Melissopalynological Analysis of Honey from French Guiana
Abstract
1. Introduction
2. Materials and Methods
2.1. Honey Sampling
2.2. Melissopalynological Analysis
2.3. Physico-Chemical Test
3. Results
3.1. Relative Presence Analysis of Pollen Grains
3.2. Relative Frequency (RF) Analysis of Pollen Grains
3.3. Pollen Typology of Honeys from French Guiana
3.4. French Guiana Honey Profile
4. Discussion
4.1. Contribution to the Selection of Botanical Taxa Usable as Geographic Markers
4.2. Contribution to Understanding Botanical Origins of French Guiana Honeys
5. Conclusions
Supplementary Materials
Author Contributions
Funding
Institutional Review Board Statement
Informed Consent Statement
Data Availability Statement
Acknowledgments
Conflicts of Interest
References
- Barret, J. Atlas Illustré de la Guyane; Laboratoire de Cartographie de la Guyane—Institut d’Enseignement Supérieur de la Guyane: Cayenne, French Guiana, 2001; ISBN 978-2-7099-1471-0. [Google Scholar]
- Canova, M.; Gaucher, B. Note sur l’apiculture et les abeilles africanisées en Guyane française. Rev. Élevage Méd. Vét. Pays Trop. 1991, 44, 497–500. [Google Scholar] [CrossRef]
- Vit, P.; Pedro, S.R.M.; Roubik, D. Pot-Honey: A Legacy of Stingless Bees; Springer: New York, NY, USA, 2013; ISBN 978-1-4614-4960-7. [Google Scholar]
- De Granville, J.-J. Les formations végétales de la bande côtière de Guyane Française. In Le Littoral Guyanais: Fragilité de l’Environnement; Sepanguy: Cayenne, French Guiana, 1986; pp. 47–63. [Google Scholar]
- De Granville, J.-J. Milieux et Formations Végétales de Guyane. Acta Bot. Gall. 2002, 149, 319–337. [Google Scholar] [CrossRef][Green Version]
- Roubik, D.W. Foraging Behavior of Competing Africanized Honeybees and Stingless Bees. Ecology 1980, 61, 836–845. [Google Scholar] [CrossRef]
- Roubik, D.W. Ecology and Natural History of Tropical Bees; Cambridge University Press: Cambridge, UK, 1992; ISBN 978-0-521-42909-2. [Google Scholar]
- Roubik, D.W. African Honey Bees as Exotic Pollinators in French Guiana. Conserv. Bees. 1996, 173–182. [Google Scholar]
- Jiang, W.; Paolini, J.; Bereau, D.; Battesti, M.-J.; Yang, Y.; Jean-Marie, É.; Costa, J.; Robinson, J.-C. French Guiana Honeys from the Amazon Biome: First Description of Volatile Fraction and Antioxidant Capacity. Heliyon 2023, 9, e18526. [Google Scholar] [CrossRef] [PubMed]
- Roubik, D.W. Competitive Interactions Between Neotropical Pollinators and Africanized Honey Bees. Science 1978, 201, 1030–1032. [Google Scholar] [CrossRef] [PubMed]
- Louveaux, J.; Maurizio, A.; Vorwohl, G. Methods of Melissopalynology. Bee World 1978, 59, 139–153. [Google Scholar] [CrossRef]
- Von der Ohe, W.; Persano Oddo, L.; Lucia Piana, M.; Morlot, M.; Martin, P. Harmonized Methods of Melissopalynology. Apidologie 2004, 35, 18–25. [Google Scholar] [CrossRef]
- Soares, S.; Amaral, J.S.; Oliveira, M.B.P.P.; Mafra, I. A Comprehensive Review on the Main Honey Authentication Issues: Production and Origin. Compr. Rev. Food Sci. Food Saf. 2017, 16, 1072–1100. [Google Scholar] [CrossRef]
- Battesti, M.-J. Contribution à la mélissopalynologie méditerranéenne—Les miels de Corses. Ph.D. Thesis, Université D’Aix-Marseille III, Aix-en-Provence, France, 1990. [Google Scholar]
- Battesti, M.-J.; Goeury, C. Efficacité de l’analyse Mélitopalynologique Quantitative Pour La Certification Des Origines Géographique et Botanique Des Miels: Le Modèle Des Miels de Corse. Rev. Paleobotany Palynol. 1992, 75, 77–102. [Google Scholar] [CrossRef]
- Carmen Seijo, M.; Escuredo, O.; Fernández-González, M. Fungal Diversity in Honeys from Northwest Spain and Their Relationship to the Ecological Origin of the Product. Grana 2011, 50, 55–62. [Google Scholar] [CrossRef]
- Bogdanov, S. Harmonised Methods of the International Honey Commission. IHC 2009, 5, 1–62. [Google Scholar]
- Bellonzi, T.K.; Dutra, F.V.; Souza, C.N.D.; Rezende, A.A.; Gasparino, E.C. Pollen Types of Sapindaceae from Brazilian Forest Fragments: Apertural Variation. Acta Bot. Bras. 2020, 34, 327–341. [Google Scholar] [CrossRef]
- Bilgin, N.; Mısırlı, A.; Güneri, M. A Study on the Characterization of Citrus Pollen Grains. Erwerbs-Obstbau 2022, 64, 1–5. [Google Scholar] [CrossRef]
- Buril, M.T.; do Santos, F.d.A.R.; Alves, M. Pollen Diversity of Mimosoideae Taxa (Leguminosae) from a Caatinga Region, Pernambuco, Brazil. Acta Bot. Bras. 2010, 24, 53–64. [Google Scholar] [CrossRef]
- Campbell, L.M. Pollen Morphology of Xyridaceae (Poales) and Its Systematic Potential. Bot. Rev. 2012, 78, 428–439. [Google Scholar] [CrossRef]
- Dutra, F.V.; Gasparino, E.C. Pollen Morphology of Rutaceae from Brazilian Forest Fragments. Palynology 2018, 42, 43–54. [Google Scholar] [CrossRef]
- El Ghazali, G.E.B. Pollen Morphological Studies in Amaranthaceae s.Lat. (Incl. Chenopodiaceae) and Their Taxonomic Significance: A Review. Grana 2022, 61, 1–7. [Google Scholar] [CrossRef]
- Friis, I. Urticaceae. In Flowering Plants · Dicotyledons: Magnoliid, Hamamelid and Caryophyllid Families; Kubitzki, K., Rohwer, J.G., Bittrich, V., Eds.; The Families and Genera of Vascular Plants; Springer: Berlin/Heidelberg, Germany, 1993; pp. 612–630. ISBN 978-3-662-02899-5. [Google Scholar]
- Fuchs, H.P. Pollen Morphology of the Family Bombacaceae. Rev. Palaeobot. Palynol. 1967, 3, 119–132. [Google Scholar] [CrossRef]
- Kerkvliet, J.D.; Beerlink, J.G. Pollen Analysis of honeys from the coastal plain of Surinam. J. Apic. Res. 1991, 30, 25–31. [Google Scholar] [CrossRef]
- Lobreau-Callen, D. Les variations dimensionnelles du pollen du genre Ilex (Aquifoliaceae) et leurs rapports avec le climat. Bull. Soc. Bot. Fr. 1975, 122, 179–199. [Google Scholar] [CrossRef]
- Martins, L.H.P.; Miranda, I.P.D.A.; Nunes, C.D. Morfologia Polínica de Populações Amazônicas de Elaeis oleifera. Acta Amaz. 2003, 33, 159–166. [Google Scholar] [CrossRef]
- Perveen, A.; Qaiser, M. Pollen Flora of Pakistan—LXX: Chenopodiaceae. Pak. J. Bot. 2012. [Google Scholar]
- Tripathi, S.; Farooqui, A.; Singh, V.; Singh, S.; Kumar Roy, R. Morphometrical Analysis of Ceiba Mill. (Bombacoideae, Malvaceae) Pollen: A Sacred Plant of the Mayan (Mesoamerican) Civilisation. Palynology 2019, 43, 551–573. [Google Scholar] [CrossRef]
- Berg, C.C.; Rosselli, P.F. Cecropia; New York Botanical Garden: New York, NY, USA, 2005; ISBN 978-0-89327-461-0. [Google Scholar]
- Berry, P.A.; Steyermark, J.A.; Manara, B.; Holst, B.K.; Yatskievych, K. Flora of the Venezuelan Guayana, Volume 5; Missouri Botanical Garden: Portland, OR, USA, 1999; ISBN 978-0-915279-71-5. [Google Scholar]
- Cremers, G.; Hoff, M. Livre: Guide de la Flore des Bords de Mer de Guyane Française; IRD Muséum National d’Histoire Naturelle: Paris, France, 2003. [Google Scholar]
- Davenport, L.J.; Steyermark, J.A.; Berry, P.E.; Yatskievych, K.; K. Holtz, B. Flora of the Venezuelan Guayana Volume 7: Myrtaceae-Plumbaginaceae. Syst. Bot. 2004, 29, 465. [Google Scholar] [CrossRef]
- De Granvillle, J.-J.; Gayot, M. Guide des Palmiers de Guyane Française; Office National des Forêts: Paris, France, 2014; ISBN 978-2-84207-374-9. [Google Scholar]
- Goldenberg, R.; Almeda, F.; Caddah, M.K.; Martins, A.B.; Meirelles, J.; Michelangeli, F.A.; Weiss, M. Nomenclator Botanicus for the Neotropical genus Miconia (Melastomataceae: Miconieae). Phytotaxa 2013, 106, 1–171. [Google Scholar] [CrossRef]
- Grenand, P.; Moretti, C.; Jacquemin, H.; Prévost, M.-F. Pharmacopées Traditionnelles En Guyane; IRD: Marseille, France, 2004. [Google Scholar]
- Jansen-Jacobs, M.J. Flora of the Guianas. Series A. Phanerogams Fascicle 22; Royal Botanic Gardens, Kew: Kew, UK, 2003; ISBN 978-1-84246-069-6. [Google Scholar]
- Manara, B.; Steyermark, J.A.; Berry, P.A.; Holst, B.K.; Yatskievych, K. Flora of the Venezuelan Guayana, Volume 4; Berry, P.A., Ed.; Missouri Botanical Garden: Portland, OR, USA, 1998; ISBN 978-0-915279-52-4. [Google Scholar]
- Mennega, A.M.V.; de Roon, A.C.; ter Welle, B.H.J.; Détienne, P.; Görts-van Rijn, A.R.A. Flora of the Guianas, Series A: Phanerogams. Fascicle 16, 110. Hippocrateaceae, 112. Icacinaceae; Lubrecht & Cramer Ltd: Koenigstein, Germany, 1995; ISBN 978-3-87429-365-5. [Google Scholar]
- Mori, S.A.; Prance, G.T.; de Zeeuw, C. Flora of the Guianas. Serie A: Phanerogams. Fasicle 12, 53, 148. Lecythidaceae, Including Wood and Timber; Koeltz Scientific Books: Koenigstein, Germany, 1993. [Google Scholar]
- ONF, G.O.N. des forêts- Guide de reconnaissance des arbres de Guyane, 2nd ed.; Office National des Forêts—ONF: Cayenne, French Guiana, 2004; ISBN 978-2-84207-295-7. [Google Scholar]
- Rijnm, A.R.A.G.; Jansen-Jacobs, M.J. Flora of the Guianas. Serie A: Phanerogams. Fascicle 19. 129 Anacardiaceae.; Royal Botanic Gardens, Kew: Kew, UK, 2000; ISBN 978-1-900347-21-1. [Google Scholar]
- Stafleu, F.A. A monograph of the Vochysiaceae. I. Salvertia and Vochysia. Recl. Trav. Bot. Néerlandais 1948, 41, 397–540. [Google Scholar]
- Steyermark, J.A. Flora of the Venezuelan Guyana. Vol. 8. Poaceae-Rubiaceae.; Missouri Botanical Garden Press: St. Louis, MO, USA, 2004. [Google Scholar]
- Tropicos. Available online: https://www.tropicos.org/Home.aspx (accessed on 26 April 2019).
- Rech, A.R.; Manente-Balestieri, F.C.d.L.; Absy, M.L. Reproductive Biology of Davilla kunthii A. St-Hil. (Dilleniaceae) in Central Amazonia. Acta Bot. Bras. 2011, 25, 487–496. [Google Scholar] [CrossRef]
- Von Teichman, I. Pericarp and Seed Coat Structure in Tapirira Guianensis (Spondiadeae: Anacardiaceae). South. Afr. J. Bot. 1990, 56, 435–439. [Google Scholar] [CrossRef]
- Bisby, F. Phytochemical Dictionary of the Leguminosae; CRC Press: Boca Raton, FL, USA, 1994; ISBN 978-0-412-39770-7. [Google Scholar]
- Duno de Stefano, R.; Fernández-Concha, G.C. Morphology-Inferred Phylogeny and a Revision of the genus Emmotum (Icacinaceae). Ann. Mo. Bot. Gard. 2011, 98, 1–27. [Google Scholar] [CrossRef]
- Gombauld, P. Étude Comparée de l’entomofaune d’Hymenaeae courbaril et de Diplotropis purpurea en plantation et en forêt Primaire. Biologie de Chlorida festiva, déprédateur majeur du courbaril; ORSTOM: Bondy, France, 1991; p. 66. [Google Scholar]
- Dos Santos, M.J.L.; Machado, I.C. Biologia Floral e Heterostilia Em Vismia Guianensis (Aubl.) Choisy (Clusiaceae). Acta Bot. Bras. 1998, 12, 451–464. [Google Scholar] [CrossRef]
- Umaña, C.L.A.; da Cruz Alencar, J. Comportamento fenologico da sucupira-preta (Diplotropis Purpurea (Rich.) Amsh. var. coriacea Amsh.), Na Reserva Florestal Ducke. Acta Amaz. 1993, 23, 199–211. [Google Scholar] [CrossRef][Green Version]
- Barth, O.M.; Da Luz, C.F.P. Melissopalynological Data Obtained from a Mangrove Area near to Rio de Janeiro, Brazil. J. Apic. Res. 1998, 37, 155–163. [Google Scholar] [CrossRef]
- Luz, C.F.P.D.; Barth, O.M. Pollen Analysis of Honey and Beebread Derived from Brazilian Mangroves. Braz. J. Bot. 2012, 35, 79–85. [Google Scholar] [CrossRef][Green Version]
- Ramírez-Arriaga, E.; Navarro-Calvo, L.A.; Díaz-Carbajal, E. Botanical Characterisation of Mexican Honeys from a Subtropical Region (Oaxaca) Based on Pollen Analysis. Grana 2011, 50, 40–54. [Google Scholar] [CrossRef]
- Villanueva-Gutiérrez, R.; Moguel-Ordóñez, Y.B.; Echazarreta-González, C.M.; Arana-López, G. Monofloral Honeys in the Yucatán Peninsula, Mexico. Grana 2009, 48, 214–223. [Google Scholar] [CrossRef]
- Yao, Y.-F.; Bera, S.; Wang, Y.-F.; Li, C.-S. Nectar and Pollen Sources for Honeybee (Apis Cerana Cerana Fabr.) in Qinglan Mangrove Area, Hainan Island, China. J. Integr. Plant Biol. 2006, 48, 1266–1273. [Google Scholar] [CrossRef]
- Silva, A.P.C.; Alves, R.M.D.O.; Dos Santos, F.D.A.R. The Role of Mimosa L. (Fabaceae) on Pollen Provision of Melipona asilvai Moure 1971 in a Caatinga Area from Brazil. Grana 2018, 57, 311–321. [Google Scholar] [CrossRef]
- Codex Stan 12-1981 Codex Normé Pour Le Miel 2001. Available online: https://www.fao.org/fao-who-codexalimentarius/codex-texts/list-standards/fr/ (accessed on 27 March 2024).
- Beil, M.; Horn, H.; Schwabe, A. Analysis of Pollen Loads in a Wild Bee Community (Hymenoptera: Apidae)—A Method for Elucidating Habitat Use and Foraging Distances. Apidologie 2008, 39, 456–467. [Google Scholar] [CrossRef]
- Costa, A.C.G.; Thomas, W.W.; Machado, I.C. Comparative Floral Biology of Rhynchospora Ciliata (Vahl) Kukenth and R. Pubera (Vahl) Boeckeler (Cyperaceae): The Role of White Involucral Bracts in Attracting Pollinating Insects. Plant Species Biol. 2017, 32, 403–411. [Google Scholar] [CrossRef]
- Khorsand Rosa, R.; Koptur, S. New Findings on the Pollination Biology of Mauritia Flexuosa (Arecaceae) in Roraima, Brazil: Linking Dioecy, Wind, and Habitat. Am. J. Bot. 2013, 100, 613–621. [Google Scholar] [CrossRef] [PubMed]
- Kubitzki, K. Flowering Plants. Monocotyledons; Springer: Berlin/Heidelberg, Germany, 1998; Volume 4. [Google Scholar]
- Nicolson, S.W.; Nepi, M.; Pacini, E. Nectaries and Nectar; Springer Netherlands: Dordrecht, The Netherlands, 2007; ISBN 978-1-4020-5936-0. [Google Scholar]
- Storti, E.F. Biologia floral de Mauritia Flexuosa Lin., na Regiao de Manaus, AM, BRASIL. Acta Amaz. 1993, 23, 371–381. [Google Scholar] [CrossRef]
- Barneby, R.C. Sensitivae Censitae: A Description of the genus Mimosa Linnaeus (Mimosaceae) in the New World; The New-York botanical garden: Bronx, 1991. [Google Scholar]
- Matheson, A. The Conservation of Bees; Linnean Society Symposium Series 18; Academic Press: London, UK, 1996; ISBN 978-0-12-479740-6. [Google Scholar]
- Lenza, E.; Oliveira, P.E. Reproductive Biology of Tapirira Guianensis Aubl. (Anacardiaceae), a Dioecious Species, in a Gallery Forest of Triângulo Mineiro, Brazil. Braz. J. Bot. 2005, 28, 179–190. [Google Scholar] [CrossRef]
- Tölke, E.E.A.D.; Galetto, L.; Machado, S.R.; Lacchia, A.P.S.; Carmello-Guerreiro, S.M. Stages of Development of the Floral Secretory Disk in Tapirira Guianensis Aubl. (Anacardiaceae), a Dioecious Species. Bot. J. Linn. Soc. 2015, 179, 533–544. [Google Scholar] [CrossRef]
- Vieira, F.D.A.; Appolinário, V.; Fajardo, C.G.; Carvalho, D.D. Reproductive Biology of Protium spruceanum (Burseraceae), a Dominant Dioecious Tree in Vegetation Corridors in Southeastern Brazil. Braz. J. Bot. 2010, 33, 711–715. [Google Scholar] [CrossRef]
- Gribel, R.; Gibbs, P.E.; Queiróz, A.L. Flowering Phenology and Pollination Biology of Ceiba pentandra (Bombacaceae) in Central Amazonia. J. Trop. Ecol. 1999, 15, 247–263. [Google Scholar] [CrossRef]
- Louveaux, J.; Maurizio, A.; Vorwohl, G. Commission internationale de botanique apicole de L’U.I.S.B.: Les méthodes de la mélisso-palynologie. Apidologie 1970, 1, 211–227. [Google Scholar] [CrossRef]
- Molan, P.C. The Limitations of the Methods of Identifying the Floral Source of Honeys. Bee World 1998, 79, 59–68. [Google Scholar] [CrossRef]
- Yang, Y.; Battesti, M.-J.; Djabou, N.; Muselli, A.; Paolini, J.; Tomi, P.; Costa, J. Melissopalynological Origin Determination and Volatile Composition Analysis of Corsican “Chestnut Grove” Honeys. Food Chem. 2012, 132, 2144–2154. [Google Scholar] [CrossRef]
- Yang, Y.; Battesti, M.J.; Costa, J.; Paolini, J. Melissopalynological and Volatile Analysis of Honeys from Corsican Arbutus Unedo Habitat. Nat. Prod. Commun. 2014, 9, 1523–1526. [Google Scholar] [CrossRef]
- Anderson, G.J.; Symon, D. Insect Foragers on Solanum Flowers in Australia. Ann. Mo. Bot. Gard. 1988, 75, 842. [Google Scholar] [CrossRef]
- Bowden, B.N. The Sugars in the Extrafloral Nectar of Andropogon gayanus var. bisquamulatus. Phytochemistry 1970, 9, 2315–2318. [Google Scholar] [CrossRef]
- De Andrade, J.C. Néctar Em Cecropia lyratiloba Miq. var. nana Andr. & Car. (Cecropiaceae). Rodriguésia Rev. Jard. Bot. Rio Jan. 1984, 36, 81–83. [Google Scholar]
- Jolivet, P. Remarques sur la biocénose des Cecropia (Cecropiaceae). Biologie des Coelomera Chevrolat avec la description d’une nouvelle espèce du Brésil (Coleoptera Chrysomelidae Galerucinae). Publ. Soc. Linn. Lyon 1987, 56, 255–276. [Google Scholar] [CrossRef]
- Koptur, S. Plants with Extrafloral Nectaries and Ants in Everglades Habitats. Fla. Entomol. 1992, 75, 38–50. [Google Scholar] [CrossRef]
- Maggio, D.H.; Mori, D.P.; Barros, I.B.; dos Santos Henrique, R. A Distribuição de Recursos Açucarados Influencia o Mutualismo Entre Plantas e Formigas? Ecol. Mata Atl. 2015, 1–3. Available online: https://ecologia.ib.usp.br/curso/2015/pdf/PO2-G2.pdf (accessed on 27 March 2024).
- Ghosh, D.; Mondal, A.K.; Mondal, S. Morphology, Anatomy, Ultrastructure and ant-patrolling of extrafloral nectaries (EFNs) in three species of Mimosaceae. Int. J. Curr. Res. 2015, 7, 15505–15508. [Google Scholar]
- Raimúndez-Urrutia, E.; Avendaño, L.; Velázquez, D. Reproductive Biology of the Morning Glory Merremia macrocalyx (Ruiz & Pavon) O’Donnell (Convolvulaceae). J. Torrey Bot. Soc. 2008, 135, 299. [Google Scholar] [CrossRef]
- Reis da Silva, S.J. Produção de Mel Em Plantios de Acacia mangium Wild. In Acacia mangium: Caracteristicas e seu cultivo no estado de Roraima; Embrapa: Brasília, Brazil, 2010. [Google Scholar]
- Assunção, M.A.; Torezan-Silingardi, H.M.; Del-Claro, K. Do Ant Visitors to Extrafloral Nectaries of Plants Repel Pollinators and Cause an Indirect Cost of Mutualism? Flora Morphol. Distrib. Funct. Ecol. Plants 2014, 209, 244–249. [Google Scholar] [CrossRef]
- Lanan, M. Extrafloral Nectaries. In Encyclopedia of Social Insects; Starr, C.K., Ed.; Springer International Publishing: Cham, Switzerland, 2021; pp. 371–375. ISBN 978-3-030-28102-1. [Google Scholar]
- Buchmann, S.L.; Cane, J.H. Bees Assess Pollen Returns While Sonicating Solanum Flowers. Oecologia 1989, 81, 289–294. [Google Scholar] [CrossRef]
- Chamorro, F.J.; Nates-Parra, G.; Kondo, T. Honeydew of Stigmacoccus asper (Hemiptera: Stigmacoccidae): A Bee-Honey Resource in Oak Forests of Colombia. Rev. Colomb. Entomol. 2013, 39, 61–70. [Google Scholar]



| Taxa | Relative Frequency | Presence in Samples | ||||||||||
|---|---|---|---|---|---|---|---|---|---|---|---|---|
| Less than 3% | Between 3% and 16% | Between 16% and 45% | Greater than 45% | Number Sample | Relative Presence (%) | |||||||
| Mimosa pudica L. | 2b | 1a, 2b, 1c, 1e | 2a, 3b, 5c, 3d, 1e, 1f, 2g | 7a, 1b, 13c, 16d, 5e, 19f, 2g | 87 | 100.0 | ||||||
| Cocos L. | 8a, 2b, 12c, 15d, 7e, 14f, 3g | 1a, 6b, 7c, 4d, 5f, 1g | 1f | - | 86 | 98.9 | ||||||
| Rhynchospora Willd. | 7a, 5b, 15c, 16d, 7e, 17f, 2g | 1a, 1c, 2d, 3f, 2g | - | - | 78 | 89.7 | ||||||
| Avicennia germinans (L.) Stearn | 6a, 2b, 7c, 10d, 3e, 16f, 3g | 4b, 6c, 7d, 4e, 1f, 1g | 6c, 1d, | - | 77 | 88.5 | ||||||
| Paspalum (L.) Trin. | 5a, 7b, 16c, 19d, 6e, 18f, 4g | 2c, | - | - | 77 | 88.5 | ||||||
| Spermacoce verticillata L. | 7a, 4b, 17c, 17d, 6e, 18f, 1g | 1c, 1d, 1f | - | - | 73 | 83.9 | ||||||
| Tapirira guianensis Aubl. | 4a, 2b, 7c, 15d, 3e, 9f, 1g | 3a, 1b, 4c, 2d, 1e, 6f, 2g | 2a, 1b, 1c, 1f, 1g | 1a, 2b, 2e | 71 | 81.6 | ||||||
| Cecropia Loefl. | 4a, 2b, 17c, 13d, 3e, 16f, 2g | 4a, 3b, | 2a, 3b | - | 69 | 79.3 | ||||||
| Myrtaceae Juss. | 5a, 7b, 14c, 11d, 4e, 17f, 4g | 2c, 1d, 1f | - | - | 66 | 75.9 | ||||||
| Mauritia flexuosa L.f. | 5a, 3b, 13c, 9d, 6e, 11f, 1g | 1a, 3b, 3c, 3d, 1e, 1f | 1d | - | 61 | 70.1 | ||||||
| Solanum L. | 5a, 4b, 16c, 12d, 2e, 10f | 3b, 2c, 1e | 1e | - | 56 | 64.4 | ||||||
| Protium Burm.f. | 3a, 3b, 10c, 12d, 2e, 12f | 3c, 2d, 2f | 1b | 1b | 51 | 58.6 | ||||||
| Locality | Moisture (%) | Color (mm Pfund) | Electrical Conductivity (mS/cm) | Number Sample | ||||||
|---|---|---|---|---|---|---|---|---|---|---|
| min. | max. | mean ± SD | min. | max. | mean ± SD | min. | max. | mean ± SD | ||
| Awala Yalimapo (site 1) | 17.8 | 19.8 | 18.5 ± 0.7 | 35 | 99 | 59 ± 19,9 | 0.51 | 1.02 | 0.74 ± 0.16 | 8 |
| Saint-Laurent-du-Maroni (sites 2 and 3) | 17.8 | 21.9 | 19.6 ± 1.4 | 41 | 99 | 70.3 ± 17.3 | 0.48 | 0.93 | 0.78 ± 0.14 | 10 |
| Sinnamary (seaside honeys) (sites 4 and 5) | 16.6 | 19.1 | 17.6 ± 0.9 | 27 | 83 | 49.4 ± 16.7 | 0.44 | 0.93 | 0.62 ± 0.16 | 19 |
| Sinnamary (forest honeys) (sites 6 and 7) | 16.4 | 19.3 | 17.8 ± 0.9 | 27 | 110 | 70.5 ± 27.1 | 0.35 | 0.96 | 0.58 ± 0.15 | 19 |
| Macouria/Kourou (sites 8, 9, 10 and 11) | 18.2 | 21.4 | 19.4 ± 1.2 | 27 | 92 | 65.3 ± 23.5 | 0.47 | 0.88 | 0.67 ± 0.13 | 7 |
| Montsinéry-Tonnegrande (sites 12, 13, 14 and 15) | 15.8 | 21.0 | 18.4 ± 1.3 | 35 | 83 | 55.0 ± 10.4 | 0.52 | 1.22 | 0.86 ± 0.17 | 8 |
| Rémire-Montjoly (site 16) | 13.7 | 20.7 | 17.9 ± 2.9 | 46 | 92 | 69 ± 21.9 | 0.58 | 0.77 | 0.67 ± 0.87 | 4 |
| Pollen Type Present in more than 50% of samples with RF at least once greater than 10% found in the honey samples from French Guiana (across all sampling sites) | Awala—Yalimapo | |||||||
| Site 1 | ||||||||
| H32 | H34 | H35 | H47 | H48 | H49 | H85 | H62 | |
| Sept, 2015 | Sept, 2015 | Oct, 2015 | Dec, 2015 | Dec, 2015 | Dec, 2015 | Nov, 2016 | Mar, 2017 | |
| Mimosaceae | ||||||||
| Mimosa pudica | 94.0 | 39.4 | 27.8 | 2.9 | 1.1 | 6.3 | 9.1 | 20.4 |
| Arecaceae | ||||||||
| Cocos sp. | 0.6 | 9.0 | 5.9 | 5.3 | 4.8 | 0.3 | 8.4 | 9.0 |
| Mauritia flexuosa | - | - | 0.1 | 5.6 | 1.5 | 0.9 | 14.0 | 5.5 |
| Cyperaceae | ||||||||
| Rhynchospora sp. | 0.6 | 1.9 | - | - | 0.2 | 2.0 | - | 0.4 |
| Acanthaceae | ||||||||
| Avicennia germinans | - | 0.2 | 0.3 | 9.9 | 5.9 | - | 16.0 | 7.1 |
| Anacardiaceae | ||||||||
| Tapirira guianensis | 0.3 | - | 0.1 | - | 70.8 | 65.3 | 32.4 | 14.9 |
| Spondias Mombin | - | - | - | - | - | - | - | - |
| Urticaceae | ||||||||
| Cecropia sp. | 1.9 | 22.6 | 20.3 | 11.1 | 4.8 | 0.3 | 10.9 | 20.4 |
| Myrtaceae | ||||||||
| Myrtaceae sp. | 0.2 | 1.8 | 1.1 | 0.9 | - | 0.5 | 0.9 | 0.4 |
| Solanaceae | ||||||||
| Solanum sp. | - | 10.7 | 5.9 | 8.2 | 1.3 | - | 0.7 | 0.8 |
| Burseraceae | ||||||||
| Protium sp. | - | - | 29.9 | 45.0 | 1.1 | - | 0.4 | 0.8 |
| Piperaceae | ||||||||
| Piper marginatum | 0.1 | 0.3 | 0.2 | |||||
| Fabaceae | ||||||||
| Diplotropis purpurea | 0.1 | - | - | 0.6 | - | - | - | - |
| Asteraceae | ||||||||
| Asteraceae sp. | - | - | 0.7 | - | - | - | - | - |
| Icacinaceae | ||||||||
| Emmotum fagifolium | - | - | - | - | - | - | - | 0.8 |
| Chenopodiaceae/Amaranthaceae | ||||||||
| Chenopodiaceae/Amaranthaceae | - | - | - | 0.6 | 1.8 | - | 3.8 | 12.2 |
| Scrophulariaceae | ||||||||
| Scrophulariaceae sp. | - | - | - | - | 2.4 | - | - | - |
| PG/10 g | 289,000 | 38,400 | 42,588 | 7809 | 11,510 | 118,400 | 14,642 | 10,920 |
| Honey class (I to V) | III | II | II | I | I | II | I | I |
| Honeydew indicators | - | - | R | R | R | R | VF | R |
| Electrical conductivity (mS/cm) | 0.72 | 0.51 | 0.75 | 1.02 | 0.91 | 0.75 | 0.59 | 0.65 |
| Color Pfund (mm) | 99 | 62 | 51 | 62 | 51 | 71 | 35 | 41 |
| Moisture (%) | 18.3 | 18.7 | 18.1 | 17.9 | 18.5 | 17.8 | 18.9 | 19.8 |
| Pollen Type Present in more than 50% of samples with RF at least once greater than 10% found in the honey samples from French Guiana (across all sampling sites) | Saint-Laurent-Du-Maroni | |||||||||
| Site 2 | Site 3 | |||||||||
| H45 | H1 | H2 | H7 | H13 | H33 | H46 | H83 | H84 | H67 | |
| Nov, 2015 | Sept, 2014 | sept, 2014 | Nov, 2014 | Jan, 2015 | Sept, 2015 | Dec, 2015 | Nov, 2016 | Nov, 2016 | Mar, 2017 | |
| Mimosaceae | ||||||||||
| Mimosa pudica | 18.1 | 96.6 | 97.7 | 54.0 | 24.5 | 97.8 | 14.2 | 85.0 | 59.2 | 56.3 |
| Arecaceae | ||||||||||
| Cocos sp. | 1.0 | - | - | 0.1 | 9.2 | 0.1 | 2.5 | 0.1 | 2.7 | 1.3 |
| Mauritia flexuosa | 1.3 | - | - | 0.4 | - | - | 3.5 | 1.4 | 2.6 | 2.6 |
| Cyperaceae | ||||||||||
| Rhynchospora sp. | 1.0 | 0.1 | 0.2 | 5.9 | 0.2 | 0.1 | - | - | 1.1 | 0.8 |
| Acanthaceae | ||||||||||
| Avicennia germinans | 1.0 | - | - | - | - | - | 0.2 | 0.1 | 0.7 | 2.0 |
| Anacardiaceae | ||||||||||
| Tapirira guianensis | 1.0 | 1.1 | 0.3 | 17.8 | 8.7 | 0.1 | 56.8 | 6.5 | 22.3 | 14.4 |
| Spondias Mombin | - | - | - | - | - | - | 0.3 | 0.2 | 0.3 | 0.8 |
| Urticaceae | ||||||||||
| Cecropia sp. | 35.2 | 0.1 | 0.5 | 3.1 | 16.8 | 0.3 | 3.5 | 1.7 | 3.0 | 13.5 |
| Myrtaceae | ||||||||||
| Myrtaceae sp. | 0.3 | - | - | 0.2 | - | - | - | 0.2 | 0.3 | 0.5 |
| Solanaceae | ||||||||||
| Solanum sp. | 0.9 | - | 0.1 | 0.1 | - | - | - | 0.5 | 0.3 | - |
| Burseraceae | ||||||||||
| Protium sp. | 1.0 | - | - | 0.7 | - | - | 2.5 | - | - | - |
| Piperaceae | ||||||||||
| Piper marginatum | - | 0.1 | - | - | - | - | - | - | - | |
| Fabaceae | ||||||||||
| Diplotropis purpurea | - | 0.9 | - | 14.5 | 15.1 | - | 0.5 | 0.2 | 1.1 | 1.1 |
| Asteraceae | ||||||||||
| Asteraceae sp. | - | - | - | 0.2 | 10.0 | - | - | 0.1 | 0.3 | 0.2 |
| Icacinaceae | ||||||||||
| Emmotum fagifolium | 0.1 | - | - | - | - | - | - | - | - | - |
| Chenopodiaceae/Amaranthaceae | ||||||||||
| Chenopodiaceae/Amaranthaceae | 0.3 | - | - | - | 8.3 | - | - | 0.1 | 1.0 | 1.1 |
| Scrophulariaceae | ||||||||||
| Scrophulariaceae sp. | 33.8 | - | - | - | - | - | 10.8 | - | - | - |
| PG/10 g | 31,700 | 52,4300 | 476,400 | 18,450 | 41,900 | 403,000 | 38,500 | 88,305 | 47,351 | 51,980 |
| Honey class (I to V) | II | IV | III | I | II | III | II | II | II | II |
| Honeydew indicators | - | - | R | F | - | - | R | - | F | VF |
| electrical conductivity (mS/cm) | 0.74 | 0.48 | 0.83 | 0.93 | 0.82 | 0.60 | 0.74 | 0.92 | 0.79 | 0.92 |
| Color Pfund (mm) | 71 | 62 | 83 | 55 | 41 | 83 | 55 | 83 | 71 | 99 |
| Moisture (%) | 18.1 | 21.4 | 21.9 | 20 | 20.5 | 18.5 | 17.8 | 20.1 | 19.4 | 18.5 |
| Pollen Type Present in more than 50% of samples with RF at least once greater than 10% found in the honey samples from French Guiana (across all sampling sites) | Sinnamary (Seaside Honeys) | ||||||||||||||||||
| Sites 4 and 5 | |||||||||||||||||||
| H3 | H8 | H14 | H18 | H19 | H20 | H22 | H24 | H25 | H54 | H56 | H58 | H60 | H61 | H74 | H76 | H78 | H80 | H81 | |
| Aug, 2014 | Nov, 2014 | Jan, 2015 | Jul, 2015 | Jul, 2015 | Aug, 2015 | Sept, 2015 | Sept, 2015 | Sept, 2015 | Oct, 2015 | Nov, 2015 | Nov, 2015 | Oct, 2015 | Nov, 2015 | Oct, 2016 | Oct, 2016 | Nov, 2016 | Dec, 2016 | Dec, 2016 | |
| Mimosaceae | |||||||||||||||||||
| Mimosa pudica | 96.4 | 80.3 | 33.9 | 96.6 | 98.7 | 96.1 | 96.0 | 93.8 | 93.6 | 76.3 | 55.2 | 41.0 | 88.4 | 14.7 | 78.8 | 79.5 | 31.1 | 40.7 | 22.6 |
| Arecaceae | |||||||||||||||||||
| Cocos sp. | - | 0.7 | 10.8 | 0.2 | 0.1 | 0.2 | 0.3 | 1.0 | 0.7 | 2.9 | 4.1 | 4.0 | 1.8 | 5.5 | 3.0 | 1.5 | 2.9 | 6.0 | 7.2 |
| Mauritia flexuosa | - | 1.8 | 2.0 | - | - | 0.1 | - | 0.1 | 0.1 | 0.4 | 3.4 | 5.7 | - | 3.0 | 1.6 | 2.3 | 11.8 | 2.5 | 0.6 |
| Cyperaceae | |||||||||||||||||||
| Rhynchospora sp. | 0.1 | 0.5 | - | - | - | 0.1 | 0.1 | 0.2 | 0.3 | 0.6 | 1.7 | 0.7 | 0.2 | - | 0.5 | 0.6 | 0.2 | 2.3 | 5.3 |
| Acanthaceae | |||||||||||||||||||
| Avicennia germinans | 1.0 | 6.7 | 14.1 | 0.4 | 0.1 | 0.3 | 0.6 | 1.2 | 1.3 | 6.3 | 21.6 | 23.1 | 3.5 | 17.7 | 8.8 | 10.0 | 44.0 | 29.1 | 41.6 |
| Anacardiaceae | |||||||||||||||||||
| Tapirira guianensis | - | - | 4.8 | - | - | - | - | 0.1 | 0.4 | - | - | 14.8 | - | 38.1 | 2.3 | 1.9 | 2.4 | 5.3 | 4.7 |
| Spondias Mombin | - | - | 0.4 | - | - | - | - | - | - | 0.1 | 0.2 | 5.6 | - | 10.9 | - | - | 0.2 | 0.7 | 4.7 |
| Urticaceae | |||||||||||||||||||
| Cecropia sp. | 0.1 | - | - | 0.5 | 0.2 | - | 0.2 | 0.4 | 0.3 | 0.9 | 0.3 | 0.3 | 1.1 | 0.4 | 0.4 | 0.2 | 0.3 | 0.4 | 1.3 |
| Myrtaceae | |||||||||||||||||||
| Myrtaceae sp. | - | 0.7 | 14.3 | - | - | - | 0.3 | 0.2 | 0.2 | 0.4 | 1.1 | 0.7 | 0.2 | 3.2 | 0.4 | 1.0 | 0.3 | 0.2 | - |
| Solanaceae | |||||||||||||||||||
| Solanum sp. | 0.1 | 3.4 | 2.2 | 0.2 | 0.1 | - | 0.3 | 1.4 | 0.8 | 1.2 | 3.8 | 0.7 | 1.4 | 0.4 | 0.4 | 1.0 | 2.0 | 0.9 | 0.2 |
| Burseraceae | |||||||||||||||||||
| Protium sp. | 0.2 | 4.1 | - | - | - | - | - | 0.1 | 0.0 | 8.2 | 3.6 | 0.9 | 1.3 | 0.6 | 0.2 | 0.1 | - | 0.8 | 0.2 |
| Piperaceae | |||||||||||||||||||
| Piper marginatum | 0.1 | 0.1 | 0.1 | 0.6 | 0.6 | - | - | - | 0.1 | - | 0.2 | 0.9 | |||||||
| Fabaceae | |||||||||||||||||||
| Diplotropis purpurea | 0.1 | - | 0.2 | - | - | 1.3 | 0.6 | 0.3 | 0.3 | 0.1 | - | - | - | - | 1.3 | 0.0 | 1.0 | 0.1 | 0.2 |
| Asteraceae | |||||||||||||||||||
| Asteraceae sp. | 0.1 | - | - | - | - | 0.01 | 0.04 | - | - | - | - | - | - | - | - | - | - | - | - |
| Icacinaceae | |||||||||||||||||||
| Emmotum fagifolium | 0.01 | 0.2 | 0.3 | 0.0 | 0.1 | ||||||||||||||
| Chenopodiaceae/Amaranthaceae | |||||||||||||||||||
| Chenopodiaceae/Amaranthaceae | - | - | - | - | - | - | - | - | - | - | - | - | - | - | - | - | - | - | - |
| Scrophulariaceae | |||||||||||||||||||
| Scrophulariaceae sp. | - | - | - | - | - | - | - | - | - | - | - | - | - | - | - | - | - | - | - |
| PG/10 g | 317,840 | 19,892 | 22,800 | 540,000 | 637,500 | 452,000 | 368,000 | 263,300 | 256,200 | 63,100 | 29,208 | 63,800 | 124,700 | 40,250 | 97,613 | 126,811 | 38,617 | 36,091 | 15,413 |
| Honey class (I to V) | III | I | II | IV | IV | III | III | III | III | II | II | II | III | II | II | III | II | II | I |
| Honeydew indicators | R | R | R | R | - | - | - | - | - | R | R | R | R | R | - | - | - | F | F |
| Electrical conductivity (mS/cm) | 0.55 | 0.64 | 0.59 | 0.77 | 0.77 | 0.64 | 0.87 | 0.93 | 0.93 | 0.62 | 0.49 | 0.50 | 0.65 | 0.49 | 0.46 | 0.46 | 0.44 | 0.46 | 0.44 |
| Color Pfund (mm) | 41 | 41 | 35 | 62 | 83 | 71 | 71 | 51 | 55 | 35 | 27 | 27 | 62 | 35 | 71 | 55 | 41 | 41 | 35 |
| Moisture (%) | 18.7 | 16.7 | 18.4 | 17.6 | 17.2 | 17.3 | 17 | 16.6 | 17.3 | 16.7 | 16.8 | 16.8 | 16.8 | 16.8 | 18.2 | 18.3 | 18.8 | 19.1 | 19.1 |
| Pollen Type Present in more than 50% of samples with RF at least once greater than 10% found in the honey samples from French Guiana (across all sampling sites) | Sinnamary (Amazonian Forest Honeys) | ||||||||||||||||||
| Sites 6 and 7 | |||||||||||||||||||
| H4 | H9 | H15 | H21 | H23 | H26 | H27 | H52 | H53 | H55 | H57 | H69 | H70 | H71 | H72 | H75 | H77 | H79 | H82 | |
| Aug, 2014 | Nov, 2014 | Jan, 2015 | Aug, 2015 | Sept, 2015 | Sept, 2015 | Oct, 2015 | Sept, 2015 | Oct, 2015 | Oct, 2015 | Nov, 2015 | Sept, 2016 | Oct, 2016 | Sept,2016 | Oct, 2016 | Oct, 2016 | Oct, 2016 | Nov, 2016 | Dec, 2016 | |
| Mimosaceae | |||||||||||||||||||
| Mimosa pudica | 97.9 | 32.8 | 51.9 | 92.5 | 96.9 | 94.9 | 67.1 | 75.7 | 94.3 | 94.5 | 68.9 | 96.7 | 96.1 | 94.0 | 89.2 | 86.9 | 84.1 | 32.3 | 35.9 |
| Arecaceae | |||||||||||||||||||
| Cocos sp. | - | 6.6 | 1.2 | 0.1 | 0.1 | 0.5 | 3.4 | 3.8 | 0.2 | 1.0 | 2.1 | 0.3 | 0.6 | 0.8 | 1.0 | 1.8 | 0.7 | 2.7 | 4.6 |
| Mauritia flexuosa | - | 16.7 | 7.0 | 0.2 | - | - | - | 0.4 | - | 0.5 | 7.0 | - | - | - | - | 0.7 | 2.9 | 9.2 | 1.2 |
| Cyperaceae | |||||||||||||||||||
| Rhynchospora sp. | - | 0.6 | 0.7 | 0.1 | - | 0.5 | 0.1 | 1.0 | - | 0.1 | 0.6 | 0.0 | 0.2 | 0.3 | 0.7 | 1.2 | 1.0 | 15.1 | 3.1 |
| Acanthaceae | |||||||||||||||||||
| Avicennia germinans | 0.2 | 7.6 | 5.0 | 0.1 | - | 0.5 | 7.1 | 6.1 | 1.1 | 1.1 | 9.6 | 0.1 | - | 0.7 | 1.9 | 2.1 | 3.9 | 15.3 | 30.7 |
| Anacardiaceae | |||||||||||||||||||
| Tapirira guianensis | - | 2.1 | 3.9 | 0.1 | - | - | - | 0.1 | - | 0.1 | 0.3 | 0.1 | 0.1 | 0.2 | 2.7 | 3.1 | 2.1 | 0.8 | 2.7 |
| Spondias Mombin | - | 0.2 | - | - | - | - | - | 0.1 | - | - | - | 0.1 | - | - | - | - | - | 0.1 | 2.7 |
| Urticaceae | |||||||||||||||||||
| Cecropia sp. | - | - | - | 0.1 | - | 0.2 | 0.1 | 0.5 | - | - | 0.1 | 0.2 | 0.2 | 0.2 | 0.3 | 0.1 | - | - | - |
| Myrtaceae | |||||||||||||||||||
| Myrtaceae sp. | - | 2.9 | 9.5 | 0.1 | - | - | - | - | 0.2 | 0.1 | 0.2 | - | - | - | - | 0.5 | 1.2 | 0.9 | 1.7 |
| Solanaceae | |||||||||||||||||||
| Solanum sp. | - | - | - | - | - | 0.1 | 1.0 | 1.3 | 0.6 | 0.2 | - | 0.1 | 0.3 | - | 0.1 | 0.3 | 0.1 | 0.2 | - |
| Burseraceae | |||||||||||||||||||
| Protium sp. | - | 6.1 | 0.2 | - | - | - | 0.6 | 8.5 | 0.0 | 0.1 | 0.9 | 0.1 | - | - | 0.1 | - | 0.1 | 0.4 | 0.6 |
| Piperaceae | |||||||||||||||||||
| Piper marginatum | - | - | - | - | 0.1 | - | - | 0.3 | - | - | - | 0.04 | 0.4 | 1.0 | 0.9 | 0.3 | - | 0.1 | - |
| Fabaceae | |||||||||||||||||||
| Diplotropis purpurea | - | - | - | 0.3 | 0.1 | - | - | - | 0.1 | 0.1 | 0.3 | 0.1 | - | - | - | 0.6 | 0.3 | - | - |
| Asteraceae | |||||||||||||||||||
| Asteraceae sp. | - | - | - | - | - | - | - | 0.1 | - | - | - | - | - | - | - | - | - | 0.1 | - |
| Icacinaceae | |||||||||||||||||||
| Emmotum fagifolium | - | - | - | - | - | - | 15.4 | 0.2 | 0.9 | 0.1 | 0.5 | - | - | 0.1 | - | - | - | 1.9 | 0.2 |
| Chenopodiaceae/Amaranthaceae | |||||||||||||||||||
| Chenopodiaceae /Amaranthaceae | - | - | - | - | - | - | - | - | - | - | - | - | - | - | - | - | - | - | - |
| Scrophulariaceae | |||||||||||||||||||
| Scrophulariaceae sp. | - | - | - | - | - | - | - | - | - | - | - | - | - | - | - | - | - | - | - |
| PG/10 g | 1,971,334 | 44,674 | 37,320 | 880,800 | 475,000 | 420,000 | 38,600 | 62,600 | 71,800 | 510,250 | 77,600 | 488,063 | 548,332 | 439,770 | 235,555 | 205,330 | 101,038 | 109,772 | 22,691 |
| Honey class (I to V) | V | II | II | IV | III | III | II | II | II | IV | II | III | IV | III | III | III | III | III | II |
| Honeydew indicators | R | R | - | R | R | R | R | R | R | R | R | R | R | F | R | R | F | F | F |
| Electrical conductivity (mS/cm) | 0.55 | 0.45 | 0.54 | 0.63 | 0.86 | 0.96 | 0.74 | 0.62 | 0.71 | 0.65 | 0.57 | 0.55 | 0.35 | 0.44 | 0.36 | 0.43 | 0.48 | 0.53 | 0.51 |
| Color Pfund (mm) | 83 | 46 | 41 | 92 | 83 | 55 | 27 | 35 | 62 | 83 | 51 | 110 | 110 | 110 | 92 | 92 | 72 | 62 | 35 |
| Moisture (%) | 17.1 | 17.9 | 18.1 | 17 | 17.1 | 17.6 | 16.5 | 16.7 | 17.1 | 17 | 16.4 | 18.6 | 19.2 | 18.7 | 19.1 | 18.3 | 18.2 | 18.4 | 19.3 |
| Pollen Type Present in more than 50% of samples with RF at least once greater than 10% found in the honey samples from French Guiana (across all sampling sites) | Macouria/Kourou | ||||||
| Sites 8, 9 and 10 | Site 11 | ||||||
| H37 | H36 | H38 | H73 | H42 | H43 | H44 | |
| Dec, 2014 | Sept, 2015 | Nov, 2015 | Oct, 2016 | Oct, 2015 | Nov, 2015 | Dec, 2015 | |
| Mimosaceae | |||||||
| Mimosa pudica | 20.0 | 93.3 | 67.5 | 78.5 | 88.8 | 81.2 | 9.4 |
| Arecaceae | |||||||
| Cocos sp. | 2.2 | 0.6 | 1.0 | 0.9 | 1.0 | 0.6 | 0.4 |
| Mauritia flexuosa | 1.6 | 0.0 | 0.8 | 1.3 | 0.2 | 12.9 | 0.1 |
| Cyperaceae | |||||||
| Rhynchospora sp. | 0.1 | 0.1 | 0.1 | 0.2 | 0.2 | 1.7 | 0.4 |
| Acanthaceae | |||||||
| Avicennia germinans | 6.7 | 0.3 | 7.3 | 3.1 | 5.2 | 0.4 | 0.7 |
| Anacardiaceae | |||||||
| Tapirira guianensis | 50.1 | 0.4 | - | 9.6 | 0.1 | 0.2 | 83.4 |
| Spondias Mombin | - | - | 0.2 | 0.1 | - | - | - |
| Urticaceae | |||||||
| Cecropia sp. | - | 0.2 | 0.2 | - | 2.2 | - | - |
| Myrtaceae | |||||||
| Myrtaceae sp. | 1.7 | 0.4 | 0.2 | 0.9 | - | - | - |
| Solanaceae | |||||||
| Solanum sp. | 14.8 | 2.4 | 18.5 | 0.7 | - | - | - |
| Burseraceae | |||||||
| Protium sp. | 0.9 | - | 1.3 | - | - | - | - |
| Piperaceae | |||||||
| Piper marginatum | - | 0.2 | - | 0.1 | - | - | - |
| Fabaceae | |||||||
| Diplotropis purpurea | - | 0.9 | - | 0.4 | - | - | - |
| Asteraceae | |||||||
| Asteraceae sp. | - | - | - | 0.1 | 0.1 | - | - |
| Icacinaceae | |||||||
| Emmotum fagifolium | - | - | 0.2 | - | - | - | - |
| Chenopodiaceae/Amaranthaceae | |||||||
| Chenopodiaceae/Amaranthaceae | - | - | - | - | - | - | - |
| Scrophulariaceae | |||||||
| Scrophulariaceae sp. | 0.1 | - | - | - | - | - | - |
| PG/10 g | 78,364 | 192,000 | 47,950 | 141,288 | 91,030 | 555,464 | 1,176,118 |
| Honey class (I to V) | II | III | II | III | II | IV | V |
| Honeydew indicators | R | R | - | R | - | - | |
| Electrical conductivity (mS/cm) | 0.62 | 0.88 | 0.70 | 0.64 | 0.47 | 0.79 | 0.61 |
| Color Pfund (mm) | 71 | 83 | 46 | 92 | 27 | 83 | 55 |
| Moisture (%) | 19.2 | 18.5 | 18.2 | 18.3 | 18.3 | 21.4 | 20.5 |
| Pollen Type Present in more than 50% of samples with RF at least once greater than 10% found in the honey samples from French Guiana (across all sampling sites) | Montsinéry-Tonnégrande | |||||||||||||||||||
| Site 12 | Site 13 | Site 14 | Site 15 | |||||||||||||||||
| H30 | H6 | H11 | H12 | H16 | H17 | H29 | H31 | H39 | H40 | H50 | H51 | H59 | H63 | H64 | H65 | H66 | H86 | H87 | H28 | |
| Sept, 2015 | Sept, 2014 | Nov, 2014 | Nov, 2014 | Dec, 2014 | Dec, 2014 | Sept, 2015 | Oct, 2015 | Sept, 2015 | Oct, 2015 | Nov, 2015 | Dec, 2015 | Jan, 2016 | Sept, 2016 | Oct, 2016 | Oct, 2016 | Nov, 2016 | Dec, 2016 | Jan, 2017 | Sept, 2015 | |
| Mimosaceae | ||||||||||||||||||||
| Mimosa pudica | 94.4 | 98.6 | 34.7 | 98.1 | 47.1 | 82.3 | 94.9 | 91.2 | 98.6 | 93.1 | 73.3 | 58.3 | 54.1 | 94.9 | 91.0 | 87.6 | 91.2 | 95.4 | 85.4 | 97.2 |
| Arecaceae | ||||||||||||||||||||
| Cocos sp. | 0.6 | 0.3 | 30.5 | 0.4 | 10.5 | 3.2 | 0.4 | 1.9 | 0.1 | 0.4 | 3.9 | 3.0 | 6.8 | 0.1 | 0.3 | 0.3 | 0.1 | 0.5 | 0.8 | 0.2 |
| Mauritia flexuosa | - | - | 12.2 | - | 0.1 | 2.1 | - | - | - | - | 0.8 | 1.5 | 0.7 | - | 0.1 | 1.3 | 1.3 | 0.5 | 0.6 | - |
| Cyperaceae | ||||||||||||||||||||
| Rhynchospora sp. | 0.3 | 0.1 | 2.0 | 0.2 | 4.4 | 0.6 | 0.3 | 1.2 | 0.4 | 1.0 | 1.0 | 3.3 | 3.9 | 0.1 | 0.1 | 0.3 | 0.5 | 0.3 | 1.6 | 0.2 |
| Acanthaceae | ||||||||||||||||||||
| Avicennia germinans | 1.1 | 0.4 | 4.4 | 0.1 | 0.5 | 1.1 | 0.5 | 1.1 | - | - | 1.4 | 1.8 | 2.7 | - | 0.1 | 1.4 | 0.9 | 1.0 | 0.6 | - |
| Anacardiaceae | ||||||||||||||||||||
| Tapirira guianensis | 0.2 | - | 0.5 | - | 20.3 | 1.2 | 1.0 | 0.6 | 0.2 | 0.1 | - | 14.8 | 10.9 | 3.4 | 6.9 | 4.9 | 2.8 | 0.3 | 4.2 | - |
| Spondias Mombin | - | 0.1 | 6.5 | - | - | 0.3 | - | - | - | 0.1 | 7.9 | 4.2 | 11.1 | - | - | - | 0.1 | 0.6 | - | - |
| Urticaceae | ||||||||||||||||||||
| Cecropia sp. | 0.4 | - | 0.6 | 0.3 | 0.1 | 0.3 | 1.3 | 0.8 | - | 0.4 | 0.2 | - | - | - | 0.1 | 1.8 | 0.8 | 0.5 | 0.6 | 1.0 |
| Myrtaceae | ||||||||||||||||||||
| Myrtaceae sp. | 0.4 | 0.1 | 0.8 | 0.3 | 10.7 | 0.4 | 0.5 | 1.6 | - | 0.2 | 0.9 | 0.6 | 0.4 | - | 0.3 | 0.9 | 0.3 | 0.3 | 0.4 | - |
| Solanaceae | ||||||||||||||||||||
| Solanum sp. | 0.2 | 0.02 | 0.1 | - | 0.1 | 0.6 | 0.1 | - | - | - | - | 0.1 | - | - | - | - | - | 0.1 | - | 0.9 |
| Burseraceae | ||||||||||||||||||||
| Protium sp. | 0.1 | - | 6.0 | 0.1 | 0.1 | 5.4 | - | 0.2 | - | - | 0.1 | 0.9 | 0.1 | - | - | 1.0 | 0.7 | 0.2 | 0.6 | - |
| Piperaceae | ||||||||||||||||||||
| Piper marginatum | - | - | - | - | 0.04 | 0.1 | - | - | 0.1 | - | - | - | - | - | - | - | - | - | - | - |
| Fabaceae | ||||||||||||||||||||
| Diplotropis purpurea | 0.1 | - | - | - | - | 0.3 | - | - | - | - | - | - | 0.2 | - | - | - | - | - | - | - |
| Asteraceae | ||||||||||||||||||||
| Asteraceae sp. | 0.3 | - | - | 0.02 | 0.04 | 0.06 | 0.1 | - | - | 0.1 | 0.1 | 0.2 | 0.3 | 0.02 | - | - | 0.1 | - | 0.1 | - |
| Icacinaceae | ||||||||||||||||||||
| Emmotum fagifolium | 0.4 | - | - | - | - | - | 0.1 | 0.04 | - | 3.8 | 1.9 | 0.1 | 0.7 | 0.02 | - | - | - | - | - | - |
| Chenopodiaceae/Amaranthaceae | ||||||||||||||||||||
| Chenopodiaceae/Amaranthaceae | - | - | - | - | - | - | - | - | - | - | - | - | - | - | - | - | - | - | - | - |
| Scrophulariaceae | ||||||||||||||||||||
| Scrophulariaceae sp. | - | - | - | - | - | - | - | - | - | - | - | - | - | - | - | - | - | - | - | - |
| PG/10 g | 109,000 | 252,800 | 44,450 | 502,000 | 126,700 | 81,104 | 294,000 | 182,500 | 300,200 | 278,300 | 118,400 | 43,840 | 92,120 | 447,650 | 455,300 | 93,332 | 127,070 | 63,877 | 93,845 | 218,400 |
| Honey class (I to V) | III | III | II | IV | III | II | III | III | III | III | III | II | II | III | III | II | III | II | II | III |
| Honeydew indicators | - | R | - | - | R | F | R | R | F | R | R | R | R | R | R | - | R | - | - | R |
| Electrical conductivity (mS/cm) | 0.71 | 0.67 | 0.77 | 0.52 | 1.04 | 0.63 | 0.76 | 0.65 | 1.09 | 1.04 | 0.99 | 0.83 | 0.85 | 0.79 | 0.80 | 0.98 | 0.87 | 0.95 | 0.99 | 1.22 |
| Color Pfund (mm) | 55 | 41 | 51 | 83 | 55 | 55 | 71 | 46 | 55 | 51 | 55 | 51 | 62 | 62 | 51 | 46 | 51 | 35 | 62 | 62 |
| Moisture (%) | 18.1 | 18.4 | 20.1 | 19.4 | 20.7 | 18.5 | 17.6 | 18.4 | 16.7 | 17.5 | 17.3 | 16.4 | 15.8 | 21 | 19 | 19.7 | 17.9 | 18.4 | 18.7 | 19.0 |
| Pollen Type Present in more than 50% of samples with RF at least once greater than 10% found in the honey samples from French Guiana (across all sampling sites) | Rémire-Montjoly | |||
| Site 16 | ||||
| H5 | H10 | H41 | H68 | |
| Nov, 2012 | Nov, 2014 | Nov, 2015 | Nov, 2016 | |
| Mimosaceae | ||||
| Mimosa pudica | 34.4 | 48.4 | 56.6 | 40.3 |
| Arecaceae | ||||
| Cocos sp. | 2.9 | 0.4 | 0.9 | 4.2 |
| Mauritia flexuosa | 0.7 | - | - | - |
| Cyperaceae | ||||
| Rhynchospora sp. | 1.4 | 3.3 | 0.3 | 3.4 |
| Acanthaceae | ||||
| Avicennia germinans | 5.0 | 1.1 | 1.7 | 2.9 |
| Anacardiaceae | ||||
| Tapirira guianensis | 1.6 | 13.6 | 8.1 | 19.6 |
| Spondias Mombin | 34.2 | 15.4 | 27.8 | 21.6 |
| Urticaceae | ||||
| Cecropia sp. | - | - | 0.2 | 0.5 |
| Myrtaceae | ||||
| Myrtaceae sp. | 0.9 | 0.2 | 0.1 | 0.3 |
| Solanaceae | ||||
| Solanum sp. | - | - | - | - |
| Burseraceae | ||||
| Protium sp. | - | - | - | - |
| Piperaceae | ||||
| Piper marginatum | 4.5 | 14.7 | 1.6 | 0.5 |
| Fabaceae | ||||
| Diplotropis purpurea | - | 0.2 | - | - |
| Asteraceae | ||||
| Asteraceae sp. | 0.6 | 0.5 | - | 0.5 |
| Icacinaceae | ||||
| Emmotum fagifolium | - | - | - | - |
| Chenopodiaceae/Amaranthaceae | ||||
| Chenopodiaceae/Amaranthaceae | - | - | - | - |
| Scrophulariaceae | ||||
| Scrophulariaceae sp. | - | - | - | - |
| PG/10 g | 71,384 | 48,720 | 36,634 | 60,763 |
| Honey class (I to V) | II | II | II | II |
| Honeydew indicators | R | F | F | - |
| Electrical conductivity (mS/cm) | 0.58 | 0.72 | 0.77 | 0.63 |
| Color Pfund (mm) | 83 | 92 | 46 | 55 |
| Moisture (%) | 17.1 | 18.6 | 18.5 | 20.7 |
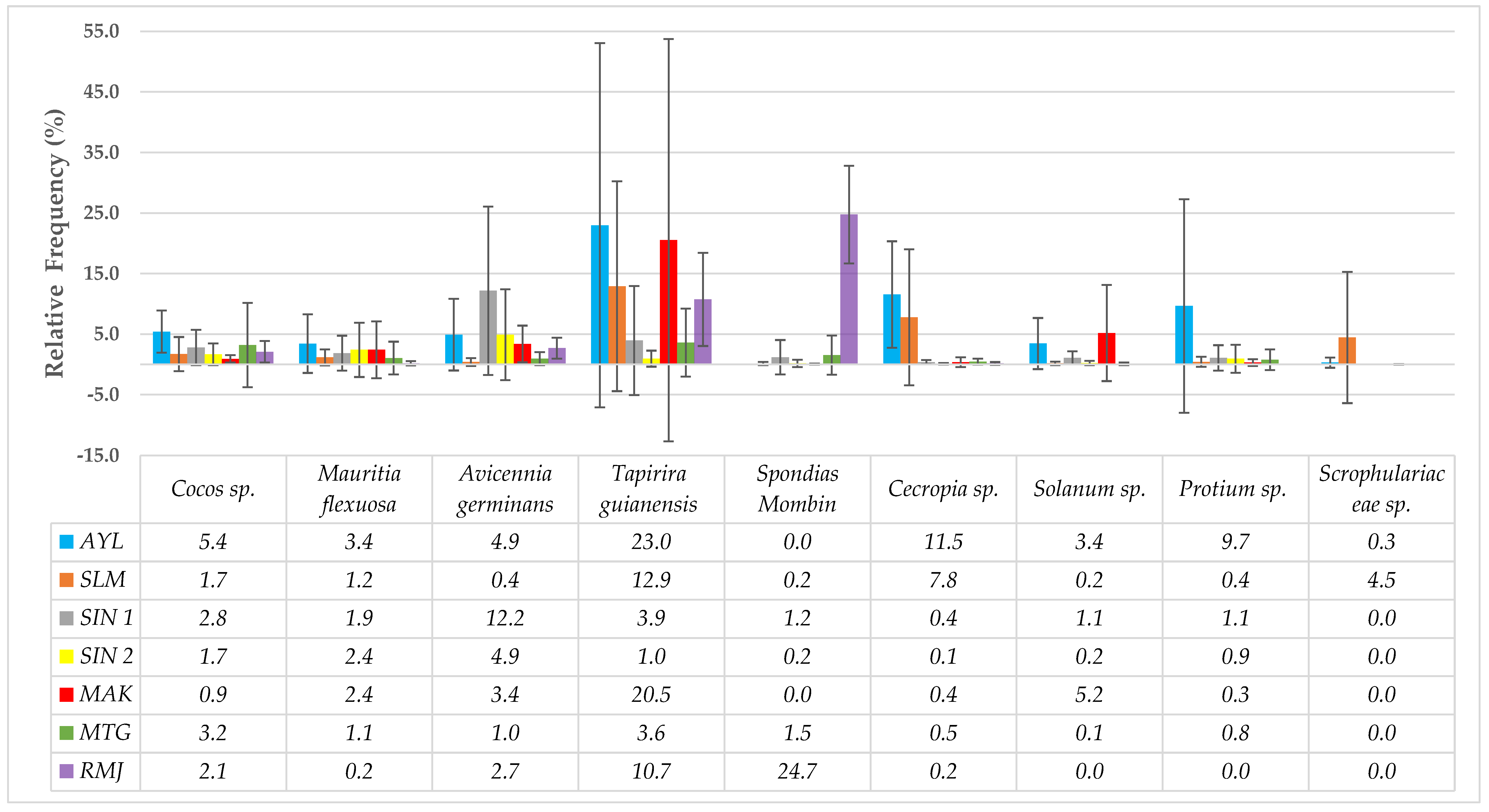
| Awala | SLT | SIN1 | SIN2 | MAK | MTG | RMJ | ||
| Number Sample | 8 | 10 | 19 | 19 | 7 | 8 | 4 | |
| Cocos sp. | min.–max. | 0.3–9.0 | 0.0–9.2 | 0.0–10.8 | 0.0–6.6 | 0.4–2.2 | 0.1–30.5 | 0.4–4.2 |
| Mean ± SD | 5.4 ± 3.5 | 1.7 ± 2.8 | 2.8 ± 2.9 | 1.7 ± 1.8 | 0.9 ± 0.6 | 3.2 ± 7.0 | 2.1 ± 1.77 | |
| %RSD | 64.4 | 165.5 | 105.0 | 108.4 | 64.7 | 2.2 | 84.5 | |
| Mauritia Flexuosa | min.–max. | 0.0–14.0 | 0.0–3.5 | 0.0–11.8 | 0.0–16.7 | 0.0–12.9 | 0.0–12.2 | 0.0–0.7 |
| Mean ± SD | 3.4 ± 4.8 | 1.2 ± 1.3 | 1.9 ± 2.9 | 2.4 ± 4.5 | 2.4 ± 4.7 | 1.1 ± 2.7 | 0.2 ± 0.4 | |
| %RSD | 140.7 | 112.2 | 154.1 | 186.1 | 194.0 | 2.6 | 200.0 | |
| Avicennia germinans | min.–max. | 0.0–16.0 | 0.0–2.0 | 0.1–44.0 | 0.0–30.7 | 0.3–7.3 | 0.0–4.4 | 1.1–5.0 |
| Mean ± SD | 4.9 ± 5.9 | 0.4 ± 0.7 | 12.2 ± 13.9 | 4.9 ± 7.5 | 3.4 ± 3.0 | 1.0 ± 1.1 | 2.7 ± 1.7 | |
| %RSD | 120.4 | 167.6 | 114.4 | 152.8 | 89.7 | 1.1 | 63.9 | |
| Tapirira guianensis | min.–max. | 0.0–70.8 | 0.1–56.8 | 0.0–38.1 | 0.0–3.9 | 0.0–83.4 | 0.0–20.3 | 1.6–19.6 |
| Mean ± SD | 23.0 ± 30.1 | 12.9 ± 17.3 | 3.9 ± 9.0 | 1.0 ± 1.3 | 20.5 ± 33.2 | 3.6 ± 5.6 | 10.7 ± 7.7 | |
| %RSD | 130.8 | 134.2 | 229.0 | 138.7 | 161.7 | 1.6 | 71.6 | |
| Spondias mombin | min.–max. | - | 0.0–0.8 | 0.0–10.9 | 0.0–2.7 | 0.0–0.2 | 0.0–11.1 | 15.4–34.2 |
| Mean ± SD | - | 0.2 ± 0.3 | 1.2 ± 2.8 | 0.2 ± 0.6 | 0.0 ± 0.1 | 1.5 ± 3.2 | 24.7 ± 8.1 | |
| %RSD | - | 167.6 | 238.0 | 368.8 | 174.3 | 2.1 | 32.6 | |
| Cecropia sp. | min.–max. | 0.3–22.6 | 0.1–35.2 | 0.0–1.3 | 0.0–0.5 | 0.0–2.2 | 0.0–1.8 | 0.0–0.5 |
| Mean ± SD | 11.5 ± 8.8 | 7.8 ± 11.2 | 0.4 ± 0.3 | 0.1 ± 0.1 | 0.4 ± 0.8 | 0.5 ± 0.5 | 0.2 ± 0.2 | |
| %RSD | 76.3 | 144.5 | 92.1 | 124.5 | 222.5 | 1.0 | 131.8 | |
| Solanum sp. | min.–max. | 0.0–10.7 | 0.0–0.9 | 0.0–3.8 | 0.0–1.3 | 0.0–18.5 | 0.0–0.9 | - |
| Mean ± SD | 3.4 ± 4.2 | 0.2 ± 0.3 | 1.1 ± 1.1 | 0.2 ± 0.4 | 5.2 ± 7.9 | 0.1 ± 0.2 | - | |
| %RSD | 122.5 | 158.6 | 100.3 | 160.9 | 153.0 | 2.1 | - | |
| Protium sp. | min.–max. | 0.0–45.0 | 0.0–2.5 | 0.0–8.2 | 0.0–8.5 | 0.0–1.3 | 0.0–6.0 | - |
| Mean ± SD | 9.7 ± 17.6 | 0.4 ± 0.8 | 1.1 ± 2.1 | 0.9 ± 2.3 | 0.3–0.6 | 0.8 ± 1.7 | - | |
| %RSD | 182.6 | 192.4 | 196.0 | 247.2 | 175.7 | 2.2 | - | |
| Scrophulariaceae sp. | min.–max. | 0.0–2.4 | 0.0–33.8 | - | - | 0.0–0.1 | - | - |
| Mean ± SD | 0.3 ± 0.8 | 4.5 ± 10.8 | - | - | 0.0 ± 0.0 | - | - | |
| %RSD | 282.8 | 243.5 | - | - | 264.6 | - | - | |
Disclaimer/Publisher’s Note: The statements, opinions and data contained in all publications are solely those of the individual author(s) and contributor(s) and not of MDPI and/or the editor(s). MDPI and/or the editor(s) disclaim responsibility for any injury to people or property resulting from any ideas, methods, instructions or products referred to in the content. |
© 2024 by the authors. Licensee MDPI, Basel, Switzerland. This article is an open access article distributed under the terms and conditions of the Creative Commons Attribution (CC BY) license (https://creativecommons.org/licenses/by/4.0/).
Share and Cite
Jiang, W.; Battesti, M.-J.; Yang, Y.; Jean-Marie, É.; Costa, J.; Béreau, D.; Paolini, J.; Robinson, J.-C. Melissopalynological Analysis of Honey from French Guiana. Foods 2024, 13, 1073. https://doi.org/10.3390/foods13071073
Jiang W, Battesti M-J, Yang Y, Jean-Marie É, Costa J, Béreau D, Paolini J, Robinson J-C. Melissopalynological Analysis of Honey from French Guiana. Foods. 2024; 13(7):1073. https://doi.org/10.3390/foods13071073
Chicago/Turabian StyleJiang, Weiwen, Marie-José Battesti, Yin Yang, Élodie Jean-Marie, Jean Costa, Didier Béreau, Julien Paolini, and Jean-Charles Robinson. 2024. "Melissopalynological Analysis of Honey from French Guiana" Foods 13, no. 7: 1073. https://doi.org/10.3390/foods13071073
APA StyleJiang, W., Battesti, M.-J., Yang, Y., Jean-Marie, É., Costa, J., Béreau, D., Paolini, J., & Robinson, J.-C. (2024). Melissopalynological Analysis of Honey from French Guiana. Foods, 13(7), 1073. https://doi.org/10.3390/foods13071073

