Pea-Protein-Stabilized Emulsion as a High-Performance Cryoprotectant in Frozen Dough: Effects on the Storage Stability and Baking Performance
Abstract
1. Introduction
2. Materials and Methods
2.1. Materials
2.2. Preparation of Pea Protein (PP) Emulsion
2.2.1. Preparation of PP
2.2.2. Preparation of PP Emulsion
2.3. Determination of Droplet Size of PP Emulsion
2.4. Preparation of Frozen Dough
2.5. Determinationof Frozen Dough
2.5.1. Freezable Water Content of Frozen Dough
2.5.2. Low-Field Nuclear Magnetic Resonance (LF-NMR)
2.5.3. Rheological Tests
2.5.4. Scanning Electron Microscope
2.5.5. Contents of Sulfhydryl Groups
2.6. Preparation and Characterization of Bread
2.6.1. Preparation of Bread
2.6.2. Bread Specific Volume and Baking Loss
2.6.3. Color Analysis
2.6.4. Textual Analysis
Porosity of the Bread
TPA Analysis
Crumbliness Analysis
2.6.5. Sensory Evaluation
2.7. Statistical Analysis
3. Results and Discussion
3.1. Freeze–Thaw Stability of PP Emulsions
3.2. Moisture State and Rheological Behavior of Frozen Dough
3.2.1. Freezable Water Content
3.2.2. Water Migration and Distribution in the Frozen Dough
3.2.3. Rheological Properties of the Frozen Dough
3.3. Microstructure and the Free Sulfhydryl Group (-SH) Content of Frozen Dough
3.4. Bread Characteristics
3.4.1. Baking Loss and Specific Volume of Bread
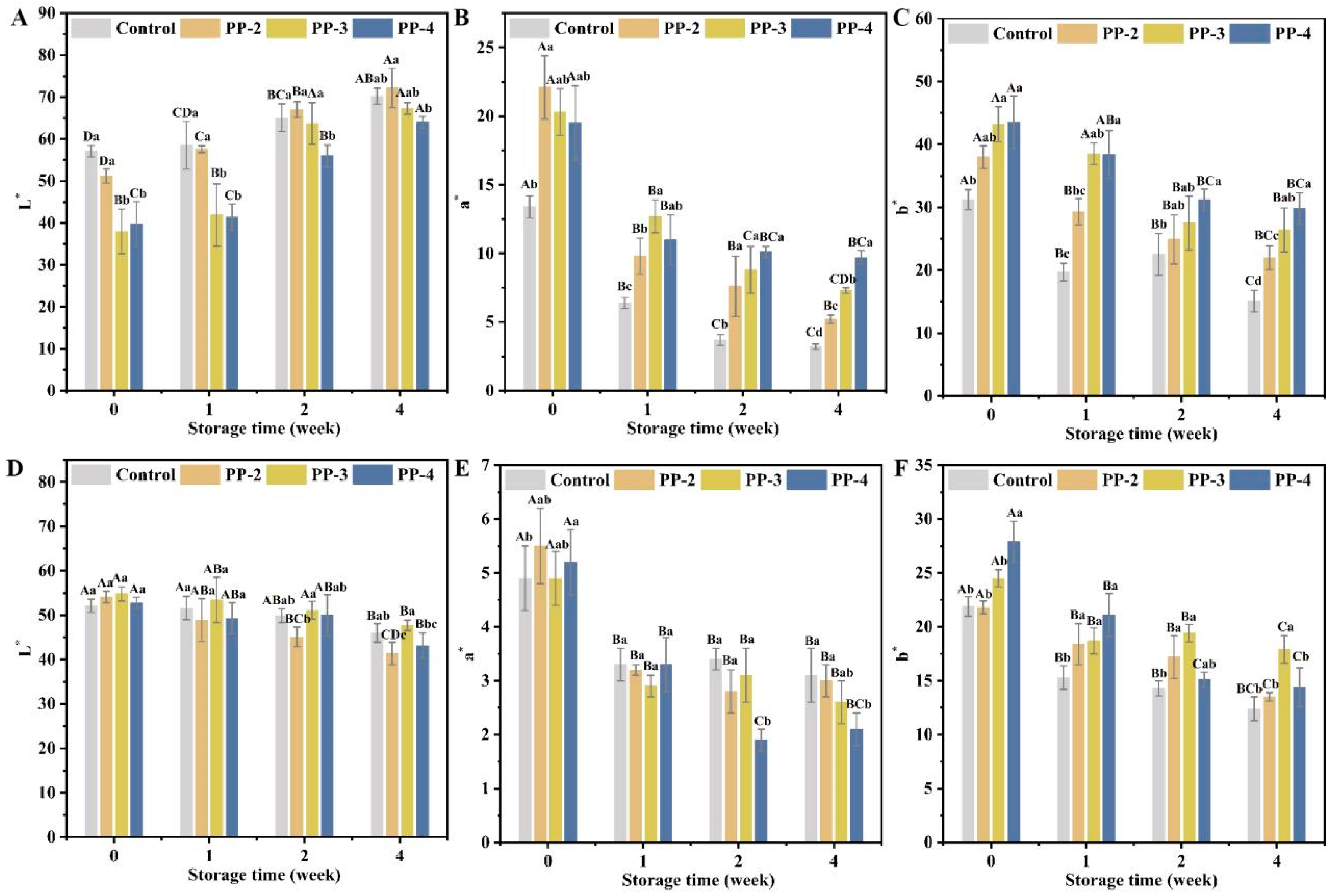
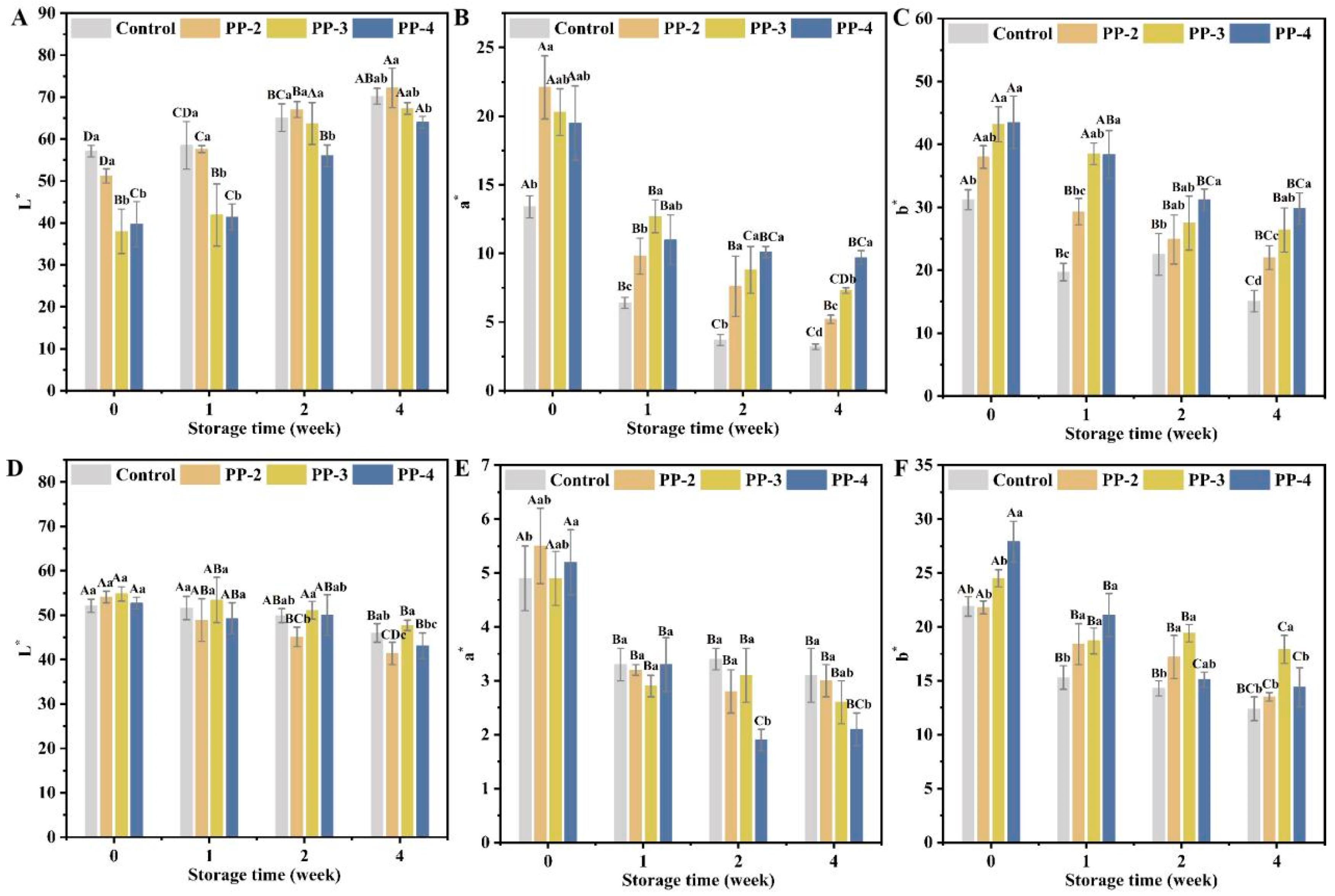
3.4.2. Color Analysis
3.4.3. Texture Analysis
Porosity of the Bread
TPA Analysis
Crumbliness Analysis
3.4.4. Sensory Evaluation
4. Conclusions
Author Contributions
Funding
Institutional Review Board Statement
Informed Consent Statement
Data Availability Statement
Conflicts of Interest
Appendix A






References
- Qian, M.; Liu, D.; Zhang, X.; Yin, Z.; Ismail, B.B.; Ye, X.; Guo, M. A Review of Active Packaging in Bakery Products: Applications and Future Trends. Trends Food Sci. Technol. 2021, 114, 459–471. [Google Scholar] [CrossRef]
- Yang, Z.; Jin, Y.; Xu, X. Mechanism of Frozen Dough Deterioration and the Behavior of Different Wheat Starch Types during Storage. J. Cereal Sci. 2024, 116, 103843. [Google Scholar] [CrossRef]
- Phimolsiripol, Y.; Siripatrawan, U.; Cleland, D.J. Weight Loss of Frozen Bread Dough under Isothermal and Fluctuating Temperature Storage Conditions. J. Food Eng. 2011, 106, 134–143. [Google Scholar] [CrossRef]
- Zhang, T.; Teng, Y.; He, Y.; Li, Y.; Yuan, Y.; Li, B.; Chen, Y.; Zhu, X. Elucidate the molecular basis of ampholytic chitosan as a high-performance cryoprotectant to myosin denaturation: The importance of saccharide charges. Food Hydrocoll. 2024, 152, 109915. [Google Scholar] [CrossRef]
- Wang, H.; Fan, H.; Zhang, S.; Xia, C.; Wang, J.; Zhang, Y.; Liu, T. Effects of Tremella Polysaccharide on Frost Resistance of Frozen Dough Considering Water State, Physical Property and Gluten Structure. LWT 2023, 190, 115536. [Google Scholar] [CrossRef]
- Zhu, X.; Yuan, P.; Zhang, T.; Wang, Z.; Cai, D.; Chen, X.; Shen, Y.; Xu, J.; Song, C.; Goff, D. Effect of carboxymethyl chitosan on the storage stability of frozen dough: State of water, protein structures and quality attributes. Food Res. Int. 2022, 151, 110863. [Google Scholar] [CrossRef]
- Zhu, X.; Chen, Y.; Zhang, N.; Luo, Y.; Peng, R.; Chen, L.; Xu, J.; Teng, Y.; Li, B.; Ding, W.; et al. Chickpea Peptide as a Plant-Based Cryoprotectant in Frozen Dough: Insight into the Water States, Gluten Structures, and Storage Stabilities. LWT 2024, 200, 116172. [Google Scholar] [CrossRef]
- Chen, N.; Yang, Q.; Zhang, C.C.; Chen, H.Q. Impact of Basil Seed Gum on the Textural, Rheological Properties, Water State, Gluten Depolymerization and Microstructure of Frozen Dough. J. Cereal Sci. 2023, 112, 103728. [Google Scholar] [CrossRef]
- Mattice, K.D.; Marangoni, A.G. Gelatinized Wheat Starch Influences Crystallization Behaviour and Structure of Roll-in Shortenings in Laminated Bakery Products. Food Chem. 2018, 243, 396–402. [Google Scholar] [CrossRef] [PubMed]
- Ma, S.; Han, W. Application in Bakery Products. In Dietary Fiber: Properties, Recovery, and Applications; Elsevier: Amsterdam, The Netherlands, 2019; pp. 279–311. ISBN 9780128164952. [Google Scholar] [CrossRef]
- Zhang, H.; Fan, H.; Xu, X.; Xu, D. Deterioration Mechanisms and Quality Improvement Methods in Frozen Dough: An Updated Review. Trends Food Sci. Technol. 2024, 143, 104251. [Google Scholar] [CrossRef]
- Shu, G.; Khalid, N.; Zhao, Y.; Neves, M.A.; Kobayashi, I.; Nakajima, M. Formulation and Stability Assessment of Ergocalciferol Loaded Oil-in-Water Nanoemulsions: Insights of Emulsifiers Effect on Stabilization Mechanism. Food Res. Int. 2016, 90, 320–327. [Google Scholar] [CrossRef] [PubMed]
- Bu, N.; Huang, L.; Cao, G.; Pang, J.; Mu, R. Stable O/W Emulsions and Oleogels with Amphiphilic Konjac Glucomannan Network: Preparation, Characterization, and Application. J. Sci. Food Agric. 2022, 102, 6555–6565. [Google Scholar] [CrossRef] [PubMed]
- Sanz, T.; Laguna, L.; Salvador, A. Biscuit Dough Structural Changes During Heating: Influence of Shortening and Cellulose Ether Emulsions. LWT 2015, 62, 962–969. [Google Scholar] [CrossRef]
- Ishibashi, C.; Hondoh, H.; Ueno, S. Influence of Morphology and Polymorphic Transformation of Fat Crystals on the Freeze-Thaw Stability of Mayonnaise-Type Oil-in-Water Emulsions. Food Res. Int. 2016, 89, 604–613. [Google Scholar] [CrossRef]
- Ding, X.; Li, T.; Zhang, H.; Guan, C.; Qian, J.; Zhou, X. Effect of barley antifreeze protein on dough and bread during freezing and freeze-thaw cycles. Foods 2020, 9, 1698. [Google Scholar] [CrossRef]
- Chen, J.; Chen, X.; Zhu, Q.; Chen, F.; Zhao, X.; Ao, Q. Determination of the domain structure of the 7S and 11S globulins from soy proteins by XRD and FTIR: Determination of the domain structure of soy globulins. J. Sci. Food Agric. 2013, 93, 1687–1691. [Google Scholar] [CrossRef] [PubMed]
- Boukid, F. The Realm of Plant Proteins with Focus on Their Application in Developing New Bakery Products. Adv. Food Nutr. Res. 2022, 99, 101–136. [Google Scholar] [CrossRef] [PubMed]
- Teng, Y.; Zhang, T.; Dai, H.; Wang, Y.; Xu, J.; Zeng, X.; Li, B.; Zhu, X. Inducing the structural interplay of binary pulse protein complex to stimulate the solubilization of chickpea (Cicer arietinum L.) protein isolate. Food Chem. 2023, 407, 135136. [Google Scholar] [CrossRef]
- Nishinari, K.; Fang, Y.; Nagano, T.; Guo, S.; Wang, R. Soy as a Food Ingredient. In Proteins in Food Processing; Woodhead Publishing: Sawston, UK, 2017; ISBN 9780081007228. [Google Scholar] [CrossRef]
- Zhang, X.; Chen, Y.; Li, R.; Shi, Y.; Zhao, Y.; Li, B.; Chen, Y.; Zhu, X. Fabrication of Pea Protein Isolate-Stabilized Oil-in-Water Emulsions with High Freeze-Thaw Stability: Effect of High Intensity Ultrasonic on Emulsions and Interfacial Protein Structure. Food Hydrocoll. 2024, 157, 110484. [Google Scholar] [CrossRef]
- Tong, H.; Wang, J.; Qi, L.; Gao, Q. Starch-Based Janus Particle: Fabrication, Characterization and Interfacial Properties in Stabilizing Pickering Emulsion. Carbohydr. Polym. 2023, 313, 120867. [Google Scholar] [CrossRef]
- Baier-Schenk, A.; Handschin, S.; Conde-Petit, B. Ice in Prefermented Frozen Bread Dough—An Investigation Based on Calorimetry and Microscopy. Cereal Chem. 2005, 82, 251–255. [Google Scholar] [CrossRef]
- He, Y.; Guo, J.; Ren, G.; Cui, G.; Han, S.; Liu, J. Effects of Konjac Glucomannan on the Water Distribution of Frozen Dough and Corresponding Steamed Bread Quality. Food Chem. 2020, 330, 127243. [Google Scholar] [CrossRef] [PubMed]
- Feng, Y.; Mu, T.; Zhang, M.; Ma, M. Effects of Different Polysaccharides and Proteins on Dough Rheological Properties, Texture, Structure and in Vitro Starch Digestibility of Wet Sweet Potato Vermicelli. Int. J. Biol. Macromol. 2020, 148, 1–10. [Google Scholar] [CrossRef]
- Ellis, H.R. On “Tissue Sulfhydryl Groups” by George L. Ellman. Arch. Biochem. Biophys. 2022, 726, 1958–1959. [Google Scholar] [CrossRef] [PubMed]
- Chen, X.; Su, T.; Yang, H.; Lei, H.; Meng, M.; Luo, X.; Ou, C.; Jia, L.; Sang, S. Effect of Fish Skin Gelatin on Characteristics and Staling Properties of Bread Made from Pre-Baked Frozen Dough. Food Biosci. 2023, 55, 103070. [Google Scholar] [CrossRef]
- Correa, M.J.; Pérez, G.T.; Ferrero, C. Pectins as Breadmaking Additives: Effect on Dough Rheology and Bread Quality. Food Bioprocess Technol. 2012, 5, 2889–2898. [Google Scholar] [CrossRef]
- Gao, J.; Wong, J.X.; Lim, J.C.S.; Henry, J.; Zhou, W. Influence of bread structure on human oral processing. J. Food Eng. 2015, 167, 147–155. [Google Scholar] [CrossRef]
- Peng, B.; Li, Y.; Ding, S.; Yang, J. Characterization of Textural, Rheological, Thermal, Microstructural, and Water Mobility in Wheat Flour Dough and Bread Affected by Trehalose. Food Chem. 2017, 233, 369–377. [Google Scholar] [CrossRef]
- Beltrão Martins, R.; Nunes, M.C.; Ferreira, L.M.M.; Peres, J.A.; RNA Barros, A.I.; Raymundo, A. Impact of acorn flour on gluten-free dough rheology properties. Foods 2020, 9, 560. [Google Scholar] [CrossRef]
- Lu, L.; Yang, Z.; Guo, X.N.; Xing, J.J.; Zhu, K.X. Effect of NaHCO3 and Freeze–Thaw Cycles on Frozen Dough: From Water State, Gluten Polymerization and Microstructure. Food Chem. 2021, 358, 129869. [Google Scholar] [CrossRef]
- Purhagen, J.K.; Sjöö, M.E.; Eliasson, A.C. Starch affecting anti-staling agents and their function in freestanding and pan-baked bread. Food Hydrocoll. 2011, 25, 1656–1666. [Google Scholar] [CrossRef]
- Cacak-Pietrzak, G.; Dziki, D.; Gawlik-Dziki, U.; Parol-Nadłonek, N.; Kalisz, S.; Krajewska, A.; Stępniewska, S. Wheat Bread Enriched with Black Chokeberry (Aronia melanocarpa L.) Pomace: Physicochemical Properties and Sensory Evaluation. Appl. Sci. 2023, 13, 6936. [Google Scholar] [CrossRef]
- Xu, W.; Jia, Y.; Li, J.; Sun, H.; Cai, L.; Wu, G.; Kang, M.; Zang, J.; Luo, D. Pickering Emulsion with High Freeze-Thaw Stability Stabilized by Xanthan Gum/Lysozyme Nanoparticles and Konjac Glucomannan. Int. J. Biol. Macromol. 2024, 261, 129740. [Google Scholar] [CrossRef] [PubMed]
- Liu, M.; Liang, Y.; Zhang, H.; Wu, G.; Wang, L.; Qian, H.; Qi, X. Comparative Study on the Cryoprotective Effects of Three Recombinant Antifreeze Proteins from Pichia Pastoris GS115 on Hydrated Gluten Proteins during Freezing. J. Agric. Food Chem. 2018, 66, 6151–6161. [Google Scholar] [CrossRef] [PubMed]
- Matuda, T.G.; Parra, D.F.; Lugão, A.B.; Tadini, C.C. Influence of vegetable shortening and emulsifiers on the unfrozen water content and textural properties of frozen French bread dough. LWT-Food Scicen Technol. 2005, 38, 275–280. [Google Scholar] [CrossRef]
- Liang, Y.; Qu, Z.; Liu, M.; Zhu, M.; Zhang, X.; Wang, L.; Jia, F.; Zhan, X.; Wang, J. Further Interpretation of the Strengthening Effect of Curdlan on Frozen Cooked Noodles Quality during Frozen Storage: Studies on Water State and Properties. Food Chem. 2021, 346, 128908. [Google Scholar] [CrossRef]
- Liu, S.; Gu, S.; Shi, Y.; Chen, Q. Alleviative Effects of Mannosylerythritol Lipid-A on the Deterioration of Internal Structure and Quality in Frozen Dough and Corresponding Steamed Bread. Food Chem. 2024, 431, 137122. [Google Scholar] [CrossRef]
- Wang, Z.; Ma, S.; Li, L.; Huang, J. Synergistic Fermentation of Lactobacillus Plantarum and Saccharomyces Cerevisiae to Improve the Quality of Wheat Bran Dietary Fiber-Steamed Bread. Food Chem. X 2022, 16, 100528. [Google Scholar] [CrossRef]
- Zhang, J.; Li, J.; Fan, L. Effect of Starch Granule Size on the Properties of Dough and the Oil Absorption of Fried Potato Crisps. Int. J. Biol. Macromol. 2024, 268, 131844. [Google Scholar] [CrossRef]
- Jeong, S.; Park, Y.; Lee, S. Assessment of Turanose as a Sugar Alternative in a Frozen Dough System: Rheology, Tomography, and Baking Performance. LWT 2021, 141, 110869. [Google Scholar] [CrossRef]
- Tu, Y.; Zhang, X.; Wang, L. Salt Ions Induced Rice Bran Protein Nanoparticle Stabilized High Internal Phase Emulsion as a Fat Substitute on Breads. J. Cereal Sci. 2023, 112, 103711. [Google Scholar] [CrossRef]
- Lee, J.Y.; Tiffany, C.R.; Mahan, S.P.; Kellom, M.; Rogers, A.W.L.; Nguyen, H.; Stevens, E.T.; Masson, H.L.P.; Yamazaki, K.; Marco, M.L.; et al. High Fat Intake Sustains Sorbitol Intolerance after Antibiotic-Mediated Clostridia Depletion from the Gut Microbiota. Cell 2024, 187, 1191–1205.e15. [Google Scholar] [CrossRef] [PubMed]
- Zhao, B.; Hou, L.; Liu, T.; Liu, X.; Fu, S.; Li, H. Insight into Curdlan Alleviating Quality Deterioration of Frozen Dough during Storage: Fermentation Properties, Water State and Gluten Structure. Food Chem. X 2023, 19, 100832. [Google Scholar] [CrossRef] [PubMed]
- Yang, S.; Zhao, X.; Liu, T.; Cai, Y.; Deng, X.; Zhao, M.; Zhao, Q. Effects of Apple Fiber on the Physicochemical Properties and Baking Quality of Frozen Dough during Frozen Storage. Food Chem. 2024, 440, 138194. [Google Scholar] [CrossRef] [PubMed]
- Wang, P.; Chen, H.; Mohanad, B.; Xu, L.; Ning, Y.; Xu, J.; Wu, F.; Yang, N.; Jin, Z.; Xu, X. Effect of Frozen Storage on Physico-Chemistry of Wheat Gluten Proteins: Studies on Gluten-, Glutenin- and Gliadin-Rich Fractions. Food Hydrocoll. 2014, 39, 187–194. [Google Scholar] [CrossRef]
- Zhao, F.; Li, Y.; Li, C.; Ban, X.; Cheng, L.; Hong, Y.; Gu, Z.; Li, Z. Insight into the Regulations of Rice Protein on the Gluten-Free Bread Matrix Properties. Food Hydrocoll. 2022, 131, 107796. [Google Scholar] [CrossRef]
- Tiwari, U.; Cummins, E.; Sullivan, P.; Flaherty, J.O.; Brunton, N.; Gallagher, E. Probabilistic Methodology for Assessing Changes in the Level and Molecular Weight of Barley β-Glucan during Bread Baking. Food Chem. 2011, 124, 1567–1576. [Google Scholar] [CrossRef]
- Zhang, H.; Wei, A.; Zhou, S.; Zhang, H.; Xia, N.; Wang, J.; Ma, Y.; Fan, M. Effect of the Substitution of Butter by Double Cross-Linked Egg Yolk Granules/Sodium Alginate Emulsion Gel on Properties of Baking Dough during Frozen Storage. Food Chem. 2024, 438, 137965. [Google Scholar] [CrossRef]
- Yang, Z.; Xu, D.; Zhou, H.; Wu, F.; Xu, X. New Insight into the Contribution of Wheat Starch and Gluten to Frozen Dough Bread Quality. Food Biosci. 2022, 48, 101777. [Google Scholar] [CrossRef]
- Popov-Raljic, J.V.; Mastilovic, J.S.; Lalicic-Petronijevic, J.G.; Popov, V.S. Investigations of bread production with postponed staling applying instrumental measurements of bread crumb color. Sensors 2009, 9, 8613–8623. [Google Scholar] [CrossRef]
- Hejrani, T.; Sheikholeslami, Z.; Mortazavi, A.; Davoodi, M.G. The properties of part baked frozen bread with guar and xanthan gums. Food Hydrocoll. 2017, 71, 252–257. [Google Scholar] [CrossRef]
- Dong, Y.N.; Karboune, S. A Review of Bread Qualities and Current Strategies for Bread Bioprotection: Flavor, Sensory, Rheological, and Textural Attributes. Compr. Rev. Food Sci. Food Saf. 2021, 20, 1937–1981. [Google Scholar] [CrossRef] [PubMed]
- Mao, X.; Liu, Z.; Ma, J.; Pang, H.; Zhang, F. Characterization of a Novel β-Helix Antifreeze Protein from the Desert Beetle Anatolica Polita. Cryobiology 2011, 62, 91–99. [Google Scholar] [CrossRef] [PubMed]
- Chen, J.; Xiao, J.; Tu, J.; Yu, L.; Niu, L. The Alleviative Effect of Sweet Potato Protein Hydrolysates on the Quality Deterioration of Frozen Dough Bread in Comparison to Trehalose. LWT 2023, 175, 114505. [Google Scholar] [CrossRef]
- Zhou, B.; Dai, Y.; Guo, D.; Zhang, J.; Liang, H.; Li, B.; Sun, J.; Wu, J. Effect of Desalted Egg White and Gelatin Mixture System on Frozen Dough. Food Hydrocoll. 2022, 132, 107889. [Google Scholar] [CrossRef]
- Shen, Y.; Babu, K.S.; Amamcharla, J.; Li, Y. Emulsifying properties of pea protein/guar gum conjugates and mayonnaise application. Int. J. Food Sci. Technol. 2020, 57, 3955–3966. [Google Scholar] [CrossRef]









| Group | Water (g) | Butter (g) | PP (g) |
|---|---|---|---|
| Control | 65 | 5 | 0 |
| PP-2 | 65 | 5 | 1.4 |
| PP-3 | 65 | 5 | 2.1 |
| PP-4 | 65 | 5 | 2.8 |
| Samples | PT21/% | PT22/% | PT23/% |
|---|---|---|---|
| 0-week-Control | 14.71 ± 0.28 Aa | 81.05 ± 0.18 Bab | 4.24 ± 0.15 Ba |
| 0-week-PP-2 | 14.65 ± 0.17 Aa | 81.16 ± 0.15 Ba | 4.19 ± 0.24 Ba |
| 0-week-PP-3 | 14.90 ± 0.09 Aa | 80.80 ± 0.11 Bb | 4.30 ± 0.19 Aa |
| 0-week-PP-4 | 14.62 ± 0.25 Aa | 81.09 ± 0.22 Aab | 4.29 ± 0.22 Aa |
| 4-week-Control | 12.86 ± 0.09 Bc | 83.35 ± 0.10 Aa | 5.78 ± 0.08 Aa |
| 4-week-PP-2 | 13.85 ± 0.01 Bb | 81.46 ± 0.05 Ab | 4.69 ± 0.06 Ab |
| 4-week-PP-3 | 14.29 ± 0.23 Ba | 81.23 ± 0.30 Ab | 4.48 ± 0.14 Ab |
| 4-week-PP-4 | 14.31 ± 0.08 Aa | 81.12 ± 0.31 Ab | 4.57 ± 0.23 Ab |
Disclaimer/Publisher’s Note: The statements, opinions and data contained in all publications are solely those of the individual author(s) and contributor(s) and not of MDPI and/or the editor(s). MDPI and/or the editor(s) disclaim responsibility for any injury to people or property resulting from any ideas, methods, instructions or products referred to in the content. |
© 2024 by the authors. Licensee MDPI, Basel, Switzerland. This article is an open access article distributed under the terms and conditions of the Creative Commons Attribution (CC BY) license (https://creativecommons.org/licenses/by/4.0/).
Share and Cite
Li, D.; Shi, Y.; Ouyang, Z.; Teng, Y.; Chen, B.; Chen, Y.; Luo, Y.; Zhang, N.; Kumar, N.; Li, Y.; et al. Pea-Protein-Stabilized Emulsion as a High-Performance Cryoprotectant in Frozen Dough: Effects on the Storage Stability and Baking Performance. Foods 2024, 13, 3840. https://doi.org/10.3390/foods13233840
Li D, Shi Y, Ouyang Z, Teng Y, Chen B, Chen Y, Luo Y, Zhang N, Kumar N, Li Y, et al. Pea-Protein-Stabilized Emulsion as a High-Performance Cryoprotectant in Frozen Dough: Effects on the Storage Stability and Baking Performance. Foods. 2024; 13(23):3840. https://doi.org/10.3390/foods13233840
Chicago/Turabian StyleLi, Diming, Youqing Shi, Zhihan Ouyang, Yongxin Teng, Boru Chen, Yingying Chen, Yufan Luo, Nan Zhang, Nandan Kumar, Yonghui Li, and et al. 2024. "Pea-Protein-Stabilized Emulsion as a High-Performance Cryoprotectant in Frozen Dough: Effects on the Storage Stability and Baking Performance" Foods 13, no. 23: 3840. https://doi.org/10.3390/foods13233840
APA StyleLi, D., Shi, Y., Ouyang, Z., Teng, Y., Chen, B., Chen, Y., Luo, Y., Zhang, N., Kumar, N., Li, Y., Li, B., & Zhu, X. (2024). Pea-Protein-Stabilized Emulsion as a High-Performance Cryoprotectant in Frozen Dough: Effects on the Storage Stability and Baking Performance. Foods, 13(23), 3840. https://doi.org/10.3390/foods13233840

