Evaluation of the Phenolic Components, Fiber Content, Antioxidant Activity, and Prebiotic Capacity of a Shortbread Cookie Fortified with Hazelnut Skin Waste
Abstract
1. Introduction
2. Materials and Methods
2.1. Hazelnut Skins, Shortbread Cookies, and Chemicals
2.2. Extracts’ Preparation
2.3. TPC, TFC, and TAC
2.4. Quantitative Polyphenol Determination by RP-HPLC
2.5. Dietary Fiber and Energy Determination
2.6. In Vitro Upper Gastrointestinal Digestion
2.7. Prebiotic Activity Evaluation
2.8. Statistical Analysis
3. Results and Discussion
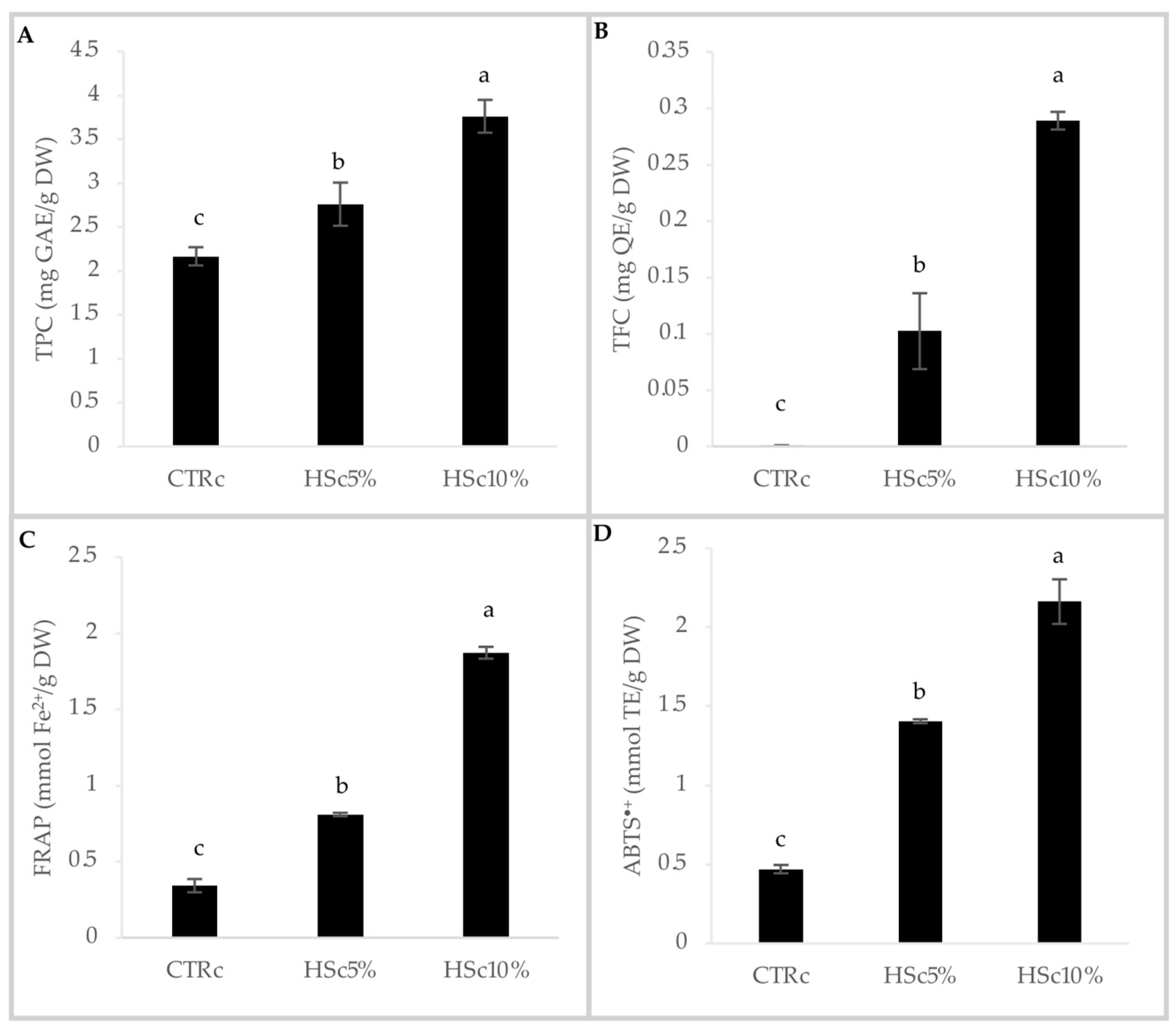
3.1. TPC, TFC, and TAC of HS Varieties and Experimental Cookies
3.2. Quantitative Polyphenol Determination
3.3. Determination of Total Dietary Fibers in HSR and Experimental Cookies
3.4. Prebiotic Activity of Experimental Cookies
4. Conclusions
Author Contributions
Funding
Institutional Review Board Statement
Informed Consent Statement
Data Availability Statement
Conflicts of Interest
References
- Lotti, S.; Napoletano, A.; Asensi, M.T.; Pagliai, G.; Giangrandi, I.; Colombini, B.; Dinu, M.; Sofi, F. Assessment of Mediterranean diet adherence and comparison with Italian dietary guidelines: A study of over 10,000 adults from 2019 to 2022. Int. J. Food Sci. Nutr. 2024, 75, 336–343. [Google Scholar] [CrossRef] [PubMed]
- Stephen, A.M.; Champ, M.M.-J.; Cloran, S.J.; Fleith, M.; van Lieshout, L.; Mejborn, H.; Burley, V.J. Dietary fibre in Europe: Current state of knowledge on definitions, sources, recommendations, intakes and relationships to health. Nutr. Res. Rev. 2017, 30, 149–190. [Google Scholar] [CrossRef] [PubMed]
- Russo, M.D.; Formisano, A.; Lauria, F.; Ahrens, W.; Bogl, L.H.; Eiben, G.; De Henauw, S.; Hebestreit, A.; Intemann, T.; Hunsberger, M.; et al. Dietary Diversity and Its Association with Diet Quality and Health Status of European Children, Adolescents, and Adults: Results from the I. Family Study. Foods 2023, 12, 4458. [Google Scholar] [CrossRef] [PubMed]
- EFSA Panel on Dietetic Products. Scientific Opinion on Dietary Reference Values for carbohydrates and dietary fibre. EFSA J. 2010, 8, 77. [Google Scholar] [CrossRef]
- Gibson, G.R.; Hutkins, R.; Sanders, M.E.; Prescott, S.L.; Reimer, R.A.; Salminen, S.J.; Scott, K.; Stanton, C.; Swanson, K.S.; Cani, P.D.; et al. Expert consensus document: The International Scientific Association for Probiotics and Prebiotics (ISAPP) consensus statement on the definition and scope of prebiotics. Nat. Rev. Gastroenterol. Hepatol. 2017, 14, 491–502. [Google Scholar] [CrossRef]
- Mertens, E.; Colizzi, C.; Peñalvo, J.L. Ultra-processed food consumption in adults across Europe. Eur. J. Nutr. 2022, 61, 1521–1539. [Google Scholar] [CrossRef]
- Gressier, M.; Sassi, F.; Frost, G. Healthy Foods and Healthy Diets. How Government Policies Can Steer Food Reformulation. Nutrients 2020, 12, 1992. [Google Scholar] [CrossRef]
- Pellegrini, N.; Serafini, M.; Salvatore, S.; Del Rio, D.; Bianchi, M.; Brighenti, F. Total antioxidant capacity of spices, dried fruits, nuts, pulses, cereals and sweets consumed in Italy assessed by three different in vitro assays. Mol. Nutr. Food Res. 2006, 50, 1030–1038. [Google Scholar] [CrossRef]
- Del Rio, D.; Calani, L.; Dall’asta, M.; Brighenti, F. Polyphenolic Composition of Hazelnut Skin. J. Agric. Food Chem. 2011, 59, 9935–9941. [Google Scholar] [CrossRef]
- Shewry, P.R.; Prins, A.; Kosik, O.; Lovegrove, A. Challenges to Increasing Dietary Fiber in White Flour and Bread. J. Agric. Food Chem. 2024, 72, 13513–13522. [Google Scholar] [CrossRef]
- Özdemir, K.S.; Yılmaz, C.; Durmaz, G.; Gökmen, V. Hazelnut skin powder: A new brown colored functional ingredient. Food Res. Int. 2014, 65, 291–297. [Google Scholar] [CrossRef]
- Kruk, M.; Ponder, A.; Horoszewicz, J.; Popławski, D.; Król, K.; Leszczyńska, J.; Jaworska, D.; Trząskowska, M. By-product hazelnut seed skin characteristics and properties in terms of use in food processing and human nutrition. Sci. Rep. 2024, 14, 18835. [Google Scholar] [CrossRef]
- Costantini, L.; Frangipane, M.T.; Molinari, R.; Garzoli, S.; Massantini, R.; Merendino, N. Hazelnut Skin Waste as a Functional Ingredient to Nutritionally Improve a Classic Shortbread Cookie Recipe. Foods 2023, 12, 2774. [Google Scholar] [CrossRef]
- Ollani, S.; Peano, C.; Sottile, F. Recent Innovations on the Reuse of Almond and Hazelnut By-Products: A Review. Sustainability 2024, 16, 2577. [Google Scholar] [CrossRef]
- Costantini, L.; Lukšič, L.; Molinari, R.; Kreft, I.; Bonafaccia, G.; Manzi, L.; Merendino, N. Development of gluten-free bread using tartary buckwheat and chia flour rich in flavonoids and omega-3 fatty acids as ingredients. Food Chem. 2014, 165, 232–240. [Google Scholar] [CrossRef] [PubMed]
- Farinon, B.; Felli, M.; Sulli, M.; Diretto, G.; Savatin, D.V.; Mazzucato, A.; Merendino, N.; Costantini, L. Tomato pomace food waste from different variants as a high antioxidant potential resource. Food Chem. 2024, 452, 139509. [Google Scholar] [CrossRef]
- AOAC International. Official Methods of Analysis of AOAC International, 18th ed.; Current Through Rev; AOAC International: Gaithersburg, MD, USA, 2006; Volume 1. [Google Scholar]
- Brodkorb, A.; Egger, L.; Alminger, M.; Alvito, P.; Assunção, R.; Ballance, S.; Bohn, T.; Bourlieu-Lacanal, C.; Boutrou, R.; Carrière, F.; et al. INFOGEST static in vitro simulation of gastrointestinal food digestion. Nat. Protoc. 2019, 14, 991–1014. [Google Scholar] [CrossRef]
- Chang, C.P.; Liew, S.L. Growth Medium Optimization for Biomass Production of a Probiotic Bacterium, Lactobacillus rhamnosus ATCC 7469. J. Food Biochem. 2013, 37, 536–543. [Google Scholar] [CrossRef]
- Taş, N.G.; Gökmen, V. Bioactive compounds in different hazelnut varieties and their skins. J. Food Compos. Anal. 2015, 43, 203–208. [Google Scholar] [CrossRef]
- Bertolino, M.; Belviso, S.; Dal Bello, B.; Ghirardello, D.; Giordano, M.; Rolle, L.; Gerbi, V.; Zeppa, G. Influence of the addition of different hazelnut skins on the physicochemical, antioxidant, polyphenol and sensory properties of yogurt. LWT Food Sci. Technol. 2015, 63, 1145–1154. [Google Scholar] [CrossRef]
- Zeppa, G.; Belviso, S.; Bertolino, M.; Cavallero, M.C.; Dal Bello, B.; Ghirardello, D.; Giordano, M.; Giorgis, M.; Grosso, A.; Rolle, L.; et al. The effect of hazelnut roasted skin from different cultivars on the quality attributes, polyphenol content and texture of fresh egg pasta. J. Sci. Food Agric. 2015, 95, 1678–1688. [Google Scholar] [CrossRef] [PubMed]
- Peng, H.; Shahidi, F. Oxidation and degradation of (epi)gallocatechin gallate (EGCG/GCG) and (epi)catechin gallate (ECG/CG) in alkali solution. Food Chem. 2023, 408, 134815. [Google Scholar] [CrossRef] [PubMed]
- Thazhath, S.S.; Wu, T.; Young, R.L.; Horowitz, M.; Rayner, C.K. Glucose absorption in small intestinal diseases. Expert Rev. Gastroenterol. Hepatol. 2014, 8, 301–312. [Google Scholar] [CrossRef] [PubMed]
- Montella, R.; Coïsson, J.D.; Travaglia, F.; Locatelli, M.; Malfa, P.; Martelli, A.; Arlorio, M. Bioactive compounds from hazelnut skin (Corylus avellana L.): Effects on Lactobacillus plantarum P17630 and Lactobacillus crispatus P17631. J. Funct. Foods 2013, 5, 306–315. [Google Scholar] [CrossRef]
- Alkay, Z.; Gonzales, M.A.A.; Esen, E.; Sarıoğlan, İ.; Arioglu-Tuncil, S.; Dertli, E.; Lindemann, S.R.; Tunçil, Y.E. In vitro fecal microbiota modulation properties of pectin and xyloglucan from hazelnut (Corylus avellana L.) skin, an industrial byproduct, and their incorporation into biscuit formula. Int. J. Biol. Macromol. 2024, 279, 135383. [Google Scholar] [CrossRef]



| µg/g | tr (min) | HSR | HSc10% | HSc5% | CTRc |
|---|---|---|---|---|---|
| gallic acid | 2.561 | 398.03 ± 23.62 a | 26.24 ± 0.05 b | 2.03 ± 0.02 b | n.d. |
| protocatechuic acid | 5.378 | 111.63 ± 8.79 a | 1.60 ± 0.10 b | 0.56 ± 0.01 b | n.d. |
| catechin | 14.525 | 257.13 ± 19.25 a | 34.96 ± 0.01 b | 19.96 ± 2.02 b | n.d. |
| phloridzin | 29.859 | 249.19 ± 17.01 a | 53.97 ± 7.48 b | 17.77 ± 0.11 c | n.d. |
| epicatechin gallate | 23.633 | n.d. | 3.57 ± 0.08 | n.d. | n.d. |
| Moisture 4 | Protein 1,4 | Fat 4 | Carbohydrate 2 | Dietary Fiber | Ash 4 | kcal/100 g 3 | kJ/100 g 3 | |||
|---|---|---|---|---|---|---|---|---|---|---|
| Total | Insoluble | Soluble | ||||||||
| HSR | 6.31 ± 0.02 a | 9.70 ± 0.14 a | 26.71 ± 0.04 a | 16.28 | 44.13 ± 0.54 a | 40.13 ± 0.52 a | 4.00 ± 0.02 a | 3.19 ± 0.02 a | 405.23 | 1695.49 |
| CTRc | 4.79 ± 0.06 c | 7.86 ± 0.06 bc | 21.09 ± 0.21 b | 67.79 | 2.12 ± 1.05 d | 0.53 ± 0.51 d | 1.58 ± 0.54 b | 1.14 ± 0.02 c | 472.89 | 1978.59 |
| HSc5% | 3.18 ± 0.34 d | 7.96 ± 0.29 b | 21.44 ± 0.67 b | 65.09 | 4.12 ± 0.18 c | 2.79 ± 0.27 c | 1.34 ± 0.45 b | 1.39 ± 0.02 b | 477.73 | 1998.83 |
| HSc10% | 5.71 ± 0.04 b | 7.34 ± 0.23 c | 21.31 ± 0.46 b | 63.59 | 6.38 ± 0.56 b | 5.17 ± 0.85 b | 1.21 ± 0.29 b | 1.39 ± 0.01 b | 460.37 | 1926.20 |
Disclaimer/Publisher’s Note: The statements, opinions and data contained in all publications are solely those of the individual author(s) and contributor(s) and not of MDPI and/or the editor(s). MDPI and/or the editor(s) disclaim responsibility for any injury to people or property resulting from any ideas, methods, instructions or products referred to in the content. |
© 2024 by the authors. Licensee MDPI, Basel, Switzerland. This article is an open access article distributed under the terms and conditions of the Creative Commons Attribution (CC BY) license (https://creativecommons.org/licenses/by/4.0/).
Share and Cite
Costantini, L.; Di Matteo, G.; Felli, M.; Savatin, D.V.; Mannina, L.; Merendino, N. Evaluation of the Phenolic Components, Fiber Content, Antioxidant Activity, and Prebiotic Capacity of a Shortbread Cookie Fortified with Hazelnut Skin Waste. Foods 2024, 13, 3814. https://doi.org/10.3390/foods13233814
Costantini L, Di Matteo G, Felli M, Savatin DV, Mannina L, Merendino N. Evaluation of the Phenolic Components, Fiber Content, Antioxidant Activity, and Prebiotic Capacity of a Shortbread Cookie Fortified with Hazelnut Skin Waste. Foods. 2024; 13(23):3814. https://doi.org/10.3390/foods13233814
Chicago/Turabian StyleCostantini, Lara, Giacomo Di Matteo, Martina Felli, Daniel V. Savatin, Luisa Mannina, and Nicolò Merendino. 2024. "Evaluation of the Phenolic Components, Fiber Content, Antioxidant Activity, and Prebiotic Capacity of a Shortbread Cookie Fortified with Hazelnut Skin Waste" Foods 13, no. 23: 3814. https://doi.org/10.3390/foods13233814
APA StyleCostantini, L., Di Matteo, G., Felli, M., Savatin, D. V., Mannina, L., & Merendino, N. (2024). Evaluation of the Phenolic Components, Fiber Content, Antioxidant Activity, and Prebiotic Capacity of a Shortbread Cookie Fortified with Hazelnut Skin Waste. Foods, 13(23), 3814. https://doi.org/10.3390/foods13233814

