Comparative Analysis of Individual Carotenoid Profiles in Yellow- and White-Fleshed Potatoes (Solanum tuberosum L.) During Tuber Development
Abstract
1. Introduction
2. Materials and Methods
2.1. Plant Materials
2.2. Color Measurement
2.3. Determination of Carotenoids
2.3.1. Chemicals and Reagents
2.3.2. Sample Preparation and Extraction
2.3.3. Ultra-Performance Liquid Chromatography (UPLC) Conditions
2.3.4. APCI-Q Trap-MS/MS
2.4. Data Processing
3. Results
3.1. Color Assessment
3.2. Carotenoids Composition
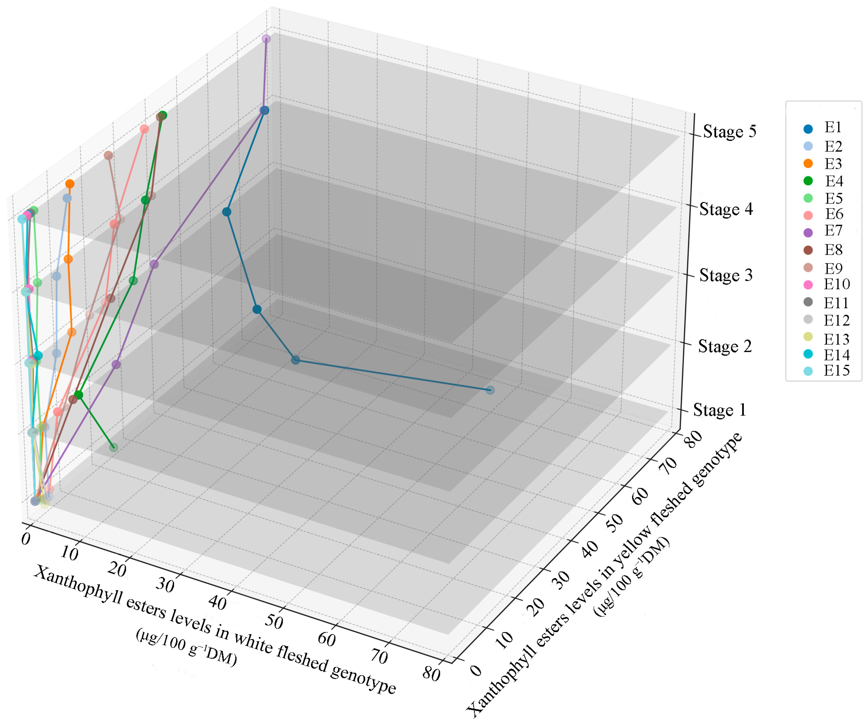
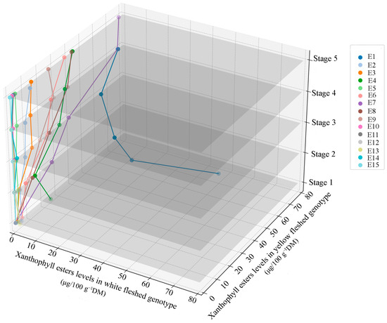
3.3. Individual Carotenoid Contents
3.4. Detection of Fatty Acids
3.5. Correlation Analysis
4. Discussion
5. Conclusions
Supplementary Materials
Author Contributions
Funding
Institutional Review Board Statement
Informed Consent Statement
Data Availability Statement
Conflicts of Interest
References
- Prihastyanti, M.N.U.; Rosita, D.C.; Lukitasari, D.M. How to fulfill carotenoid needs during pregnancy and for the growth and development of infants and children—A review. eFood 2021, 3, 101–112. [Google Scholar] [CrossRef]
- Fernández-García, E.; Carvajal-Lérida, I.; Jarén-Galán, M.; Garrido-Fernández, J.; Pérez-Gálvez, A.; Hornero-Méndez, D. Carotenoids bioavailability from foods: From plant pigments to efficient biological activities. Food Res. Int. 2012, 2, 438–450. [Google Scholar] [CrossRef]
- Bonet, M.L.; Canas, J.A.; Ribot, J.; Palou, A. Carotenoids and their conversion products in the control of adipocyte function, adiposity and obesity. Arch. Biochem. Biophys. 2015, 572, 112–125. [Google Scholar] [CrossRef] [PubMed]
- Milani, A.; Basirnejad, M.; Shahbazi, S.; Bolhassani, A. Carotenoids: Biochemistry, pharmacology and treatment. Br. J. Pharmacol. 2017, 174, 1290–1324. [Google Scholar] [CrossRef]
- Eggersdorfer, M.; Wyss, A. Carotenoids in human nutrition and health. Arch. Biochem. Biophys. 2018, 652, 18–26. [Google Scholar] [CrossRef]
- Lo, H.M.; Chen, C.L.; Yang, C.M.; Wu, P.H.; Tsou, C.J.; Chiang, K.W.; Wu, W.B. The carotenoid lutein enhances matrix metalloproteinase-9 production and phagocytosis through intracellular ROS generation and ERK1/2, p38 MAPK, and RAR beta activation in murine macrophages. J. Leukoc. Biol. 2013, 93, 723–735. [Google Scholar] [CrossRef]
- Lee, W.; Yeo, Y.; Cho, S.O.K.; Park, Y.; Park, S.K.P.S. Compositional analyses of diverse phytochemicals and polar metabolites from different-colored potato (Solanum tubersum L.) tubers. Food Sci. Biotechnol. 2017, 26, 1379–1389. [Google Scholar] [CrossRef]
- Payyavula, R.; Navarre, D.; Pantoja, J.K.A. Developmental effects on phenolic, flavonol, anthocyanin, and carotenoid metabolites and gene expression in potatoes. J. Agric. Food. Chem. 2013, 30, 7357–7365. [Google Scholar] [CrossRef]
- Beltrán-Penagos, M.A.; Sánchez-Camargo, A.D.P.; Narváez-Cuenca, C.E. Proximal composition bioactive compounds and biorefinery approach in potato tubers of Solanum tuberosum Group Phureja: A review. Int. J. Food Sci. Tech. 2019, 55, 2282–2295. [Google Scholar] [CrossRef]
- Fernandez-Orozco, R.; Gallardo-Guerrero, L.; Hornero-Méndez, D. Carotenoid profiling in tubers of different potato (Solanum sp.) cultivars: Accumulation of carotenoids mediated by xanthophyll esterification. Food Chem. 2013, 141, 2864–2872. [Google Scholar] [CrossRef]
- Nkova, K.H.; Zora, K.K.; Karel, H.; Vladimı, R.P.; Josef, V.; Lachman, J. Influence of flesh colour, year and growing area on carotenoid and anthocyanin content in potato tubers. J. Food Compos. Anal. 2013, 32, 20–27. [Google Scholar] [CrossRef]
- Sulli, M.; Mandolino, G.; Sturaro, M.; Onofri, C.; Diretto, G.; Parisi, B.; Giuliano, G. Molecular and biochemical characterization ofa potato collection with contrasting tuber carotenoid content. PLoS ONE 2017, 9, e184143. [Google Scholar] [CrossRef]
- Šulc, M.; Kotíková, Z.; Paznocht, L.; Lachman, J. Changes in Carotenoid Profile during Potato (Solanum tuberosum L.) Tuber Maturation. Am. J. Potato Res. 2021, 98, 85–92. [Google Scholar] [CrossRef]
- Burgos, G.; Elisa, S.; Walter, A.; Mariella, A.; Lupita, M.O.; Kimura, M.; Merideth, B. Total and individual carotenoid profiles in Solanum phureja of cultivated potatoes: I. Concentrations and relationships as determined by spectrophotometry and HPLC. J. Food Compos. Anal. 2009, 22, 503–508. [Google Scholar] [CrossRef]
- Watkins, J.L. Uncovering the secrets to vibrant flowers: The role of carotenoid esters and their interaction with plastoglobules in plant pigmentation. New Phytol. 2023, 240, 7–9. [Google Scholar] [CrossRef]
- Fishwick, M.; Wright, A. Isolation and characterization of amyloplast envelope membranes from Solanum tuberosum. Phytochemistry 1980, 1, 55–59. [Google Scholar] [CrossRef]
- Li, R.L.; Zeng, Q.; Zhang, X.; Jing, J.; Xiaoyu, G.; Lun, Z.; Yi, B.; Tu, J.; Fu, T.; Wei, J.; et al. Xanthophyll esterases in association with fibrillins control the stable storage of carotenoids in yellow flowers of rapeseed (Brassica juncea). New Phytol. 2023, 240, 285–301. [Google Scholar] [CrossRef]
- Morris, W.L.; Ducreux, L.; Griffiths, D.W.; Stewart, D.; Davies, H.V.; Taylor, M.A. Carotenogenesis during tuber development and storage in potato. J. Exp. Bot. 2004, 55, 975–982. [Google Scholar] [CrossRef]
- Rodrıguez, G.R.; Moyseenko, J.B.; Robbins, M.D.; Huarachi Morejon, N.; Francis, D.M.; van der Knaap, E. Tomato analyzer: A useful software application to collect accurate and detailed morphological and colorimetric data from two-dimensional objects. J. Vis. Exp. JoVE 2010, 37, 1856. [Google Scholar] [CrossRef]
- Jia, R.; Zhang, R.; Sunil, S.G.; Tang, C.; Jiang, B.; Li, G.; Wang, Z. Integrated analysis of carotenoid metabolites and transcriptome identifies key genes controlling carotenoid compositions and content in sweetpotato tuberous roots (Ipomoea batatas L.). Front. Plant Sci. 2022, 13, 993682. [Google Scholar] [CrossRef]
- Yang, S.; Tian, X.; Wang, Z.; Wei, X.; Zhao, Y.; Su, H.; Zhao, X.; Tian, B.; Yuan, Y.; Zhang, X.W. Fine mapping and candidate gene identification of a white flower gene BrWF3 in Chinese Cabbage (Brassica rapa L. ssp. pekinensis). Front. Plant Sci. 2021, 12, 646222. [Google Scholar] [CrossRef] [PubMed]
- Andre, C.M.; Ghislain, M.; Bertin, P.; Oufir, M.; del Rosario Herrera, M.; Hoffmann, L.; Hausman, J.-F.; Larondelle, Y.; Evers, D. Andean potato cultivars (Solanum tuberosum L.) as a source of antioxidant and mineral micronutrients. J. Agric. Food Chem. 2007, 55, 366–378. [Google Scholar] [CrossRef] [PubMed]
- Mashaba, C.S.; Barros, E. Screening South African potato, tomato and wheat cultivars for five carotenoids. S. Afr. J. Sci. 2011, 9, 507–512. [Google Scholar] [CrossRef]
- Zhou, X.; Ryan, M.; Fei, Z.; Anne-Marie, W.; Van Eck, J.; Brown, C.; Giovannoni, J.; Li, L. Regulatory control of high levels of carotenoid accumulation in potato tubers. Plant Cell Environ. 2011, 34, 1020–1030. [Google Scholar] [CrossRef]
- Burmeister, A.; Bondiek, S.; Apel, L.; Kühne, C.; Hillebrand, S.; Fleischmann, P. Comparison of carotenoid and anthocyanin profiles of raw and boiled Solanum tuberosum and Solanum phureja tubers. J. Food Compos. Anal. 2011, 24, 865–872. [Google Scholar] [CrossRef]
- Breithaupt, D.E.; Bamedi, A. Carotenoids and Carotenoid Esters in Potatoes (Solanum tuberosum L.): New Insights into an Ancient Vegetable. J. Agric. Food Chem. 2002, 50, 7175–7181. [Google Scholar] [CrossRef]
- Zhang, Q.; Yaru, L.; Zhang, R.; Dejing, S.; Nan, L.; Peng, G.; Yihan, W.; Shang, F.; Yanpei, L. Transcriptome and carotenoids profiling of flowers in different Osmanthus fragrans cultivars provide insight into transcriptional control network of carotenoid-related genes expression. Sci. Hortic. 2022, 303, 111201. [Google Scholar] [CrossRef]
- Netlak, P.; Ratri, B.; Charles, A.; Andrew, C.A.; Imsabai, W. β-Carotene and lutein accumulation, and carotenoid biosynthetic gene expression during fruit development and fruit ripening of A genome banana. Sci. Hortic. 2023, 307, 111484. [Google Scholar] [CrossRef]
- Zheng, W.; Yu, S.; Zhang, W.; Zhang, S.; Fu, J.; Ying, H.; Gesang, P.; Liu, S.; Zhao, F.; Wu, Q.; et al. The content and diversity of carotenoids associated with high-altitude adaptation in Tibetan peach fruit. Food Chem. 2023, 398, 133909. [Google Scholar] [CrossRef]
- Sheng, O.; Yin, Z.; Huang, W.; Chen, M.; Du, M.; Kong, Q.; Fernie, A.R.; Yi, G.; Yan, S. Metabolic profiling reveals genotype-associated alterations in carotenoid content during banana postharvest ripening. Food Chem. 2023, 403, 134380. [Google Scholar] [CrossRef]
- Cho, K.; Cho, K.-S.; Sohn, H.-B.; Ha, I.J.; Hong, S.-Y.; Lee, H.; Kim, Y.-M.; Nam, M.H. Network analysis of the metabolome and transcriptome reveals novel regulation of potato pigmentation. J. Exp. Bot. 2016, 67, 1519–1533. [Google Scholar] [CrossRef] [PubMed]
- Zhang, Q.; Wang, L.; Liu, Z.; Zhao, Z.; Zhao, J.; Wang, Z.; Zhou, G.; Liu, P.; Liu, M. Transcriptome and metabolome profiling unveil the mechanisms of Ziziphus jujuba Mill. peel coloration. Food Chem. 2020, 312, 125903. [Google Scholar] [CrossRef] [PubMed]
- Murillo, E.; Antonio, J.M.; Portugal, F. Screening of vegetables and fruits from Panama for rich sources of lutein and zeaxanthin. Food Chem. 2010, 122, 167–172. [Google Scholar] [CrossRef]
- Karniel, U.; Amit, K.; Dani, Z.A.; Hirschberg, J. Development of zeaxanthin-rich tomato fruit through genetic manipulations of carotenoid biosynthesis. Plant Biotechnol. J. 2020, 18, 2292–2303. [Google Scholar] [CrossRef]
- Lu, W.; Haynes, K.; Wiley, E.; Clevidence, B. Carotenoid content and color in diploid Potatoes. J. Amer. Soc. Hort. Sci. 2001, 6, 722–726. [Google Scholar] [CrossRef]
- Ianculov, I.; Dumbravă, D.; Widmann, N.; Goian, M.; Moldovan, C. Determination of the carotenoidic compounds from potato tubers (Solanum tuberosum). Lucr. Stiintifice Zooteh. Si Biotehnol. 2008, 1, 99–103. [Google Scholar]
- Kobayashi, A.; Ohara-Takada, A.; Shogo, T.; Matsuura-Endo, C.; Takada, N.; Yoshiki, U.; Nakao, T.; Yoshida, T.; Hayashi, K.; Mori, M. Breeding of potato variety “Inca-no-hitomi” with a very high carotenoid content. Breed. Sci. 2008, 58, 77–82. [Google Scholar] [CrossRef][Green Version]
- Mercadante, A.Z.; Rodrigues, D.B.; Petry, F.C.; Mariutti, L.R.B. Carotenoid esters in foods-a review and practical directions on analysis and occurrence. Food Res. Int. (Ott. Ont.) 2017, 99, 830–850. [Google Scholar] [CrossRef]
- Melendez-Martinez, A.J.; Vicario, I.M.; Heredia, F.J. Rapid assessment of vitamin A activity through objective color measurements for the quality control of orange juices with diverse carotenoid profiles. J. Agric. Food. Chem. 2007, 55, 2808–2815. [Google Scholar] [CrossRef]
- Zhou, W.; Niu, Y.; Ding, X.; Zhao, S.; Li, Y.; Fan, G.; Zhang, S.; Liao, K. Analysis of carotenoid content and diversity in apricots (Prunus armeniaca L.) grown in China. Food Chem. 2020, 330, 127223. [Google Scholar] [CrossRef]
- Ruiz, D.; Reich, M.; Bureau, S.; Renard, C.M.; Audergon, J.M. Application of reflectance colorimeter measurements and infrared spectroscopy methods to rapid and nondestructive evaluation of carotenoids content in apricot (Prunus armeniaca L.). J. Agric. Food. Chem. 2008, 56, 4916–4922. [Google Scholar] [CrossRef] [PubMed]






| L* | a* | b* | C* | H° | |
|---|---|---|---|---|---|
| WS1 | 54.79 ± 1.13 bc | 0.56 ± 0.08 cd | 5.06 ± 0.04 f | 5.09 ± 0.05 f | 83.66 ± 0.79 c |
| WS2 | 52.76 ± 0.95 cd | 0.78 ± 0.05 b | 4.19 ± 0.05 h | 4.26 ± 0.06 h | 79.44 ± 0.57 d |
| WS3 | 57.06 ± 0.72 ab | 0.82 ± 0.06 ab | 4.69 ± 0.12 g | 4.76 ± 0.12 g | 80.12 ± 0.48 d |
| WS4 | 49.96 ± 0.86 e | 0.79 ± 0.01 b | 4.37 ± 0.05 h | 4.44 ± 0.05 h | 79.78 ± 0.21 d |
| WS5 | 57.73 ± 0.83 a | 0.95 ± 0.04 a | 5.04 ± 0.07 f | 5.12 ± 0.06 f | 79.32 ± 0.62 d |
| YS1 | 51.01 ± 0.36 de | 0.56 ± 0.02 cd | 6.97 ± 0.09 e | 6.99 ± 0.09 e | 85.38 ± 0.12 b |
| YS2 | 52.81 ± 1.04 cd | 0.36 ± 0.06 e | 9.83 ± 0.09 a | 9.84 ± 0.09 a | 87.90 ± 0.34 a |
| YS3 | 56.10 ± 0.82 ab | 0.63 ± 0.04 cd | 8.32 ± 0.12 c | 8.34 ± 0.12 c | 85.69 ± 0.18 b |
| YS4 | 52.32 ± 0.55 cde | 0.54 ± 0.02 d | 8.62 ± 0.05 b | 8.63 ± 0.05 b | 86.38 ± 0.12 b |
| YS5 | 56.77 ± 0.64 ab | 0.69 ± 0.01 bc | 7.97 ± 0.07 d | 8.00 ± 0.07 d | 85.03 ± 0.10 b |
| Peak Number | Retention Time (min) | Tentative Assignment | Q1 (Da) | Q3 (Da) | Ionization Model | Molecular Weight |
|---|---|---|---|---|---|---|
| 1 | 1.58 | violaxanthin | 601.4 | 221 | [M+H]+ | 600.4179 |
| 2 | 1.95 | neoxanthin | 601.4 | 565.5 | [M+H]+ | 600.4179 |
| 3 | 2.88 | antheraxanthin | 585.5 | 175.4 | [M+H]+ | 584.4229 |
| 4 | 4.06 | lutein | 551.5 | 175.4 | [M+H-18]+ | 568.428 |
| 5 | 4.64 | zeaxanthin | 569.4 | 477.5 | [M+H]+ | 568.428 |
| 6 | 4.75 | canthaxanthin | 565.5 | 203.3 | [M+H]+ | 564.8 |
| 7 | 5.53 | ε-carotene | 537.6 | 123.2 | [M+H]+ | 536.438232 |
| 8 | 5.55 | echinenone | 551.6 | 203.1 | [M+H]+ | 550.9 |
| 9 | 5.69 | violaxanthin laurate | 783.7 | 583.4 | [M+H-18]+ | 800.7 |
| 10 | 5.92 | α-carotene | 537.5 | 123.2 | [M+H]+ | 536.438232 |
| 11 | 5.99 | violaxanthin myristate | 811.8 | 793.7 | [M+H]+ | 810.8 |
| 12 | 6.22 | violaxanthin dibutyrate | 741.6 | 653.5 | [M+H]+ | 740.6 |
| 13 | 6.28 | β-carotene | 537.6 | 177.1 | [M+H]+ | 536.4 |
| 14 | 6.28 | violaxanthin palmitate | 839.8 | 821.8 | [M+H]+ | 838.8 |
| 15 | 6.59 | lutein myristate | 761.8 | 533.5 | [M+H-18]+ | 778.8 |
| 16 | 6.64 | violaxanthin dilaurate | 966.7 | 948.8 | [M+H]+ | 965.7 |
| 17 | 6.82 | violaxanthin-myristate-laurate | 993.8 | 975.7 | [M+H]+ | 992.8 |
| 18 | 6.95 | lutein palmitate | 789.8 | 533.5 | [M+H-18]+ | 806.8 |
| 19 | 7.01 | violaxanthin dimyristate | 1021.8 | 793.7 | [M+H]+ | 1020.8 |
| 20 | 7.18 | lutein dilaurate | 733.5 | 533.3 | [M+H-201]+ | 933.5 |
| 21 | 7.22 | violaxanthin-myristate-palmitate | 1050 | 793.8 | [M+H]+ | 1049 |
| 22 | 7.35 | lutein dimyristate | 761.8 | 533.5 | [M+H-228]+ | 988.8 |
| 23 | 7.39 | violaxanthin dipalmitate | 1077.9 | 821.7 | [M+H]+ | 1076.9 |
| 24 | 7.63 | zeaxanthin dimyristate | 990 | 761.8 | [M+H]+ | 989 |
| 25 | 7.95 | zeaxanthin dipalmitate | 789.5 | 533.5 | [M+H-256]+ | 1045.1 |
| Compound Number | Individual Carotenoid | WS1 | WS2 | WS3 | WS4 | WS5 | YS1 | YS2 | YS3 | YS4 | YS5 |
|---|---|---|---|---|---|---|---|---|---|---|---|
| 1 | α-carotene | 4.04 ± 1.45 a | nd | nd | nd | 0.96 ± 0.24 b | nd | nd | nd | nd | 2.43 ± 0.62 ab |
| 2 | β-carotene | 18.24 ± 1.06 a | 10.17 ± 2.69 b | 3.12 ± 0.54 c | 3.14 ± 0.55 c | 5.37 ± 0.42 c | 9.91 ± 1.37 b | 5.71 ± 1.27 c | 1.71 ± 0.27 c | nd | 2.93 ± 0.74 c |
| 3 | ε-carotene | 0.37 ± 0.07 | 0.35 ± 0.08 | nd | nd | nd | nd | nd | nd | nd | nd |
| 4 | lutein | 371.93 ± 34.5 ab | 215.55 ± 23.21 d | 165.66 ± 8.97 d | 148.79 ± 18.22 d | 184.80 ± 21.65 d | 430.06 ± 4.31 a | 298.03 ± 32.09 c | 286.75 ± 9.26 c | 311.64 ± 26.15 bc | 375.10 ± 22.38 ab |
| 5 | violaxanthin | 197.26 ± 13.19 c | 139.40 ± 27.43 cd | 77.44 ± 4.14 cd | 46.83 ± 7.61 d | 39.12 ± 3.27 d | 679.97 ± 84.14 a | 714.58 ± 55.96 a | 386.02 ± 14.00 b | 340.61 ± 24.12 b | 399.08 ± 52.74 b |
| 6 | antheraxanthin | 12.71 ± 1.76 a | 7.33 ± 0.97 a | 12.18 ± 2.81 a | 17.02 ± 3.50 a | 8.78 ± 0.96 a | 39.35 ± 5.47 b | 29.33 ± 12.27 bc | 75.99 ± 9.06 a | 94.95 ± 4.4 a | 81.68 ± 11.45 a |
| 7 | zeaxanthin | 6.53 ± 0.99 cd | 4.20 ± 0.91 de | 3.67 ± 0.24 e | 3.34 ± 0.58 e | 4.08 ± 1.48 de | 10.99 ± 0.44 a | 4.32 ± 0.83 de | 8.88 ± 0.60 abc | 10.01 ± 0.97 ab | 7.33 ± 0.46 bc |
| 8 | neoxanthin | 41.35 ± 3.86 c | 19.93 ± 3.52 d | 10.24 ± 1.11 de | 7.99 ± 0.54 e | 5.60 ± 0.23 e | 87.63 ± 6.06 a | 67.36 ± 6.88 b | 37.96 ± 0.44 c | 32.96 ± 3.07 c | 34.56 ± 3.55 c |
| 9 | canthaxanthin | nd | nd | nd | nd | nd | nd | 0.05 ± 0.02 | nd | nd | nd |
| 10 | echinenone | 0.18 ± 0.03 | nd | nd | 0.06 ± 0.02 | nd | 0.08 ± 0.04 | 0.12 ± 0.08 | nd | nd | nd |
| 11 | violaxanthin myristate | 49.42 ± 5.33 b | 26.07 ± 3.04 de | 23.59 ± 2.82 de | 14.25 ± 2.07 e | 14.13 ± 0.15 e | 70.80 ± 3.09 a | 42.77 ± 5.16 bc | 34.32 ± 6.32 cd | 40.09 ± 3.12 bc | 53.09 ± 3.22 b |
| 12 | lutein myristate | 1.18 ± 0.26 d | 0.89 ± 0.15 d | 2.26 ± 0.39 cd | 1.54 ± 0.62 cd | 2.38 ± 0.61 cd | 2.41 ± 0.29 cd | 2.65 ± 0.82 cd | 4.95 ± 1.63 bc | 6.93 ± 0.35 ab | 9.70 ± 2.10 a |
| 13 | lutein dimyristate | nd | 0.39 ± 0.01 b | 0.57 ± 0.265 b | nd | nd | 1.19 ± 0.21 b | 2.76 ± 0.92 b | 12.11 ± 2.96 a | 12.76 ± 0.47 a | 14.10 ± 2.62 a |
| 14 | violaxanthin-myristate-laurate | 2.14 ± 0.67 d | nd | nd | nd | nd | 21.19 ± 0.88 bc | 14.21 ± 5.66 cd | 32.15 ± 7.18 ab | 36.72 ± 1.97 a | 42.79 ± 4.16 a |
| 15 | lutein palmitate | 0.59 ± 0.19 c | 0.35 ± 0.11 c | 0.76 ± 0.09 bc | nd | nd | 0.63 ± 0.17 c | 2.07 ± 0.54 b | 1.13 ± 0.45 bc | 3.56 ± 0.4 a | 3.41 ± 0.74 a |
| 16 | violaxanthin dimyristate | nd | nd | nd | nd | nd | 4.41 ± 0.06 b | 7.78 ± 3.52 b | 23.38 ± 5.59 a | 26.87 ± 3.24 a | 36.99 ± 5.62 a |
| 17 | violaxanthin palmitate | nd | nd | nd | nd | nd | nd | 26.00 ± 8.52 b | 38.85 ± 2.85 b | 75.76 ± 8.72 a | 77.03 ± 1.33 a |
| 18 | violaxanthin-myristate-palmitate | nd | nd | nd | nd | nd | nd | 12.48 ± 5.16 c | 25.04 ± 0.44 b | 38.62 ± 1.20 a | 42.10 ± 5.51 a |
| 19 | violaxanthin dipalmitate | nd | nd | nd | nd | nd | nd | 9.83 ± 1.78 c | 18.46 ± 1.11 b | 28.82 ± 0.25 a | 25.80 ± 2.02 a |
| 20 | zeaxanthin dimyristate | nd | nd | nd | nd | nd | nd | nd | 0.62 ± 0.16 b | 1.07 ± 0.13 ab | 1.42 ± 0.55 a |
| 21 | lutein dilaurate | nd | nd | nd | nd | nd | nd | 0.29 ± 0.02 b | 1.27 ± 0.22 b | 0.45 ± 0.14 b | 2.39 ± 0.17 a |
| 22 | violaxanthin laurate | 1.26 ± 0.77 ab | 0.45 ± 0.07 b | 0.21 ± 0.08 b | nd | nd | 1.61 ± 0.06 a | nd | nd | nd | nd |
| 23 | violaxanthin dibutyrate | 2.00 ± 1.04 | nd | 0.65 ± 0.03 | nd | nd | nd | nd | nd | nd | nd |
| 24 | violaxanthin dilaurate | nd | nd | nd | nd | nd | nd | nd | 2.81 ± 1.75 | nd | 1.64 ± 0.79 |
| 25 | zeaxanthin dipalmitate | nd | nd | nd | 0.15 ± 0.03 | nd | nd | nd | nd | nd | nd |
| Index | Compounds | WS1 | WS2 | WS3 | WS4 | WS5 | YS1 | YS2 | YS3 | YS4 | YS5 |
|---|---|---|---|---|---|---|---|---|---|---|---|
| C10-0 | decanoic acid | 0.07 ± 0.006 a | 0.05 ± 0.003 bc | 0.04 ± 0.001 c | 0.04 ± 0.001 c | 0.04 ± 0.002 c | 0.05 ± 0.006 bc | 0.06 ± 0.007 ab | 0.04 ± 0.003 c | 0.05 ± 0.01 bc | 0.04 ± 0.002 c |
| C16-1T | trans-9-palmitelaidic acid | nd | 0.20 ± 0.20 | nd | nd | nd | nd | 0.06 ± 0.06 | nd | nd | nd |
| C18-2n6t | linolelaidic acid | 0.50 ± 0.09 a | 0.14 ± 0.005 b | 0.14 ± 0.02 b | 0.13 ± 0.002 b | 0.14 ± 0.003 b | 0.54 ± 0.02 a | 0.15 ± 0.01 b | 0.17 ± 0.01 b | 0.16 ± 0.006 b | 0.16 ± 0.004 b |
| C9-0 | nonanoic acid | 0.49 ± 0.11 a | 0.15 ± 0.01 b | 0.12 ± 0.009 b | 0.13 ± 0.003 b | 0.13 ± 0.006 b | 0.15 ± 0.01 b | 0.18 ± 0.01 b | 0.11 ± 0.02 b | 0.17 ± 0.04 b | 0.11 ± 0.006 b |
| C8-0 | octanoic acid | 0.48 ± 0.03 a | 0.19 ± 0.007 cd | 0.14 ± 0.01 de | 0.12 ± 0.02 e | 0.11 ± 0.006 e | 0.21 ± 0.03 bc | 0.24 ± 0.03 b | 0.15 ± 0.001 de | 0.17 ± 0.02 cde | 0.11 ± 0.009 e |
| C11-0 | hendecanoic acid | 0.03 ± 0.002 abc | 0.02 ± 0.002 bc | 0.02 ± 0.004 bc | 0.03 ± 0.002 abc | 0.02 ± 0.002 c | 0.02 ± 0.005 bc | 0.04 ± 0.01 a | 0.02 ± 0.003 bc | 0.04 ± 0.01 ab | 0.03 ± 0.002 abc |
| C12-0 | lauric acid | 0.22 ± 0.01 ab | 0.20 ± 0.008 abcd | 0.16 ± 0.001 cd | 0.17 ± 0.03 bcd | 0.18 ± 0.02 abcd | 0.21 ± 0.03 abc | 0.23 ± 0.02 a | 0.15 ± 0.001 d | 0.21 ± 0.02 abc | 0.17 ± 0.01 bcd |
| C13-0 | tridecanoic acid | 0.07 ± 0.004 a | 0.06 ± 0.003 b | 0.06 ± 0.002 b | 0.06 ± 0.001 b | 0.06 ± 0.004 b | 0.06 ± 0.003 a | 0.06 ± 0.001 b | 0.06 ± 0.003 b | 0.06 ± 0.004 b | 0.06 ± 0.001 b |
| C14-0 | myristic acid | 3.23 ± 0.03 bc | 3.50 ± 0.16 b | 2.91 ± 0.01 bc | 2.69 ± 0.43 bc | 2.32 ± 0.40 c | 3.69 ± 0.37 bc | 4.63 ± 0.64 a | 2.99 ± 0.26 bc | 3.14 ± 0.18 bc | 2.92 ± 0.2 bc |
| C15-0 | pentadecanoic acid | 1.06 ± 0.01 a | 0.50 ± 0.02 c | 0.56 ± 0.03 c | 0.46 ± 0.04 c | 0.49 ± 0.02 c | 0.78 ± 0.12 b | 0.58 ± 0.07 c | 0.42 ± 0.03 c | 0.46 ± 0.05 c | 0.45 ± 0.02 c |
| C16-0 | palmitic acid | 270.14 ± 4.57 a | 200.86 ± 4.43 cd | 167.23 ± 5.11 a | 164.80 ± 3.73 a | 151.16 ± 4.96 a | 238.58 ± 10.3 b | 218.28 ± 16.70 bc | 158.63 ± 5.01 a | 177.08 ± 17.62 de | 151.98 ± 7.20 a |
| C17-0 | heptadecanoic acid | 1.91 ± 0.06 a | 0.98 ± 0.03 cd | 0.93 ± 0.03 a | 0.86 ± 0.01 a | 0.82 ± 0.02 a | 1.64 ± 0.13 b | 1.18 ± 0.17 c | 0.80 ± 0.03 a | 0.93 ± 0.07 a | 0.78 ± 0.03 a |
| C18-0 | stearic acid | 130.82 ± 1.75 a | 106.66 ± 5.78 bc | 101.56 ± 0.79 bc | 103.22 ± 3.10 bc | 92.12 ± 3.81 c | 105.20 ± 6.35 bc | 125.68 ± 7.30 a | 92.97 ± 1.76 c | 110.76 ± 8.63 b | 92.76 ± 3.71 c |
| C18-1n9c | cis-9-octadecenoic acid | 8.40 ± 1.08 b | 3.40 ± 0.74 c | 2.43 ± 0.38 c | 2.48 ± 0.11 c | 2.23 ± 0.26 c | 12.56 ± 1.86 a | 3.83 ± 0.90 c | 4.39 ± 0.66 c | 4.17 ± 0.59 c | 3.34 ± 0.61 c |
| C18-1n9t | trans-9-octadecenoic acid | 2.96 ± 0.46 a | 1.45 ± 0.05 bc | 1.06 ± 0.13 c | 1.12 ± 0.07 bc | 1.25 ± 0.07 bc | 3.30 ± 0.15 a | 1.73 ± 0.22 b | 1.61 ± 0.17 bc | 1.74 ± 0.13 b | 1.44 ± 0.10 bc |
| C18-2n6c | linoleic acid | 21.74 ± 7.01 b | 2.92 ± 0.23 c | 5.55 ± 0.58 c | 3.86 ± 0.20 c | 4.23 ± 0.19 c | 34.52 ± 6.43 a | 5.10 ± 0.45 c | 6.87 ± 0.88 c | 7.08 ± 0.55 c | 7.49 ± 0.43 c |
| C18-3n3 | α-linolenic acid | 11.04 ± 3.09a | 1.23 ± 0.08 b | 1.52 ± 0.25 b | 1.08 ± 0.06 b | 1.32 ± 0.04 b | 12.86 ± 2.18 a | 1.39 ± 0.15 b | 1.74 ± 0.23 b | 1.92 ± 0.23 b | 2.10 ± 0.19 b |
| C19-0 | nonadecylic acid | 0.35 ± 0.02 | 0.23 ± 0.005 | 0.26 ± 0.009 | 0.23 ± 0.002 | 0.25 ± 0.001 | 0.27 ± 0.02 | 0.25 ± 0.007 | 0.23 ± 0.004 | 0.24 ± 0.01 | 0.26 ± 0.005 |
| C19-1(cis-10) | cis-10-carboenoic acid | 0.57 ± 0.08 b | 0.68 ± 0.12 ab | 0.64 ± 0.07 ab | 0.71 ± 0.03 ab | 0.70 ± 0.05 ab | 0.69 ± 0.02 ab | 0.76 ± 0.09 ab | 0.58 ± 0.03 b | 0.87 ± 0.10 a | 0.69 ± 0.07 ab |
| C20-0 | arachidic acid | 8.30 ± 0.08 a | 4.27 ± 0.16 cd | 4.27 ± 0.26 cd | 3.53 ± 0.06 de | 3.50 ± 0.12 de | 7.06 ± 0.46 b | 5.15 ± 0.64 c | 3.45 ± 0.24 de | 3.74 ± 0.32 de | 3.22 ± 0.10 e |
| C21-0 | heneicosanoic acid | 0.98 ± 0.03 a | 0.67 ± 0.003 c | 0.72 ± 0.02 c | 0.67 ± 0.005 c | 0.71 ± 0.01 c | 0.84 ± 0.05 b | 0.71 ± 0.02 c | 0.69 ± 0.005 c | 0.69 ± 0.02 c | 0.73 ± 0.01 c |
| C22-0 | behenic acid | 3.34 ± 0.06 a | 1.47 ± 0.06 bc | 1.26 ± 0.04 c | 1.17 ± 0.004 c | 1.15 ± 0.02 c | 3.48 ± 0.29 a | 1.82 ± 0.18 b | 1.32 ± 0.05 c | 1.49 ± 0.11 c | 1.33 ± 0.02 bc |
| C22-1n9 | erucic acid | 1.23 ± 0.17 a | 1.24 ± 0.15 a | 1.08 ± 0.09 a | 1.00 ± 0.12 a | 0.95 ± 0.04 a | 1.40 ± 0.35 a | 1.21 ± 0.04 a | 1.11 ± 0.14 a | 1.46 ± 0.42 a | 1.19 ± 0.02 a |
| C23-0 | tricosanoic acid | 1.65 ± 0.08 a | 1.04 ± 0.02 d | 1.17 ± 0.05 cd | 1.07 ± 0.008 d | 1.12 ± 0.006 cd | 1.47 ± 0.06 b | 1.24 ± 0.05 c | 1.11 ± 0.02 cd | 1.21 ± 0.03 c | 1.22 ± 0.02 c |
| C24-0 | lignoceric acid | 4.89 ± 0.29 b | 2.65 ± 0.17 d | 1.97 ± 0.17 efg | 1.57 ± 0.02 g | 1.65 ± 0.05 fg | 5.87 ± 0.07 a | 3.36 ± 0.40 c | 2.24 ± 0.13 def | 2.32 ± 0.18 de | 2.05 ± 0.04 defg |
| C6-0 | hexanoic acid | 0.56 ± 0.007 a | 0.36 ± 0.003 b | 0.26 ± 0.005 c | 0.24 ± 0.004 c | 0.25 ± 0.007 c | 0.53 ± 0.04 a | 0.42 ± 0.06 b | 0.27 ± 0.02 c | 0.27 ± 0.22 c | 0.24 ± 0.006 c |
Disclaimer/Publisher’s Note: The statements, opinions and data contained in all publications are solely those of the individual author(s) and contributor(s) and not of MDPI and/or the editor(s). MDPI and/or the editor(s) disclaim responsibility for any injury to people or property resulting from any ideas, methods, instructions or products referred to in the content. |
© 2024 by the authors. Licensee MDPI, Basel, Switzerland. This article is an open access article distributed under the terms and conditions of the Creative Commons Attribution (CC BY) license (https://creativecommons.org/licenses/by/4.0/).
Share and Cite
Suo, H.; Liu, J.; Wang, L.; Li, C.; Shan, J.; An, K.; Yang, K.; Li, X. Comparative Analysis of Individual Carotenoid Profiles in Yellow- and White-Fleshed Potatoes (Solanum tuberosum L.) During Tuber Development. Foods 2024, 13, 3691. https://doi.org/10.3390/foods13223691
Suo H, Liu J, Wang L, Li C, Shan J, An K, Yang K, Li X. Comparative Analysis of Individual Carotenoid Profiles in Yellow- and White-Fleshed Potatoes (Solanum tuberosum L.) During Tuber Development. Foods. 2024; 13(22):3691. https://doi.org/10.3390/foods13223691
Chicago/Turabian StyleSuo, Haicui, Jitao Liu, Li Wang, Chengchen Li, Jianwei Shan, Kang An, Kun Yang, and Xiaobo Li. 2024. "Comparative Analysis of Individual Carotenoid Profiles in Yellow- and White-Fleshed Potatoes (Solanum tuberosum L.) During Tuber Development" Foods 13, no. 22: 3691. https://doi.org/10.3390/foods13223691
APA StyleSuo, H., Liu, J., Wang, L., Li, C., Shan, J., An, K., Yang, K., & Li, X. (2024). Comparative Analysis of Individual Carotenoid Profiles in Yellow- and White-Fleshed Potatoes (Solanum tuberosum L.) During Tuber Development. Foods, 13(22), 3691. https://doi.org/10.3390/foods13223691

