Cooking Alters the Metabolites of Onions and Their Ability to Protect Nerve Cells from Lead Damage
Abstract
1. Introduction
2. Materials and Methods
2.1. Plant Materials
2.2. Extraction Method
2.3. UHPLC–MS Analysis
2.4. Cell Proliferation Assay
2.5. Reactive Oxygen Species (ROS) Assay
2.6. Antioxidant Activity Assays
2.6.1. 1,1-Diphenyl-2-picrylhydrazyl (DPPH) Radical Scavenging Assay
2.6.2. 2,2′-Azino-bis(3-ethylbenzothiazoline-6-sulfonic Acid) (ABTS) Radical Scavenging Assay
2.6.3. Hydroxyl Radical Scavenging Assay
2.6.4. Superoxide Anion Radical Scavenging Assay
2.7. Lead(II) Ion Chelation Assay
2.8. Statistical Analysis
3. Results
3.1. Effect of Cooking on Onion Metabolomics
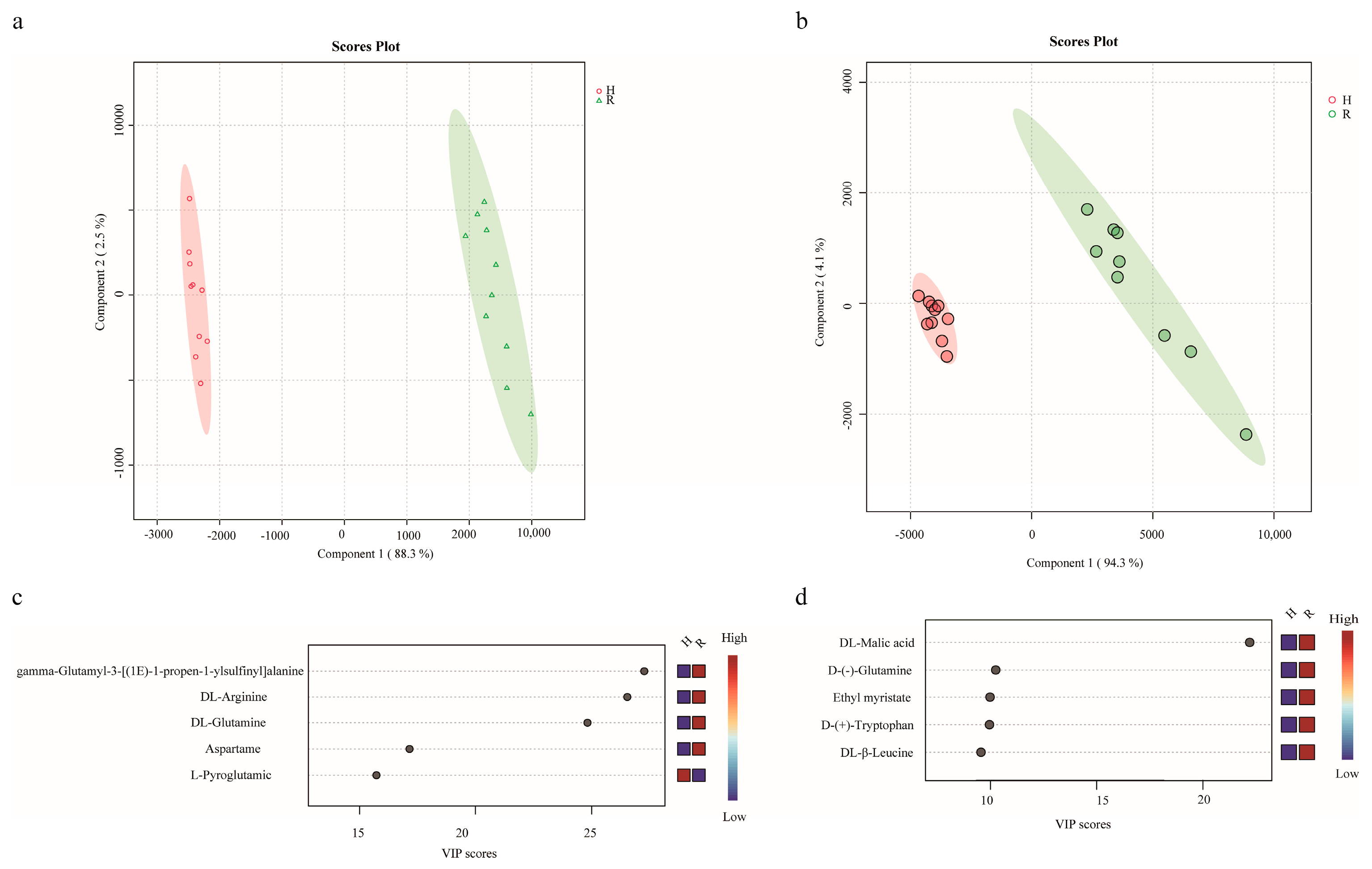
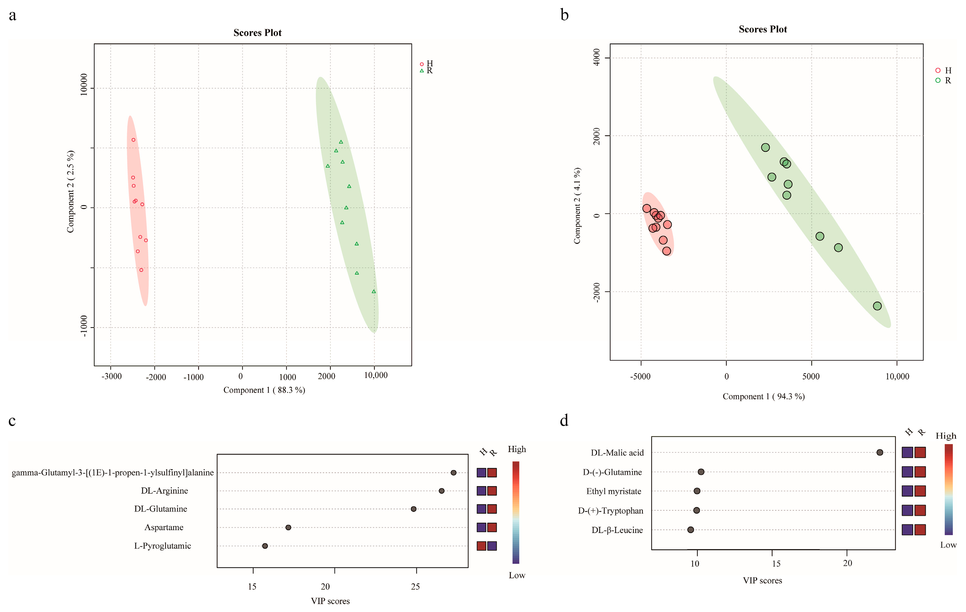
3.1.1. Partial Least Squares Discriminant Analysis (PLS–DA)
3.1.2. Analysis of Differential Compounds
3.1.3. Cluster Analysis of Raw and Cooked Onions
3.2. Protective Effect of Onions on Lead Damage in Nerve Cells
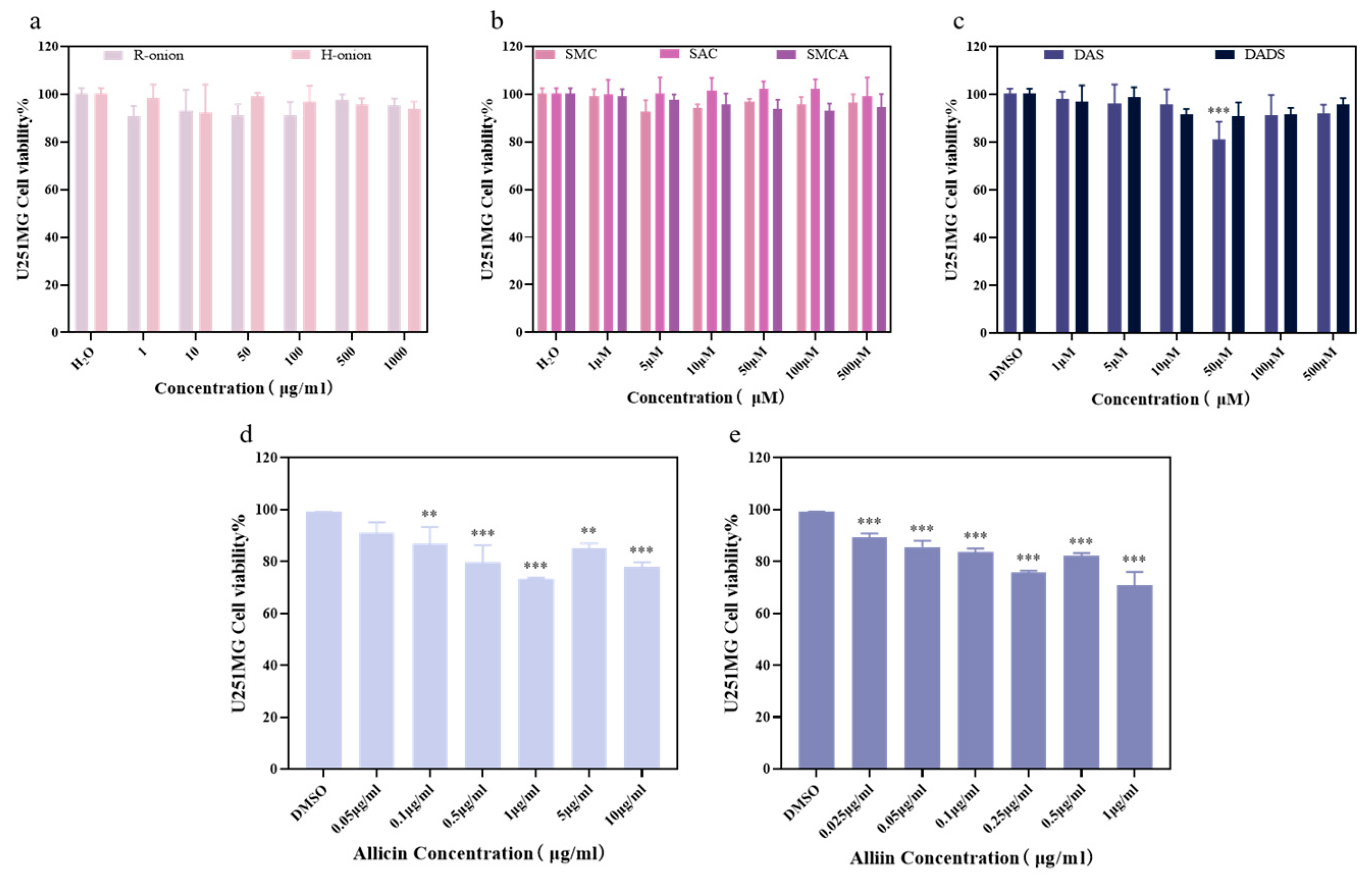
3.2.1. Cell Modeling and Cytotoxicity
3.2.2. Protective Effect of Onion Extracts on Neuronal Cell Damage Under Lead(II) Exposure
3.2.3. Antioxidant Capacity of Onion Extracts
3.2.4. Onions Protect Nerve Cells by Chelating Lead(II) Ions
4. Discussion
5. Conclusions
Supplementary Materials
Author Contributions
Funding
Institutional Review Board Statement
Informed Consent Statement
Data Availability Statement
Conflicts of Interest
Abbreviations
References
- Abdelrahman, M.; Ariyanti, N.A.; Sawada, Y.; Tsuji, F.; Hirata, S.; Hang, T.T.M.; Okamoto, M.; Yamada, Y.; Tsugawa, H.; Hirai, M.Y.; et al. Metabolome-Based Discrimination Analysis of Shallot Landraces and Bulb Onion Cultivars Associated with Differences in the Amino Acid and Flavonoid Profiles. Molecules 2020, 25, 5300. [Google Scholar] [CrossRef] [PubMed]
- Teshika, J.D.; Zakariyyah, A.M.; Zaynab, T.; Zengin, G.; Rengasamy, K.R.; Pandian, S.K.; Fawzi, M.M. Traditional and modern uses of onion bulb (Allium cepa L.): A systematic review. Crit. Rev. Food Sci. Nutr. 2019, 59 (Suppl. 1), S39–S70. [Google Scholar] [CrossRef] [PubMed]
- Moreno-Rojas, J.M.; Moreno-Ortega, A.; Ordóñez, J.L.; Moreno-Rojas, R.; Pérez-Aparicio, J.; Pereira-Caro, G. Development and validation of UHPLC-HRMS methodology for the determination of flavonoids, amino acids and organosulfur compounds in black onion, a novel derived product from fresh shallot onions (Allium cepa var. aggregatum). Lwt-Food Sci. Technol. 2018, 97, 376–383. [Google Scholar] [CrossRef]
- Li, J.; Dadmohammadi, Y.; Abbaspourrad, A. Flavor components, precursors, formation mechanisms, production and characterization methods: Garlic, onion, and chili pepper flavors. Crit. Rev. Food Sci. Nutr. 2021, 62, 8265–8287. [Google Scholar] [CrossRef]
- Williams, R.J.; Holladay, S.D.; Williams, S.M.; Gogal, R.M. Environmental Lead and Wild Birds: A Review. Rev. Environ. Contam. Toxicol. 2018, 245, 157–180. [Google Scholar] [PubMed]
- Harshitha, P.; Bose, K.; Dsouza, H.S. Influence of lead-induced toxicity on the inflammatory cytokines. Toxicology 2024, 503, 153771. [Google Scholar] [CrossRef]
- van Wijngaarden, E.; Dosemeci, M. Brain cancer mortality and potential occupational exposure to lead: Findings from the National Longitudinal Mortality Study, 1979–1989. Int. J. Cancer 2006, 119, 1136–1144. [Google Scholar] [CrossRef]
- Cai, S.; Liu, J.; Shi, X.; Hu, S.; Zhao, L. Allicin alleviated learning and memory deficits caused by lead exposure at developmental stage. Life Sci. 2019, 231, 116532. [Google Scholar] [CrossRef]
- Chen, L.J.; Yang, X.Q.; Jiao, H.L.; Zhao, B.L. Tea catechins protect against lead-induced cytotoxicity, lipid peroxidation, and membrane fluidity in HepG2 cells. Toxicol. Sci. 2002, 69, 149–156. [Google Scholar] [CrossRef]
- Shi, Y.; Tian, C.; Yu, X.; Fang, Y.; Zhao, X.; Zhang, X.; Xia, D. Protective Effects of Smilax glabra Roxb. Against Lead-Induced Renal Oxidative Stress, Inflammation and Apoptosis in Weaning Rats and HEK-293 Cells. Front. Pharmacol. 2020, 11, 556248. [Google Scholar] [CrossRef]
- Baran, E.J. Chelation therapies: A chemical and biochemical perspective. Curr. Med. Chem. 2010, 17, 3658–3672. [Google Scholar] [CrossRef] [PubMed]
- Böttcher, C.; Krähmer, A.; Stürtz, M.; Widder, S.; Schulz, H. Comprehensive metabolite profiling of onion bulbs (Allium cepa) using liquid chromatography coupled with electrospray ionization quadrupole time-of-flight mass spectrometry. Metabolomics 2017, 13, 35. [Google Scholar] [CrossRef]
- Jiang, S.; Shi, F.; Lin, H.; Ying, Y.; Luo, L.; Huang, D.; Luo, Z. Inonotus obliquus polysaccharides induces apoptosis of lung cancer cells and alters energy metabolism via the LKB1/AMPK axis. Int. J. Biol. Macromol. 2020, 151, 1277–1286. [Google Scholar] [CrossRef] [PubMed]
- Liu, M.-X.; Jin, L.; Sun, S.-J.; Liu, P.; Feng, X.; Cheng, Z.-L.; Liu, W.-R.; Guan, K.-L.; Shi, Y.-H.; Yuan, H.-X.; et al. Metabolic reprogramming by PCK1 promotes TCA cataplerosis, oxidative stress and apoptosis in liver cancer cells and suppresses hepatocellular carcinoma. Oncogene 2018, 37, 1637–1653. [Google Scholar] [CrossRef]
- Jing, L.; Ma, H.; Fan, P.; Gao, R.; Jia, Z. Antioxidant potential, total phenolic and total flavonoid contents of Rhododendron anthopogonoides and its protective effect on hypoxia-induced injury in PC12 cells. BMC Complement. Altern. Med. 2015, 15, 287. [Google Scholar] [CrossRef]
- Hong, J.; Hu, J.-Y.; Liu, J.-H.; Zhou, Z.; Zhao, A.-F. In vitro antioxidant and antimicrobial activities of flavonoids from Panax notoginseng flowers. Nat. Prod. Res. 2014, 28, 1260–1266. [Google Scholar] [CrossRef]
- Low, S.C.; Azmi, N.A.b.; Ong, C.S.; Lim, J.K. Environmental monitoring of trace metal pollutants using cellulosic-paper incorporating color change of azo-chromophore. Environ. Sci. Pollut. 2022, 29, 71614–71631. [Google Scholar] [CrossRef]
- Yuejuan, F.; Daozong, X. Study on Chelating Ability of Natural Product Extracts to Lead Ions by Spectrophotometric Method. Chin. Arch. Tradit. Chin. Med. 2016, 34, 295–298. [Google Scholar]
- Barciszewski, J.; Massino, F.; Clark, B.F.C. Kinetin—A multiactive molecule. Int. J. Biol. Macromol. 2007, 40, 182–192. [Google Scholar] [CrossRef]
- Miller, C.O.; Skoog, F.; Okumura, F.S.; Von Saltza, M.H.; Strong, F.M. Isolation, Structure and Synthesis of Kinetin, a Substance Promoting Cell Division1,2. J. Am. Chem. Soc. 1956, 78, 1375–1380. [Google Scholar] [CrossRef]
- Kadlecová, A.; Maková, B.; Artal-Sanz, M.; Strnad, M.; Voller, J. The plant hormone kinetin in disease therapy and healthy aging. Ageing Res. Rev. 2019, 55, 100958. [Google Scholar] [CrossRef] [PubMed]
- De Angelis, M.; Gobbetti, M. Environmental stress responses in Lactobacillus: A review. Proteomics 2004, 4, 106–122. [Google Scholar] [CrossRef]
- Dizdaroglu, M.; Bergtold, D.S. Characterization of free radical-induced base damage in DNA at biologically relevant levels. Anal. Biochem. 1986, 156, 182–188. [Google Scholar] [CrossRef]
- Park, Y.; Peoples, A.R.; Madugundu, G.S.; Sanche, L.; Wagner, J.R. Side-by-Side Comparison of DNA Damage Induced by Low-Energy Electrons and High-Energy Photons with Solid TpTpT Trinucleotide. J. Phys. Chem. B 2013, 117, 10122–10131. [Google Scholar] [CrossRef]
- Comunian, T.A.; Grassmann Roschel, G.; da Silva Anthero, A.G.; de Castro, I.A.; Dupas Hubinger, M. Influence of heated, unheated whey protein isolate and its combination with modified starch on improvement of encapsulated pomegranate seed oil oxidative stability. Food Chem. 2020, 326, 126995. [Google Scholar] [CrossRef]
- Wei, H.; Zhou, H.; Huang, L.; Zhang, Q.; Teng, J.; Wei, B.; Xia, N.; Qin, R.; Zhu, P. Effect of baking treatment on quality, nonvolatile and volatile compounds of Liupao tea. Int. J. Food Sci. Technol. 2023, 58, 5154–5167. [Google Scholar] [CrossRef]
- Coleman, S.; Linderman, R.; Hodgson, E.; Rose, R.L. Comparative metabolism of chloroacetamide herbicides and selected metabolites in human and rat liver microsomes. Environ. Health Perspect. 2000, 108, 1151–1157. [Google Scholar]
- Gazme, B.; Boachie, R.T.; Tsopmo, A.; Udenigwe, C.C. Occurrence, properties and biological significance of pyroglutamyl peptides derived from different food sources. Food Sci. Hum. Well 2019, 8, 268–274. [Google Scholar] [CrossRef]
- Feng, Y.-H.; Zhang, G.-D.; Zhu, P.-C.; Zhu, W.-H.; Li, Y.-Z.; Fan, X.-W. Metabolite profiles and antibacterial and antioxidant activities of leaf extracts of five Lonicera species: A comparative study. Chem. Biol. Technol. Agric. 2023, 10, 91. [Google Scholar] [CrossRef]
- He, X.; Yang, Y.; Yuan, X.; Sun, Y.; Li, Y. Chemical composition and anticonvulsant activities of herb pair of Gastrodia elata Blume-Acorus tatarinowii Schott decoction on experimentally induced seizures in mice. Metab. Brain Dis. 2023, 38, 1877–1893. [Google Scholar] [CrossRef]
- Bouzekri, O.; Elgamouz, S.; Ghaleb, A.; Amechrouq, A.; El Idrissi, M.; Choukrad, M. Valorization of perillaldehyde molecule contained in the essential oil of Ammodaucus leucotrichus Coss. from the Saharan zones of Morocco. J. Microbiol. 2022, 11, e4324. [Google Scholar] [CrossRef]
- Jia, X.; An, Q.; Zhang, N.; Ren, J.; Pan, S.; Zheng, C.; Zhou, Q.; Fan, G. Recent advances in the contribution of glucosinolates degradation products to cruciferous foods odor: Factors that influence degradation pathways and odor attributes. Crit. Rev. Food Sci. Nutr. 2024, 1–29. [Google Scholar] [CrossRef] [PubMed]
- Kondjoyan, A.; Portanguen, S.; Duchène, C.; Mirade, P.S.; Gandemer, G. Predicting the loss of vitamins B3 (niacin) and B6 (pyridoxamine) in beef during cooking. J. Food Eng. 2018, 238, 44–53. [Google Scholar] [CrossRef]
- MacKay, D.; Hathcock, J.; Guarneri, E. Niacin: Chemical forms, bioavailability, and health effects. Nutr. Rev. 2012, 70, 357–366. [Google Scholar] [CrossRef]
- Cai, H.; Shen, Y. Metabolomic and Physiological Analyses Reveal the Effects of Different Storage Conditions on Sinojackia xylocarpa Hu Seeds. Metabolites 2024, 14, 503. [Google Scholar] [CrossRef]
- Kung, P.-P.; Zehnder, L.R.; Meng, J.J.; Kupchinsky, S.W.; Skalitzky, D.J.; Johnson, M.C.; Maegley, K.A.; Ekker, A.; Kuhn, L.A.; Rose, P.W.; et al. Design, synthesis, and biological evaluation of novel human 5′-deoxy-5′-methylthioadenosine phosphorylase (MTAP) substrates. Bioorganic Med. Chem. Lett. 2005, 15, 2829–2833. [Google Scholar] [CrossRef]
- Yao, H.; Xu, Y.L.; Liu, W.; Lu, Y.; Gan, J.H.; Liu, Y.; Tao, N.P.; Wang, X.C.; Xu, C.H. Taste compounds generation and variation of broth in pork meat braised processing by chemical analysis and an electronic tongue system. J. Food Biochem. 2021, 46, e13766. [Google Scholar] [CrossRef] [PubMed]
- Le, H.T.N.; Van Roy, E.; Dendooven, E.; Peeters, L.; Theunis, M.; Foubert, K.; Pieters, L.; Tuenter, E. Alkaloids from Lepidium meyenii (Maca), structural revision of macaridine and UPLC-MS/MS feature-based molecular networking. Phytochemistry 2021, 190, 112863. [Google Scholar] [CrossRef] [PubMed]
- Li, X.; Yang, Z.; Deng, J.; Chen, C.; Xu, B.; Li, P. Effect of quercetin and oil water separation system on formation of β-carboline heterocyclic amines during frying process of braised chicken drumsticks. Curr. Res. Food Sci. 2023, 6, 100406. [Google Scholar] [CrossRef]
- Chang, C.-C.; Kao, T.-H.; Zhang, D.; Wang, Z.; Inbaraj, B.S.; Hsu, K.-Y.; Chen, B.H. Application of QuEChERS Coupled with HPLC-DAD-ESI-MS/MS for Determination of Heterocyclic Amines in Commercial Meat Products. Food Anal. Methods 2018, 11, 3243–3256. [Google Scholar] [CrossRef]
- Dabeek, W.M.; Marra, M.V. Dietary Quercetin and Kaempferol: Bioavailability and Potential Cardiovascular-Related Bioactivity in Humans. Nutrients 2019, 11, 2288. [Google Scholar] [CrossRef] [PubMed]
- de Vries, J.H.; Hollman, P.C.; Meyboom, S.; Buysman, M.N.; Zock, P.L.; van Staveren, W.A.; Katan, M.B. Plasma concentrations and urinary excretion of the antioxidant flavonols quercetin and kaempferol as biomarkers for dietary intake. Am. J. Clin. Nutr. 1998, 68, 60–65. [Google Scholar] [CrossRef]
- de Vries, J.H.; Hollman, P.C.; van Amersfoort, I.; Olthof, M.R.; Katan, M.B. Red wine is a poor source of bioavailable flavonols in men. J. Nutr. 2001, 131, 745–748. [Google Scholar] [CrossRef] [PubMed]
- Olthof, M.R.; Hollman, P.C.; Vree, T.B.; Katan, M.B. Bioavailabilities of quercetin-3-glucoside and quercetin-4′-glucoside do not differ in humans. J. Nutr. 2000, 130, 1200–1203. [Google Scholar] [CrossRef]
- Hollman, P.C.; van Trijp, J.M.; Buysman, M.N.; van der Gaag, M.S.; Mengelers, M.J.; de Vries, J.H.; Katan, M.B. Relative bioavailability of the antioxidant flavonoid quercetin from various foods in man. FEBS Lett. 1997, 418, 152–156. [Google Scholar] [CrossRef]
- Adan, A.; Kiraz, Y.; Baran, Y. Cell Proliferation and Cytotoxicity Assays. Curr. Pharm. Biotechnol. 2016, 17, 1213–1221. [Google Scholar] [CrossRef]
- Guo, Y.; Ma, H.; Huang, Q. Yeast β-glucan with different degrees of oxidation: Capability of adsorbing lead ions and protective effect against lead-induced PC12 cytotoxicity. Int. J. Biol. Macromol. 2022, 208, 1063–1071. [Google Scholar] [CrossRef]
- Li, N.; Wen, L.; Li, T.; Yang, H.; Qiao, M.; Wang, T.; Song, L.; Huang, X.; Li, M.; Bukyei, E.; et al. Alleviating Effects of Black Soybean Peptide on Oxidative Stress Injury Induced by Lead in PC12 Cells via Keap1/Nrf2/TXNIP Signaling Pathway. Nutrients 2022, 14, 3102. [Google Scholar] [CrossRef] [PubMed]
- Metrani, R.; Singh, J.; Acharya, P.; K. Jayaprakasha, G.; S. Patil, B. Comparative Metabolomics Profiling of Polyphenols, Nutrients and Antioxidant Activities of Two Red Onion (Allium cepa L.) Cultivars. Plants 2020, 9, 1077. [Google Scholar] [CrossRef]
- Schaich, K.M.; Tian, X.; Xie, J. Hurdles and pitfalls in measuring antioxidant efficacy: A critical evaluation of ABTS, DPPH, and ORAC assays. J. Funct. Foods 2015, 14, 111–125. [Google Scholar] [CrossRef]
- Nooshkam, M.; Varidi, M.; Bashash, M. The Maillard reaction products as food-born antioxidant and antibrowning agents in model and real food systems. Food Chem. 2019, 275, 644–660. [Google Scholar] [CrossRef] [PubMed]
- Flora, G.; Gupta, D.; Tiwari, A. Toxicity of lead: A review with recent updates. Interdiscip. Toxicol. 2012, 5, 47–58. [Google Scholar] [CrossRef] [PubMed]
- Bjørklund, G.; Crisponi, G.; Nurchi, V.M.; Cappai, R.; Buha Djordjevic, A.; Aaseth, J. A Review on Coordination Properties of Thiol-Containing Chelating Agents Towards Mercury, Cadmium, and Lead. Molecules 2019, 24, 3247. [Google Scholar] [CrossRef]
- Tandon, S.K.; Sharma, B.L.; Singh, S. Chelation in Metal Intoxication XXVII: Chelating Agents Containing Vicinal Thioether Groups as Antidotes of Lead Toxicity. Drug Chem. Toxicol. 1988, 11, 71–84. [Google Scholar] [CrossRef]
- Iciek, M.; Kowalczyk-Pachel, D.; Bilska-Wilkosz, A.; Kwiecień, I.; Górny, M.; Włodek, L. S-sulfhydration as a cellular redox regulation. Biosci. Rep. 2016, 36, e00304. [Google Scholar] [CrossRef]
- Feng, Y.; Fan, X.; Zhang, S.; Yu, M.; Wu, T.; Liang, Y.; Wang, C.; Yang, H. Effect of Thermal Processing on the Metabolic Components of Black Beans on Ultra-High-Performance Liquid Chromatography Coupled with High-Field Quadrupole-Orbitrap High-Resolution Mass Spectrometry. Molecules 2022, 27, 3919. [Google Scholar] [CrossRef] [PubMed]
- Moreno-Ortega, A.; Di Pede, G.; Mena, P.; Calani, L.; Del Rio, D.; Moreno-Rojas, J.M.; Pereira-Caro, G. Effects of colonic fermentation on the stability of fresh and black onion bioactives. Food Funct. 2022, 13, 4432–4444. [Google Scholar] [CrossRef]
- Deepika; Maurya, P.K. Health Benefits of Quercetin in Age-Related Diseases. Molecules 2022, 27, 2498. [Google Scholar] [CrossRef]
- Hegazy, E.; Sabry, A.; Khalil, W.K.B. Neuroprotective effects of onion and garlic root extracts against Alzheimer’s disease in rats: Antimicrobial, histopathological, and molecular studies. BioTechnologia 2022, 103, 153–167. [Google Scholar] [CrossRef]
- Song, H.; Cui, J.; Mossine, V.; Greenlief, C.; Fritsche, K.; Sun, G.; Gu, Z. Bioactive components from garlic on brain resiliency against neuroinflammation and neurodegeneration (Review). Exp. Ther. Med. 2019, 19, 1554–1559. [Google Scholar] [CrossRef]
- Shakoor, A.; Zhang, C.; Xie, J.; Yang, X. Maillard reaction chemistry in formation of critical intermediates and flavour compounds and their antioxidant properties. Food Chem. 2022, 393, 133416. [Google Scholar] [CrossRef] [PubMed]








Disclaimer/Publisher’s Note: The statements, opinions and data contained in all publications are solely those of the individual author(s) and contributor(s) and not of MDPI and/or the editor(s). MDPI and/or the editor(s) disclaim responsibility for any injury to people or property resulting from any ideas, methods, instructions or products referred to in the content. |
© 2024 by the authors. Licensee MDPI, Basel, Switzerland. This article is an open access article distributed under the terms and conditions of the Creative Commons Attribution (CC BY) license (https://creativecommons.org/licenses/by/4.0/).
Share and Cite
Zhao, L.; Wang, L.; Wang, N.; Gao, X.; Zhang, B.; Zhao, Y.; Wang, N. Cooking Alters the Metabolites of Onions and Their Ability to Protect Nerve Cells from Lead Damage. Foods 2024, 13, 3707. https://doi.org/10.3390/foods13223707
Zhao L, Wang L, Wang N, Gao X, Zhang B, Zhao Y, Wang N. Cooking Alters the Metabolites of Onions and Their Ability to Protect Nerve Cells from Lead Damage. Foods. 2024; 13(22):3707. https://doi.org/10.3390/foods13223707
Chicago/Turabian StyleZhao, Li, Liping Wang, Nan Wang, Xinchang Gao, Bin Zhang, Yufen Zhao, and Ning Wang. 2024. "Cooking Alters the Metabolites of Onions and Their Ability to Protect Nerve Cells from Lead Damage" Foods 13, no. 22: 3707. https://doi.org/10.3390/foods13223707
APA StyleZhao, L., Wang, L., Wang, N., Gao, X., Zhang, B., Zhao, Y., & Wang, N. (2024). Cooking Alters the Metabolites of Onions and Their Ability to Protect Nerve Cells from Lead Damage. Foods, 13(22), 3707. https://doi.org/10.3390/foods13223707

