.0593; −2.0342.1026; −2.8; (C15H20N1O6S1)
274.9912; −3.9; (C6H11O8S2)
259.0295; −3.6; (C6H11O9S1)
241.0032; −3.5; (C6H9O8S1)
229.0006; −3.1; (C9H9O3S2)*F2b
226.0184; −1.8; (C9H8N1O4S1)*F2a
180.0485; −1.8; (C9H10N1O1S1)*F1
4-Methoxyindol-
-3-ylmethyl
(indole)
4-methoxy-
glucobrassicin
(NGBS)
4.78[C17H21N2O10S2]477.0655; −2.5284.0062; −2.0; (C11H10N1O4S2)*F2b
274.9911; −3.9; (C6H11O8S2)
259.0138; −0.9; (C6H11O9S1)
235.0560; −5.8; (C11H11N2O2S1)*F1
205.0441; −0.2; (C10H9N2O1S1)
203.0286; −0.5; (C10H7N2O1S1)
1-Methoxyindol-
-3-ylmethyl
(indole)
1-methoxy-
-glucobrassicin
(NGBS isomer)
5.62[C17H21N2O10S2]477.0664; −3.7446.0480; −4.6; (C16H18N2O9S2)−•
274.9900; −0.9; (C6H11O8S2)
259.0136; −2.6; (C6H11O9S1)
235.0559; −5.2; (C11H11N2O2S1)*F1
205.0437; −1.9; (C10H9N2O1S1)
195.0344; −6.0; (C6H11O5S)
Hydroxyciannamic
acids
Sucrose 1.13[C12H21O11]341.1091; −0.5179.0562; −0.7; (C8H11O6)
Gentisoyl
glucoside
1.93[C13H15O9]315.0726; −1.5153.02187; +4,7; (C7H5O4)
1-O-Sinapolyl-
glucose
4.80[C17H21O10]385.1139; −0.2205.0510; −1.8; (C11H9O4)
179.0723; −5.3; (C10H11O3)
164.0480; −0.4; (C9H8O3)−•
Sinapic acid6.17[C11H11O5]223.0612; −1.9208.0375; −0.7; (C10H8O5)−•
179.0708; −7.7; (C10H11O3)
164.0469; −5.7; (C9H8O3)−•
1,2-Disinapoyl-gentiobiose6.73[C34H41O19]753.2252; −0.5529.1571; −0.8; (C23H29O14)
223.0615; −1.3; (C11H11O5)
205.0510; −1.4; (C11H9O4)
1-Feruloyl-
-1-sinapoyl-
gentiobiose
6.88[C33H39O18]723.2145; −0.4449.1471; −2.7; (C22H27O13)
223.0615; −3.6; (C11H11O5)
205.0517; −5.0; (C11H9O4)
175.0463; −1.6; (C10H7O3)
1,2,2′-Trisinapoyl-
Gentiobiose
7.46[C45H51O23]959.2855; −2.5735.2155; −1.0; (C34H39O18)
529.1578; −2.8; (C23H29O14)
223.0622; −4.7; (C11H11O5)
205.0505; −0.5; (C11H9O4)
1,2′-Disinapoyl-2-
-feruloyl-
Gentiobiose
8.15[C44H49O22]929.2721; −3.8705.2057; −2.9; (C33H37O17)
529.1575; −2.3; (C23H29O14)
205.0518; −5.5; (C11H9O4)
* Symbols F1 and F2a or F2b indicate fragmentation paths which are specific to each GLS molecular structure (differentiated by the R functional group).
Table 3. Antioxidant activity and total phenolic compounds for B. rapa and B. napus turnip extracts.
Table 3. Antioxidant activity and total phenolic compounds for B. rapa and B. napus turnip extracts.
AccessionTPC (mg GAE·g−1) DWFRAP (µmolFe2+·g−1) DWDPPH (mmolTE·g−1) DW
BPGV039907.85 ± 0.39 a,b,c,d,e,f79.4 ± 2.99 a,b157.59 ± 0.16 b,c
BPGV123769.66 ± 0.11 c,d,e,f,g,h,i73.50 ± 4.65 a,b,c,d208.28 ± 8.77 b,c,d,e
BPGV1240511.91 ± 1.19 h,i,j,l102.96 ± 3.77 a,b,c177.96 ± 1.61 b,c,d,e
BPGV122398.66 ± 2.60 a,b,c,d,e,f,g,h51.08 ± 11.93 a,b,c,d187.11 ± 2.01 b,c,d,e
BPGV1229610.47 ± 0.77 f,g,h,i,j88.83 ± 12.23 a,b,c212.60 ± 0.08 b,c,d,e
BPGV1612710.05 ± 0.54 d,e,f,g,h,i97.64 ± 3.32 a202.36 ± 1.69 b,c,d,e
BPGV111778.17 ± 0.06 a,b,c,d,e,f,g63.61 ± 6.85 a186.72 ± 4.02 b,c,d,e
BPGV0587512.10 ± 0.18 h,i,j,l106.41 ± 0.29 a,b,c,d188.48 ± 0.08 b,c,d,e
BPGV1111111.76 ± 2.52 h,i,j,l74.80 ± 21.11 a179.15± 9.41 b,c,d,e
BPGV045429.13 ± 0.45 c,d,e,f,g,h,i68.48 ± 2.79 a184.10 ± 6.44 b,c,d,e
BPGV073015.38 ± 0.97 a59.70 ± 16.08 a,b,c,d230.40 ± 7.40 e
BPGV074805.61 ± 0.88 a,b51.03 ± 1.50 a,b,c194.28 ± 30.97 b,c,d,e
BPGV06987A6.89 ± 0.22 a,b,c,d60.68 ± 4.57 a,b,c,d202.36 ± 1.69 b,c,d,e
BPGV06987B10.52 ± 0.49 i,j72.00 ± 5.70 a,b,c195.65 ± 5.07 b,c,d,e
BPGV029066.72 ± 0.67 a,b,c,d55.17 ± 4.94 a,b,c213.91 ± 3.38 b,c,d,e
BPGV058887.01 ± 0.55 a,b,c,d,e59.74 ± 8.60 a,b,c196.59 ± 6.80 b,c,d,e
BPGV126367.91 ± 0.51 a,b,c,d,e,f64.43 ± 7.80 a,b,c,d,e210.08 ± 7.56 b,c,d,e
BPGV127366.41 ± 0.09 a,b,c44.01 ± 10.69 a,b,c156.91 ± 2.95 b
BPGV1273713.72 ± 0.71 j,l,m123.92 ± 14.21 e228.3 ± 0.16 e
BPGV1287811.73 ± 0.07 h,i,j,l85.04 ± 2.73 c,d,e225.44 ± 1.50 e
BPGV1291418.00 ± 0.64 n127.97 ± 0.15 e218.72 ± 2.52 d,e
BPGV0504912.58 ± 0.00 i,j,l69.31 ± 7.01 a,b,c,d94.00 ± 17.70 a
BPGV130518.75 ± 0.42 a,b,c,d,e,f,g,h65.94 ± 22.57 a,b,c,d193.16 ± 32.34 b,c,d,e
BPGV1308315.12 ± 0.03 l,m,n124.06 ± 38.57 e184.67 ± 51.43 b,c,d,e
BPGV050969.79 ± 0.29 c,d,e,f,g,h,i83.75 ± 5.55 b,c,d,e216.71 ± 6.22 d,e
BPGV1184016.90 ± 0.83 m,n104.37 ± 0.42 d,e210.23 ± 3.16 b,c,d,e
BPGV164347.09 ± 0.46 a,b,c,d,e,f56.92 ± 20.44 a,b,c,d168.89 ± 1.45 b,c,d
BPGV0620716.92 ± 0.66 m,n130.83 ± 24.98 e232.53 ± 1.56 e
BPGV048568.99 ± 0,45 h,i,j,l63.61 ± 5.34 a,b,c,d,e190.51 ± 11.10 b,c,d,e
BPGV0407512.06 ± 0.58 b,c,d,e,f,g,h70.51 ± 1.21 a,b,c,d211.63 ± 9.01 b,c,d,e
BPGV0216011.43 ± 0.44 g,h,i,j81.92 ± 6.55 b,c,d,e221.07 ± 1.13 d,e
Values are expressed as average ± standard deviation of two parallel experiments. DW: dry weight GAE: Gallic acid equivalents; TE: Trolox equivalents; Different letters in the same column indicate significant differences (p < 0.05). Statistical evaluation was performed using ANOVA test.
Table 4. Antioxidant activity and total phenolic compounds for B. napus turnip seed extracts.
Table 4. Antioxidant activity and total phenolic compounds for B. napus turnip seed extracts.
AccessionTPC (mg GAE·g−1) DWFRAP (mmolFe2+·g−1) DWDPPH (mmol·TE g−1) DW
BPGV0257827.09 ± 2.69 a3.18 ± 0.15 a330.88 ± 40.58 a
BPGV0423824.90 ± 5.16 a3.01 ± 0.35 a280.38 ± 65.11 a
BPGV0263623.04 ± 0.94 a2.74 ± 0.16 a246.44 ± 2.59 a
BPGV0274027.39 ± 0.20 a3.12± 0.50 a314.81 ± 12.71 a
BPGV0274525.12 ± 0.37 a2.89 ± 0.01 a296.73 ± 8.55 a
BPGV0270724.40 ± 0.72 a2.99 ± 0.66 a286.37 ± 8.36 a
Values are expressed as average ± standard deviation of two parallel experiments. DW: dry weight GAE: Gallic acid equivalents; TE: Trolox equivalents. Different letters in the same column indicate significant differences (p < 0.05). Statistical evaluation was performed using ANOVA test.
Table 5. Antibacterial activity (MIC and MBC; mg mL−1) of turnip extracts.
Table 5. Antibacterial activity (MIC and MBC; mg mL−1) of turnip extracts.
Gram-Negative BacteriaGram-Positive Bacteria
Sample Enterobacter CloacaeEscherichia coliPseudomonas aeruginosaSalmonella entericaYersinia enterocoliticaBacillus cereusListeria monocytogenesStaphylococcus aureus
BPGV03990MIC>1010>102.5>10>10>102.5
MBC>10>10>10>10>10>10>10>10
BPGV12239MIC>105>102.5>10>10>105
MBC>10>10>10>10>10>10>10>10
BPGV12296MIC>1010>10510>10>105
MBC>10>10>10>10>10>10>10>10
BPGV12376MIC>1010>10510>10>105
MBC>10>10>10>10>10>10>10>10
BPGV12405MIC>1010>105>10>10>102.5
MBC>10>10>10>10>10>10>10>10
BPGV16127MIC>1010>10510>10>102.5
MBC>10>10>10>10>10>10>10>10
BPGV11177MIC>1010>10510>10>102.5
MBC>10>10>10>10>10>10>10>10
BPGV05875MIC>1010>1055>10>102.5
MBC>10>10>10>10>10>10>10>10
BPGV11111MIC>1010>105>10>10>102.5
MBC>10>10>10>10>10>10>10>10
BPGV7301MIC>1010>102.510>10>102.5
MBC>10>10>10>10>10>10>10>10
BPGV07480MIC>1010>102.510>10>102.5
MBC>10>10>10>10>10>10>10>10
BPGV04542MIC>1010>101010>10>102.5
MBC>10>10>10>10>10>10>10>10
BPGV05888MIC>10>10>105>10>10>102.5
MBC>10>10>10>10>10>10>10>10
BPGV06987 AMIC>1010>105>10>10>105
MBC>10>10>10>10>10>10>10>10
BPGV06987 BMIC>1010>105>10>10>1010
MBC>10>10>10>10>10>10>10>10
BPGV02906MIC>105>105>10>10>102.5
MBC>10>10>10>10>10>10>10>10
Streptomicin
1 mg/mL
MIC0.0070.010.060.0070.0070.0070.0070.007
MBC0.0070.010.060.0070.0070.0070.0070.007
Methicilin
1 mg/mL
MICn.d.n.d.n.d.n.d.n.d.n.d.n.d.0.007
MBCn.d.n.d.n.d.n.d.n.d.n.d.n.d.0.007
Ampicillin
10 mg/mL
MIC0.150.150.630.150.15n.d.0.150.15
MBC0.150.150.630.150.15n.d.0.150.15
MIC: Minimum Inhibitory Concentration; MBC: Minimum Bactericidal Concentration; not detected (n.d.).
Disclaimer/Publisher’s Note: The statements, opinions and data contained in all publications are solely those of the individual author(s) and contributor(s) and not of MDPI and/or the editor(s). MDPI and/or the editor(s) disclaim responsibility for any injury to people or property resulting from any ideas, methods, instructions or products referred to in the content.

Share and Cite

MDPI and ACS Style

Serrano, C.; Oliveira, M.C.; Lopes, V.R.; Soares, A.; Molina, A.K.; Paschoalinotto, B.H.; Pires, T.C.S.P.; Serra, O.; Barata, A.M. Chemical Profile and Biological Activities of Brassica rapa and Brassica napus Ex Situ Collection from Portugal. Foods 2024, 13, 1164. https://doi.org/10.3390/foods13081164

AMA Style

Serrano C, Oliveira MC, Lopes VR, Soares A, Molina AK, Paschoalinotto BH, Pires TCSP, Serra O, Barata AM. Chemical Profile and Biological Activities of Brassica rapa and Brassica napus Ex Situ Collection from Portugal. Foods. 2024; 13(8):1164. https://doi.org/10.3390/foods13081164

Chicago/Turabian Style

Serrano, Carmo, M. Conceição Oliveira, V. R. Lopes, Andreia Soares, Adriana K. Molina, Beatriz H. Paschoalinotto, Tânia C. S. P. Pires, Octávio Serra, and Ana M. Barata. 2024. "Chemical Profile and Biological Activities of Brassica rapa and Brassica napus Ex Situ Collection from Portugal" Foods 13, no. 8: 1164. https://doi.org/10.3390/foods13081164

APA Style

Serrano, C., Oliveira, M. C., Lopes, V. R., Soares, A., Molina, A. K., Paschoalinotto, B. H., Pires, T. C. S. P., Serra, O., & Barata, A. M. (2024). Chemical Profile and Biological Activities of Brassica rapa and Brassica napus Ex Situ Collection from Portugal. Foods, 13(8), 1164. https://doi.org/10.3390/foods13081164

Note that from the first issue of 2016, this journal uses article numbers instead of page numbers. See further details here.

Article Metrics

Back to TopTop