Exploring a Sustainable Process for Polyphenol Extraction from Olive Leaves
Abstract
1. Introduction
2. Materials and Methods
2.1. Samples
2.2. Chemical Reagents
2.3. Extraction Method to Recover Polyphenols
2.4. Total Polyphenol Content (TPC)
2.5. Antioxidant Capacity by 2,2-Diphenyl-1-picrylhydrazyl (DPPH) Analysis
2.6. ORAC Analysis to Determine Antioxidant Capacity
2.7. Analysis of Reducing Sugars (Glucose and Fructose)
2.8. Quantification of Target Polyphenols
2.9. Statistical Analysis
3. Results and Discussion
3.1. Effect of Alternative Solvents during PLE
3.1.1. Total Polyphenol Content
3.1.2. Antioxidant Capacity
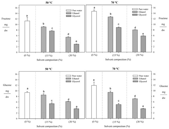
3.1.3. Sugar Reducing
3.2. Impact of Solvent Composition on the Recovery of Specific Polyphenols
4. Conclusions
Author Contributions
Funding
Institutional Review Board Statement
Informed Consent Statement
Data Availability Statement
Conflicts of Interest
References
- Selim, S.; Albqmi, M.; Al-Sanea, M.M.; Alnusaire, T.S.; Almuhayawi, M.S.; AbdElgawad, H.; Al Jaouni, S.K.; Elkelish, A.; Hussein, S.; Warrad, M.; et al. Valorising the Usage of Olive Leaves, Bioactive Compounds, Biological Activities, and Food Applications: A Comprehensive Review. Front. Nutr. 2022, 9, 1008349. [Google Scholar] [CrossRef]
- MINAGRI CULTIVO DE OLIVO (Olea Europaea). Available online: https://www.agrorural.gob.pe/wp-content/uploads/transparencia/dab/material/ficha tecnica olivo.pdf (accessed on 20 July 2023).
- Hernández, M.L.; Sicardo, M.D.; Belaj, A.; Martínez-Rivas, J.M. The Oleic/Linoleic Acid Ratio in Olive (Olea europaea L.) Fruit Mesocarp Is Mainly Controlled by OeFAD2-2 and OeFAD2-5 Genes Together With the Different Specificity of Extraplastidial Acyltransferase Enzymes. Front. Plant Sci. 2021, 12, 653997. [Google Scholar] [CrossRef] [PubMed]
- Rahmani, A.H.; Albutti, A.S.; Aly, S.M. Therapeutics Role of Olive Fruits/Oil in the Prevention of Diseases via Modulation of Anti-Oxidant, Anti-Tumour and Genetic Activity. Int. J. Clin. Exp. Med. 2014, 7, 799–808. [Google Scholar] [PubMed]
- Torres, M.; Pierantozzi, P.; Searles, P.; Cecilia Rousseaux, M.; García-Inza, G.; Miserere, A.; Bodoira, R.; Contreras, C.; Maestri, D. Olive Cultivation in the Southern Hemisphere: Flowering, Water Requirements and Oil Quality Responses to New Crop Environments. Front. Plant Sci. 2017, 8, 1830. [Google Scholar] [CrossRef] [PubMed]
- Espeso, J.; Isaza, A.; Lee, J.Y.; Sörensen, P.M.; Jurado, P.; Avena-Bustillos, R.d.J.; Olaizola, M.; Arboleya, J.C. Olive Leaf Waste Management. Front. Sustain. Food Syst. 2021, 5, 660582. [Google Scholar] [CrossRef]
- Zuntar, I.; Putnik, P.; Nutrizio, M.; Šupljika, F.; Poljanec, A.; Dubrovi, I.; Jambrak, A.R. Phenolic and Antioxidant Analysis of Olive Leaves Extracts Obtained by High Voltage Electrical Discharges. Foods 2019, 8, 1–29. [Google Scholar] [CrossRef] [PubMed]
- Wang, J.; Xu, J.; Gong, X.; Yang, M.; Zhang, C.; Li, M. Biosynthesis, Chemistry, and Pharmacology of Polyphenols from Chinese Salvia Species: A Review. Molecules 2019, 24, 155. [Google Scholar] [CrossRef]
- Zagoskina, N.V.; Zubova, M.Y.; Nechaeva, T.L.; Kazantseva, V.V.; Goncharuk, E.A.; Katanskaya, V.M.; Baranova, E.N.; Aksenova, M.A. Polyphenols in Plants: Structure, Biosynthesis, Abiotic Stress Regulation, and Practical Applications (Review). Int. J. Mol. Sci. 2023, 24, 13874. [Google Scholar] [CrossRef]
- Huaman-Castilla, N.L.; Mariotti-Celis, M.S.; Perez-Correa, J.R. Polyphenols of Carménère Grapes. Mini. Rev. Org. Chem. 2017, 14, 176–186. [Google Scholar] [CrossRef]
- Huamán-Castilla, N.L.; Gajardo-Parra, N.; Pérez-Correa, J.R.; Canales, R.I.; Martínez-Cifuentes, M.; Contreras-Contreras, G.; Mariotti-Celis, M.S. Enhanced Polyphenols Recovery from Grape Pomace: A Comparison of Pressurized and Atmospheric Extractions with Deep Eutectic Solvent Aqueous Mixtures. Antioxidants 2023, 12, 1446. [Google Scholar] [CrossRef]
- Li, D.; Li, B.; Ma, Y.; Sun, X.; Lin, Y.; Meng, X. Polyphenols, Anthocyanins, and Flavonoids Contents and the Antioxidant Capacity of Various Cultivars of Highbush and Half-High Blueberries. J. Food Compos. Anal. 2017, 62, 84–93. [Google Scholar] [CrossRef]
- Cory, H.; Passarelli, S.; Szeto, J.; Tamez, M.; Mattei, J. The Role of Polyphenols in Human Health and Food Systems: A Mini-Review. Front. Nutr. 2018, 5, 1–9. [Google Scholar] [CrossRef] [PubMed]
- Medina, E.; Romero, C.; García, P.; Brenes, M. Characterization of Bioactive Compounds in Commercial Olive Leaf Extracts, and Olive Leaves and Their Infusions. Food Funct. 2019, 10, 4716–4724. [Google Scholar] [CrossRef] [PubMed]
- Oliveira, A.L.S.; Gondim, S.; Gómez-García, R.; Ribeiro, T.; Pintado, M. Olive Leaf Phenolic Extract from Two Portuguese Cultivars –Bioactivities for Potential Food and Cosmetic Application. J. Environ. Chem. Eng. 2021, 9, 106175. [Google Scholar] [CrossRef]
- Talhaoui, N.; Taamalli, A.; Gómez-Caravaca, A.M.; Fernández-Gutiérrez, A.; Segura-Carretero, A. Phenolic Compounds in Olive Leaves: Analytical Determination, Biotic and Abiotic Influence, and Health Benefits. Food Res. Int. 2015, 77, 92–108. [Google Scholar] [CrossRef]
- Celano, M.; Maggisano, V.; Lepore, S.M.; Russo, D.; Bulotta, S. Secoiridoids of Olive and Derivatives as Potential Coadjuvant Drugs in Cancer: A Critical Analysis of Experimental Studies. Pharmacol. Res. 2019, 142, 77–86. [Google Scholar] [CrossRef] [PubMed]
- Singh, A.K.; Cabral, C.; Kumar, R.; Ganguly, R.; Rana, H.K.; Gupta, A.; Lauro, M.R.; Carbone, C.; Reis, F.; Pandey, A.K. Beneficial Effects of Dietary Polyphenols on Gut Microbiota and Strategies to Improve Delivery Efficiency. Nutrients 2019, 11, 2216. [Google Scholar] [CrossRef]
- Anand David, A.V.; Arulmoli, R.; Parasuraman, S. Overviews of Biological Importance of Quercetin: A Bioactive Flavonoid. Pharmacogn. Rev. 2016, 10, 84–89. [Google Scholar] [CrossRef]
- Bai, J.; Zhang, Y.; Tang, C.; Hou, Y.; Ai, X.; Chen, X.; Zhang, Y.; Wang, X.; Meng, X. Gallic Acid: Pharmacological Activities and Molecular Mechanisms Involved in Inflammation-Related Diseases. Biomed. Pharmacother. 2021, 133, 110985. [Google Scholar] [CrossRef]
- Sridhar, A.; Ponnuchamy, M.; Kumar, P.S.; Kapoor, A.; Vo, D.V.N.; Prabhakar, S. Techniques and Modeling of Polyphenol Extraction from Food: A Review; Springer International Publishing: Berlin/Heidelberg, Germany, 2021; Volume 19, ISBN 0123456789. [Google Scholar]
- Bosso, A.; Guaita, M.; Petrozziello, M. Influence of Solvents on the Composition of Condensed Tannins in Grape Pomace Seed Extracts. Food Chem. 2016, 207, 162–169. [Google Scholar] [CrossRef]
- Fontana, A.; Antoniolli, A.; D’Amario Fernández, M.A.; Bottini, R. Phenolics Profiling of Pomace Extracts from Different Grape Varieties Cultivated in Argentina. RSC Adv. 2017, 7, 29446–29457. [Google Scholar] [CrossRef]
- Galanakis, C.M.; Goulas, V.; Tsakona, S.; Manganaris, G.A.; Gekas, V. A Knowledge Base for the Recovery of Natural Phenols with Different Solvents. Int. J. Food Prop. 2013, 16, 382–396. [Google Scholar] [CrossRef]
- Jessop, P.G. Searching for Green Solvents. Green Chem. 2011, 13, 1391–1398. [Google Scholar] [CrossRef]
- Kamlet, M.J.; Abboud, J.L.; Taft, R.W. The Solvatochromic Comparison Method. 6. The Π* Scale of Solvent Polarities. J. Am. Chem. Soc. 1977, 99, 6027–6038. [Google Scholar] [CrossRef]
- Wijekoon, M.M.J.O.; Bhat, R.; Karim, A.A. Effect of Extraction Solvents on the Phenolic Compounds and Antioxidant Activities of Bunga Kantan (Etlingera elatior Jack.) Inflorescence. J. Food Compos. Anal. 2011, 24, 615–619. [Google Scholar] [CrossRef]
- Kchaou, W.; Abbès, F.; Blecker, C.; Attia, H.; Besbes, S. Effects of Extraction Solvents on Phenolic Contents and Antioxidant Activities of Tunisian Date Varieties (Phoenix dactylifera L.). Ind. Crops Prod. 2013, 45, 262–269. [Google Scholar] [CrossRef]
- Boeing, J.S.; Barizão, É.O.; e Silva, B.C.; Montanher, P.F.; de Cinque Almeida, V.; Visentainer, J.V. Evaluation of Solvent Effect on the Extraction of Phenolic Compounds and Antioxidant Capacities from the Berries: Application of Principal Component Analysis. Chem. Cent. J. 2014, 8, 48. [Google Scholar] [CrossRef]
- Ameer, K.; Shahbaz, H.M.; Kwon, J.H. Green Extraction Methods for Polyphenols from Plant Matrices and Their Byproducts: A Review. Compr. Rev. Food Sci. Food Saf. 2017, 16, 295–315. [Google Scholar] [CrossRef]
- Huaman-Castilla, N.L.; Martinez, M.; Camilo, C.; Pedreschi, F.; Mariotti-Celis, M.S.; Perez-Correa, J.R. The Impact of Temperature and Ethanol Concentration on the Global Recovery of Specific Polyphenols in an Integrated HPLE/RP Process on Carm é n è Re Pomace Extracts. Molecules 2019, 24, 3145. [Google Scholar] [CrossRef]
- Huamán-Castilla, N.L.; Mariotti-Celis, M.S.; Martínez-Cifuentes, M.; Pérez-Correa, J.R. Glycerol as Alternative Co-Solvent for Water Extraction of Polyphenols from Carménère Pomace: Hot Pressurized Liquid Extraction and Computational Chemistry Calculations. Biomolecules 2020, 10, 474. [Google Scholar] [CrossRef]
- Allcca-Alca, E.E.; León-Calvo, N.C.; Luque-Vilca, O.M.; Martínez, M.; Pérez-Correa, J.R.; Mariotti-Celis, M.S.; Huaman-Castilla, N.L. Hot Pressurized Liquid Extraction of Polyphenols from the Skin and Seeds of Vitis vinifera L. Cv. Negra Criolla Pomace a Peruvian Native Pisco Industry Waste. Agronomy 2021, 11, 866. [Google Scholar] [CrossRef]
- Huamán-Castilla, N.L.; Copa-Chipana, C.; Mamani-Apaza, L.O.; Luque-Vilca, O.M.; Campos-Quiróz, C.N.; Zirena-Vilca, F.; Mariotti-Celis, M.S. Selective Recovery of Polyphenols from Discarded Blueberries (Vaccinium corymbosum L.) Using Hot Pressurized Liquid Extraction Combined with Isopropanol as an Environmentally Friendly Solvent. Foods 2023, 12, 3694. [Google Scholar] [CrossRef]
- Dobroslavić, E.; Elez Garofulić, I.; Šeparović, J.; Zorić, Z.; Pedisić, S.; Dragović-Uzelac, V. Pressurized Liquid Extraction as a Novel Technique for the Isolation of Laurus nobilis L. Leaf Polyphenols. Molecules 2022, 27, 5099. [Google Scholar] [CrossRef] [PubMed]
- Cheng, Y.; Xue, F.; Yu, S.; Du, S.; Yang, Y. Subcritical Water Extraction of Natural Products. Molecules 2021, 26, 4004. [Google Scholar] [CrossRef] [PubMed]
- Plaza, M.; Turner, C. Trends in Analytical Chemistry Pressurized Hot Water Extraction of Bioactives. Trends Anal. Chem. 2015, 71, 39–54. [Google Scholar] [CrossRef]
- Cheigh, C.I.; Yoo, S.Y.; Ko, M.J.; Chang, P.S.; Chung, M.S. Extraction Characteristics of Subcritical Water Depending on the Number of Hydroxyl Group in Flavonols. Food Chem. 2015, 168, 21–26. [Google Scholar] [CrossRef] [PubMed]
- da Silva, L.C.; Viganó, J.; de Souza Mesquita, L.M.; Dias, A.L.B.; de Souza, M.C.; Sanches, V.L.; Chaves, J.O.; Pizani, R.S.; Contieri, L.S.; Rostagno, M.A. Recent Advances and Trends in Extraction Techniques to Recover Polyphenols Compounds from Apple By-Products. Food Chem. X 2021, 12, 100133. [Google Scholar] [CrossRef]
- Kamlet, M.J.; Abboud, J.-L.M.; Abraham, M.H.; Taft, R.W. Simplifying the Generalized Solvatochromic Equation. J. Org. Chem. 1983, 48, 2877–2887. [Google Scholar] [CrossRef]
- Mariotti-Celis, M.S.; Martínez-Cifuentes, M.; Huamán-Castilla, N.; Pedreschi, F.; Iglesias-Rebolledo, N.; Pérez-Correa, J.R. Impact of an Integrated Process of Hot Pressurised Liquid Extraction–Macroporous Resin Purification over the Polyphenols, Hydroxymethylfurfural and Reducing Sugars Content of Vitis Vinifera ‘Carménère’ Pomace Extracts. Int. J. Food Sci. Technol. 2018, 53, 1072–1078. [Google Scholar] [CrossRef]
- Singleton, V.L.; Rossi, J.A., Jr. Colorimetry of Total Phenolics with Phosphomolybdic-Phosphotungstic Acid Reagents. Am. J. Enol. Vitic. 1965, 16, 144–158. [Google Scholar] [CrossRef]
- Brand-Williams, W.; Cuvelier, M.E.; Berset, C. Use of a Free Radical Method to Evaluate Antioxidant Activity. Food Sci. Technol. 1995, 28, 25–30. [Google Scholar] [CrossRef]
- Chambia, F.; Chirinosa, R.; Pedreschic, R.; Betalleluz-Pallardela, I.; Debasteb, F.; Campos, D. Antioxidant Potential of Hydrolyzed Polyphenolic Extracts from Tara (Caesalpinia spinosa) Pods. Ind. Crops Prod. 2013, 47, 168–175. [Google Scholar] [CrossRef]
- Rosa, A.D.; Junges, A.; Fernandes, I.A.; Cansian, R.L.; Corazza, M.L.; Franceschi, E.; Backes, G.T.; Valduga, E. High Pressure Extraction of Olive Leaves (Olea europaea): Bioactive Compounds, Bioactivity and Kinetic Modelling. J. Food Sci. Technol. 2019, 56, 3864–3876. [Google Scholar] [CrossRef]
- Xynos, N.; Papaefstathiou, G.; Gikas, E.; Argyropoulou, A.; Aligiannis, N.; Skaltsounis, A.L. Design Optimization Study of the Extraction of Olive Leaves Performed with Pressurized Liquid Extraction Using Response Surface Methodology. Sep. Purif. Technol. 2014, 122, 323–330. [Google Scholar] [CrossRef]
- Jessop, P.G.; Jessop, D.A.; Fu, D.; Phan, L. Solvatochromic Parameters for Solvents of Interest in Green Chemistry. Green Chem. 2012, 14, 1245–1259. [Google Scholar] [CrossRef]
- Marinova, G.; Batchvarov, V. Evaluation of the Methods for Determination of the Free Radical Scavenging Activity by DPPH. Bulg. J. Agric. Sci. 2011, 17, 11–24. [Google Scholar]
- Sochorova, L.; Prusova, B.; Jurikova, T.; Mlcek, J.; Adamkova, A.; Baron, M.; Sochor, J. The Study of Antioxidant Components in Grape Seeds. Molecules 2020, 25, 3736. [Google Scholar] [CrossRef] [PubMed]
- Youn, J.S.; Kim, Y.J.; Na, H.J.; Jung, H.R.; Song, C.K.; Kang, S.Y.; Kim, J.Y. Antioxidant Activity and Contents of Leaf Extracts Obtained from Dendropanax Morbifera LEV Are Dependent on the Collecting Season and Extraction Conditions. Food Sci. Biotechnol. 2019, 28, 201–207. [Google Scholar] [CrossRef]
- Rivera-Tovar, P.R.; Torres, M.D.; Camilo, C.; Mariotti-Celis, M.S.; Domínguez, H.; Pérez-Correa, J.R. Multi-Response Optimal Hot Pressurized Liquid Recovery of Extractable Polyphenols from Leaves of Maqui (Aristotelia chilensis [Mol.] Stuntz). Food Chem. 2021, 357, 129729. [Google Scholar] [CrossRef]
- Alves, L.A.; Almeida E Silva, J.B.; Giulietti, M. Solubility of D-Glucose in Water and Ethanol/Water Mixtures. J. Chem. Eng. Data 2007, 52, 2166–2170. [Google Scholar] [CrossRef]





| Specific Polyphenol | Wavelength (nm) | Regression Equation | R2 |
|---|---|---|---|
| Oleuropein | 254 | Y = 59.2803X − 0.7963 | 0.9999 |
| Gallic | 270 | Y = 6.615X + 1.7801 | 0.9992 |
| Quercitin | 270 | Y = 24.4618X + 2.282 | 0.9997 |
| Caffeic acid | 270 | Y = 149.1198X + 0.9753 | 0.9999 |
| Catechin | 280 | Y = 25.2511X − 0.5309 | 0.9999 |
| Epicatechin | 280 | Y = 43.3950X − 2.1554 | 0.9998 |
| Vanillic acid | 280 | Y = 141.9918X − 5.4568 | 0.9998 |
| Resveratrol | 324 | Y = 78.8100X − 3.3578 | 0.9997 |
| Kaempferol | 373 | Y = 38.0226X − 1.5363 | 0.9997 |
| 50 °C | 70 °C | |||||||||
|---|---|---|---|---|---|---|---|---|---|---|
| Pure Water | 15% | 30% | Pure Water | 15% | 30% | |||||
| Phenolic Acids | Ethanol | Glycerol | Ethanol | Glycerol | Ethanol | Glycerol | Ethanol | Glycerol | ||
| Caffeic | 11.1a ±2.2 | 22.5b ±3.2 | 19.2b ±2.2 | 28.5c ±5.1 | 23.4b ±1.7 | 16.1b ±1.7 | 31.3c ±2.7 | 28.3c ±1.6 | 43.3d ±3.9 | 33.4c ±1.9 |
| Vanillic | 15.1a ±4.3 | 21.4a ±3.3 | 23.3a ±4.3 | 46.4d ±3.9 | 36.9c ±4.5 | 21.1a ±4.3 | 28.7b ±2.1 | 25.2a ±2.5 | 56.2e ±2.4 | 47.6d ±3.8 |
| Stilbenes | ||||||||||
| Resveratrol | 33.5a ±3.3 | 42.9a,b ±2.1 | 35.9a ±4.1 | 66.7d ±3.9 | 55.1c ±4.7 | 38.4a ±6.3 | 54.9 ±5.2 | 46.9b ±3.3 | 94.4e ±5.9 | 53.7c ±4.8 |
| Flavanols | ||||||||||
| Catechin | 79.0a ±6.6 | 110.0c ±8.1 | 98.0b ±7.6 | 148.6d ±9.9 | 122.6c ±11.6 | 120.3c ±10.1 | 158.6e ±8.3 | 131.8d ±9.8 | 176.9f ±11.2 | 156.5e ±7.6 |
| Epicatechin | 69.7a ±5.8 | 88.4a ±6.7 | 76.7a ±8.3 | 112.7b ±8.4 | 91.8a ±5.9 | 95.3b ±7.1 | 129.2c ±10.2 | 106.8b ±9.1 | 152.8d ±12.4 | 112.8b ±9.8 |
| Flavonols | ||||||||||
| Quercetin | 59.6a ±3.9 | 78.2b ±6.8 | 118.8d ±5.8 | 61.2a ±7.8 | 147.9e ±10.8 | 91.4c ±6.2 | 131.7e ±9.8 | 155.5e ±11.8 | 118.2d ±12.7 | 194.4f ±10.8 |
| Kaempferol | 30.0a ±4.6 | 72.9c ±4.7 | 121.5d ±9.5 | 59.6b ±6.7 | 158.3e ±11.2 | 79.9c ±7.8 | 125.2d ±10.2 | 162.4e ±9.8 | 102.9d ±8.8 | 202.5f ±11.6 |
| Secoiridoids | ||||||||||
| Oleuropein | 417.5a ±24.6 | 522.6c ±33.6 | 457.8b ±14.7 | 620.5d ±12.4 | 595.8c ±18.3 | 563.6c ±44.7 | 960.3e ±34.4 | 810.2d ±24.3 | 1312.5f ±28.6 | 949.9g ±44.6 |
Disclaimer/Publisher’s Note: The statements, opinions and data contained in all publications are solely those of the individual author(s) and contributor(s) and not of MDPI and/or the editor(s). MDPI and/or the editor(s) disclaim responsibility for any injury to people or property resulting from any ideas, methods, instructions or products referred to in the content. |
© 2024 by the authors. Licensee MDPI, Basel, Switzerland. This article is an open access article distributed under the terms and conditions of the Creative Commons Attribution (CC BY) license (https://creativecommons.org/licenses/by/4.0/).
Share and Cite
Huamán-Castilla, N.L.; Díaz Huamaní, K.S.; Palomino Villegas, Y.C.; Allcca-Alca, E.E.; León-Calvo, N.C.; Colque Ayma, E.J.; Zirena Vilca, F.; Mariotti-Celis, M.S. Exploring a Sustainable Process for Polyphenol Extraction from Olive Leaves. Foods 2024, 13, 265. https://doi.org/10.3390/foods13020265
Huamán-Castilla NL, Díaz Huamaní KS, Palomino Villegas YC, Allcca-Alca EE, León-Calvo NC, Colque Ayma EJ, Zirena Vilca F, Mariotti-Celis MS. Exploring a Sustainable Process for Polyphenol Extraction from Olive Leaves. Foods. 2024; 13(2):265. https://doi.org/10.3390/foods13020265
Chicago/Turabian StyleHuamán-Castilla, Nils Leander, Karla Syndel Díaz Huamaní, Yolanda Cristina Palomino Villegas, Erik Edwin Allcca-Alca, Nilton Cesar León-Calvo, Elvis Jack Colque Ayma, Franz Zirena Vilca, and María Salomé Mariotti-Celis. 2024. "Exploring a Sustainable Process for Polyphenol Extraction from Olive Leaves" Foods 13, no. 2: 265. https://doi.org/10.3390/foods13020265
APA StyleHuamán-Castilla, N. L., Díaz Huamaní, K. S., Palomino Villegas, Y. C., Allcca-Alca, E. E., León-Calvo, N. C., Colque Ayma, E. J., Zirena Vilca, F., & Mariotti-Celis, M. S. (2024). Exploring a Sustainable Process for Polyphenol Extraction from Olive Leaves. Foods, 13(2), 265. https://doi.org/10.3390/foods13020265

