Food Safety and Management System Audits in Food Retail Chain Stores in Greece
Abstract
1. Introduction
2. Materials and Methods
2.1. Food Retail Stores and Audits
2.2. The Checklist
2.3. Statistical Analysis
3. Results
3.1. Distributions of the Different Refrigerator Temperatures in the Stores
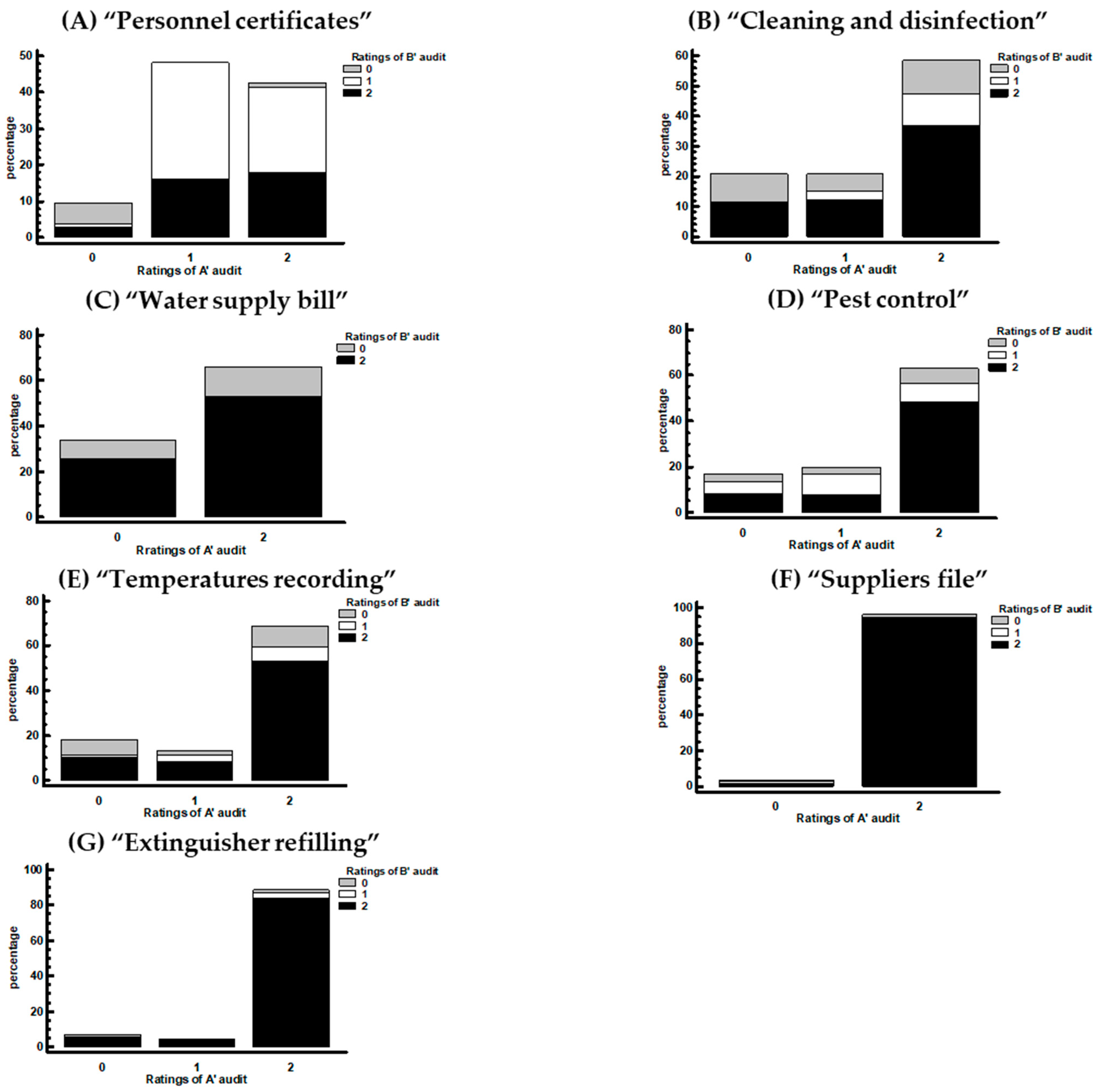
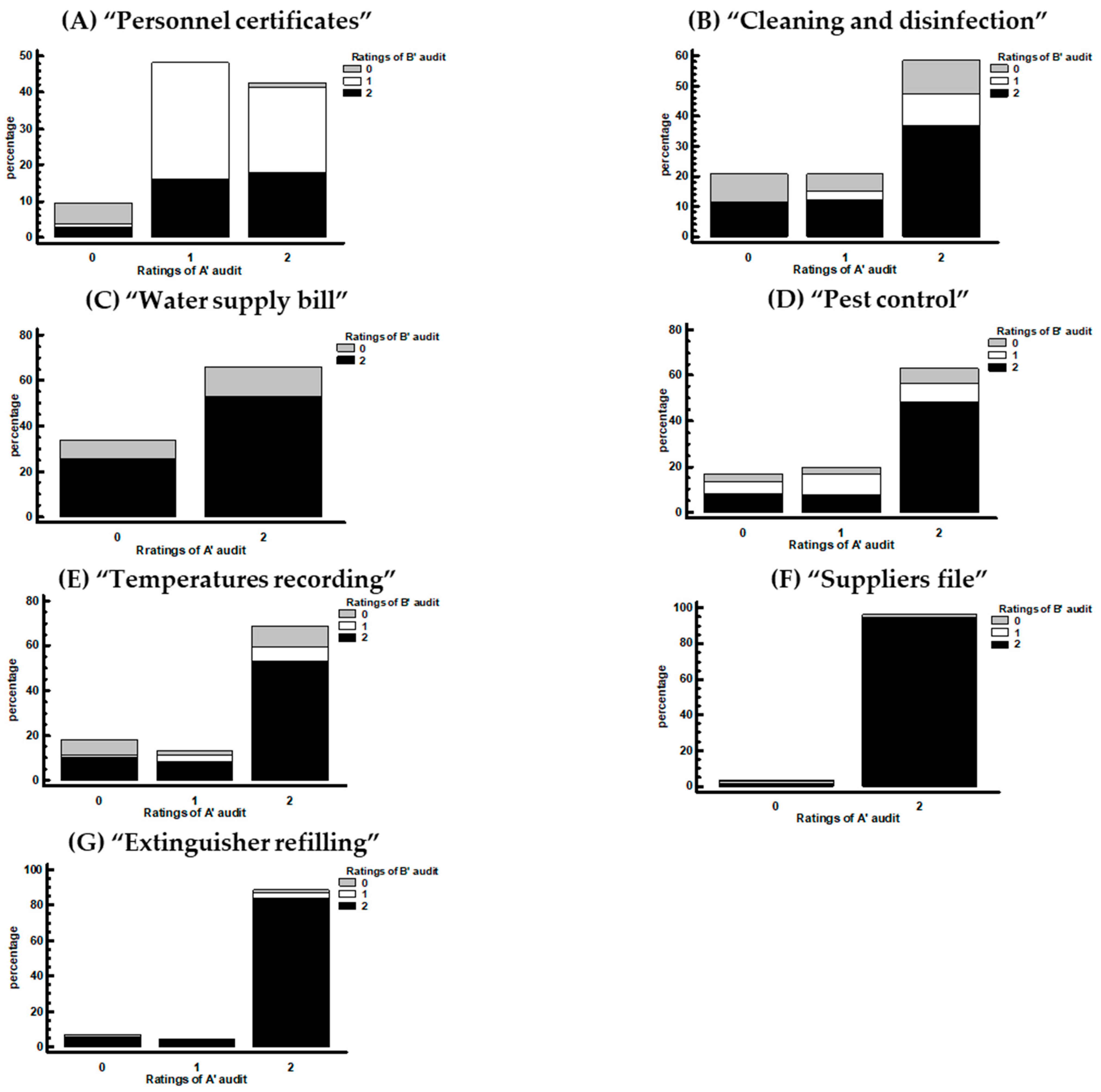
3.2. HACCP Documentation and Hygiene Inspection Scores of the Stores
3.3. Classification of Stores, Refrigerators, and Audit Criteria
3.3.1. Cluster Analysis of the Different Refrigerators Temperatures
3.3.2. Cluster Analysis of the Stores Based on the Refrigerator Temperatures
3.3.3. Cluster Analysis Based on Scores of Hygiene Inspection
4. Discussion
5. Conclusions
Supplementary Materials
Author Contributions
Funding
Institutional Review Board Statement
Informed Consent Statement
Data Availability Statement
Conflicts of Interest
References
- Al-Busaidi, M.A.; Jukes, D.J.; Bose, S. Hazard analysis and critical control point (HACCP) in seafood processing: An analysis of its application and use in regulation in the Sultanate of Oman. Food Control 2017, 73, 900–915. [Google Scholar] [CrossRef]
- Allata, S.; Valero, A.; Benhadja, L. Implementation of traceability and food safety systems (HACCP) under the ISO 22000:2005 standard in North Africa: The case study of an ice cream company in Algeria. Food Control 2017, 79, 239–253. [Google Scholar] [CrossRef]
- Djekic, I.; Kuzmanović, J.; Anđelković, A.; Saračević, M.; Stojanović, M.M.; Tomašević, I. Effects of HACCP on process hygiene in different types of Serbian food establishments. Food Control 2016, 60, 131–137. [Google Scholar] [CrossRef]
- Khatri, Y.; Collins, R. Impact and status of HACCP in the Australian meat industry. Br. Food J. 2007, 109, 343–354. [Google Scholar] [CrossRef]
- Milios, K.; Zoiopoulos, P.E.; Pantouvakis, A.; Mataragas, M.; Drosinos, E.H. Techno-managerial factors related to food safety management system in food businesses. Br. Food J. 2013, 115, 1381–1399. [Google Scholar] [CrossRef]
- Yang, Y.; Wei, L.; Pei, J. Application of meta-analysis technique to assess effectiveness of HACCP-based FSM systems in Chinese SLDBs. Food Control 2019, 96, 291–298. [Google Scholar] [CrossRef]
- Regulation (EC) No 852/2004 of the European Parliament and of the Council of 29 April 2004 on the hygiene of foodstuffs. Off. J. Eur. Union 2004, 2004, 1–54. Available online: https://eur-lex.europa.eu/eli/reg/2004/852/oj (accessed on 5 December 2023).
- BRC Global Standards. BRC Global Standard Food Safety Issue 8. 2018. Available online: https://www.brcgs.com/product/global-standard-for-food-safety-issue-8/p-616/ (accessed on 5 December 2023).
- IFS Food Version 7. 2020. Available online: https://www.ifs-certification.com/en/food-standard (accessed on 5 December 2023).
- ISO 22000:2018; Food Safety Management Systems—Requirements for any Organization in the Food Chain. ISO: Geneva, Switzerland, 2018.
- FSSC 22000 Scheme Version 5.1. 2020. Available online: https://www.fssc.com/schemes/fssc-22000/documents/version-5-1/ (accessed on 5 December 2023).
- Psomas, E.L.; Kafetzopoulos, D.P. HACCP effectiveness between ISO 22000 certified and non-certified dairy companies. Food Control 2015, 53, 134–139. [Google Scholar] [CrossRef]
- Nyarugwe, S.P.; Linnemann, A.; Nyanga, L.K.; Fogliano, V.; Luning, P.A. Food safety culture assessment using a comprehensive mixed-methods approach: A comparative study in dairy processing organisations in an emerging economy. Food Control 2018, 84, 186–196. [Google Scholar] [CrossRef]
- Dzwolak, W. Assessment of food allergen management in small food facilities. Food Control 2017, 73, 323–331. [Google Scholar] [CrossRef]
- Rajkovic, A.; Smigic, N.; Djekic, I.; Popovic, D.; Tomic, N.; Krupezevic, N.; Uyttendaele, M.; Jacxsens, L. The performance of food safety management systems in the raspberries chain. Food Control 2017, 80, 151–161. [Google Scholar] [CrossRef]
- Trafialek, J.; Kolanowski, W. Implementation and functioning of HACCP principles in certified and non-certified food businesses. Br. Food J. 2017, 119, 710–728. [Google Scholar] [CrossRef]
- Xiong, C.; Liu, C.; Chen, F.; Zheng, L. Performance assessment of food safety management system in the pork slaughter plants of China. Food Control 2017, 71, 264–272. [Google Scholar] [CrossRef]
- European Food Safety Authority; European Centre for Disease Prevention and Control. The European Union One Health 2019 Zoonoses Report. EFSA J. 2021, 19, e06406. [Google Scholar] [CrossRef]
- Choi, J.; Norwood, H.; Seo, S.; Sirsat, S.A.; Neal, J. Evaluation of food safety related behaviors of retail and food service employees while handling fresh and fresh-cut leafy greens. Food Control 2016, 67, 199–208. [Google Scholar] [CrossRef]
- Likar, K.; Jevšnik, M. Cold chain maintaining in food trade. Food Control 2006, 17, 108–113. [Google Scholar] [CrossRef]
- Luchansky, J.B.; Porto-Fett, A.C.S.; Chapman, B. A shopper’s eye view of food safety at retail stores: Lessons from photographs taken while grocery shopping. Food Prot. Trends 2017, 37, 30–42. Available online: https://www.foodprotection.org/publications/food-protection-trends/archive/2017-01-a-shopper-s-eye-view-of-food-safety-at-retail-stores-lessons-from-photographs-taken-while-gr/ (accessed on 5 December 2023).
- Lundén, J.; Vanhanen, V.; Kotilainen, K.; Hemminki, K. Retail food stores’ internet-based own-check databank records and health officers’ on-site inspection results for cleanliness and food holding temperatures reveal inconsistencies. Food Control 2014, 35, 79–84. [Google Scholar] [CrossRef]
- Lundén, J.; Vanhanen, V.; Myllymäki, T.; Laamanen, E.; Kotilainen, K.; Hemminki, K. Temperature control efficacy of retail refrigeration equipment. Food Control 2014, 45, 109–114. [Google Scholar] [CrossRef]
- Prevolšek, V.; Ovca, A.; Jevšnik, M. Fulfilment of technical and hygienic requirements among street food vendors in Slovenia. Br. Food J. 2021, 123, 105–123. [Google Scholar] [CrossRef]
- Wu, S.T.; Burnett, J.; Wang, J.; Hammons, S.R.; Veenhuizen, D.R.; Oliver, H.F. Infrastructure, sanitation, and management practices impact Listeria monocytogenes prevalence in retail grocery produce environments. Food Control 2020, 109, 106911. [Google Scholar] [CrossRef]
- Ríos-Castillo, A.G.; Ripolles-Avila, C.; Rodríguez-Jerez, J.J. Evaluation of bacterial population using multiple sampling methods and the identification of bacteria detected on supermarket food contact surfaces. Food Control 2021, 119, 107471. [Google Scholar] [CrossRef]
- Dzwolak, W. Practical aspects of traceability in small food businesses with implemented food safety management systems. J. Food Saf. 2016, 36, 203–213. [Google Scholar] [CrossRef]
- EFSA Panel on Biological Hazards (BIOHAZ); Ricci, A.; Chemaly, M.; Davies, R.; Fernández Escámez, P.S.; Girones, R.; Herman, L.; Lindqvist, R.; Nørrung, B.; Robertson, L.; et al. Hazard analysis approaches for certain small retail establishments in view of the application of their food safety management systems. EFSA J. 2017, 15, e04697. [Google Scholar] [CrossRef][Green Version]
- European Parliament and Council of the European Union. Regulation (EU) No 1169/2011 of the European Parliament and of the Council of 25 October 2011 on the provision of food information to consumers, amending Regulations (EC) No 1924/2006 and (EC) No 1925/2006 of the European Parliament and of the Council. Off. J. Eur. Union 2011, L 304, 18–63. Available online: https://eur-lex.europa.eu/LexUriServ/LexUriServ.do?uri=OJ:L:2011:304:0018:0063:en:PDF (accessed on 5 December 2023).
- EFET. Hygiene Guide for Food Retail Businesses-Hygiene Guide No 5 2003. Available online: https://www.efet.gr/index.php/en/homeen/mission-responsibilites (accessed on 5 December 2023).
- Baldera Zubeldia, B.; Nieto Jiménez, M.; Valenzuela Claros, M.T.; Mariscal Andrés, J.L.; Martin-Olmedo, P. Effectiveness of the cold chain control procedure in the retail sector in Southern Spain. Food Control 2016, 59, 614–618. [Google Scholar] [CrossRef]
- González, D.; Vitas, A.I.; Díez-Leturia, M.; García-Jalón, I. Listeria monocytogenes and ready-to-eat seafood in Spain: Study of prevalence and temperatures at retail. Food Microbiol. 2013, 36, 374–378. [Google Scholar] [CrossRef] [PubMed]
- Derens-Bertheau, E.; Osswald, V.; Laguerre, O.; Alvarez, G. Cold chain of chilled food in France. Int. J. Refrig. 2015, 52, 161–167. [Google Scholar] [CrossRef]
- Koutsoumanis, K.; Pavlis, A.; Nychas, G.-J.E.; Xanthiakos, K. Probabilistic Model for Listeria monocytogenes Growth during Distribution, Retail Storage, and Domestic Storage of Pasteurized Milk. Appl. Environ. Microbiol. 2010, 76, 2181–2191. [Google Scholar] [CrossRef] [PubMed]
- Kreutz Braun, C.L.; dos Santos Cruxen, C.E.; Nardino, M.; Barros, W.S.; Fiorentini, Â.M.; Furtado, M.M.; Sant’Ana, A.S.; da Silveira Moreira, A. Temperature variability during the commercialization of probiotic cheeses and other fresh cheeses in retail stores of two Brazilian regions. LWT 2020, 133, 110082. [Google Scholar] [CrossRef]
- EFSA Panel on Biological Hazards (BIOHAZ); Ricci, A.; Allende, A.; Bolton, D.; Chemaly, M.; Davies, R.; Fernández Escámez, P.S.; Girones, R.; Herman, L.; Koutsoumanis, K.; et al. Listeria monocytogenes contamination of ready-to-eat foods and the risk for human health in the EU. EFSA J. 2018, 16, e05134. [Google Scholar] [CrossRef] [PubMed]
- Kou, L.; Luo, Y.; Ingram, D.T.; Yan, S.; Jurick, W.M. Open-refrigerated retail display case temperature profile and its impact on product quality and microbiota of stored baby spinach. Food Control 2015, 47, 686–692. [Google Scholar] [CrossRef]
- Lambertz, S.T.; Nilsson, C.; Brådenmark, A.; Sylvén, S.; Johansson, A.; Jansson, L.-M.; Lindblad, M. Prevalence and level of Listeria monocytogenes in ready-to-eat foods in Sweden 2010. Int. J. Food Microbiol. 2012, 160, 24–31. [Google Scholar] [CrossRef] [PubMed]
- Olaimat, A.N.; Abu Ghoush, M.; Al-Holy, M.; Abu Hilal, H.; Al-Nabulsi, A.A.; Osaili, T.M.; Ayyash, M.; Holley, R.A. Survival and growth of Listeria monocytogenes and Staphylococcus aureus in ready-to-eat Mediterranean vegetable salads: Impact of storage temperature and food matrix. Int. J. Food Microbiol. 2021, 346, 109149. [Google Scholar] [CrossRef]
- Tsaloumi, S.; Aspridou, Z.; Tsigarida, E.; Gaitis, F.; Garofalakis, G.; Barberis, K.; Tzoumanika, F.; Dandoulaki, M.; Skiadas, R.; Koutsoumanis, K. Quantitative risk assessment of Listeria monocytogenes in ready-to-eat (RTE) cooked meat products sliced at retail stores in Greece. Food Microbiol. 2021, 99, 103800. [Google Scholar] [CrossRef]
- Ziegler, M.; Kent, D.; Stephan, R.; Guldimann, C. Growth potential of Listeria monocytogenes in twelve different types of RTE salads: Impact of food matrix, storage temperature and storage time. Int. J. Food Microbiol. 2019, 296, 83–92. [Google Scholar] [CrossRef]
- Jevšnik, M.; Ovca, A.; Likar, K. Maintaining a cold chain in retail: Does it work? In Proceedings of the 13th World Congress of Food Science & Technology 2006, Nantes, France, 17–21 September 2006; p. 688. [Google Scholar] [CrossRef]
- Da Cunha, D.T.; Stedefeldt, E.; de Rosso, V.V. He is worse than I am: The positive outlook of food handlers about foodborne disease. Food Qual. Prefer. 2014, 35, 95–97. [Google Scholar] [CrossRef]
- Trafialek, J.; Drosinos, E.H.; Kolanowski, W. Evaluation of street food vendors’ hygienic practices using fast observation questionnaire. Food Control 2017, 80, 350–359. [Google Scholar] [CrossRef]
- Chen, H.; Martínez, V.; Feng, Y. Food safety education attitude and practice among health professionals in China, Peru, and the U.S. Food Control 2020, 109, 106945. [Google Scholar] [CrossRef]
- Malavi, D.N.; Abong’, G.O.; Muzhingi, T. Effect of food safety training on behavior change of food handlers: A case of orange-fleshed sweet potato purée processing in Kenya. Food Control 2021, 119, 107500. [Google Scholar] [CrossRef]
- Prakash, J. Role of education and training of food handlers in improving food safety and nutrition: The Indian experience. Chapter 29. In Ensuring Global Food Safety, 2nd ed.; Academic Press: Cambridge, MA, USA, 2022; pp. 525–531. [Google Scholar] [CrossRef]







| Refrigerator Shelf | Critical Temperature (°C) | Percentages of Stores at A′ Audit | Percentages of Stores at B′ Audit | p-Value |
|---|---|---|---|---|
| Fruit refrigerator | 8 °C | 15% | 8% | >0.05 |
| Salad refrigerator | 5 °C | 51% | 39% | <0.05 |
| Yogurts and desserts refrigerator | 3 °C | 44% | 38% | >0.05 |
| Milk refrigerator | 6 °C | 16% | 17% | >0.05 |
| Cheese refrigerator | 5 °C | 16% | 19% | >0.05 |
| Deli meat refrigerator | 3 °C | 48% | 44% | >0.05 |
| Fish/Smoked fish refrigerator | 4 °C | 18% | 13% | >0.05 |
| Meat refrigerator | 4 °C | 18% | 13% | >0.05 |
| Poultry refrigerator | 4 °C | 20% | 13% | >0.05 |
Disclaimer/Publisher’s Note: The statements, opinions and data contained in all publications are solely those of the individual author(s) and contributor(s) and not of MDPI and/or the editor(s). MDPI and/or the editor(s) disclaim responsibility for any injury to people or property resulting from any ideas, methods, instructions or products referred to in the content. |
© 2024 by the authors. Licensee MDPI, Basel, Switzerland. This article is an open access article distributed under the terms and conditions of the Creative Commons Attribution (CC BY) license (https://creativecommons.org/licenses/by/4.0/).
Share and Cite
Psomatakis, M.; Papadimitriou, K.; Souliotis, A.; Drosinos, E.H.; Papadopoulos, G. Food Safety and Management System Audits in Food Retail Chain Stores in Greece. Foods 2024, 13, 457. https://doi.org/10.3390/foods13030457
Psomatakis M, Papadimitriou K, Souliotis A, Drosinos EH, Papadopoulos G. Food Safety and Management System Audits in Food Retail Chain Stores in Greece. Foods. 2024; 13(3):457. https://doi.org/10.3390/foods13030457
Chicago/Turabian StylePsomatakis, Michalis, Konstantinos Papadimitriou, Andreas Souliotis, Eleftherios H. Drosinos, and Georgios Papadopoulos. 2024. "Food Safety and Management System Audits in Food Retail Chain Stores in Greece" Foods 13, no. 3: 457. https://doi.org/10.3390/foods13030457
APA StylePsomatakis, M., Papadimitriou, K., Souliotis, A., Drosinos, E. H., & Papadopoulos, G. (2024). Food Safety and Management System Audits in Food Retail Chain Stores in Greece. Foods, 13(3), 457. https://doi.org/10.3390/foods13030457

