The Effects of Fat Content on the Shelf-Life of Vacuum-Packed Red Meat
Abstract
1. Introduction
2. Materials and Methods
2.1. Beef and Lamb Mince Collection
2.2. Preparation of Mince with Different Fat Content
2.3. Sensory Evaluation, pH, and Microbiological Analyses
2.4. Determination of Mince Fat, Glucose, and Lactic Acid Content
2.4.1. Mince Crude Fat Content
2.4.2. Mince Glucose and Lactic Acid Concentrations
Ultra Performance Liquid Chromatography–Mass Spectrometry Analysis
2.5. Statistical Analysis
3. Results and Discussion
3.1. Shelf-Life of VP Red Mince
3.2. Intrinsic Properties of VP Mince
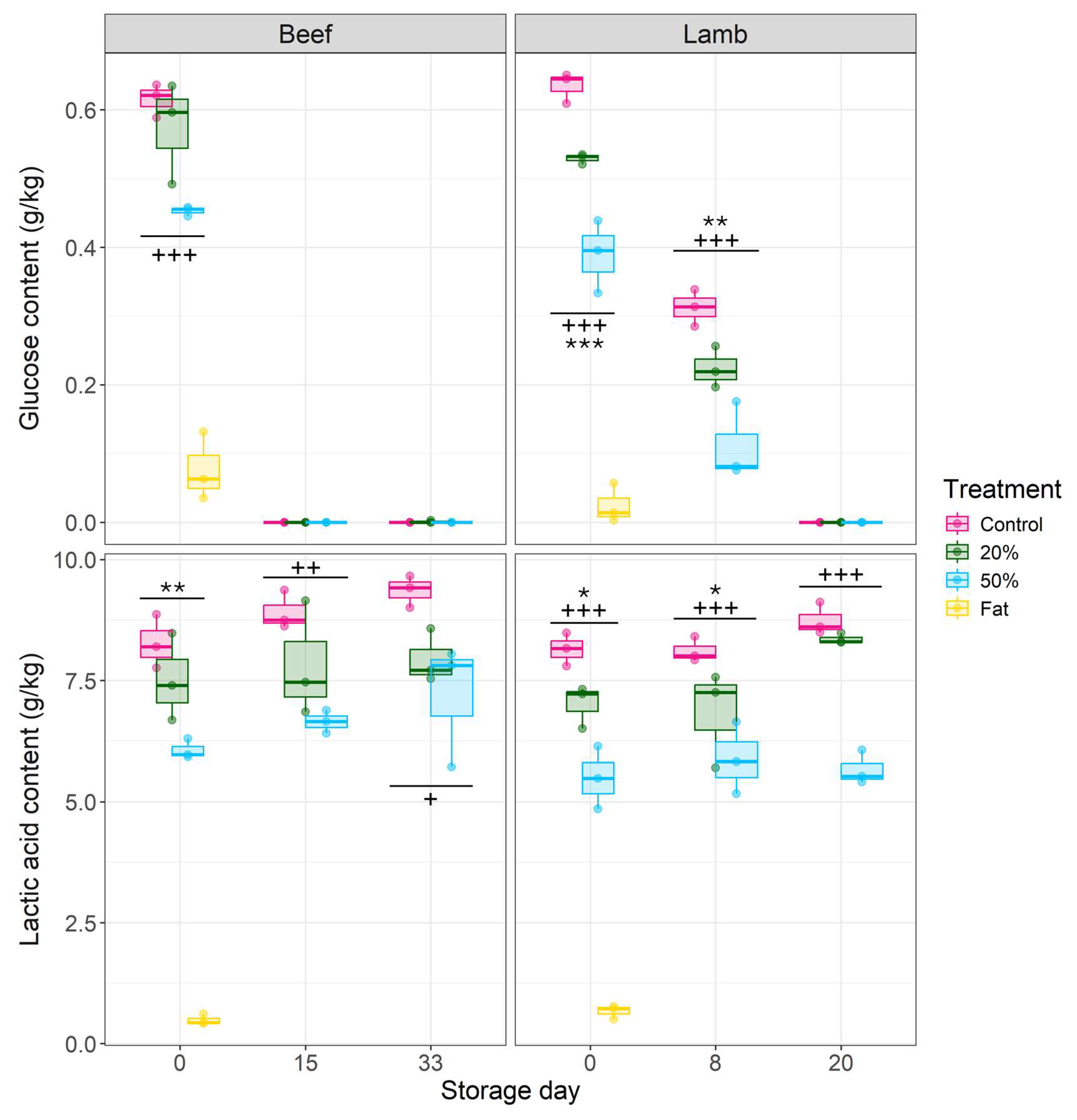
3.2.1. Glucose and Lactic Acid Levels
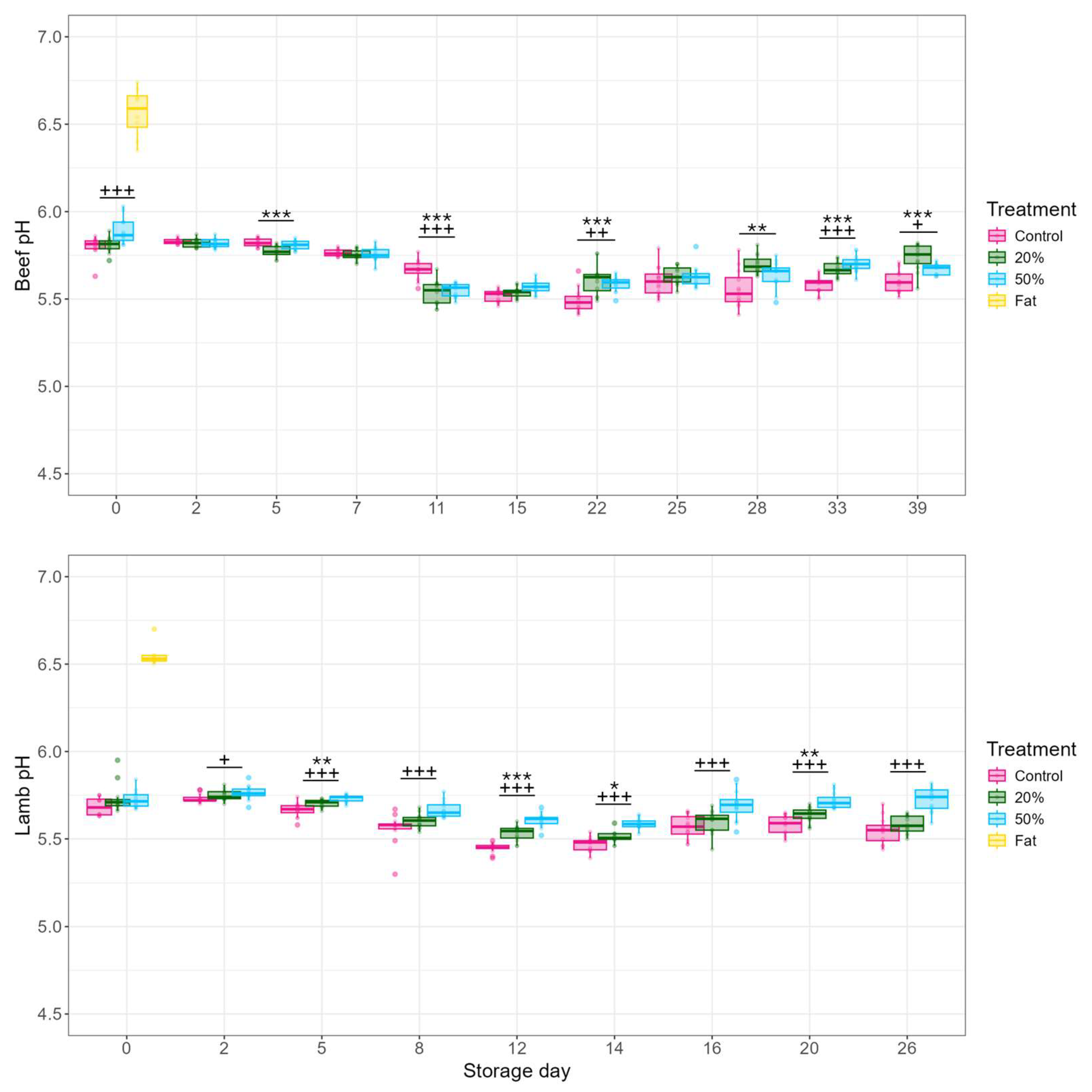
3.2.2. pH
3.3. Bacterial Growth Kinetics
3.4. Limitations
4. Conclusions
Supplementary Materials
Author Contributions
Funding
Institutional Review Board Statement
Informed Consent Statement
Data Availability Statement
Acknowledgments
Conflicts of Interest
References
- Nychas, G.J.E.; Skandamis, P.N.; Tassou, C.C.; Koutsoumanis, K.P. Meat spoilage during distribution. Meat Sci. 2008, 78, 77–89. [Google Scholar] [CrossRef]
- Toomik, E.; Rood, L.; Bowman, J.P.; Kocharunchitt, C. Microbial spoilage mechanisms of vacuum-packed lamb meat: A review. Int. J. Food Microbiol. 2023, 387, 110056. [Google Scholar] [CrossRef] [PubMed]
- Mills, J.; Donnison, A.; Brightwell, G. Factors affecting microbial spoilage and shelf-life of chilled vacuum-packed lamb transported to distant markets: A review. Meat Sci. 2014, 98, 71–80. [Google Scholar] [CrossRef] [PubMed]
- Small, A.H.; Jenson, I.; Kiermeier, A.; Sumner, J. Vacuum-packed beef primals with extremely long shelf life have unusual microbiological counts. J. Food Prot. 2012, 75, 1524–1527. [Google Scholar] [CrossRef] [PubMed]
- Sumner, J.; Vanderlinde, P.; Kaur, M.; Jenson, I. The changing shelf life of chilled, vacuum-packed red meat. In Food Safety and Quality-Based Shelf Life of Perishable Foods; Taormina, P.J., Hardin, M.D., Eds.; Springer International Publishing: Cham, Switzerland, 2021; pp. 145–156. [Google Scholar]
- Huynh, L.; Jenson, I.; Kaur, M.; Kiermeier, A.; Kocharunchitt, C.; Miles, D.; Ross, T.; Sumner, J.; Vanderlinde, P. Shelf Life of Australian Red Meat, 2nd ed.; Meat & Livestock Australia: North Sydney, Australia, 2016. [Google Scholar]
- Kaur, M.; Williams, M.; Bissett, A.; Ross, T.; Bowman, J.P. Effect of abattoir, livestock species and storage temperature on bacterial community dynamics and sensory properties of vacuum packaged red meat. Food Microbiol. 2021, 94, 103648. [Google Scholar] [CrossRef] [PubMed]
- Kiermeier, A.; Tamplin, M.; May, D.; Holds, G.; Williams, M.; Dann, A. Microbial growth, communities and sensory characteristics of vacuum and modified atmosphere packaged lamb shoulders. Food Microbiol. 2013, 36, 305–315. [Google Scholar] [CrossRef]
- Williams, P. Nutritional composition of red meat. Nutr. Diet. 2007, 64, S113–S119. [Google Scholar] [CrossRef]
- Sutherland, M.M.; Ames, J.M. Free fatty acid composition of the adipose tissue of intact and castrated lambs slaughtered at 12 and 30 weeks of age. J. Agric. Food Chem. 1996, 44, 3113–3116. [Google Scholar] [CrossRef]
- Kaur, M.; Bowman, J.P.; Porteus, B.; Dann, A.L.; Tamplin, M. Effect of abattoir and cut on variations in microbial communities of vacuum-packaged beef. Meat Sci. 2017, 131, 34–39. [Google Scholar] [CrossRef]
- Matarneh, S.K.; England, E.M.; Scheffler, T.L.; Gerrard, D.E. Chapter 5—The conversion of muscle to meat. In Lawriés Meat Science, 8th ed.; Toldrá, F., Ed.; Woodhead Publishing: Sawston, UK, 2017; pp. 159–185. [Google Scholar]
- Jin, Q.; Kirk, M.F. pH as a primary control in environmental microbiology: 2. Kinetic perspective. Front. Environ. Sci. 2018, 6, 101. [Google Scholar] [CrossRef]
- Gribble, A.; Mills, J.; Brightwell, G. The spoilage characteristics of Brochothrix thermosphacta and two psychrotolerant Enterobacteriacae in vacuum packed lamb and the comparison between high and low pH cuts. Meat Sci. 2014, 97, 83–92. [Google Scholar] [CrossRef] [PubMed]
- Mohsina, K.; Ratkowsky, D.A.; Bowman, J.P.; Powell, S.; Kaur, M.; Tamplin, M.L. Effect of glucose, pH and lactic acid on Carnobacterium maltaromaticum, Brochothrix thermosphacta and Serratia liquefaciens within a commercial heat-shrunk vacuum-package film. Food Microbiol. 2020, 91, 103515. [Google Scholar] [CrossRef] [PubMed]
- Carpenter, C.E.; Broadbent, J.R. External concentration of organic acid anions and pH: Key independent variables for studying how organic acids inhibit growth of bacteria in mildly acidic foods. J. Food Sci. 2009, 74, R12–R15. [Google Scholar] [CrossRef] [PubMed]
- Purk, L.; Kitsiou, M.; Ioannou, C.; El Kadri, H.; Costello, K.M.; Gutierrez Merino, J.; Klymenko, O.; Velliou, E.G. Unravelling the impact of fat content on the microbial dynamics and spatial distribution of foodborne bacteria in tri-phasic viscoelastic 3D models. Sci. Rep. 2023, 13, 21811. [Google Scholar] [CrossRef]
- Verheyen, D.; Bolívar, A.; Pérez-Rodríguez, F.; Baka, M.; Skåra, T.; Van Impe, J.F. Isolating the effect of fat content on Listeria monocytogenes growth dynamics in fish-based emulsion and gelled emulsion systems. Food Control 2020, 108, 106874. [Google Scholar] [CrossRef]
- Lorenzo, J.M.; Pateiro, M.; Fontán, M.C.G.; Carballo, J. Effect of fat content on physical, microbial, lipid and protein changes during chill storage of foal liver pâté. Food Chem. 2014, 155, 57–63. [Google Scholar] [CrossRef]
- Utrera, M.; Morcuende, D.; Estévez, M. Fat content has a significant impact on protein oxidation occurred during frozen storage of beef patties. LWT 2014, 56, 62–68. [Google Scholar] [CrossRef]
- Ercolini, D.; Ferrocino, I.; Nasi, A.; Ndagijimana, M.; Vernocchi, P.; La Storia, A.; Laghi, L.; Mauriello, G.; Guerzoni, M.E.; Villani, F. Monitoring of microbial metabolites and bacterial diversity in beef stored under different packaging conditions. Appl. Environ. Microbiol. 2011, 77, 7372–7381. [Google Scholar] [CrossRef]
- Casaburi, A.; Piombino, P.; Nychas, G.-J.; Villani, F.; Ercolini, D. Bacterial populations and the volatilome associated to meat spoilage. Food Microbiol. 2015, 45, 83–102. [Google Scholar] [CrossRef]
- Lavieri, N.; Williams, S.K. Effects of packaging systems and fat concentrations on microbiology, sensory and physical properties of ground beef stored at 4 ± 1 °C for 25days. Meat Sci. 2014, 97, 534–541. [Google Scholar] [CrossRef]
- Schuster, L.; Franke, C.; Silcock, P.; Beauchamp, J.; Bremer, P.J. Development of a novel sample reuse approach to measure the impact of lean meat, bone and adipose tissue on the development of volatiles in vacuum-packed chilled lamb stored at 2 °C for 15 days. Meat Sci. 2018, 145, 31–39. [Google Scholar] [CrossRef] [PubMed]
- Vázquez-Mosquera, J.M.; Fernandez-Novo, A.; de Mercado, E.; Vázquez-Gómez, M.; Gardon, J.C.; Pesántez-Pacheco, J.L.; Revilla-Ruiz, Á.; Patrón-Collantes, R.; Pérez-Solana, M.L.; Villagrá, A.; et al. Beef nutritional characteristics, fat profile and blood metabolic markers from purebred Wagyu, crossbred Wagyu and crossbred European steers raised on a fattening farm in Spain. Animals 2023, 13, 864. [Google Scholar] [CrossRef] [PubMed]
- Kosulwat, S.; Greenfield, H.; James, J. Lipid composition of Australian retail lamb cuts with differing carcass classification characteristics. Meat Sci. 2003, 65, 1413–1420. [Google Scholar] [CrossRef] [PubMed]
- Rood, L.; Bowman, J.P.; Ross, T.; Corkrey, R.; Pagnon, J.; Yang, S.W.T.; Kocharunchitt, C. The effects of glucose on microbial spoilage of vacuum-packed lamb. Meat Sci. 2022, 188, 108781. [Google Scholar] [CrossRef]
- Rood, L.; Bowman, J.P.; Ross, T.; Corkrey, R.; Pagnon, J.; Kaur, M.; Kocharunchitt, C. Spoilage potential of bacterial species from chilled vacuum-packed lamb. Food Microbiol. 2022, 107, 104093. [Google Scholar] [CrossRef]
- Seenger, J.; Nuernberg, G.; Hartung, M.; Szűcs, E.; Ender, K.; Nuernberg, K. ANKOM—A new instrument for the determination of fat in muscle and meat cuts—A comparison. Arch. Anim. Breed. 2008, 51, 449–457. [Google Scholar] [CrossRef]
- Kocharunchitt, C.; King, T.; Gobius, K.; Bowman, J.P.; Ross, T. Global genome response of Escherichia coli O157:H7 Sakai during dynamic changes in growth kinetics induced by an abrupt downshift in water activity. PLoS ONE 2014, 9, e90422. [Google Scholar] [CrossRef]
- Wickham, H. ggplot2: Elegant graphics for data analysis. In Data Analysis, 2nd ed.; Springer: New York, NY, USA, 2016. [Google Scholar]
- Gómez, M.; Lorenzo, J.M. Effect of packaging conditions on shelf-life of fresh foal meat. Meat Sci. 2012, 91, 513–520. [Google Scholar] [CrossRef]
- Franco, D.; Bispo, E.; González, L.; Vázquez, J.A.; Moreno, T. Effect of finishing and ageing time on quality attributes of loin from the meat of Holstein–Fresian cull cows. Meat Sci. 2009, 83, 484–491. [Google Scholar] [CrossRef]
- Kaur, M.; Shang, H.; Tamplin, M.; Ross, T.; Bowman, J.P. Culture-dependent and culture-independent assessment of spoilage community growth on VP lamb meat from packaging to past end of shelf-life. Food Microbiol. 2017, 68, 71–80. [Google Scholar] [CrossRef]
- Blixt, Y.; Borch, E. Comparison of shelf life of vacuum-packed pork and beef. Meat Sci. 2002, 60, 371–378. [Google Scholar] [CrossRef]
- Toldrá, F. Lawrie’s Meat Science, 8th ed.; Toldrá, F., Ed.; Woodhead Publishing: Sawston, UK, 2017. [Google Scholar]
- Lowe, T.E.; Peachey, B.M.; Devine, C.E. The effect of nutritional supplements on growth rate, stress responsiveness, muscle glycogen and meat tenderness in pastoral lambs. Meat Sci. 2002, 62, 391–397. [Google Scholar] [CrossRef] [PubMed]
- Bond, J.J.; Can, L.A.; Warner, R.D. The effect of exercise stress, adrenaline injection and electrical stimulation on changes in quality attributes and proteins in Semimembranosus muscle of lamb. Meat Sci. 2004, 68, 469–477. [Google Scholar] [CrossRef] [PubMed]
- Cohen, P.; Spiegelman, B.M. Cell biology of fat storage. Mol. Biol. Cell 2016, 27, 2523–2527. [Google Scholar] [CrossRef]
- Nychas, G.J.E.; Drosinos, E.H.; Board, R.G. Chemical changes in stored meat. In The Microbiology of Meat and Poultry, 1st ed.; Davies, A., Board, R., Eds.; Blackie Academic & Professional: London, UK, 1998; pp. 288–326. [Google Scholar]
- López-Bote, C. Chapter 4—Chemical and biochemical constitution of muscle. In Lawriés Meat Science, 8th ed.; Toldrá, F., Ed.; Woodhead Publishing: Sawston, UK, 2017; pp. 99–158. [Google Scholar]
- Reis, J.A.; Paula, A.T.; Casarotti, S.N.; Penna, A.L.B. Lactic acid bacteria antimicrobial compounds: Characteristics and applications. Food Eng. Rev. 2012, 4, 124–140. [Google Scholar] [CrossRef]
- Wambui, J.; Cernela, N.; Corti, S.; Stephan, R. Comparative genome analysis and phenotypic characterization of Clostridium gasigenes CGAS001 isolated from chilled vacuum-packed lamb meat. Front. Microbiol. 2020, 11, 2048. [Google Scholar] [CrossRef] [PubMed]
- Gänzle, M.G. Lactic metabolism revisited: Metabolism of lactic acid bacteria in food fermentations and food spoilage. Curr. Opin. Food Sci. 2015, 2, 106–117. [Google Scholar] [CrossRef]
- Gill, C.O.; Newton, K.G. The ecology of bacterial spoilage of fresh meat at chill temperatures. Meat Sci. 1978, 2, 207–217. [Google Scholar] [CrossRef]
- Grau, F.H. Microbial growth on fat and lean surfaces of vacuum-packaged chilled beef. J. Food Sci. 1983, 48, 326–328. [Google Scholar] [CrossRef]
- Puolanne, E.; Kivikari, R. Determination of the buffering capacity of postrigor meat. Meat Sci. 2000, 56, 7–13. [Google Scholar] [CrossRef]
- Tan, S.M.; Lee, S.M.; Dykes, G.A. Fat contributes to the buffering capacity of chicken skin and meat but enhances the vulnerability of attached Salmonella cells to acetic acid treatment. Food Res. Int. 2014, 66, 417–423. [Google Scholar] [CrossRef]
- Mennah-Govela, Y.A.; Cai, H.; Chu, J.; Kim, K.; Maborang, M.-K.; Sun, W.; Bornhorst, G.M. Buffering capacity of commercially available foods is influenced by composition and initial properties in the context of gastric digestion. Food Funct. 2020, 11, 2255–2267. [Google Scholar] [CrossRef] [PubMed]
- Krulwich, T.A.; Sachs, G.; Padan, E. Molecular aspects of bacterial pH sensing and homeostasis. Nat. Rev. Microbiol. 2011, 9, 330–343. [Google Scholar] [CrossRef] [PubMed]
- Jin, Q.; Kirk, M.F. pH as a primary control in environmental microbiology: 1. Thermodynamic perspective. Front. Environ. Sci. 2018, 6, 21. [Google Scholar] [CrossRef]
- Baranyi, J.; Tamplin, M.L. ComBase: A Common Database on Microbial Responses to Food Environments. J. Food Prot. 2004, 67, 1967–1971. [Google Scholar] [CrossRef]
- Stellato, G.; Storia, A.L.; Filippis, F.D.; Borriello, G.; Villani, F.; Ercolini, D.; Elkins, C.A. Overlap of spoilage-associated microbiota between meat and the meat processing environment in small-scale and large-scale retail distributions. Appl. Environ. Microbiol. 2016, 82, 4045–4054. [Google Scholar] [CrossRef]
- EFSA Panelon Biological Hazards. Growth of spoilage bacteria during storage and transport of meat. EFSA J. 2016, 14, e04523. [Google Scholar] [CrossRef]
- Jedounková, A.; Lazárková, Z.; Hampelová, L.; Kůrová, V.; Pospiech, M.; Buňková, L.; Foltin, P.; Salek, R.N.; Malíšek, J.; Michálek, J.; et al. Critical view on sterilisation effect on processed cheese properties designed for feeding support in crisis and emergency situations. LWT 2022, 171, 114135. [Google Scholar] [CrossRef]
- Botta, C.; Franciosa, I.; Alessandria, V.; Cardenia, V.; Cocolin, L.; Ferrocino, I. Metataxonomic signature of beef burger perishability depends on the meat origin prior grinding. Food Res. Int. 2022, 156, 111103. [Google Scholar] [CrossRef]
- Xu, M.M.; Kaur, M.; Pillidge, C.J.; Torley, P.J. Culture-dependent and culture-independent evaluation of the effect of protective cultures on spoilage-related bacteria in vacuum-packaged beef mince. Food Bioprocess. Technol. 2023, 16, 382–394. [Google Scholar] [CrossRef]
- Jones, R.J.; Zagorec, M.; Brightwell, G.; Tagg, J.R. Inhibition by Lactobacillus sakei of other species in the flora of vacuum packaged raw meats during prolonged storage. Food Microbiol. 2009, 26, 876–881. [Google Scholar] [CrossRef] [PubMed]
- Höll, L.; Hilgarth, M.; Geissler, A.J.; Behr, J.; Vogel, R.F. Metatranscriptomic analysis of modified atmosphere packaged poultry meat enables prediction of Brochothrix thermosphacta and Carnobacterium divergens in situ metabolism. Arch. Microbiol. 2020, 202, 1945–1955. [Google Scholar] [CrossRef] [PubMed]
- Andreevskaya, M.; Jääskeläinen, E.; Johansson, P.; Ylinen, A.; Paulin, L.; Björkroth, J.; Auvinen, P. Food spoilage-associated Leuconostoc, Lactococcus, and Lactobacillus species display different survival strategies in response to competition. Appl. Environ. Microbiol. 2018, 84, e00554-18. [Google Scholar] [CrossRef] [PubMed]
- Andreevskaya, M.; Johansson, P.; Laine, P.; Smolander, O.-P.; Sonck, M.; Rahkila, R.; Jääskeläinen, E.; Paulin, L.; Auvinen, P.; Björkroth, J. Genome sequence and transcriptome analysis of meat-spoilage-associated lactic acid bacterium Lactococcus piscium MKFS47. Appl. Environ. Microbiol. 2015, 81, 3800–3811. [Google Scholar] [CrossRef]
- Barcenilla, C.; Ducic, M.; López, M.; Prieto, M.; Álvarez-Ordóñez, A. Application of lactic acid bacteria for the biopreservation of meat products: A systematic review. Meat Sci. 2022, 183, 108661. [Google Scholar] [CrossRef]
- Wang, Y.; Han, J.; Wang, D.; Gao, F.; Zhang, K.; Tian, J.; Jin, Y. Research update on the impact of lactic acid bacteria on the substance metabolism, flavor, and quality characteristics of fermented meat products. Foods 2022, 11, 2090. [Google Scholar] [CrossRef]
- Vanderzant, C.; Savell, J.W.; Hanna, M.O.; Potluri, V. A comparison of growth of individual meat bacteria on the lean and fatty tissue of beef, pork and lamb. J. Food Sci. 1986, 51, 5–8. [Google Scholar] [CrossRef]
- Brightwell, G.; Clemens, R.; Urlich, S.; Boerema, J. Possible involvement of psychrotolerant Enterobacteriaceae in blown pack spoilage of vacuum-packaged raw meats. Int. J. Food Microbiol. 2007, 119, 334–339. [Google Scholar] [CrossRef]
- Jääskeläinen, E.; Hultman, J.; Parshintsev, J.; Riekkola, M.-L.; Björkroth, J. Development of spoilage bacterial community and volatile compounds in chilled beef under vacuum or high oxygen atmospheres. Int. J. Food Microbiol. 2016, 223, 25–32. [Google Scholar] [CrossRef]
- Sun, X.D.; Holley, R.A. Antimicrobial and antioxidative strategies to reduce pathogens and extend the shelf life of fresh red meats. Compr. Rev. Food Sci. Food Saf. 2012, 11, 340–354. [Google Scholar] [CrossRef]
- Chaves, R.D.; Silva, A.R.; Sant’Ana, A.S.; Campana, F.B.; Massaguer, P.R. Gas-producing and spoilage potential of Enterobacteriaceae and lactic acid bacteria isolated from chilled vacuum-packaged beef. Int. J. Food Sci. Technol. 2012, 47, 1750–1756. [Google Scholar] [CrossRef]
- Durlu-Özkaya, F.; Ayhan, K.; Vural, N. Biogenic amines produced by Enterobacteriaceae isolated from meat products. Meat Sci. 2001, 58, 163–166. [Google Scholar] [CrossRef] [PubMed]
- Comi, G. Chapter 8—Spoilage of meat and fish. In The Microbiological Quality of Food; Bevilacqua, A., Corbo, M.R., Sinigaglia, M., Eds.; Woodhead Publishing: Sawston, UK, 2017; pp. 179–210. [Google Scholar]
- Doi, Y. Glycerol metabolism and its regulation in lactic acid bacteria. Appl. Microbiol. Biotechnol. 2019, 103, 5079–5093. [Google Scholar] [CrossRef] [PubMed]
- Christensen, A.B.; Riedel, K.; Eberl, L.; Flodgaard, L.R.; Molin, S.; Gram, L.; Givskov, M. Quorum-sensing-directed protein expression in Serratia proteamaculans B5a. Microbiology 2003, 149, 471–483. [Google Scholar] [CrossRef]
- Hultman, J.; Johansson, P.; Björkroth, J. Longitudinal metatranscriptomic analysis of a meat spoilage microbiome detects abundant continued fermentation and environmental stress responses during shelf life and beyond. Appl. Environ. Microbiol. 2020, 86, e01575-20. [Google Scholar] [CrossRef]
- Jones, R.J. Observations on the succession dynamics of lactic acid bacteria populations in chill-stored vacuum-packaged beef. Int. J. Food Microbiol. 2004, 90, 273–282. [Google Scholar] [CrossRef]
- Zhang, P.; Baranyi, J.; Tamplin, M.; Griffiths, M.W. Interstrain interactions between bacteria isolated from vacuum-packaged refrigerated beef. Appl. Environ. Microbiol. 2015, 81, 2753–2761. [Google Scholar] [CrossRef]
- Jiang, Y.; Hengel, M.; Pan, C.; Seiber, J.N.; Shibamoto, T. Determination of toxic α-dicarbonyl compounds, glyoxal, methylglyoxal, and diacetyl, released to the headspace of lipid commodities upon heat treatment. J. Agric. Food Chem. 2013, 61, 1067–1071. [Google Scholar] [CrossRef]
- Zhuang, Y.; Dong, J.; He, X.; Wang, J.; Li, C.; Dong, L.; Zhang, Y.; Zhou, X.; Wang, H.; Yi, Y.; et al. Impact of heating temperature and fatty acid type on the formation of lipid oxidation products during thermal processing. Front. Nutr. 2022, 9, 913297. [Google Scholar] [CrossRef]
- Galarz, L.A.; Fonseca, G.G.; Prentice, C. Predicting bacterial growth in raw, salted, and cooked chicken breast fillets during storage. Food Sci. Technol. Int. 2016, 22, 461–474. [Google Scholar] [CrossRef]



| Analyte | Precursor [M-H]− (M/Z) 1 | Product [M-H]− (M/Z) 1 | Cone Voltage (V) | Collision Energy (V) | Limit of Detection in Meat (g/kg) |
|---|---|---|---|---|---|
| Lactic acid 2 | 89.1 | 43.0 | 24 | 12 | 0.00083 |
| Glucose 2 | 179.1 | 45.0 | 16 | 16 | 0.00045 |
| 3H2-Lactic acid 3 | 92.1 | 45.0 | 24 | 12 | - |
| 13C6-Glucose 3 | 185.1 | 61.0 | 16 | 16 | - |
| Beef | Lamb | |
|---|---|---|
| Lean mince (control) | 4.31 ± 0.93% | 5.35 ± 1.23% |
| 20% mince | 22.33 ± 7.02% | 18.58 ± 4.78% |
| 50% mince | 44.09 ± 8.38% | 43.82 ± 6.24% |
| Total Viable Count | Lactic Acid Bacteria | Presumptive Enteric Bacteria 1 | |||||||
|---|---|---|---|---|---|---|---|---|---|
| Initial Population (Log10 CFU/g) | Growth Rate (Log10 CFU/g/Day) | Maximum Population (Log10 CFU/g) | Initial Population (Log10 CFU/g) | Growth Rate (Log10 CFU/g/Day) | Maximum Population (Log10 CFU/g) | Initial Population (Log10 CFU/g) | Maximum Population (Log10 CFU/g) | ||
| Beef | Control (~5%) | 4.59 ± 0.14 a | 0.43 | 8.22 ± 0.08 a | 3.69 ± 0.17 a | 0.27 | 7.70 ± 0.21 ac | 3.15 ± 0.32 ac | 5.06 ± 0.29 a |
| 20% | 4.89 ± 0.16 ab | 0.39 | 8.12 ± 0.15 ab | 4.11 ± 0.08 b | 0.34 | 7.59 ± 0.10 a | 3.39 ± 0.15 abc | 5.34 ± 0.26 ab | |
| 50% | 5.00 ± 0.20 b | 0.34 | 8.00 ± 0.12 bc | 4.67 ± 0.27 c | 0.40 | 7.62 ± 0.24 a | 3.46 ± 0.06 abc | 5.54 ± 0.42 bf | |
| Beef fat | 5.29 ± 0.02 b | ND | 7.82 ± 0.16 c | 5.11 ± 0.03 d | ND | 6.88 ± 0.05 b | 3.86 ± 0.40 b | 6.36 ± 0.24 c | |
| Lamb | Control (~5%) | 5.66 ± 0.15 c | 0.25 | 7.07 ± 0.20 d | 4.02 ± 0.03 ab | 0.31 | 6.98 ± 0.11 b | 3.15 ± 0.17 ac | 3.64 ± 0.18 d |
| 20% | 5.77 ± 0.02 c | 0.13 | 7.16 ± 0.12 d | 4.07 ± 0.06 b | 0.32 | 7.06 ± 0.18 b | 3.07 ± 0.21 c | 3.83 ± 0.26 d | |
| 50% | 5.22 ± 0.07 b | 0.21 | 7.20 ± 0.17 d | 3.76 ± 0.11 ab | 0.35 | 7.07 ± 0.15 b | 3.38 ± 0.07 abc | 4.47 ± 0.27 e | |
| Lamb fat | 4.24 ± 0.06 e | ND | 7.93 ± 0.09 bc | 4.58 ± 0.03 c | ND | 8.02 ± 0.09 c | 3.65 ± 0.26 ab | 6.01 ± 0.11 cf | |
Disclaimer/Publisher’s Note: The statements, opinions and data contained in all publications are solely those of the individual author(s) and contributor(s) and not of MDPI and/or the editor(s). MDPI and/or the editor(s) disclaim responsibility for any injury to people or property resulting from any ideas, methods, instructions or products referred to in the content. |
© 2024 by the authors. Licensee MDPI, Basel, Switzerland. This article is an open access article distributed under the terms and conditions of the Creative Commons Attribution (CC BY) license (https://creativecommons.org/licenses/by/4.0/).
Share and Cite
Toomik, E.; Rood, L.; Hunt, I.; Nichols, D.S.; Bowman, J.P.; Kocharunchitt, C. The Effects of Fat Content on the Shelf-Life of Vacuum-Packed Red Meat. Foods 2024, 13, 3669. https://doi.org/10.3390/foods13223669
Toomik E, Rood L, Hunt I, Nichols DS, Bowman JP, Kocharunchitt C. The Effects of Fat Content on the Shelf-Life of Vacuum-Packed Red Meat. Foods. 2024; 13(22):3669. https://doi.org/10.3390/foods13223669
Chicago/Turabian StyleToomik, Elerin, Laura Rood, Ian Hunt, David S. Nichols, John P. Bowman, and Chawalit Kocharunchitt. 2024. "The Effects of Fat Content on the Shelf-Life of Vacuum-Packed Red Meat" Foods 13, no. 22: 3669. https://doi.org/10.3390/foods13223669
APA StyleToomik, E., Rood, L., Hunt, I., Nichols, D. S., Bowman, J. P., & Kocharunchitt, C. (2024). The Effects of Fat Content on the Shelf-Life of Vacuum-Packed Red Meat. Foods, 13(22), 3669. https://doi.org/10.3390/foods13223669

