Leaves, Infusion, and Grounds—A Three–Stage Assessment of Element Content in Yerba Mate (Ilex paraguariensis) Based on the Dynamic Extraction and Mineralization of Residues
Abstract
1. Introduction
2. Materials and Methods
2.1. Sampling
2.2. Reagents and Gases
2.3. Sample Preparation
- An accurately weighed sample (0.500 ± 0.001 g) of dry yerba mate was mineralized at 180 °C with 5.0 mL of 65% HNO3 in closed PTFE containers (55 mL) using the microwave digestion system, Mars 6 (CEM, Matthews, NC, USA). The process was conducted in the following three stages: ramping (20 min), holding (20 min), and cooling (20 min). After mineralization, a sample was transferred to a PP Falcon tube and diluted with deionized water to 10 mL.
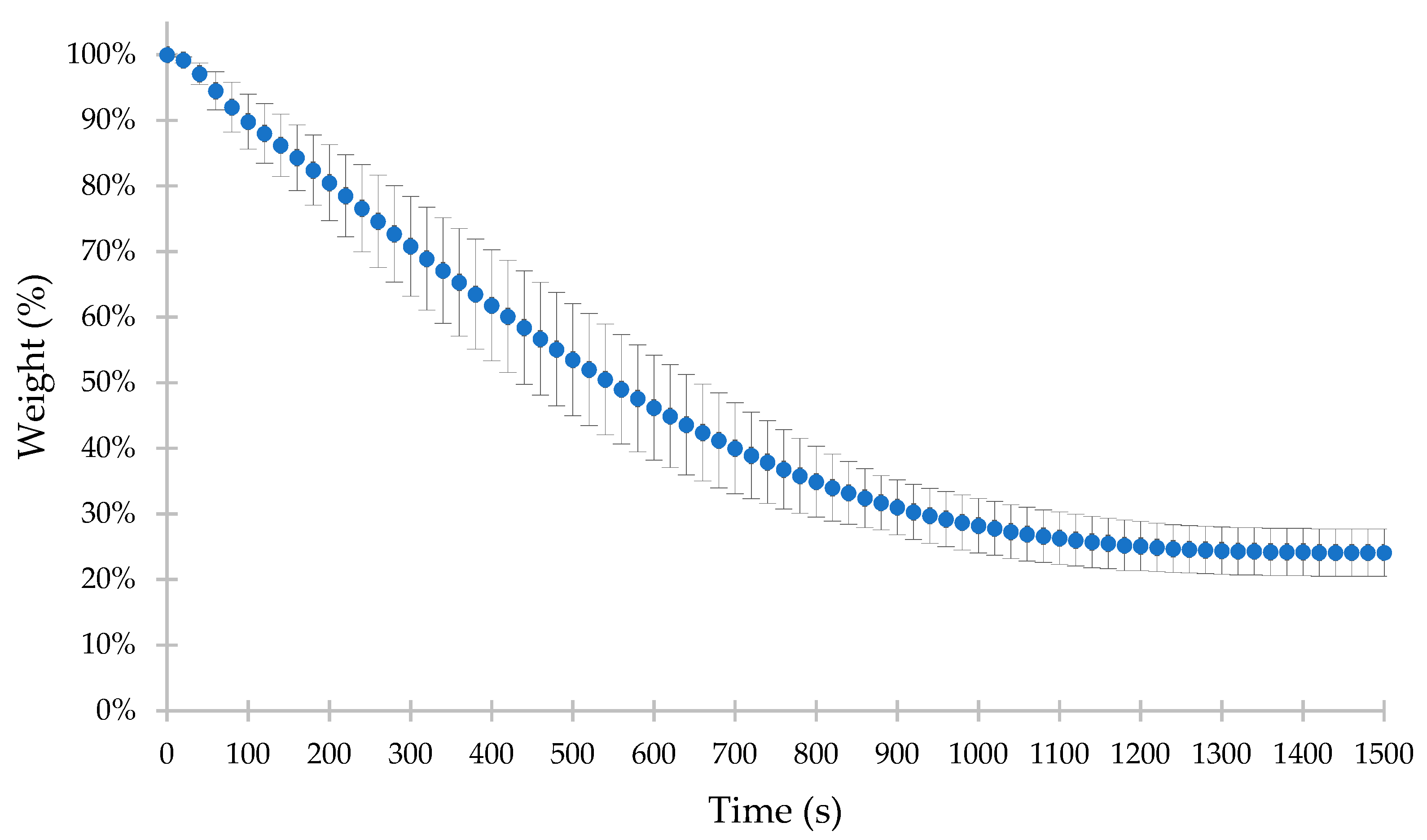
- Parallel to the first stage, an accurately weighed sample (4.00 ± 0.01 g) of dry yerba mate was placed in a polypropylene funnel on filter paper (previously washed with 200 mL of DI water). Deionized water was heated to 80 °C in an electric kettle, Styline TWK8613P (Bosch GmbH, Stuttgart, Germany), after being cleaned (boiled) with 1% (w/v) citric acid (Merck, Darmstadt, Germany). When water was reached, the temperature was kept (with the “Keep warm” function), and eight portions of water (5 mL each) were dosed on the sample (in total 40 mL). A flowing down extract was collected in a PP Falcon tube and acidified, adding 2–3 drops of 65% HNO3. Residues of yerba mate (grounds) were left to the third stage.
- After the second stage, yerba mate residues were dried in the laboratory dryer at 50 °C. Moreover, the grounds were weighed before and after drying to calculate the weight loss. Afterward, the whole first step of the procedure was repeated.
2.4. Instrumentation
2.5. Statistical Analysis
3. Results and Discussion
3.1. Dry Yerba Mate
3.2. Infusions
3.3. Grounds
3.4. Spearman’s Rank Correlation Test
4. Conclusions
Supplementary Materials
Author Contributions
Funding
Institutional Review Board Statement
Informed Consent Statement
Data Availability Statement
Conflicts of Interest
References
- Gawron-Gzella, A.; Chanaj-Kaczmarek, J.; Cielecka-Piontek, J. Yerba Mate—A Long but Current History. Nutrients 2021, 13, 3706. [Google Scholar] [CrossRef]
- Heck, C.I.; De Mejia, E.G. Yerba Mate Tea (Ilex paraguariensis): A Comprehensive Review on Chemistry, Health Implications, and Technological Considerations. J. Food Sci. 2007, 72, R138–R151. [Google Scholar] [CrossRef] [PubMed]
- Proch, J.; Orłowska, A.; Niedzielski, P. Elemental and Speciation Analyses of Different Brands of Yerba Mate (Ilex paraguariensis). Foods 2021, 10, 2925. [Google Scholar] [CrossRef]
- Baran, A.; Gruszecka-Kosowska, A.; Kołton, A.; Jasiewicz, C.; Piwowar, P. Content and health risk assessment of selected elements in the Yerba mate (Ilex paraguariensis, St. hillaire). Hum. Ecol. Risk Assess. Int. J. 2018, 24, 1092–1114. [Google Scholar] [CrossRef]
- Proch, J.; Różewska, A.; Orłowska, A.; Niedzielski, P. Influence of Brewing Method on the Content of Selected Elements in Yerba Mate (Ilex paraguarensis) Infusions. Foods 2023, 12, 1072. [Google Scholar] [CrossRef] [PubMed]
- Neves, M.M.; dos Santos Espinelli Junior, J.B.; de Souza, M.M.; Carapelli, R. Application of Hot Water Extraction Techniques and the Principal Component Analysis to Study the Influence of Cultivation of Commercial Yerba Mate Samples on Their Mineral Profiles. Food Anal. Methods 2022, 15, 2940–2950. [Google Scholar] [CrossRef]
- Pozebon, D.; Dressler, V.L.; Marcelo, M.C.A.; de Oliveira, T.C.; Ferrão, M.F. Toxic and nutrient elements in yerba mate (Ilex paraguariensis). Food Addit. Contam. Part B 2015, 8, 215–220. [Google Scholar] [CrossRef]
- Ulbrich, N.C.M.; do Prado, L.L.; Barbosa, J.Z.; Araujo, E.M.; Poggere, G.; Motta, A.C.V.; Prior, S.A.; Magri, E.; Young, S.D.; Broadley, M.R. Multi-elemental Analysis and Health Risk Assessment of Commercial Yerba Mate from Brazil. Biol. Trace Elem. Res. 2022, 200, 1455–1463. [Google Scholar] [CrossRef]
- Barbosa, J.Z.; Zambon, L.M.; Motta, A.C.V.; Wendling, I. Leaves of yerba mate composição, solubilidade de elementos em água quente e valor nutricional de frutos e folhas de erva-mate. Ciênc. Agrotecnol. 2015, 39, 593–603. [Google Scholar] [CrossRef]
- Olivari, I.; Paz, S.; Gutiérrez, Á.J.; González-Weller, D.; Hardisson, A.; Sagratini, G.; Rubio, C. Macroelement, trace element, and toxic metal levels in leaves and infusions of yerba mate (Ilex paraguariensis). Environ. Sci. Pollut. Res. 2020, 27, 21341–21352. [Google Scholar] [CrossRef]
- Junior, E.L.C.; Morand, C. Interest of mate (Ilex paraguariensis A. St.-Hil.) as a new natural functional food to preserve human cardiovascular health—A review. J. Funct. Foods 2016, 21, 440–454. [Google Scholar] [CrossRef]
- Bracesco, N.; Sanchez, A.G.; Contreras, V.; Menini, T.; Gugliucci, A. Recent advances on Ilex paraguariensis research: Minireview. J. Ethnopharmacol. 2011, 136, 378–384. [Google Scholar] [CrossRef]
- Copello, G.J.; Garibotti, R.E.; Varela, F.; Tuttolomondo, M.V.; Diaz, L.E. Exhausted Yerba Mate Leaves (Ilex paraguariensis) as Biosorbent for the Removal of Metals from Aqueous Solutions. J. Braz. Chem. Soc. 2011, 22, 790–795. [Google Scholar] [CrossRef]
- Amarasinghe, B.M.W.P.K.; Williams, R.A. Tea waste as a low cost adsorbent for the removal of Cu and Pb from wastewater. Chem. Eng. J. 2007, 132, 299–309. [Google Scholar] [CrossRef]
- Tesio, A.Y.; de Haro Niza, J.; Sanchez, L.M.; Rodríguez, A.; Caballero, A. Turning yerba mate waste into high-performance lithium–sulfur battery cathodes. J. Energy Storage 2023, 67, 107627. [Google Scholar] [CrossRef]
- Arrieta, M.P.; Peponi, L.; López, D.; Fernández-García, M. Recovery of yerba mate (Ilex paraguariensis) residue for the development of PLA-based bionanocomposite films. Ind. Crops Prod. 2018, 111, 317–328. [Google Scholar] [CrossRef]
- Hansen, B.; Borsoi, C.; Júnior, M.A.D.; Catto, A.L. Thermal and thermo-mechanical properties of polypropylene composites using yerba mate residues as reinforcing filler. Ind. Crops Prod. 2019, 140, 111696. [Google Scholar] [CrossRef]
- Llive, L.; Bruno, E.; Molina-García, A.D.; Schneider-Teixeira, A.; Deladino, L. Biodegradation of Yerba Mate Waste Based Fertilizer Capsules. Effect of Temperature. J. Polym. Environ. 2019, 27, 1302–1316. [Google Scholar] [CrossRef]
- Schneider Teixeira, A.; Deladino, L.; Zaritzky, N. Yerba Mate (Ilex paraguariensis) Waste and Alginate as a Matrix for the Encapsulation of N Fertilizer. ACS Sustain. Chem. Eng. 2016, 4, 2449–2458. [Google Scholar] [CrossRef]
- Llive, L.M.; Perullini, M.; Santagapita, P.R.; Schneider-Teixeira, A.; Deladino, L. Controlled release of fertilizers from Ca(II)-alginate matrix modified by yerba mate (Ilex paraguariensis) waste. Eur. Polym. J. 2020, 138, 109955. [Google Scholar] [CrossRef]
- Gullón, B.; Eibes, G.; Moreira, M.T.; Herrera, R.; Labidi, J.; Gullón, P. Yerba mate waste: A sustainable resource of antioxidant compounds. Ind. Crops Prod. 2018, 113, 398–405. [Google Scholar] [CrossRef]
- Marcelo, M.C.A.; Martins, C.A.; Pozebon, D.; Dressler, V.L.; Ferrão, M.F. Classification of yerba mate (Ilex paraguariensis) according to the country of origin based on element concentrations. Microchem. J. 2014, 117, 164–171. [Google Scholar] [CrossRef]
- ANVISA. Regulamento Técnico Mercosul Sobre Limites Máximos de Contaminantes Inorgânicos em Alimentos (REVOGAÇÃO DAS RES.GMC N° 102/94 e N° 35/96); N°, 12/11; Mercosul, Ed.; ANVISA: Rio de Janeiro, Brazil, 2013; pp. 1–18. [Google Scholar]
- Valduga, A.T.; Gonçalves, I.L.; Magri, E. Analysis of the Presence of Toxic Metals in Yerba Mate Samples: A Case Study from South Brazil. Water Air Soil Pollut. 2019, 230, 153. [Google Scholar] [CrossRef]
- Pardinho, R.B.; Dalla Vecchia, P.; Mendes, A.L.; Bizzi, C.A.; Mello, P.A.; Duarte, F.A.; Flores, E.M. Determination of toxic elements in yerba mate by ICP-MS after diluted acid digestion under O2 pressure. Food Chem. 2018, 263, 37–41. [Google Scholar] [CrossRef]
- Maiocchi, M.G.; Del Vitto, L.A.; Petenatti, M.E.; Marchevsky, E.J.; Avanza, M.V.; Pellerano, R.G.; Petenatti, E.M. Multielemental Composition and Nutritional Value of “Dumosa” (Ilex Dumosa), “Yerba Mate” (I. Paraguariensis) and Their Commercial Mixture in Different Forms of Use. Rev. Fac. Cienc. Agrar. 2016, 48, 145–159. [Google Scholar]
- Bavasso, I.; Bracciale, M.P.; Sbardella, F.; Tirillò, J.; Sarasini, F.; Di Palma, L. Effect of yerba mate (Ilex paraguariensis) residue and coupling agent on the mechanical and thermal properties of polyolefin-based composites. Polym. Compos. 2020, 41, 161–173. [Google Scholar] [CrossRef]
- Giulian, R.; Iochims dos Santos, C.E.; de Moraes Shubeita, S.; da Silva, L.M.; Dias, J.F.; Yoneama, M.L. Elemental Characterization of Commercial Mate Tea Leaves (Ilex paraguariensis A. St.-Hil.) before and after Hot Water Infusion Using Ion Beam Techniques. J. Agric. Food Chem. 2007, 55, 741–746. [Google Scholar] [CrossRef]
- White, P.J.; Brown, P.H. Plant nutrition for sustainable development and global health. Ann. Bot. 2010, 105, 1073–1080. [Google Scholar] [CrossRef]
- Junior, M.P.F.; de Siqueira, J.C.; dos Reis Souza, A.; de Matos, M.P.; Fia, R. Use of by-products generated in the processing of coffee berries: A review. Coffee Sci. 2023, 18, e182101. [Google Scholar] [CrossRef]


| Element | Dry | Infusions | Infusions | Grounds | Grounds |
|---|---|---|---|---|---|
| (mg kg−1) | (mg kg−1) | (%) | (mg kg−1) | (%) | |
| Median {Range} (AQL) | Median {Range} (AQL) | Median {Range} (AQL) | Median {Range} (AQL) | Median {Range} (AQL) | |
| Al | 286 {191–375} (30) | 42.8 {13.0–71.0} (30) | 15 {4.9–25} (30) | 212 {137–331} (30) | 74 {54–92} (30) |
| As | 0.40 {0.16–0.58} (16) | 0.22 {0.09–0.29} (13) | 52 {24–87} (13) | 0.26 {0.16–0.46} (4) | 51 {37–94} (4) |
| B | 35.8 {26.8–55.0} (30) | 18.6 {5.03–30.7} (30) | 51 {15–85} (30) | 16.1 {1.18–28.4} (27) | 38 {2.8–79} (27) |
| Ca | 9760 {8630–11200} (30) | 728 {269–1460} (30) | 7.4 {2.7–16} (30) | 8430 {7040–10400} (30) | 86 {74–95} (30) |
| Cd | 0.42 {0.19–0.56} (30) | 0.04 {0.01–0.06} (24) | 8.4 {3.6–17} (24) | 0.29 {0.05–0.46} (29) | 76 {12–98} (29) |
| Co | 0.29 {0.08 –0.93} (29) | 0.13 {0.06–0.38} (28) | 46 {8.4–90} (28) | 0.10 {0.06–0.21} (11) | 23 {8.4–72} (11) |
| Cr | 0.60 {0.40–0.79} (30) | 0.22 {0.09–0.50} (30) | 38 {15–69} (30) | 0.30 {0.15–0.45} (30) | 53 {21–69} (30) |
| Cu | 8.42 {5.58–11.1} (30) | 3.82 {2.46–5.38} (30) | 46 {33–75} (30) | 4.05 {1.54–5.52} (30) | 51 {24–65} (30) |
| Fe | 221 {92.7–312} (30) | 2.29 {1.34–3.69} (28) | 1.0 {0.6–2.4} (28) | 148 {50.9–238} (30) | 71 {36–97} (30) |
| K | 11900 {9900–15300} (30) | 7100 {4010–9550} (30) | 61 {39–77} (30) | 4070 {1760–7830} (30) | 35 {16–60} (30) |
| Mg | 2420 {2050–2910} (30) | 728 {425–1430} (30) | 31 {17–54} (30) | 1660 {1100–2010} (30) | 66 {45–80} (30) |
| Mn | 1430 {1040–2230} (30) | 370 {121–744} (30) | 24 {11–41} (30) | 814 {411–1330} (30) | 55 {31–77} (30) |
| Mo | 0.08 {0.07–0.10} (8) | BQL (0) | N/A | BQL (0) | N/A |
| Na | 85.0 {51.6–102} (30) | 48.7 {16.0–78.3} (30) | 58 {22–80} (30) | 27.8 {12.3–53.0} (30) | 34 {14–72} (30) |
| Ni | 4.15 {2.80–5.31} (30) | 2.30 {0.89–3.09} (30) | 56 {29–77} (30) | 1.18 {0.17–2.32} (30) | 29 {6.1–44} (30) |
| P | 1030 {884–1120} (30) | 497 {269–706} (30) | 49 {31–71} (30) | 526 {239–712} (30) | 48 {23–69} (30) |
| Pb | 0.45 {0.19–0.62} (15) | 0.13 {0.10–0.17} (2) | 39 {16–62} (2) | 0.35 {0.19–0.48} (9) | 76 {35–82} (9) |
| Rb | 33.6 {25.9–43.6} (30) | 17.5 {11.7–26.3} (30) | 53 {36–68} (30) | 14.1 {8.26–0.48} (30) | 43 {23–63} (30) |
| S | 759 {591–902} (30) | 347 {224–541} (30) | 47 {32–67} (30) | 363 {256–533} (30) | 50 {32–66} (30) |
| Se | 0.77 {0.39–1.28} (27) | 0.44 {0.27–0.60} (16) | 45 {29–88} (16) | 0.51 {0.43–0.71} (12) | 50 {0.5–90} (12) |
| Si | 153 {87.3–283} (30) | 45.7 {21.2–66.2} (30) | 29 {15–58} (30) | 90.3 {31.1–211} (30) | 36 {84–62} (30) |
| Sr | 37.0 {23.8–65.5} (30) | 3.16 {1.05–8.16} (30) | 8.3 {1.8–26} (30) | 28.9 {16.1–48.2} (30) | 80 {45–95} (30) |
| Ti | 9.53 {4.07–14.1} (30) | 0.02 {0.02–0.07} (4) | 0.2 {0.2–0.5} (4) | 8.19 {3.71–13.0} (30) | 87 {54–99} (30) |
| V | 0.36 {0.10–0.89} (30) | BQL (0) | N/A | 0.31 {0.13–0.83} (28) | 85 {33 –99} (30) |
| Zn | 71.3 {27.8–117} (30) | 24.6 {9.18–39.8} (30) | 34 {21–52} (30) | 38.6 {16.4–74.2} (30) | 60 {30–78} (30) |
| Element | Mean ± SD | Median (Min–Max) | AQL (DYN–USN) |
|---|---|---|---|
| Al | 52 ± 14 | 53 (28–66) | 5–5 |
| As | 78 ± 12 | 75 (64–98) | 5–4 |
| B | 70 ± 14 | 71 (46–85) | 5–5 |
| Ca | 66 ± 12 | 66 (47–84) | 5–5 |
| Cd | 77 ± 17 | 77 (57–97) | 4–3 |
| Co | 66 ± 17 | 71 (38–81) | 4–4 |
| Cr | 54 ± 18 | 61 (23–72) | 5–5 |
| Cu | 53 ± 12 | 55 (32–65) | 5–5 |
| Fe | 35 ± 4 | 35 (29–41) | 5–5 |
| K | 58 ± 14 | 59 (34–71) | 5–5 |
| Mg | 55 ± 14 | 57 (30–70) | 5–5 |
| Mn | 51 ± 12 | 55 (30–63) | 5–5 |
| Mo | ND | ND | 0 |
| Na | 36 ± 5 | 36 (29–44) | 5–5 |
| Ni | 62 ± 14 | 68 (38–77) | 5–5 |
| P | 54 ± 15 | 52 (30–70) | 5–5 |
| Pb | ND | ND | 0 |
| Rb | 59 ± 16 | 61 (32–78) | 5–5 |
| S | 74 ± 9 | 76 (63–88) | 5–5 |
| Se | 57 * | 57 * | 3–1 |
| Si | 39 ± 9 | 37 (25–49) | 5–5 |
| Sr | 65 ± 16 | 68 (38–84) | 5–5 |
| Ti | 69 ± 29 | 78 (24–96) | 4–4 |
| V | ND | ND | 0 |
| Zn | 54 ± 12 | 55 (34–67) | 5–5 |
Disclaimer/Publisher’s Note: The statements, opinions and data contained in all publications are solely those of the individual author(s) and contributor(s) and not of MDPI and/or the editor(s). MDPI and/or the editor(s) disclaim responsibility for any injury to people or property resulting from any ideas, methods, instructions or products referred to in the content. |
© 2024 by the authors. Licensee MDPI, Basel, Switzerland. This article is an open access article distributed under the terms and conditions of the Creative Commons Attribution (CC BY) license (https://creativecommons.org/licenses/by/4.0/).
Share and Cite
Różewska, A.; Proch, J.; Niedzielski, P. Leaves, Infusion, and Grounds—A Three–Stage Assessment of Element Content in Yerba Mate (Ilex paraguariensis) Based on the Dynamic Extraction and Mineralization of Residues. Foods 2024, 13, 509. https://doi.org/10.3390/foods13040509
Różewska A, Proch J, Niedzielski P. Leaves, Infusion, and Grounds—A Three–Stage Assessment of Element Content in Yerba Mate (Ilex paraguariensis) Based on the Dynamic Extraction and Mineralization of Residues. Foods. 2024; 13(4):509. https://doi.org/10.3390/foods13040509
Chicago/Turabian StyleRóżewska, Anna, Jędrzej Proch, and Przemysław Niedzielski. 2024. "Leaves, Infusion, and Grounds—A Three–Stage Assessment of Element Content in Yerba Mate (Ilex paraguariensis) Based on the Dynamic Extraction and Mineralization of Residues" Foods 13, no. 4: 509. https://doi.org/10.3390/foods13040509
APA StyleRóżewska, A., Proch, J., & Niedzielski, P. (2024). Leaves, Infusion, and Grounds—A Three–Stage Assessment of Element Content in Yerba Mate (Ilex paraguariensis) Based on the Dynamic Extraction and Mineralization of Residues. Foods, 13(4), 509. https://doi.org/10.3390/foods13040509

