Different Pretreatment Methods to Strengthen the Microwave Vacuum Drying of Honeysuckle: Effects on the Moisture Migration and Physicochemical Quality
Abstract
1. Introduction
2. Materials and Methods
2.1. Test Material
2.2. Rotary Microwave Vacuum Drying Equipment
2.3. Experimental Method
2.3.1. Different Pretreatment Experiments
2.3.2. Rotary Microwave Vacuum Drying Experiment
2.4. Calculation of Experimental Indicators
2.4.1. Calculation of Dry Basis Moisture Content
2.4.2. Calculation of Drying Rate
2.4.3. Calculation of Moisture Ratio
2.5. Determination of Rehydration Ratio
2.6. Determination of Color
2.7. Determination of Polysaccharide Content
2.8. Determination of Total Phenolic Content
2.9. Determination of Total Flavonoid Conten
2.10. Determination of Antioxidant Capacity
2.11. Determination of Active Ingredients Contents
2.11.1. Chromatographic Conditions
2.11.2. Preparation of Reference Solution
2.11.3. Preparation of Sample Solution
2.12. Optimization of Drying Process
2.12.1. Calculate the Entropy Value ej for Indicator Ij
2.12.2. Calculate the Weight wj of Indicator Ij
2.12.3. Calculate the Positive and Negative Ideal Solutions for Indicator Ij
2.12.4. Calculate the Euclidean Distance Between the Positive and Negative Ideal Solutions for Each Evaluation Indicator Ij
2.12.5. The Closeness Coefficient Ci Between the Evaluated Scheme and the Ideal Value
2.13. Statistical Analysis
3. Results and Discussion
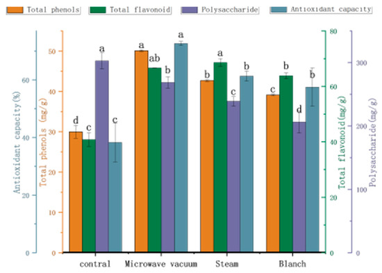
3.1. Effect of Different Pretreatment Processes on the Quality of Microwave Vacuum Dried Honeysuckle
3.2. Drying Characteristics
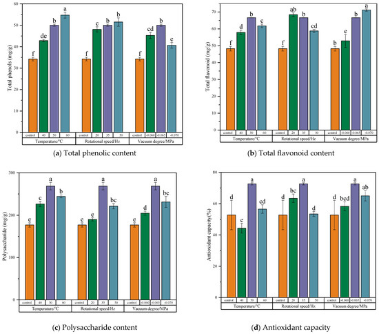
3.2.1. Effect of Drying Temperature on the Drying Characteristics
3.2.2. Effect of Vacuum Pressure on the Drying Characteristics
3.2.3. Effect of Rotation Speed on the Drying Characteristics
3.3. Drying Qquality
3.3.1. Color
3.3.2. Rehydration Ratio
3.3.3. Total Phenolic Content
3.3.4. Total Flavonoid Content
3.3.5. Polysaccharide Content
3.3.6. Antioxidant Capacity
3.3.7. Active Ingredients Content
3.4. Parameter Optimization Based on Entropy Weight TOPSIS Method
4. Conclusions
Author Contributions
Funding
Institutional Review Board Statement
Informed Consent Statement
Data Availability Statement
Conflicts of Interest
References
- Huang, L.; Lu, Z.; Li, J.; Zhou, B. Studies on the chemical composition of the Chinese medicine Honeysuckle. Chin. Herb. Med. 1996, 645–647. [Google Scholar]
- Ming, X.; Yin, M.; Liyan, W. Antibacterial and Anti-Inflammatory Potential of Chinese Medicinal Herbs: Lonicerae flos, Lonicerae japonicae flos, Scutellaria baicalensis Georgi, and Forsythia suspensa. Nat. Prod. Commun. 2022, 17. [Google Scholar] [CrossRef]
- Khan, M.I.H.; Wellard, R.M.; Nagy, S.A.; Joardder, M.U.H.; Karim, M.A. Investigation of bound and free water in plant-based food material using NMR T2 relaxometry. Innov. Food Sci. Emerg. Technol. 2016, 38, 252–261. [Google Scholar] [CrossRef]
- Thamkaew, G.; Sjöholm, I.; Galindo, F.G. A review of drying methods for improving the quality of dried herbs. Crit. Rev. Food Sci. Nutr. 2021, 61, 1763–1786. [Google Scholar] [CrossRef] [PubMed]
- Peng, J.; Gong, Y.; Wang, J.; Liu, Y.; Liang, Z. Effect of different drying techniques on the medicinal quality of Honeysuckle. Northwest J. Bot. 2006, 2044–2050. [Google Scholar]
- Liu, Y.; Miao, S.; Wu, J.; Liu, J.; Yu, H.; Duan, X. Drying characteristics and modeling of vacuum far-infrared radiation drying of Flos Lonicerae. J. Food Process. Preserv. 2015, 39, 338–348. [Google Scholar] [CrossRef]
- Liu, Y.; Miao, S.; Wu, J.; Liu, J. Drying and quality characteristics of Flos Lonicerae in modified atmosphere with heat pump system. J. Food Process Eng. 2014, 37, 37–45. [Google Scholar] [CrossRef]
- González-Cavieres, L.; Perez-Won, M.; Tabilo-Munizaga, G.; Jara-Quijada, E.; Díaz-Álvarez, R.; Lemus-Mondaca, R. Advances in vacuum microwave drying (VMD) systems for food products. Trends Food Sci. Technol. 2021, 116, 626–638. [Google Scholar] [CrossRef]
- Kumar, V.; Shrivastava, S.L. Optimization of vacuum-assisted microwave drying parameters of green bell pepper using response surface methodology. J. Food Meas. Charact. 2017, 11, 1761–1772. [Google Scholar] [CrossRef]
- Dai, J.W.; Fu, Q.Q.; Li, M.; Li, L.J.; Gou, K.Y.; Zhou, J.K.; Liu, Y.-W.; Qin, W.; Yin, P.-F.; Li, Y.-L.; et al. Drying characteristics and quality optimization of papaya crisp slices based on microwave vacuum drying. J. Food Process. Preserv. 2022, 46, e16506. [Google Scholar] [CrossRef]
- Xu, W.; Zhu, G.; Song, C.; Hu, S.; Li, Z. Optimization of microwave vacuum drying and pretreatment methods for Polygonum cuspidatum. Math. Probl. Eng. 2018, 2018, 4967356. [Google Scholar] [CrossRef]
- Pawlak, T.; Gawałek, J.; Ryniecki, A.; Stangierski, J.; Siatkowski, I.; Peplińska, B.; Pospiech, E. Microwave vacuum drying and puffing of the meat tissue-process analysis. Dry. Technol. 2019, 37, 156–163. [Google Scholar] [CrossRef]
- Hirun, S.; Utama-ang, N.; Vuong, Q.V.; Scarlett, C.J. Investigating the commercial microwave vacuum drying conditions on physicochemical properties and radical scavenging ability of Thai green tea. Dry. Technol. 2014, 32, 47–54. [Google Scholar] [CrossRef]
- Guo, C.; Wang, Y.; Luan, D. Study the synergism of microwave thermal and non-thermal effects on microbial inactivation and fatty acid quality of salmon fillet during pasteurization process. LWT 2021, 152, 112280. [Google Scholar] [CrossRef]
- Araújo, A.C.; Oliveira, S.M.; Ramos, I.N.; Brandão, T.R.; Silva, C.L. Influence of pretreatments on quality parameters and nutritional compounds of dried galega kale (Brassica oleracea L. var. acephala). Food Bioprocess Technol. 2016, 9, 872–881. [Google Scholar] [CrossRef]
- Liu, P.; Mujumdar, A.S.; Zhang, M.; Jiang, H. Comparison of three blanching treatments on the color and anthocyanin level of the microwave-assisted spouted bed drying of purple flesh sweet potato. Dry. Technol. 2015, 33, 66–71. [Google Scholar] [CrossRef]
- Vega-Gálvez, A.; Di Scala, K.; Rodríguez, K.; Lemus-Mondaca, R.; Miranda, M.; López, J.; Perez-Won, M. Effect of air-drying temperature on physico-chemical properties, antioxidant capacity, colour and total phenolic content of red pepper (Capsicum annuum, L. var. Hungarian). Food Chem. 2009, 117, 647–653. [Google Scholar] [CrossRef]
- Zang, Z.; Huang, X.; He, C.; Zhang, Q.; Jiang, C.; Wan, F. Improving Drying Characteristics and Physicochemical Quality of Angelica sinensis by Novel Tray Rotation Microwave Vacuum Drying. Foods 2023, 12, 1202. [Google Scholar] [CrossRef]
- Singh, G.D.; Sharma, R.; Bawa, A.S.; Saxena, D.C. Drying and rehydration characteristics of water chestnut (Trapa natans) as a function of drying air temperature. J. Food Eng. 2008, 87, 213–221. [Google Scholar] [CrossRef]
- Dubois, M.; Gilles, K.A.; Hamilton, J.K.; Rebers, P.A.; Smith, F. A colorimetric method for the determination of sugars. Nature 1951, 168, 167. [Google Scholar] [CrossRef] [PubMed]
- Beato, V.M.; Orgaz, F.; Mansilla, F.; Montaño, A. Changes in phenolic compounds in garlic (Allium sativum L.) owing to the cultivar and location of growth. Plant Foods Hum. Nutr. 2011, 66, 218–223. [Google Scholar] [CrossRef] [PubMed]
- Lay, M.M.; Karsani, S.A.; Mohajer, S.; Abd Malek, S.N. Phytochemical constituents, nutritional values, phenolics, flavonols, flavonoids, antioxidant and cytotoxicity studies on Phaleria macrocarpa (Scheff.) Boerl fruits. BMC Complement. Altern. Med. 2014, 14, 152. [Google Scholar] [CrossRef]
- Nencini, C.; Menchiari, A.; Franchi, G.G.; Micheli, L. In vitro antioxidant activity of aged extracts of some Italian Allium species. Plant Foods Hum. Nutr. 2011, 66, 11–16. [Google Scholar] [CrossRef]
- Liu, T.; Yang, L.; Dong, C.; Gao, Q.; Qi, D.; Xu, X.; Li, J. HPLC fingerprint study of Honeysuckle from different origins based on chemical pattern recognition. Chin. Herb. Med. 2022, 53, 4833–4843. [Google Scholar]
- Zhang, L.; Wang, X.; Qu, W.; Zhang, A.; Wahia, H.; Gao, X.; Ma, H.; Zhou, C. Evaluation of dual-frequency multi-angle ultrasound on physicochemical properties of tofu gel and its finished product by TOPSIS-entropy weight method. Ultrason. Sonochem. 2022, 90, 106196. [Google Scholar] [CrossRef] [PubMed]
- Han, X.; Song, Z.; Liu, J.; Zhang, Y.; Wu, M.; Liu, H. Effects of Different Drying Methods on the Quality of Bletilla striata Scented Tea. Molecules 2023, 28, 2438. [Google Scholar] [CrossRef] [PubMed]
- Zeng, Y.; Liu, Y.; Zhang, J.; Xi, H.; Duan, X. Effects of far-infrared radiation temperature on drying characteristics, water status, microstructure and quality of kiwifruit slices. J. Food Meas. Charact. 2019, 13, 3086–3096. [Google Scholar] [CrossRef]
- Kamal, T.; Song, Y.; Tan, Z.; Zhu, B.W.; Tan, M. Effect of hot-air oven dehydration process on water dynamics and microstructure of apple (Fuji) cultivar slices assessed by LF-NMR and MRI. Dry. Technol. 2019, 37, 1974–1987. [Google Scholar] [CrossRef]
- Zhang, D.; Huang, D.; Zhang, X.; Zhao, H.; Gong, G.; Tang, X.; Li, L. Drying performance and energy consumption of Camellia oleifera seeds under microwave-vacuum drying. Food Sci. Biotechnol. 2023, 32, 969–977. [Google Scholar] [CrossRef] [PubMed]
- Liu, J.; Liu, Y.; Li, X.; Zhu, J.; Wang, X.; Ma, L. Drying characteristics, quality changes, parameters optimization and flavor analysis for microwave vacuum drying of garlic (Allium sativum L.) slices. LWT 2023, 173, 114372. [Google Scholar] [CrossRef]
- Kurnia, J.C.; Sasmito, A.P.; Xu, P.; Mujumdar, A.S. Performance and potential energy saving of thermal dryer with intermittent impinging jet. Appl. Therm. Eng. 2017, 113, 246–258. [Google Scholar] [CrossRef][Green Version]
- Jumah, R.; Al-Kteimat, E.; Al-Hamad, A.; Telfah, E. Constant and intermittent drying characteristics of olive cake. Dry. Technol. 2007, 25, 1421–1426. [Google Scholar] [CrossRef]
- Su, D.; Lv, W.; Wang, Y.; Li, D.; Wang, L. Drying characteristics and water dynamics during microwave hot-air flow rolling drying of Pleurotus eryngii. Dry. Technol. 2020, 38, 1493–1504. [Google Scholar] [CrossRef]
- Hodge, J.E. Dehydrated foods, chemistry of browning reactions in model systems. J. Agric. Food Chem. 1953, 1, 928–943. [Google Scholar] [CrossRef]
- Guo, X.; Hao, Q.; Qiao, X.; Li, M.; Qiu, Z.; Zheng, Z.; Zhang, B. An evaluation of different pretreatment methods of hot-air drying of garlic: Drying characteristics, energy consumption and quality properties. LWT 2023, 180, 114685. [Google Scholar] [CrossRef]
- Kumar, V.; Devi, M.K.; Panda, B.K.; Shrivastava, S.L. Shrinkage and rehydration characteristics of vacuum assisted microwave dried green bell pepper. J. Food Process Eng. 2019, 42, e13030. [Google Scholar] [CrossRef]
- Siddiq, M.; Dolan, K.D. Characterization of polyphenol oxidase from blueberry (Vaccinium corymbosum L.). Food Chem. 2017, 218, 216–220. [Google Scholar] [CrossRef]
- Hamrouni-Sellami, I.; Rahali, F.Z.; Rebey, I.B.; Bourgou, S.; Limam, F.; Marzouk, B. Total phenolics, flavonoids, and antioxidant activity of sage (Salvia officinalis L.) plants as affected by different drying methods. Food Bioprocess Technol. 2013, 6, 806–817. [Google Scholar] [CrossRef]
- Dash, K.K.; Shangpliang, H.; Bhagya Raj, G.V.S.; Chakraborty, S.; Sahu, J.K. Influence of microwave vacuum drying process parameters on phytochemical properties of sohiong (Prunus nepalensis) fruit. J. Food Process. Preserv. 2021, 45, e15290. [Google Scholar] [CrossRef]
- Lou, S.N.; Lai, Y.C.; Huang, J.D.; Ho, C.T.; Ferng, L.H.A.; Chang, Y.C. Drying effect on flavonoid composition and antioxidant activity of immature kumquat. Food Chem. 2015, 171, 356–363. [Google Scholar] [CrossRef]
- Xu, Y.; Zang, Z.; Zhang, Q.; Wang, T.; Shang, J.; Huang, X.; Wan, F. Characteristics and quality analysis of radio frequency-hot air combined segmented drying of wolfberry (Lycium barbarum). Foods 2022, 11, 1645. [Google Scholar] [CrossRef] [PubMed]
- Wang, H.Y.; Qian, H.; Yao, W.R. Melanoidins produced by the Maillard reaction: Structure and biological activity. Food Chem. 2011, 128, 573–584. [Google Scholar] [CrossRef]
- Jiang, C.; Wan, F.; Zang, Z.; Zhang, Q.; Xu, Y.; Huang, X. Influence of far-infrared vacuum drying on drying kinetics and quality characteristics of Cistanche slices. J. Food Process. Preserv. 2022, 46, e17144. [Google Scholar] [CrossRef]
- Zhang, L.; Zhang, M.; Mujumdar, A.S. Development of flavor during drying and applications of edible mushrooms: A review. Dry. Technol. 2021, 39, 1685–1703. [Google Scholar] [CrossRef]
- Zhang, Q.; Wan, F.; Zang, Z.; Jiang, C.; Xu, Y.; Huang, X. Effect of ultrasonic far-infrared synergistic drying on the characteristics and qualities of wolfberry (Lycium barbarum L.). Ultrason. Sonochem. 2022, 89, 106134. [Google Scholar] [CrossRef]
- De Abreu, W.C.; Barcelos, M.D.F.P.; de Barros Vilas Boas, E.V.; da Silva, E.P. Total antioxidant activity of dried tomatoes marketed in Brazil. Int. J. Food Prop. 2014, 17, 639–649. [Google Scholar] [CrossRef]
- Xu, G.; Ye, X.; Chen, J.; Liu, D. Effect of heat treatment on the phenolic compounds and antioxidant capacity of citrus peel extract. J. Agric. Food Chem. 2007, 55, 330–335. [Google Scholar] [CrossRef] [PubMed]
- Li, X.; Liu, Y.; Ma, L.; Yu, H.; Tan, X.; Liu, J. Effect of far-infrared radiation temperature on drying characteristics and quality of Honeysuckle. Food Sci. 2017, 38, 69–76. [Google Scholar]
- Rice-Evans, C.A.; Miller, N.J.; Paganga, G. Structure-antioxidant activity relationships of flavonoids and phenolic acids. Free Radic. Biol. Med. 1996, 20, 933–956. [Google Scholar] [CrossRef]
- Canale, A.; Benelli, G.; Castagna, A.; Sgherri, C.; Poli, P.; Serra, A.; Mele, M.; Ranieri, A.; Signorini, F.; Bientinesi, M.; et al. Microwave-Assisted Drying for the Conservation of Honeybee Pollen. Materials 2016, 9, 363. [Google Scholar] [CrossRef]
- Zhao, S.; Lin, H.; Li, S.; Liu, C.; Meng, J.; Guan, W.; Liu, B. Modeling of Chilled/Supercooled Pork Storage Quality Based on the Entropy Weight Method. Animals 2022, 12, 1415. [Google Scholar] [CrossRef] [PubMed]







| Drying Condition | 30 s | 45 s | 60 s | 75 s |
|---|---|---|---|---|
| Microwave Pretreatment | Browning severe | Browning reduced | Browning reduced | Almost no browning |
| Steam Pretreatment | Browning severe | Browning reduced | Almost no browning | Almost no browning |
| Hot Water Blanching Pretreatment | Browning severe | Browning reduced | Almost no browning | Almost no browning |
| Drying Temperatures (°C) | Vacuum (MPa) | Rotation Speed (Hz) |
|---|---|---|
| 40 | −0.060 | 20 |
| 50 | −0.065 | 35 |
| 60 | −0.070 | 50 |
| Drying Conditions | Organic Acids (mg/g) | Flavonoids (mg/100 g) | Diterpenes (mg/g) | ||||
|---|---|---|---|---|---|---|---|
| Chlorogenic Acid | Isochlorogenic Acid A | Isochlorogenic Acid C | Luteoloside | Rutin | Quercetin | Loganin | |
| Microwave Pretreatment | 44.73 ± 0.34 a | 11.24 ± 0.21 a | 2.22 ± 0.08 b | 56.34 ± 0.42 a | 19.23 ± 0.29 ab | 17.74 ± 0.11 b | 2.84 ± 0.05 a |
| Steam Pretreatment | 38.56 ± 0.08 b | 9.55 ± 0.16 b | 2.47 ± 0.33 b | 54.23 ± 0.88 a | 20.08 ± 0.44 a | 16.75 ± 0.20 b | 2.65 ± 0.07 a |
| Hot Water Pretreatment | 34.78 ± 0.07 c | 8.09 ± 0.11 c | 3.46 ± 0.10 a | 37.1 ± 0.27 b | 18.26 ± 0.46 b | 16.35 ± 1.39 b | 2.23 ± 0.13 b |
| No Pretreatment | 18.95 ± 1.22 d | 3.38 ± 0.24 d | 0.63 ± 0.04 c | 36.05 ± 3.25 b | 16.47 ± 0.83 c | 20.24 ± 0.78 a | 1.44 ± 0.20 c |
| L | a | b | ∆E | |
|---|---|---|---|---|
| Microwave Pretreatment | 79.7 ± 0.16 a | −7.19 ± 0.07 c | 25.86 ± 0.17 c | 8.46 ± 0.15 b |
| Steam Pretreatment | 78.79 ± 0.10 b | −6.14 ± 0.11 b | 26.87 ± 0.33 b | 8.14 ± 0.17 b |
| Hot Water Pretreatment | 76.94 ± 1.24 cd | −6.73 ± 0.33 b | 25.88 ± 0.45 c | 7.99 ± 0.75 a |
| No Pretreatment | 77.49 ± 0.14 bc | −5.09 ± 0.09 a | 25.64 ± 0.30 c | 9.32 ± 0.23 b |
| Fresh | 75.89 ± 0.39 d | −11.97 ± 0.26 d | 31.71 ± 0.15 a | - |
| Drying Conditions | L | a | b | ∆E | Rehydration Ratio (Rf) |
|---|---|---|---|---|---|
| Fresh | 75.89 ± 0.39 f | −11.97 ± 0.26 f | 31.71 ± 0.15 a | - | - |
| Sun | 83.41 ± 0.10 a | −5.16 ± 0.07 b | 22.29 ± 0.19 e | 13.84 ± 0.21 a | 4.65 ± 0.06 e |
| 40 °C/35 Hz/−0.060 MPa | 78.79 ± 0.46 de | −6.52 ± 0.29 cd | 25.84 ± 0.18 d | 8.53 ± 0.28 cd | 5.27 ± 0.06 b |
| 50 °C/35 Hz/−0.060 MPa | 79.70 ± 0.16 b | −7.19 ± 0.07 e | 25.86 ± 0.17 d | 8.46 ± 0.15 cd | 5.29 ± 0.02 b |
| 60 °C/35 Hz/−0.060 MPa | 79.34 ± 0.32 cd | −6.93 ± 0.25 e | 26.68 ± 0.45 bc | 7.92 ± 0.58 e | 5.45 ± 0.04 a |
| 50 °C/20 Hz/−0.060 MPa | 79.19 ± 0.45 cde | −7.11 ± 0.24 e | 26.48 ± 0.21 bc | 7.87 ± 0.47 e | 5.25 ± 0.03 bc |
| 50 °C/50 Hz/−0.060 MPa | 79.69 ± 0.13 b | −7.14 ± 0.03 e | 26.33 ± 0.31 cd | 8.38 ± 0.15 de | 5.11 ± 0.03 d |
| 50 °C/35 Hz/−0.065 MPa | 79.68 ± 0.36 bc | −6.43 ± 0.04 c | 25.85 ± 0.01 d | 8.92 ± 0.12 c | 5.26 ± 0.02 bc |
| 50 °C/35 Hz/−0.070 MPa | 78.88 ± 0.33 de | −6.86 ± 0.10 de | 25.95 ± 0.13 d | 8.27 ± 0.11 de | 5.19 ± 0.04 c |
| Drying Conditions | Organic Acids (mg/g) | Flavonoids (mg/100 g) | Diterpenes (mg/g) | ||||
|---|---|---|---|---|---|---|---|
| Chlorogenic Acid | Isochlorogenic Acid A | Isochlorogenic Acid C | Luteoloside | Rutin | Quercetin | Loganin | |
| 40 °C/35 Hz/−0.060 MPa | 38.62 ± 0.32 e | 10.03 ± 0.47 c | 2.29 ± 0.13 ab | 54.87 ± 0.12 b | 18.96 ± 0.49 b | 16.96 ± 0.36 f | 2.25 ± 0.04 d |
| 50 °C/35 Hz/−0.060 MPa | 44.73 ± 0.34 a | 11.24 ± 0.21 a | 2.22 ± 0.08 ab | 56.34 ± 0.42 a | 19.23 ± 0.29 ab | 17.74 ± 0.11 de | 2.84 ± 0.05 a |
| 60 °C/35 Hz/−0.060 MPa | 40.23 ± 0.71 d | 10.63 ± 0.19 b | 2.14 ± 0.14 b | 54.11 ± 0.28 bc | 19.44 ± 0.09 ab | 18.41 ± 0.46 b | 2.59 ± 0.03 bc |
| 50 °C/20 Hz/−0.060 MPa | 41.38 ± 0.58 c | 10.68 ± 0.21 b | 2.18 ± 0.07 b | 51.29 ± 1.14 e | 19.48 ± 0.2 ab | 18.06 ± 0.22 bcd | 2.66 ± 0.15 b |
| 50 °C/50 Hz/−0.060 MPa | 42.64 ± 0.47 b | 11.41 ± 0.023 a | 2.36 ± 0.16 a | 53.23 ± 1.45 cd | 19.65 ± 0.05 a | 18.07 ± 0.08 bc | 2.35 ± 0.03 d |
| 50 °C/35 Hz/−0.065 MPa | 39.5 ± 0.84 de | 10.65 ± 0.16 b | 2.17 ± 0.05 ab | 50.76 ± 0.56 e | 19.63 ± 0.08 a | 17.54 ± 0.04 e | 2.26 ± 0.04 d |
| 50 °C/35 Hz/−0.070 MPa | 43.79 ± 0.84 a | 11.44 ± 0.06 a | 2.24 ± 0.11 ab | 51.9 ± 0.33 de | 19.76 ± 0.08 a | 17.83 ± 0.06 cde | 2.49 ± 0.05 c |
| Sun | 16.64 ± 0.08 g | 3.40 ± 0.03 d | 0.64 ± 0.09 c | 37.64 ± 0.46 g | 14.72 ± 0.06 c | 19.39 ± 0.38 a | 1.83 ± 0.06 e |
| Drying Parameters | Positive Ideal Solution Distance (D+) | Negative Ideal Solution Distance (D−) | Relative Closeness | Sorting Results |
|---|---|---|---|---|
| 40 °C/35 Hz/−0.060 MPa | 0.200 | 0.180 | 0.473 | 7 |
| 50 °C/35 Hz/−0.060 MPa | 0.087 | 0.279 | 0.763 | 1 |
| 60 °C/35 Hz/−0.060 MPa | 0.101 | 0.240 | 0.703 | 2 |
| 50 °C/20 Hz/−0.060 MPa | 0.139 | 0.226 | 0.619 | 4 |
| 50 °C/50 Hz/−0.060 MPa | 0.142 | 0.212 | 0.600 | 5 |
| 50 °C/35 Hz/−0.065 MPa | 0.182 | 0.178 | 0.495 | 6 |
| 50 °C/35 Hz/−0.070 MPa | 0.123 | 0.238 | 0.659 | 3 |
| Sun | 0.285 | 0.122 | 0.301 | 8 |
Disclaimer/Publisher’s Note: The statements, opinions and data contained in all publications are solely those of the individual author(s) and contributor(s) and not of MDPI and/or the editor(s). MDPI and/or the editor(s) disclaim responsibility for any injury to people or property resulting from any ideas, methods, instructions or products referred to in the content. |
© 2024 by the authors. Licensee MDPI, Basel, Switzerland. This article is an open access article distributed under the terms and conditions of the Creative Commons Attribution (CC BY) license (https://creativecommons.org/licenses/by/4.0/).
Share and Cite
Yang, X.; Ma, Z.; Wan, F.; Chen, A.; Zhang, W.; Xu, Y.; Zang, Z.; Huang, X. Different Pretreatment Methods to Strengthen the Microwave Vacuum Drying of Honeysuckle: Effects on the Moisture Migration and Physicochemical Quality. Foods 2024, 13, 3712. https://doi.org/10.3390/foods13223712
Yang X, Ma Z, Wan F, Chen A, Zhang W, Xu Y, Zang Z, Huang X. Different Pretreatment Methods to Strengthen the Microwave Vacuum Drying of Honeysuckle: Effects on the Moisture Migration and Physicochemical Quality. Foods. 2024; 13(22):3712. https://doi.org/10.3390/foods13223712
Chicago/Turabian StyleYang, Xiaoping, Zhengying Ma, Fangxin Wan, Ao Chen, Wenkang Zhang, Yanrui Xu, Zepeng Zang, and Xiaopeng Huang. 2024. "Different Pretreatment Methods to Strengthen the Microwave Vacuum Drying of Honeysuckle: Effects on the Moisture Migration and Physicochemical Quality" Foods 13, no. 22: 3712. https://doi.org/10.3390/foods13223712
APA StyleYang, X., Ma, Z., Wan, F., Chen, A., Zhang, W., Xu, Y., Zang, Z., & Huang, X. (2024). Different Pretreatment Methods to Strengthen the Microwave Vacuum Drying of Honeysuckle: Effects on the Moisture Migration and Physicochemical Quality. Foods, 13(22), 3712. https://doi.org/10.3390/foods13223712

