Looking for Typical Traits in Monovarietal VOOs According to Their Phenolic Composition
Abstract
1. Introduction
2. Materials and Methods
2.1. Bosana Database
2.2. Analysis of Phenolic Compounds
2.2.1. Chemicals and Reagents
2.2.2. Sample Preparation
2.2.3. RP-HPLC-DAD Analysis
2.3. Systematic Review on Frantoio and Coratina Cultivars VOO Phenolic Compounds
- -
- Coratina AND “olive oil” AND phenol AND HPLC
- -
- Frantoio AND “olive oil” AND phenol AND HPLC
2.4. Statistical Analysis
3. Results
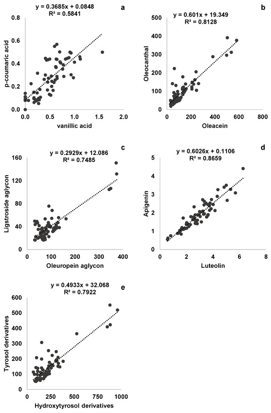
3.1. Bosana VOO Phenolic Composition
3.2. Frantoio and Coratina VOO Phenolic Composition
3.3. The Role of Variability Factors on Phenolic Composition
4. Discussion
5. Conclusions
Supplementary Materials
Author Contributions
Funding
Institutional Review Board Statement
Informed Consent Statement
Data Availability Statement
Acknowledgments
Conflicts of Interest
References
- Deiana, P.; Filigheddu, M.R.; Dettori, S.; Culeddu, N.; Dore, A.; Molinu, M.G.; Santona, M. The chemical composition of Italian virgin olive oils. In Olives and Olive Oil in Health and Disease Prevention, 2nd ed.; Preedy, V.R., Watson, R.B., Eds.; Academic Press: Cambridge, MA, USA, 2021; pp. 51–62. [Google Scholar] [CrossRef]
- Schwingshackl, L.; Krause, M.; Schmucker, C.; Hoffmann, G.; Rücker, G.; Meerpohl, J.J. Impact of different types of olive oil on cardiovascular risk factors: A systematic review and network meta-analysis. Nutr. Metab. Cardiovasc. Dis. 2019, 29, 1030–1039. [Google Scholar] [CrossRef] [PubMed]
- Cabrera, E.R.; Arriaza, M.; Rodríguez-Entrena, M. Is the extra virgin olive oil market facing a process of differentiation? A hedonic approach to disentangle the effect of quality attributes. Grasas Aceites 2015, 66, 105. [Google Scholar] [CrossRef]
- Lioupi, A.; Nenadis, N.; Theodoridis, G. Virgin olive oil metabolomics: A review. J. Chromatogr. B 2020, 1150, 122161. [Google Scholar] [CrossRef]
- Cadot, Y.; Caille, S.; Thiollet-Scholtus, M.; Samson, A.; Barbeau, G.; Cheynier, V. Characterisation of typicality for wines related to terroir by conceptual and by perceptual representations. An application to red wines from the Loire Valley. Food Qual. Prefer. 2012, 24, 48–58. [Google Scholar] [CrossRef]
- Lukić, I.; Horvat, I.; Godena, S.; Krapac, M.; Lukić, M.; Vrhovsek, U.; Bubola, K.B. Towards understanding the varietal typicity of virgin olive oil by correlating sensory and compositional analysis data: A case study. Food Res. Int. 2018, 112, 78–89. [Google Scholar] [CrossRef]
- Cecchi, L.; Migliorini, M.; Giambanelli, E.; Cane, A.; Zanoni, B.; Canuti, V.; Mulinacci, M.; Melani, F. Is the volatile compounds profile a suitable tool for authentication of virgin olive oils (Olea europaea L.) according to cultivars? A study by using HS-SPME-GC-MS and chemometrics. Food Control 2022, 139, 109092. [Google Scholar] [CrossRef]
- Ugolini, T.; Mattagli, F.; Melani, F.; Zanoni, B.; Migliorini, M.; Trapani, S.; Giambanelli, E.; Parenti, A.; Mulinacci, N.; Cecchi, L. HS-SPME-GC-MS and Chemometrics for the Quality Control and Clustering of Monovarietal Extra Virgin Olive Oil: A 3-Year Study on Terpenes and Pentene Dimers of Italian Cultivars. J. Agric. Food Chem. 2024, 72, 11124–11139. [Google Scholar] [CrossRef]
- López-Cortés, I.; Salazar-García, D.C.; Velázquez-Martí, B.; Salazar, D.M. Chemical characterization of traditional varietal olive oils in East of Spain. Food Res. Int. 2013, 54, 1934–1940. [Google Scholar] [CrossRef][Green Version]
- Kosma, I.; Badeka, A.; Vatavali, K.; Kontakos, S.; Kontominas, M. Differentiation of Greek extra virgin olive oils according to cultivar based on volatile compound analysis and fatty acid composition. Eur. J. Lipid Sci. Technol. 2016, 118, 849–861. [Google Scholar] [CrossRef]
- Campestre, C.; Angelini, G.; Gasbarri, C.; Angerosa, F. The compounds responsible for the sensory profile in monovarietal virgin olive oils. Molecules 2017, 22, 1833. [Google Scholar] [CrossRef]
- Blasi, F.; Ianni, F.; Cossignani, L. Phenolic profiling for geographical and varietal authentication of extra virgin olive oil. Trends Food Sci. Technol. 2024, 147, 104444. [Google Scholar] [CrossRef]
- García, J.M.; Hueso, A.; Gómez-del-Campo, M. Deficit irrigation during the oil synthesis period affects olive oil quality in high-density orchards (cv. Arbequina). Agric. Water Manag. 2020, 230, 105858. [Google Scholar] [CrossRef]
- Notario, A.; Sánchez, R.; Luaces, P.; Sanz, C.; Pérez, A.G. The Infestation of Olive Fruits by Bactrocera oleae (Rossi) Modifies the Expression of Key Genes in the Biosynthesis of Volatile and Phenolic Compounds and Alters the Composition of Virgin Olive Oil. Molecules 2022, 27, 1650. [Google Scholar] [CrossRef] [PubMed]
- Gucci, R.; Caruso, G.; Gennai, C.; Esposto, S.; Urbani, S.; Servili, M. Fruit growth, yield and oil quality induced by deficit irrigation at different stages of olive fruit development, Agric. Water Manag. 2019, 212, 88–98. [Google Scholar] [CrossRef]
- Alagna, F.; Mariotti, R.; Panara, F.; Caporali, S.; Urbani, S.; Veneziani, G.; Esposto, S.; Taticchi, A.; Rosati, A.; Rao, R.; et al. Olive phenolic compounds: Metabolic and transcriptional profiling during fruit development. BMC Plant Biol. 2012, 12, 162. [Google Scholar] [CrossRef]
- Dag, A.; Naor, A.; Ben-Gal, A.; Harlev, G.; Zipori, I.; Schneider, D.; Birger, R.; Peres, M.; Gal, Y.; Kerem, Z. The effect of water stress on super-high-density ‘Koroneiki’ olive oil quality. J. Sci. Food Agric. 2015, 95, 2016–2020. [Google Scholar] [CrossRef]
- Angilè, F.; Vivaldi, G.A.; Girelli, C.R.; Del Coco, L.; Caponio, G.; Lopriore, G.; Fanizzi, F.P.; Camposeo, S. Treated Unconventional Waters Combined with Different Irrigation Strategies Affect 1H NMR Metabolic Profile of a Monovarietal Extra Virgin Olive Oil. Sustainability 2022, 14, 1592. [Google Scholar] [CrossRef]
- Dhiab, A.B.; Zaier, H.; Gaaliche, B.; Fendri, M.; Ayadi, M.; Larbi, A. Vegetative growth, fruit distribution and oil quality in the canopy of olive trees grown under super high-density cropping system. Italus Hortus 2020, 27, 82–95. [Google Scholar] [CrossRef]
- Caruso, G.; Gucci, R.; Sifola, M.I.; Selvaggini, R.; Urbani, S.; Esposto, S.; Taticchi, A.; Servili, M. Irrigation and fruit canopy position modify oil quality of olive trees (cv. Frantoio). J. Sci. Food Agric. 2017, 97, 3530–3539. [Google Scholar] [CrossRef]
- Wang, Y.; Yu, L.; Zhao, A.; Karrar, E.; Zhang, H.; Jin, Q.; Wu, G.; Yiang, X.; Chen, L.; Wang, X. Quality characteristics and antioxidant activity during fruit ripening of three monovarietal olive oils cultivated in China. J. Am. Oil Chem. Soc. 2021, 98, 229–240. [Google Scholar] [CrossRef]
- Brito, C.; Dinis, L.T.; Silva, E.; Gonçalves, A.; Matos, C.; Rodrigues, M.A.; Moutinho-Pereira, J.; Barros, A.; Correia, C. Kaolin and salicylic acid foliar application modulate yield, quality and phytochemical composition of olive pulp and oil from rainfed trees. Sci. Hort. 2018, 237, 176–183. [Google Scholar] [CrossRef]
- Zhang, Y.; Zhang, C.; Xu, C.; Deng, Y.; Wen, B.; Xie, P.; Huang, L. Effect of geographical location and soil fertility on main phenolic compounds and fatty acids compositions of virgin olive oil from Leccino cultivar in China. Food Res. Int. 2022, 157, 111207. [Google Scholar] [CrossRef] [PubMed]
- Kalogeropoulos, N.; Tsimidou, M.Z. Antioxidants in Greek Virgin Olive Oils. Antioxidants. 2014, 3, 387–413. [Google Scholar] [CrossRef] [PubMed]
- Miho, H.; Moral, J.; López-González, M.A.; Díez, C.M.; Priego-Capote, F. The phenolic profile of virgin olive oil is influenced by malaxation conditions and determines the oxidative stability. Food Chem. 2020, 314, 126183. [Google Scholar] [CrossRef]
- El Riachy, M.; Priego-Capote, F.; Leon, L.; Rallo, L.; Luque de Castro, M.D. Hydrophilic antioxidants of virgin olive oil. Part 1: Hydrophilic phenols: A key factor for virgin olive oil quality. Eur. J. Lipid Sci. Technol. 2011, 113, 678–691. [Google Scholar] [CrossRef]
- Tomé-Rodríguez, S.; Ledesma-Escobar, C.A.; Miho, H.; Muñoz, C.; Priego-Capote, F. Deciphering the influence of the cultivar on the phenolic content of virgin olive oil. J. Food Compos. Anal. 2024, 129, 106128. [Google Scholar] [CrossRef]
- Alonso-Salces, R.M.; Gallo, B.; Collado, M.I.; Sasıa-Arriba, A.; Viacava, G.E.; Garcıa-Gonzalez, D.L.; Gallina Toschi, T.; Servili, M.; Berrueta, L.A. 1H–NMR fingerprinting and supervised pattern recognition to evaluate the stability of virgin olive oil during storage. Food Control 2021, 123, 107831. [Google Scholar] [CrossRef]
- Deiana, P.; Molinu, M.G.; Dore, A.; Culeddu, N.; Dettori, S.; Santona, M. Evolution of monovarietal virgin olive oils as a function of chemical composition and oxidation status. Nat. Prod. Res. 2023, 37, 2437–2441. [Google Scholar] [CrossRef]
- Ghisoni, S.; Lucini, L.; Angilletta, F.; Rocchetti, G.; Farinelli, D.; Tombesi, S.; Trevisan, M. Discrimination of extra-virgin-olive oils from different cultivars and geographical origins by untargeted metabolomics. Food Res. Int. 2019, 121, 746–753. [Google Scholar] [CrossRef]
- Deiana, P.; Motroni, A.; Filigheddu, M.R.; Dettori, S.; Nieddu, G.; Mercenaro, L.; Alfei, B.; Culeddu, N.; Santona, M. Effect of pedoclimatic variables on analytical and organoleptic characteristics in olive fruit and virgin olive oil. Eur. J. Agr. 2023, 148, 126856. [Google Scholar] [CrossRef]
- Rotondi, A.; Alfei, B.; Magli, M.; Pannelli, G. Influence of genetic matrix and crop year on chemical and sensory profiles of Italian monovarietal extra-virgin olive oils. J. Sci. Food Agric. 2010, 90, 2641–2648. [Google Scholar] [CrossRef] [PubMed]
- La Banca Dati Degli Oli Monovarietali Italiani. Available online: https://www.olimonovarietali.it/ (accessed on 27 August 2024).
- Canu, S.; Rosati, L.; Fiori, M.; Motroni, A.; Filigheddu, R.; Farris, E. Bioclimate map of Sardinia (Italy). J. Maps 2015, 11, 711–718. [Google Scholar] [CrossRef]
- Madrau, S.; Deroma, M.A.; Loi, G.; Baldaccini, P. Il Database Pedologico Georeferenziato e la Carta dei Suoli Della Sardegna; Gallizzi: Sassari, Italy, 2006. [Google Scholar]
- International Olive Oil Council (IOC). Determination of Biophenols in Olive Oils by HPLC; IOC: Madrid, Spain, 2009; COI/T.20/Doc.29. [Google Scholar]
- Deiana, P.; Santona, M.; Dettori, S.; Molinu, M.G.; Dore, A.; Culeddu, N.; Azara, E.; Naziri, E.; Tsimidou, M.Z. Can all the Sardinian varieties support the PDO “Sardegna” virgin olive oil? Eur. J. Lipid Sci. Technol. 2019, 121, 1800135. [Google Scholar] [CrossRef]
- Bates, D.; Mächler, M.; Bolker, B.; Walker, S. Fitting Linear Mixed-Effects Models Using lme4. J. Stat. Softw. 2015, 67, 1–48. [Google Scholar] [CrossRef]
- European Commission (EC) Reg. 432/2012 Establishing a list of permitted health claims made on foods, other than those referring to the reduction of disease risk and to children’s development and health. Off. J. Eur. Union 2012, L136, 1. [Google Scholar]
- Fancello, F.; Multineddu, C.; Santona, M.; Molinu, M.G.; Zara, G.; Dettori, S.; Deiana, P.; Zara, S. Antimicrobial activities of virgin olive oils in vitro and on lettuce from pathogen-inoculated commercial quick salad bags. Food Control 2022, 133, 108657. [Google Scholar] [CrossRef]
- Tuberoso, C.I.G.; Jerković, I.; Maldini, M.; Serreli, G. Phenolic compounds, Antioxidant activity, and other characteristics of extra virgin olive oils from Italian autochthonous varieties Tonda di Villacidro, Tonda di Cagliari, Semidana, and Bosana. J. Chem. 2016, 2016, 8462741. [Google Scholar] [CrossRef]
- Morrone, L.; Neri, L.; Cantini, C.; Alfei, B.; Rotondi, A. Study of the combined effects of ripeness and production area on Bosana oil’s quality. Food Chem. 2018, 245, 1098–1104. [Google Scholar] [CrossRef]
- Miho, H.; Moral, J.; Barranco, D.; Ledesma-Escobar, C.A.; Priego-Capote, F.; Díez, C.M. Influence of genetic and interannual factors on the phenolic profiles of virgin olive oils. Food Chem. 2021, 342, 128357. [Google Scholar] [CrossRef]
- Cerretani, L.; Bendini, A.; Del Caro, A.; Piga, A.; Vacca, V.; Caboni, M.F.; Gallina Toschi, T. Preliminary characterization of virgin olive oils obtained from different cultivars in Sardinia. Eur. Food Res. Technol. 2006, 222, 354–361. [Google Scholar] [CrossRef]
- Bakhouche, A.; Lozano-Sánchez, J.; Beltrán-Debón, R.; Joven, J.; Segura-Carretero, A.; Fernández-Gutiérrez, A. Phenolic characterization and geographical classification of commercial Arbequina extra-virgin olive oils produced in southern Catalonia. Food Res. Int. 2013, 50, 401–408. [Google Scholar] [CrossRef]
- López-Biedma, A.; Sánchez-Quesada, C.; Delgado-Rodríguez, M.; Gaforio, J.J. The biological activities of natural lignans from olives and virgin olive oils: A review. J. Funct. Foods 2016, 26, 36–47. [Google Scholar] [CrossRef]
- Obied, H.K.; Bedgood, D.R., Jr.; Prenzler, P.D.; Robards, K. Chemical screening of olive biophenol extracts by hyphenated liquid chromatography. Anal. Chim. Acta 2007, 603, 176–189. [Google Scholar] [CrossRef] [PubMed]
- Karkoula, E.; Skantzari, A.; Melliou, E.; Magiatis, P. Direct measurement of oleocanthal and oleacein levels in olive oil by quantitative 1H NMR. Establishment of a new index for the characterization of extra virgin olive oils. J. Agric. Food Chem. 2012, 60, 11696–11703. [Google Scholar] [CrossRef]
- Sanchez de Medina, V.; Priego-Capote, F.; Luque de Castro, M.D. Characterization of monovarietal virgin olive oils by phenols profiling. Talanta 2015, 132, 424–432. [Google Scholar] [CrossRef]
- Morrone, L.; Vagnoni, E.; Virgilio, N.D.; Neri, L.; Rapparini, F.; Bertazza, G.; Duce, P.; Rotondi, A. Chemical profiling of Bosana virgin olive oils produced in different areas of Sardinia. J. Am. Oil Chem. Soc. 2020, 97, 1119–1129. [Google Scholar] [CrossRef]
- Navas-López, J.F.; Cano, J.; de la Rosa, R.; Velasco, L.; León, L. Genotype by environment interaction for oil quality components in olive tree. Eur. J. Agr. 2020, 119, 126115. [Google Scholar] [CrossRef]
- Cirilli, M.; Caruso, G.; Gennai, C.; Urbani, S.; Frioni, E.; Ruzzi, M.; Servili, M.; Gucci, R.; Poerio, E.; Muleo, R. The role of polyphenoloxidase, peroxidase, and β-glucosidase in phenolics accumulation in Olea europaea L. fruits under different water regimes. Front. Plant Sci. 2017, 8, 717. [Google Scholar] [CrossRef]
- Esposto, S.; Selvaggini, R.; Taticchi, A.; Veneziani, G.; Sordini, B.; Servili, M. Quality evolution of extra-virgin olive oils according to their chemical composition during 22 months of storage under dark conditions. Food Chem. 2020, 311, 126044. [Google Scholar] [CrossRef]
- Krichene, D.; Salvador, M.D.; Fregapane, G. Stability of virgin olive oil phenolic compounds during long-term storage (18 months) at temperatures of 5–50 °C. J. Agric. Food Chem. 2015, 63, 6779–6786. [Google Scholar] [CrossRef]




| Concentration (mg kg−1) | Relative Fraction (%) | |||||||||
|---|---|---|---|---|---|---|---|---|---|---|
| Variable | Median | Min | Max | SD 1 | CV (%) | Median | Min | Max | SD | CV (%) |
| Hydroxytyrosol | 2.8 | 0.6 | 9.2 | 1.5 | 47.4 | 1.0 | 0.3 | 3.1 | 0.6 | 60.7 |
| Tyrosol | 5.6 | 2.8 | 29.0 | 4.7 | 65.7 | 1.8 | 0.5 | 7.8 | 1.5 | 67.8 |
| p-coumaric acid | 0.3 | 0.0 | 1.0 | 0.2 | 67.6 | 0.1 | 0.0 | 0.3 | 0.1 | 72.6 |
| Vanillic acid | 0.5 | 0.0 | 1.6 | 0.3 | 65.2 | 0.1 | 0.0 | 0.8 | 0.1 | 90.8 |
| Vanillin | 0.4 | 0.1 | 0.8 | 0.2 | 33.9 | 0.1 | 0.0 | 0.4 | 0.1 | 47.5 |
| 1-Acetoxypinoresinol | 10.0 | 3.8 | 32.7 | 5.1 | 45.2 | 3.3 | 1.0 | 7.4 | 1.6 | 37.7 |
| Oleacein | 89.1 | 30.4 | 582.9 | 116.8 | 89.3 | 30.5 | 13.1 | 48.1 | 7.7 | 24.7 |
| Oleocanthal | 68.2 | 18.0 | 391.4 | 77.1 | 79.2 | 23.7 | 11.7 | 47.1 | 6.7 | 28.1 |
| Oleuropein aglycon | 77.5 | 31.9 | 374.1 | 72.8 | 75.2 | 23.9 | 11.0 | 38.9 | 7.1 | 28.2 |
| Ligstroside aglycon | 36.6 | 16.4 | 151.0 | 24.6 | 61.0 | 10.6 | 5.3 | 26.4 | 4.1 | 36.6 |
| Luteolin | 2.8 | 0.6 | 6.3 | 1.2 | 41.0 | 0.9 | 0.2 | 1.9 | 0.4 | 47.6 |
| Apigenin | 1.8 | 0.6 | 4.4 | 0.8 | 41.4 | 0.6 | 0.1 | 1.2 | 0.3 | 43.5 |
| Phenolic alcohols | 8.6 | 4.5 | 34.9 | 5.7 | 55.0 | 2.9 | 0.7 | 10.0 | 2.0 | 60.3 |
| Phenolic acids | 0.8 | 0.0 | 2.1 | 0.5 | 58.8 | 0.2 | 0.0 | 1.1 | 0.2 | 81.8 |
| Secoiridoids | 280.1 | 132.8 | 1466.1 | 277.6 | 76.0 | 91.8 | 84.9 | 97.0 | 2.9 | 3.2 |
| Flavonoids | 4.8 | 1.1 | 10.7 | 1.9 | 40.4 | 1.5 | 0.4 | 3.1 | 0.7 | 45.3 |
| 2 Health claim sum | 295.7 | 139.8 | 1481.2 | 278.4 | 74.1 | 94.9 | 89.6 | 98.0 | 1.8 | 1.9 |
| Total phenolic content | 311.2 | 153.0 | 1510.8 | 283.0 | 72.0 | |||||
Disclaimer/Publisher’s Note: The statements, opinions and data contained in all publications are solely those of the individual author(s) and contributor(s) and not of MDPI and/or the editor(s). MDPI and/or the editor(s) disclaim responsibility for any injury to people or property resulting from any ideas, methods, instructions or products referred to in the content. |
© 2024 by the authors. Licensee MDPI, Basel, Switzerland. This article is an open access article distributed under the terms and conditions of the Creative Commons Attribution (CC BY) license (https://creativecommons.org/licenses/by/4.0/).
Share and Cite
Molinu, M.G.; Deiana, P.; Dettori, S.; Mercenaro, L.; Nieddu, G.; Dore, A.; Culeddu, N.; Santona, M. Looking for Typical Traits in Monovarietal VOOs According to Their Phenolic Composition. Foods 2024, 13, 3425. https://doi.org/10.3390/foods13213425
Molinu MG, Deiana P, Dettori S, Mercenaro L, Nieddu G, Dore A, Culeddu N, Santona M. Looking for Typical Traits in Monovarietal VOOs According to Their Phenolic Composition. Foods. 2024; 13(21):3425. https://doi.org/10.3390/foods13213425
Chicago/Turabian StyleMolinu, Maria Giovanna, Pierfrancesco Deiana, Sandro Dettori, Luca Mercenaro, Giovanni Nieddu, Antonio Dore, Nicola Culeddu, and Mario Santona. 2024. "Looking for Typical Traits in Monovarietal VOOs According to Their Phenolic Composition" Foods 13, no. 21: 3425. https://doi.org/10.3390/foods13213425
APA StyleMolinu, M. G., Deiana, P., Dettori, S., Mercenaro, L., Nieddu, G., Dore, A., Culeddu, N., & Santona, M. (2024). Looking for Typical Traits in Monovarietal VOOs According to Their Phenolic Composition. Foods, 13(21), 3425. https://doi.org/10.3390/foods13213425

