Bacteriocin Mining in Lactiplantibacillus pentosus PCZ4 with Broad-Spectrum Antibacterial Activity and Its Biopreservative Effects on Snakehead Fish
Abstract
1. Introduction
2. Materials and Methods
2.1. Screening and Characteristics of the PCZ4 Strain
2.1.1. Isolation and Purification of LAB
2.1.2. Screening of LAB with Antibacterial Activity
2.1.3. Tolerance to Gastric Juice
2.1.4. Tolerance to Bile Salts
2.1.5. Growth and Antibacterial Kinetics Analyses
2.2. Genome Sequencing and Analysis
2.2.1. Culture and DNA Extraction of Bacterial Strains
2.2.2. Genome Sequencing, Assembly, and Annotation
2.2.3. Identification and Analysis of Novel Bacteriocins
2.3. Bio-Preservation of PCZ4 Crude Extract in Snakehead Fish
2.3.1. Preparation of an Antibacterial Crude Extract
2.3.2. Determination of the Minimum Inhibitory Concentration
2.3.3. Preparation of the Snakehead Sample
2.3.4. Microbiology Analysis
2.3.5. Determination of the Total Volatile Basic Nitrogen (TVB-N)
2.3.6. pH Determination
2.3.7. Surface Color Determination
2.3.8. Sensory Evaluation
2.4. Data Processing
3. Results
3.1. Screening and Characteristics of LAB
3.1.1. Antibacterial Activity
3.1.2. Tolerance to pH and Bile Salts
3.1.3. Growth and Antibacterial Kinetics Curves
3.2. WGS and Bioinformatic (In Silico) Analysis
3.2.1. General Genomic Features of the Lp. pentosus PCZ4 Strain
3.2.2. Genome Functional Annotation Analysis of PCZ4
3.2.3. Secondary Metabolite Analysis
3.2.4. Bacteriocin Production
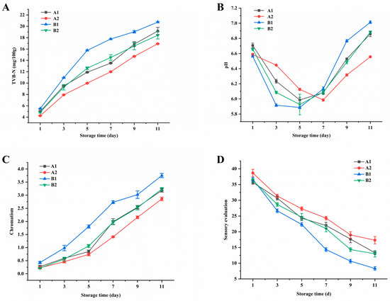
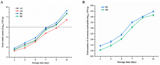
3.3. Bio-Preservative Potential of PCZ4 Crude Extract in Snakehead
4. Discussion
5. Conclusions
Author Contributions
Funding
Data Availability Statement
Conflicts of Interest
References
- O’Connor, P.M.; Kuniyoshi, T.M.; Oliveira, R.P.S.; Hill, C.; Ross, R.P.; Cotter, P.D. Antimicrobials for Food and Feed; a Bacteriocin Perspective. Curr. Opin. Biotechnol. 2020, 61, 160–167. [Google Scholar] [CrossRef] [PubMed]
- Heilbronner, S.; Krismer, B.; Brötz-Oesterhelt, H.; Peschel, A. The Microbiome-Shaping Roles of Bacteriocins. Nat. Rev. Microbiol. 2021, 19, 726–739. [Google Scholar] [CrossRef] [PubMed]
- Khorshidian, N.; Khanniri, E.; Mohammadi, M.; Mortazavian, A.M.; Yousefi, M. Antibacterial Activity of Pediocin and Pediocin-Producing Bacteria against Listeria Monocytogenes in Meat Products. Front. Microbiol. 2021, 12, 709959. [Google Scholar] [CrossRef] [PubMed]
- Anjana; Tiwari, S.K. Bacteriocin-Producing Probiotic Lactic Acid Bacteria in Controlling Dysbiosis of the Gut Microbiota. Front. Cell. Infect. Microbiol. 2022, 12, 851140. [Google Scholar] [CrossRef]
- Pérez-Ramos, A.; Madi-Moussa, D.; Coucheney, F.; Drider, D. Current Knowledge of the Mode of Action and Immunity Mechanisms of Lab-Bacteriocins. Microorganisms 2021, 9, 2107. [Google Scholar] [CrossRef]
- Nilsen, T.; Nes, I.F.; Holo, H. Enterolysin a, a Cell Wall-Degrading Bacteriocin from Enterococcus Faecalis Lmg 2333. Appl. Environ. Microbiol. 2003, 69, 2975–2984. [Google Scholar] [CrossRef] [PubMed]
- Sánchez-Hidalgo, M.; Montalbán-López, M.; Cebrián, R.; Valdivia, E.; Martínez-Bueno, M.; Maqueda, M. As-48 Bacteriocin: Close to Perfection. Cell. Mol. Life Sci. CMLS 2011, 68, 2845–2857. [Google Scholar] [CrossRef]
- Rodríguez, J.M.; Martínez, M.I.; Kok, J. Pediocin Pa-1, a Wide-Spectrum Bacteriocin from Lactic Acid Bacteria. Crit. Rev. Food Sci. Nutr. 2002, 42, 91–121. [Google Scholar] [CrossRef] [PubMed]
- Cotter, P.D.; Ross, R.P.; Hill, C. Bacteriocins—A Viable Alternative to Antibiotics? Nat. Rev. Microbiol. 2013, 11, 95–105. [Google Scholar] [CrossRef]
- Chikindas, M.L.; Weeks, R.; Drider, D.; Chistyakov, V.A.; Dicks, L.M.T. Functions and Emerging Applications of Bacteriocins. Curr. Opin. Biotechnol. 2018, 49, 23–28. [Google Scholar] [CrossRef]
- Oppegård, C.; Fimland, G.; Anonsen, J.H.; Nissen-Meyer, J. The Pediocin Pa-1 Accessory Protein Ensures Correct Disulfide Bond Formation in the Antimicrobial Peptide Pediocin Pa-1. Biochemistry 2015, 54, 2967–2974. [Google Scholar] [CrossRef]
- Johnson, E.M.; Jung, D.Y.-G.; Jin, D.Y.-Y.; Jayabalan, D.R.; Yang, D.S.H.; Suh, J.W. Bacteriocins as Food Preservatives: Challenges and Emerging Horizons. Crit. Rev. Food Sci. Nutr. 2018, 58, 2743–2767. [Google Scholar] [CrossRef]
- Wu, D.; Dai, M.; Shi, Y.; Zhou, Q.; Li, P.; Gu, Q. Purification and Characterization of Bacteriocin Produced by a Strain of Lacticaseibacillus Rhamnosus Zfm216. Front. Microbiol. 2022, 13, 1050807. [Google Scholar] [CrossRef]
- Yan, H.; Aizhan, R.; Lu, Y.Y.; Li, X.; Wang, X.; Yi, Y.L.; Shan, Y.Y.; Liu, B.F.; Zhou, Y.; Lü, X. A Novel Bacteriocin Bm1029: Physicochemical Characterization, Antibacterial Modes and Application. J. Appl. Microbiol. 2021, 130, 755–768. [Google Scholar] [CrossRef]
- Sharma, P.; Kaur, S.; Chadha, B.S.; Kaur, R.; Kaur, M.; Kaur, S. Anticancer and Antimicrobial Potential of Enterocin 12a from Enterococcus Faecium. BMC Microbiol. 2021, 21, 39. [Google Scholar] [CrossRef]
- Zhao, D.; Wang, Q.; Lu, F.; Bie, X.; Zhao, H.; Lu, Z.; Lu, Y. A Novel Class Iib Bacteriocin-Plantaricin Emf Effectively Inhibits Listeria Monocytogenes and Extends the Shelf Life of Beef in Combination with Chitosan. J. Agric. Food Chem. 2022, 70, 2187–2196. [Google Scholar] [CrossRef]
- Yu, S.; Qian, Y.; Gao, Q.; Yan, Y.; Huang, Y.; Wu, Z.; Luo, X.; Shen, J.; Liu, Y. Discovery, Characterization, and Application of a Novel Antimicrobial Peptide Produced by Lactiplantibacillus plantarum Fb-2. Food Biosci. 2024, 58, 103663. [Google Scholar] [CrossRef]
- van Heel, A.J.; de Jong, A.; Song, C.; Viel, J.H.; Kok, J.; Kuipers, O.P. Bagel4: A User-Friendly Web Server to Thoroughly Mine Ripps and Bacteriocins. Nucleic Acids Res. 2018, 46, W278–W281. [Google Scholar] [CrossRef] [PubMed]
- Teber, R.; Asakawa, S. In Silico Screening of Bacteriocin Gene Clusters within a Set of Marine Bacillota Genomes. Int. J. Mol. Sci. 2024, 25, 2566. [Google Scholar] [CrossRef]
- Kandasamy, S.; Yoo, J.; Yun, J.; Lee, K.H.; Kang, H.B.; Kim, J.E.; Oh, M.H.; Ham, J.S. Probiogenomic in-Silico Analysis and Safety Assessment of Lactiplantibacillus Plantarum Djf10 Strain Isolated from Korean Raw Milk. Int. J. Mol. Sci. 2022, 23, 14494. [Google Scholar] [CrossRef] [PubMed]
- Zhao, K.; Qiu, L.; Tao, X.; Zhang, Z.; Wei, H. Genome Analysis for Cholesterol-Lowing Action and Bacteriocin Production of Lactiplantibacillus Plantarum Wlpl21 and Zdy04 from Traditional Chinese Fermented Foods. Microorganisms 2024, 12, 181. [Google Scholar] [CrossRef]
- Elidrissi, A.; Ezzaky, Y.; Boussif, K.; Achemchem, F. Isolation and Characterization of Bioprotective Lactic Acid Bacteria from Moroccan Fish and Seafood. Braz. J. Microbiol. 2023, 54, 2117–2127. [Google Scholar] [CrossRef] [PubMed]
- dos Santos Leandro, E.; Ginani, V.C.; de Alencar, E.R.; Pereira, O.G.; Rose, E.C.P.; do Vale, H.M.M.; Pratesi, R.; Hecht, M.M.; Cavalcanti, M.H.; Tavares, C.S.O. Isolation, Identification, and Screening of Lactic Acid Bacteria with Probiotic Potential in Silage of Different Species of Forage Plants, Cocoa Beans, and Artisanal Salami. Probiotics Antimicrob. Proteins 2020, 13, 173–186. [Google Scholar] [CrossRef] [PubMed]
- Reuben, R.C.; Roy, P.C.; Sarkar, S.L.; Alam, R.U.; Jahid, I.K. Isolation, Characterization, and Assessment of Lactic Acid Bacteria toward Their Selection as Poultry Probiotics. BMC Microbiol. 2019, 19, 253. [Google Scholar] [CrossRef] [PubMed]
- Al-Trad, E.I.; Che Hamzah, A.M.; Puah, S.M.; Chua, K.H.; Kwong, S.M.; Yeo, C.C.; Chew, C.H. Comparative Genomic Analysis of a Multidrug-Resistant Staphylococcus hominis Shor14 Clinical Isolate from Terengganu, Malaysia, Led to the Discovery of Novel Mobile Genetic Elements. Pathogens 2022, 11, 1406. [Google Scholar] [CrossRef]
- Kubašová, I.; Diep, D.B.; Ovchinnikov, K.V.; Lauková, A.; Strompfová, V. Bacteriocin Production and Distribution of Bacteriocin-Encoding Genes in Enterococci from Dogs. Int. J. Antimicrob. Agents 2020, 55, 105859. [Google Scholar] [CrossRef] [PubMed]
- GB 5009.228-2016; Method for Analysis of Hygienic Standard of Fish and Other Aquatic Products. National Health and Family Planning Commission: Beijing, China, 2016.
- Li, H.; Ding, W.; Zhang, Q. Discovery and Engineering of Ribosomally Synthesized and Post-Translationally Modified Peptide (RiPP) Natural Products. RSC Chem. Biol. 2024, 5, 90–108. [Google Scholar] [CrossRef] [PubMed]
- Ruiz, M.J.; García, M.D.; Canalejo, L.M.M.; Krüger, A.; Padola, N.L.; Etcheverría, A.I. Antimicrobial Activity of Lactiplantibacillus plantarum Against Shiga Toxin-Producing Escherichia coli. J. Appl. Microbiol. 2023, 134, lxad202. [Google Scholar]
- Johnson, B.A.; Clark, K.A.; Bushin, L.B.; Spolar, C.N.; Seyedsayamdost, M.R. Expanding the Landscape of Noncanonical Amino Acids in RiPP Biosynthesis. J. Am. Chem. Soc. 2024, 146, 3805–3815. [Google Scholar] [CrossRef]
- Belguesmia, Y.; Bendjeddou, K.; Kempf, I.; Boukherroub, R.; Drider, D. Heterologous Biosynthesis of Five New Class Ii Bacteriocins from Lactobacillus paracasei Cncm I-5369 with Antagonistic Activity against Pathogenic Escherichia Coli Strains. Front. Microbiol. 2020, 11, 1198. [Google Scholar] [CrossRef]
- Dai, M.; Li, Y.; Xu, L.; Wu, D.; Zhou, Q.; Li, P.; Gu, Q. A Novel Bacteriocin from Lactobacillus Pentosus Zfm94 and Its Antibacterial Mode of Action. Front. Nutr. 2021, 8, 710862. [Google Scholar] [CrossRef] [PubMed]
- Wayah, S.B.; Philip, K. Pentocin Mq1: A Novel, Broad-Spectrum, Pore-Forming Bacteriocin from Lactobacillus Pentosus Cs2 with Quorum Sensing Regulatory Mechanism and Biopreservative Potential. Front. Microbiol. 2018, 9, 564. [Google Scholar] [CrossRef] [PubMed]
- Zangeneh, M.; Khorrami, S.; Khaleghi, M. Bacteriostatic Activity and Partial Characterization of the Bacteriocin Produced by L. Plantarum sp. Isolated from Traditional Sourdough. Food Sci. Nutr. 2020, 8, 6023–6030. [Google Scholar] [PubMed]
- Du, H.; Yang, J.; Lu, X.; Lu, Z.; Bie, X.; Zhao, H.; Zhang, C.; Lu, F. Purification, Characterization, and Mode of Action of Plantaricin Gz1-27, a Novel Bacteriocin against Bacillus Cereus. J. Agric. Food Chem. 2018, 66, 4716–4724. [Google Scholar] [CrossRef] [PubMed]
- Wei, Y.; Wang, J.; Liu, Z.; Pei, J.; Brennan, C.; Abd El-Aty, A.M. Isolation and Characterization of Bacteriocin-Producing Lacticaseibacillus Rhamnosus Xn2 from Yak Yoghurt and Its Bacteriocin. Molecules 2022, 27, 2066. [Google Scholar] [CrossRef] [PubMed]
- Choeisoongnern, T.; Chaiyasut, C.; Sivamaruthi, B.; Makhamrueang, N.; Peerajan, S.; Sirilun, S.; Sittiprapaporn, P. Bacteriocin-Producing Enterococcus Faecium Ov3-6 as a Bio-Preservative Agent to Produce Fermented Houttuynia Cordata Thunb. Beverages: A Preliminary Study. Foods 2023, 12, 3520. [Google Scholar] [CrossRef]
- Abriouel, H.; Manetsberger, J.; Caballero Gómez, N.; Benomar, N. In Silico Genomic Analysis of the Potential Probiotic Lactiplantibacillus Pentosus Cf2-10n Reveals Promising Beneficial Effects with Health Promoting Properties. Front. Microbiol. 2022, 13, 989824. [Google Scholar] [CrossRef] [PubMed]
- López-García, E.; Benítez-Cabello, A.; Ramiro-García, J.; Ladero, V.; Arroyo-López, F.N. In Silico Evidence of the Multifunctional Features of Lactiplantibacillus Pentosus Lpg1, a Natural Fermenting Agent Isolated from Table Olive Biofilms. Foods 2023, 12, 938. [Google Scholar] [CrossRef]
- Raethong, N.; Santivarangkna, C.; Visessanguan, W.; Santiyanont, P.; Mhuantong, W.; Chokesajjawatee, N. Whole-Genome Sequence Analysis for Evaluating the Safety and Probiotic Potential of Lactiplantibacillus Pentosus 9d3, a Gamma-Aminobutyric Acid (Gaba)-Producing Strain Isolated from Thai Pickled Weed. Front. Microbiol. 2022, 13, 969548. [Google Scholar] [CrossRef]
- Kim, E.; Chang, H.C.; Kim, H.-Y. Complete Genome Sequence of Lactobacillus plantarum Em, a Putative Probiotic Strain with the Cholesterol-Lowering Effect and Antimicrobial Activity. Curr. Microbiol. 2020, 77, 1871–1882. [Google Scholar] [CrossRef]
- Molenaar, D.; Bringel, F.; Schuren, F.H.; de Vos, W.M.; Siezen, R.J.; Kleerebezem, M. Exploring Lactobacillus plantarum Genome Diversity by Using Microarrays. J. Bacteriol. 2005, 187, 6119–6127. [Google Scholar] [CrossRef] [PubMed]
- Evanovich, E.; de Souza Mendonça Mattos, P.J.; Guerreiro, J.F. Comparative Genomic Analysis of Lactobacillus plantarum: An Overview. Int. J. Genom. 2019, 2019, 4973214. [Google Scholar]
- Page, C.A.; Pérez-Díaz, I.M.; Pan, M.; Barrangou, R. Genome-Wide Comparative Analysis of Lactiplantibacillus Pentosus Isolates Autochthonous to Cucumber Fermentation Reveals Subclades of Divergent Ancestry. Foods 2023, 12, 2455. [Google Scholar] [CrossRef] [PubMed]
- Porto, M.C.; Kuniyoshi, T.M.; Azevedo, P.O.; Vitolo, M.; Oliveira, R.P. Pediococcus spp.: An Important Genus of Lactic Acid Bacteria and Pediocin Producers. Biotechnol. Adv. 2017, 35, 361–374. [Google Scholar] [CrossRef] [PubMed]
- Marugg, J.D.; Gonzalez, C.F.; Kunka, B.S.; Ledeboer, A.M.; Pucci, M.J.; Toonen, M.Y.; Walker, S.A.; Zoetmulder, L.C.; Vandenbergh, P.A. Cloning, Expression, and Nucleotide Sequence of Genes Involved in Production of Pediocin Pa-1, and Bacteriocin from Pediococcus Acidilactici Pac1.0. Appl. Environ. Microbiol. 1992, 58, 2360–2367. [Google Scholar] [CrossRef]
- Kuniyoshi, T.M.; O’Connor, P.M.; Lawton, E.; Thapa, D.; Mesa-Pereira, B.; Abulu, S.; Hill, C.; Ross, R.P.; Oliveira, R.P.S.; Cotter, P.D. An Oxidation Resistant Pediocin Pa-1 Derivative and Penocin a Display Effective Anti-Listeria Activity in a Model Human Gut Environment. Gut Microbes 2022, 14, 2004071. [Google Scholar] [CrossRef]
- Yin, L.J.; Wu, C.W.; Jiang, S.T. Bacteriocins from Pediococcus pentosaceus L. and S from Pork Meat. J. Agric. Food Chem. 2003, 51, 1071–1076. [Google Scholar] [CrossRef]
- Wang, Y.; Wang, J.; Bai, D.; Wei, Y.; Sun, J.; Luo, Y.; Zhao, J.; Liu, Y.; Wang, Q. Synergistic Inhibition Mechanism of Pediocin Pa-1 and L-Lactic Acid against Aeromonas Hydrophila. Biochim. Et Biophys. Acta Biomembr. 2020, 1862, 183346. [Google Scholar] [CrossRef]
- Jiménez-Díaz, R.; Rios-Sánchez, R.M.; Desmazeaud, M.; Ruiz-Barba, J.L.; Piard, J.C. Plantaricins S and T, Two New Bacteriocins Produced by Lactobacillus plantarum Lpco10 Isolated from a Green Olive Fermentation. Appl. Environ. Microbiol. 1993, 59, 1416–1424. [Google Scholar] [CrossRef]
- Jiménez-Díaz, R.; Ruiz-Barba, J.L.; Cathcart, D.P.; Holo, H.; Nes, I.F.; Sletten, K.H.; Warner, P.J. Purification and Partial Amino Acid Sequence of Plantaricin S, a Bacteriocin Produced by Lactobacillus plantarum Lpco10, the Activity of Which Depends on the Complementary Action of Two Peptides. Appl. Environ. Microbiol. 1995, 61, 4459–4463. [Google Scholar] [CrossRef]
- Soliman, W.; Wang, L.; Bhattacharjee, S.; Kaur, K. Structure−Activity Relationships of an Antimicrobial Peptide Plantaricin S from Two-Peptide Class Iib Bacteriocins. J. Med. Chem. 2011, 54, 2399–2408. [Google Scholar] [CrossRef] [PubMed]
- Kumari, R.; Singhvi, N.; Sharma, P.; Choudhury, C.; Shakya, R. Virtual Screening of Gut Microbiome Bacteriocins as Potential Inhibitors of Stearoyl-Coa Desaturase 1 to Regulate Adipocyte Differentiation and Thermogenesis to Combat Obesity. J. Biomol. Struct. Dyn. 2023, 41, 12632–12642. [Google Scholar] [CrossRef] [PubMed]
- Meng, F.; Zhao, H.; Zhang, C.; Lu, F.; Bie, X.; Lu, Z. Expression of a Novel Bacteriocin-the Plantaricin Pln1-in Escherichia Coli and Its Functional Analysis. Protein Expr. Purif. 2016, 119, 85–93. [Google Scholar] [CrossRef] [PubMed]
- Feng, H.; Lan, W.; Sun, X.; Xie, J. Effects of Slightly Acidic Electrolyzed Water Pretreatment Combined with Biopreservatives on the Shelf Life of Refrigerated Obscure Pufferfish (Takifugu obscurus). J. Food Sci. 2021, 86, 484–494. [Google Scholar] [CrossRef] [PubMed]
- Lan, W.; Zhao, X.; Wang, M.; Xie, J. Effects of Chitosan and Apple Polyphenol Coating on Quality and Microbial Composition of Large Yellow Croaker (Pseudosciaena crocea) During Ice Storage. J. Sci. Food Agric. 2022, 102, 3099–3106. [Google Scholar] [CrossRef] [PubMed]
- Wu, P.; Yang, J.; Meng, X.; Weng, Y.; Lin, Y.; Li, R.; Lv, X.; Ni, L.; Han, J.Z.; Fu, C. The Inhibitory Action of Lactocin 63 on Deterioration of Seabass (Lateolabrax japonicus) During Chilled Storage. J. Sci. Food Agric. 2024, 104, 4015–4027. [Google Scholar] [CrossRef]
- Liu, J.; Gao, S.; Dong, Y.; Lu, C.; Liu, Y. Isolation and Characterization of Bacteriophages against Virulent Aeromonas Hydrophila. BMC Microbiol. 2020, 20, 141. [Google Scholar] [CrossRef]
- Wang, T.; Tian, X.L.; Xu, X.B.; Li, H.; Tian, Y.; Ma, Y.H.; Li, X.F.; Li, N.; Zhang, T.T.; Sheng, Y.D.; et al. Dietary Supplementation of Probiotics Fermented Chinese Herbal Medicine Sanguisorba Officinalis Cultures Enhanced Immune Response and Disease Resistance of Crucian Carp (Carassius auratus) against Aeromonas Hydrophila. Fish Shellfish. Immunol. 2022, 131, 682–696. [Google Scholar] [CrossRef]
- Shehata, M.G.; Alsulami, T.; El-Aziz, N.M.A.; Abd-Rabou, H.S.; El Sohaimy, S.A.; Darwish, A.M.G.; Hoppe, K.; Ali, H.S.; Badr, A.N. Biopreservative and Anti-Mycotoxigenic Potentials of Lactobacillus paracasei Mg847589 and Its Bacteriocin in Soft White Cheese. Toxins 2024, 16, 93. [Google Scholar] [CrossRef]
- Yu, D.; Regenstein, J.M.; Zang, J.; Jiang, Q.; Xia, W.; Xu, Y. Inhibition of Microbial Spoilage of Grass Carp (Ctenopharyngodon idellus) Fillets with a Chitosan-Based Coating During Refrigerated Storage. Int. J. Food Microbiol. 2018, 285, 61–68. [Google Scholar] [CrossRef]










| Strains | Diameter of Inhibition Zone (cm) | |||||||||
|---|---|---|---|---|---|---|---|---|---|---|
| Gram-Positive Bacteria | Gram-Negative Bacteria | |||||||||
| Bacillus subtilis ATCC 6633 | Staphylococcus aureus PS 011 | Staphylococcus aureus ATCC BAA 1717 | Staphylococcus aureus subsp. ATCC 6538 | Escherichia coli CMCC 44102 | Escherichia coli PS 075 | Salmonella sp. PS 105 | Salmonella sp. FA 108 | Pseudomonas aeruginosa FA203 | Aeromonas veronii JS 008 | |
| PCZ4 | 1.23 ± 0.03 ab | 1.75 ± 0.04 ab | 1.23 ± 0.10 ab | 1.22 ± 0.06 a | 1.28 ± 0.06 a | 1.13 ± 0.06 ab | 1.25 ± 0.10 a | 1.12 ± 0.03 ab | 1.40 ± 0.07 a | 1.25 ± 0.05 a |
| PZ1 | 1.25 ± 0.05 a | 1.80 ± 0.14 a | 1.23 ± 0.03 ab | 1.17 ± 0.03 a | 1.23 ± 0.06 ab | 1.13 ± 0.03 ab | 1.22 ± 0.06 a | 1.15 ± 0.05 a | 1.28 ± 0.04 a | 1.17 ± 0.06 ab |
| L1 | 1.17 ± 0.03 abc | 1.75 ± 0.07 ab | 1.20 ± 0.05 abc | 1.13 ± 0.06 a | 1.18 ± 0.06 abc | 1.03 ± 0.03 bc | 1.18 ± 0.03 a | 1.03 ± 0.03 b | 1.23 ± 0.04 b | 1.12 ± 0.10 b |
| P27 | 1.18 ± 0.08 abc | 1.73 ± 0.04 ab | 1.13 ± 0.03 bcd | 1.12 ± 0.10 b | 1.17 ± 0.08 bc | 1.05 ± 0.09 bc | 1.20 ± 0.05 a | 1.03 ± 0.06 b | 1.10 ± 0.14 bc | 1.20 ± 0.05 ab |
| P23B | 1.13 ± 0.06 c | 1.63 ± 0.04 c | 1.22 ± 0.06 ab | 1.07 ± 0.12 b | 1.17 ± 0.06 bc | 1.07 ± 0.08 bc | 1.12 ± 0.03 a | 1.07 ± 0.08 ab | 1.50 ± 0.14 a | 1.13 ± 0.06 ab |
| YC3B | 1.13 ± 0.03 c | 1.50 ± 0.07 cd | 1.27 ± 0.06 ab | 1.12 ± 0.03 b | 1.18 ± 0.03 abc | 1.02 ± 0.03 bc | 1.22 ± 0.06 a | 1.07 ± 0.06 ab | 1.53 ± 0.04 a | 1.08 ± 0.08 b |
| HPZ2A | 1.15 ± 0.05 bc | 1.40 ± 0.00 d | 1.17 ± 0.03 ac | 1.13 ± 0.06 ab | 1.17 ± 0.06 bc | 1.02 ± 0.03 c | 1.18 ± 0.08 a | 1.10 ± 0.09 ab | 1.38 ± 0.04 a | 1.18 ± 0.08 ab |
| HPZ2B | 1.17 ± 0.03 abc | 1.55 ± 0.07 cd | 1.05 ± 0.05 bd | 1.13 ± 0.06 ab | 1.12 ± 0.03 c | 1.07 ± 0.06 bc | 1.13 ± 0.10 a | 1.03 ± 0.06 b | 1.05 ± 0.07 c | 1.10 ± 0.05 b |
| HPZ2C | 1.13 ± 0.06 c | 1.58 ± 0.11 cd | 1.12 ± 0.03 cd | 1.13 ± 0.06 ab | 1.12 ± 0.03 c | 1.20 ± 0.05 a | 1.18 ± 0.06 | 1.07 ± 0.06 ab | 1.45 ± 0.07 a | 1.15 ± 0.05 ab |
| YY16 | 1.18 ± 0.03 abc | 1.45 ± 0.07 d | 1.05 ± 0.05 cd | 1.10 ± 0.10 b | 1.17 ± 0.06 bc | 1.13 ± 0.03 ab | 1.17 ± 0.06 | 1.08 ± 0.03 ab | 1.48 ± 0.04 a | 1.15 ± 0.05 ab |
| Strains | Survival Rate in Simulated Gastric Juice (%) | Growth Rate with Bile Salt (%) | |
|---|---|---|---|
| 0.20% | 0.30% | ||
| PCZ4 | 110.72 ± 5.39 d | 66.7 ± 0.04 b | 63.6 ± 0.64 b |
| PZ1 | 48.33 ± 1.66 h | 66.8 ± 0.02 b | 65.5 ± 0.65 a |
| L1 | 57.52 ± 4.82 g | 75.8 ± 0.05 a | 60.8 ± 0.11 c |
| P27 | 133.50 ± 3.87 c | 16.4 ± 0.06 i | 8.9 ± 0.11 i |
| P23B | 138.24 ± 2.66 bc | 65.8 ± 0.07 c | 49.3 ± 0.49 f |
| YC3B | 111.23 ± 7.95 d | 61.4 ± 0.07 e | 51.3 ± 0.12 e |
| HPZ2A | 160.47 ± 4.06 a | 51.0 ± 0.04 f | 44.0 ± 0.02 g |
| HPZ2B | 76.01 ± 7.32 f | 61.7 ± 0.10 d | 54.1 ± 0.12 d |
| HPZ2C | 95.14 ± 21.52 e | 40.7 ± 0.20 g | 39.1 ± 0.27 g |
| YY16 | 144.00 ± 4.00 b | 28.7 ± 0.20 h | 25.4 ± 0.28 h |
| Features | |
|---|---|
| Genomic assembly and prediction | |
| Chromosome No. | 1 |
| Plasmid No. | 3 |
| Genome size (bp) | 3,702,061 |
| GC content (%) | 46.19 |
| CDS | 3283 |
| rRNA No. | 16 |
| tRNA No. | 67 |
| sRNA No. | 47 |
| Functional database annotations | |
| NR No. | 3266 |
| Swiss-Prot No. | 2306 |
| Pfam No. | 2682 |
| COG No. | 2575 |
| CO No. | 2031 |
| KEGG No. | 1767 |
| Mobile Genetic elements | |
| Gene island No. | 4 |
| Prophage No. | 1 |
| CRISPR No. | 12 |
| Integron No. | 0 |
| Insertion sequence No. | 2 |
| Transposon No. | 4 |
| Name | Amino Acid Number | Molecular Weight/kDa | Theoretical Isoelectric Point (pI) | Positively Charged Amino Acid (Arg + Lys) | Negatively Charged Amino Acid (Asp + Glu) | Instability Index | Hydrophilicity Index | Antimicrobial Peptides Possibility | Signal Peptide Type |
|---|---|---|---|---|---|---|---|---|---|
| Bac1109 | 37 | 3.76 | 7.9 | 2 | 1 | 38.05 | 0.63 | 0.87 | Sec/SPII |
| Bac2485 | 65 | 7.05 | 10.37 | 11 | 1 | 35.27 | 0.355 | 0.82 | Tat/SPI |
Disclaimer/Publisher’s Note: The statements, opinions and data contained in all publications are solely those of the individual author(s) and contributor(s) and not of MDPI and/or the editor(s). MDPI and/or the editor(s) disclaim responsibility for any injury to people or property resulting from any ideas, methods, instructions or products referred to in the content. |
© 2024 by the authors. Licensee MDPI, Basel, Switzerland. This article is an open access article distributed under the terms and conditions of the Creative Commons Attribution (CC BY) license (https://creativecommons.org/licenses/by/4.0/).
Share and Cite
Du, H.; Li, S.; Yao, H.; Wang, N.; Zhao, R.; Meng, F. Bacteriocin Mining in Lactiplantibacillus pentosus PCZ4 with Broad-Spectrum Antibacterial Activity and Its Biopreservative Effects on Snakehead Fish. Foods 2024, 13, 3863. https://doi.org/10.3390/foods13233863
Du H, Li S, Yao H, Wang N, Zhao R, Meng F. Bacteriocin Mining in Lactiplantibacillus pentosus PCZ4 with Broad-Spectrum Antibacterial Activity and Its Biopreservative Effects on Snakehead Fish. Foods. 2024; 13(23):3863. https://doi.org/10.3390/foods13233863
Chicago/Turabian StyleDu, Hechao, Siyu Li, Hongliang Yao, Nannan Wang, Ruiqiu Zhao, and Fanqiang Meng. 2024. "Bacteriocin Mining in Lactiplantibacillus pentosus PCZ4 with Broad-Spectrum Antibacterial Activity and Its Biopreservative Effects on Snakehead Fish" Foods 13, no. 23: 3863. https://doi.org/10.3390/foods13233863
APA StyleDu, H., Li, S., Yao, H., Wang, N., Zhao, R., & Meng, F. (2024). Bacteriocin Mining in Lactiplantibacillus pentosus PCZ4 with Broad-Spectrum Antibacterial Activity and Its Biopreservative Effects on Snakehead Fish. Foods, 13(23), 3863. https://doi.org/10.3390/foods13233863

