Investigation of Salmonella enteritidis Growth under Varying Temperature Conditions in Liquid Whole Egg: Proposals for Smart Management Technology for Safe Refrigerated Storage
Abstract
1. Introduction
2. Materials and Methods
2.1. Sample Preparation
2.2. Inoculation and Enumeration
2.3. Modeling
2.3.1. Primary Model
2.3.2. Secondary Model
2.3.3. Validation of Growth Predictive Model
3. Results
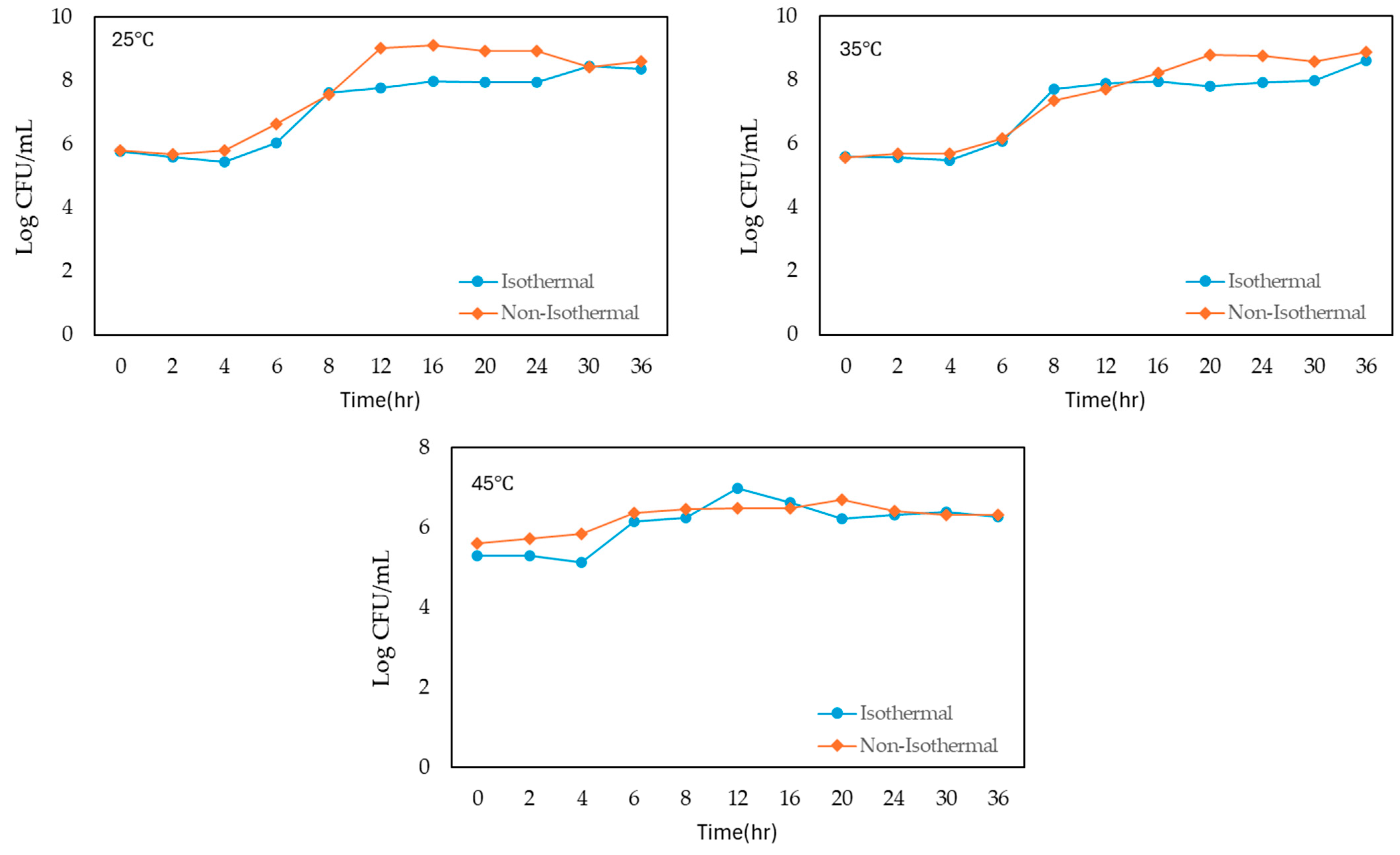
3.1. Growth Characteristics
3.2. Primary Modeling
3.3. Secondary Modeling
3.4. Validation of the Models
4. Discussion
5. Conclusions
Author Contributions
Funding
Institutional Review Board Statement
Informed Consent Statement
Data Availability Statement
Conflicts of Interest
References
- Whiley, H.; Ross, K. Salmonella and Eggs: From Production to Plate. Int. J. Environ. Res. Public Health. 2015, 12, 2543–2556. [Google Scholar] [CrossRef] [PubMed]
- Centers for Disease Control and Prevention [CDC]. Surveillance for Foodborne Disease Outbreaks, United States, 2017, Annual Report; US Department of Health and Human Services, CDC: Atlanta, GA, USA, 2019. Available online: https://www.cdc.gov/fdoss/annual-reports (accessed on 16 September 2024).
- European Food Safety Authority; European Centre for Disease Prevention and Control. The European Union One Health 2021 Zoonoses Report. EFSA J. 2022, 20, e07666. [Google Scholar] [CrossRef]
- Syamily, S.; Ramesh, K.S.; Revathi, S. Salmonella Infection in Poultry: A Review on the pathogen and control strategies. Microorganisms 2023, 11, 2814. [Google Scholar] [CrossRef] [PubMed]
- Kang, M.S.; Park, J.H.; Kim, H.J. Predictive modeling for the growth of Salmonella spp. in liquid egg white and application of scenario-based risk estimation. Microorganisms 2021, 9, 486. [Google Scholar] [CrossRef]
- Latimer, H.K.; Marks, H.M.; Coleman, M.E.; Schlosser, W.D.; Golden, N.J.; Ebel, E.D.; Kause, J.; Schroeder, C.M. Evaluating the effectiveness of pasteurization for reducing human illnesses from Salmonella spp. in egg products: Results of a quantitative risk assessment. Foodborne Pathog. Dis. 2008, 5, 59–68. [Google Scholar] [CrossRef]
- Ministry of Food and Drug Safety of Korea. Livestock Products Sanitary Control Act (Act No. 18632, Dec. 21, 2021); Ministry of Food and Drug Safety of Korea: Cheongju, Republic of Korea, 2021.
- Korea Agency of HACCP Accreditation and Services. HACCP Standard Manual; Korea Agency of HACCP Accreditation and Services: Cheongju, Republic of Korea, 2017. [Google Scholar]
- Richard, K.G.; Dana, K.; Dittoe, B.; Steven, C.R. Salmonella in eggs and egg-laying chickens: Pathways to effective control. Crit. Rev. Microbiol. 2024, 50, 39–63. [Google Scholar] [CrossRef]
- Anca, M.G.; Christopher, M.; Didier, M.; Daniel, P.; Ilie, V.; Yves, B.; André, T. Control of Salmonella contamination of shell eggs—Preharvest and postharvest methods: A review. Comp. Revs. Food Sci. Food Safe 2013, 12, 155–182. [Google Scholar] [CrossRef]
- Hope, B.K.; Baker, A.R.; Edel, E.D.; Hogue, A.T.; Schlosser, W.D.; Whiting, R.; McDowell, R.M.; Morales, R.A. An Overview of the Salmonella Enteritidis risk assessment for shell eggs and egg products. Risk Anal. 2022, 22, 203–218. [Google Scholar] [CrossRef]
- Elias, S.O.; Alvarenga, V.O.; Longhi, D.A.; Sant’Ana, A.S.; Tondo, E.C. Modeling growth kinetic parameters of Salmonella Enteritidis SE86 on homemade mayonnaise under isothermal and nonisothermal conditions. Foodborne Pathog Dis. 2016, 13, 462–467. [Google Scholar] [CrossRef]
- Juneja, V.K.; Melendres, M.V.; Huang, L. Mathematical modeling of growth of Salmonella in raw ground beef under isothermal conditions from 10 to 45 °C. Int. J. Food Microbiol. 2009, 131, 106–111. [Google Scholar] [CrossRef]
- Kim, Y.J.; Moon, H.J.; Lee, S.K.; Song, B.R.; Lim, J.S.; Heo, E.J.; Park, H.J.; Wee, S.H.; Moon, J.S. Development and validation of predictive model for Salmonella growth in unpasteurized liquid eggs. Korean J Food Sci Anim Resour. 2018, 38, 442–450. [Google Scholar] [CrossRef] [PubMed]
- Food Code. Ministry of Food and Drug Safety of Korea: Cheongju, Republic of Korea.
- Costa, J.C.C.P.; Tremarin, A.; Longhi, D.A.; Silva, A.P.R.; Carciofi, B.A.M.; Laurindo, J.B.; Aragão, G.M.F. Predictive modeling of the growth of Lactobacillus viridescens under non-isothermal conditions. Procedia Food Sci. 2016, 7, 29–32. [Google Scholar] [CrossRef]
- Baranyi, J.; Roberts, T.A. A dynamic approach to predicting bacterial growth in food. Int. J. Food Microbiol. 1994, 23, 277–294. [Google Scholar] [CrossRef] [PubMed]
- Zwietering, M.H.; Jongenburger, I.; Rombouts, F.M.; Van’t, R.K. Modeling of the bacterial growth curve. Appl. Environ. Microbiol. 1990, 56, 1875–1881. [Google Scholar] [CrossRef] [PubMed]
- Park, J.H.; Kang, M.S.; Park, K.M.; Lee, H.Y.; Ok, G.S.; Koo, M.S.; Hong, S.I.; Kim, H.J. A dynamic predictive model for the growth of Salmonella spp. and Staphylococcus aureus in fresh egg yolk and scenario-based risk estimation. Food Con. 2020, 118, 107421. [Google Scholar] [CrossRef]
- Juneja, V.K.; Valenzuela Melendres, M.; Huang, L.; Gumudavelli, V.; Subbiah, J.; Thippareddi, H. Modeling the effect of temperature on growth of Salmonella in chicken. Food Microbiol. 2007, 24, 328–335. [Google Scholar] [CrossRef]
- Lin, L.; Cepeda, J.; Subbiah, J.; Froning, G.; Juneja, V.K.; Thippareddi, H. Dynamic predictive model for growth of Salmonella spp. in scrambled egg mix. Food Microbiol. 2017, 64, 39–46. [Google Scholar] [CrossRef]
- Ye, K.; Wang, H.; Zhang, X.; Jiang, Y.; Xu, X.; Zhou, G. Development and validation of a molecular predictive model to describe the growth of Listeria monocytogenes in vacuum-packaged chilled pork. Food Control. 2013, 32, 246–254. [Google Scholar] [CrossRef]
- Huang, L. Direct construction of predictive models for describing growth of Salmonella Enteritidis in liquid eggs—A one-step approach. Food Control 2015, 57, 76–81. [Google Scholar] [CrossRef]
- Gumudavelli, V.; Subbiah, J.; Thippareddi, H.; Velugoti, P.R.; Froning, G. Dynamic predictive model for growth of Salmonella Enteritidis in egg yolk. J. Food Sci. 2007, 72, M254–M262. [Google Scholar] [CrossRef]
- Velugoti, P.R.; Bohra, L.K.; Juneja, V.K.; Huang, L.; Wesseling, A.L.; Subbiah, J.; Thippareddi, H. Dynamic model for predicting growth of Salmonella spp. in ground sterile pork. Food Microbiol. 2011, 28, 796–803. [Google Scholar] [CrossRef] [PubMed]
- Singh, A.; Korasapati, N.R.; Juneja, V.K.; Subbiah, J.; Froning, G.; Thippareddi, H. Dynamic predictive model for the growth of Salmonella spp. in liquid whole egg. J. Food Sci. 2011, 76, M225–M232. [Google Scholar] [CrossRef] [PubMed]
- Tian, F. A Supply chain traceability system for food safety based on HACCP, blockchain & Internet of things. In Proceedings of the 2017 International Conference on Service Systems and Service Management, Dalian, China, 16–18 June 2017; pp. 1–6. [Google Scholar] [CrossRef]
- Wang, S.; Wan, J.; Li, D.; Liu, C. Knowledge reasoning with semantic data for real-time data processing in smart factory. Sensors 2018, 18, 471. [Google Scholar] [CrossRef] [PubMed]





| Temp. (°C) | Sample | LT | µmax | Bf | Af | RMSE | AIC | BIC |
|---|---|---|---|---|---|---|---|---|
| 5 | Isothermal | NO | −0.036 ± 0.014 | 1.000 | 1.019 | 0.089 | −14.510 | −2.246 |
| Non-isothermal | 56.095 ± 2.999 | 0.019 ± 0.002 | 1.000 | 1.014 | 0.079 | −15.483 | −2.538 | |
| 15 | Isothermal | 15.932 ± 1.880 | 0.041 ± 0.001 | 1.005 | 1.056 | 0.388 | 0.852 | 2.363 |
| Non-isothermal | 11.472 ± 1.369 | 0.201 ± 0.038 | 1.001 | 1.015 | 0.127 | 11.600 | 5.588 | |
| 25 | Isothermal | 5.548 ± 0.165 | 0.864 ± 0.065 | 1.012 | 1.030 | 0.222 | 2.441 | 3.860 |
| Non-isothermal | 4.595 ± 0.295 | 0.561 ± 0.068 | 1.011 | 1.027 | 0.206 | 10.808 | 6.142 | |
| 35 | Isothermal | 5.538 ± 0.154 | 0.930 ± 0.193 | 1.011 | 1.029 | 0.207 | 3.357 | 4.109 |
| Non-isothermal | 3.140 ± 1.776 | 0.339 ± 0.218 | 1.009 | 1.028 | 0.198 | 2.095 | 3.765 | |
| 45 | Isothermal | 3.453 ± 0.000 | 0.145 ± 0.031 | 1.011 | 1.038 | 0.227 | −3.391 | 2.269 |
| Non-isothermal | 3.459 ± 0.125 | 0.261 ± 0.065 | 0.998 | 1.022 | 0.137 | −4.202 | 2.048 |
| Sample | Secondary Model | Equation | AIC | BIC | RMSE |
|---|---|---|---|---|---|
| Isothermal | Polynomial model | LT = 50.97 − 3.1114T + 0.05189T2 | 15.93 | 5.90 | 0.004 |
| Polynomial model | µmax = −0.6781 + 0.1012T − 0.001772 | −30.57 | −0.39 | 0.216 | |
| Ratkowsky Model | µmax = 0.8957(T − 7.883)2(1 − exp (0.0001384(T − 45.79))) | −51.31 | −5.47 | 0.081 | |
| Non- isothermal | Polynomial model | LT = 73.09 − 4.54T + 0.06808T2 | 63.07 | 18.34 | 4.808 |
| Polynomial model | µmax = −0.2133 + 0.04552T − 0.0007862T2 | −52.58 | −4.793 | 0.068 | |
| Ratkowsky Model | µmax = 0.4843(T − 2.686)2(1 − exp (0.00004614(T − 49.47))) | −46.39 | −4.488 | 0.075 |
| Category | Sensor Applied | Technology Used | Remarks |
|---|---|---|---|
| Implementation Function | Temperature Sensor | Temperature detection | Sensors are individually installed for various management factors in the workplace and are managed by an integrated control panel In case of deviation from the threshold, automatic exception handling is carried out based on sensor detection results |
| Defrost Detection Temperature Sensor | Detection of defrost operation status | ||
| Power Detection Sensor | Detects equipment operation by monitoring changes in power consumption | ||
| Controller Signal Detection Sensor | Simple detection of door opening during loading/unloading (interlinked with motion sensor) | ||
| Door Opening Detection Sensor | Detects whether a worker is present during operation by recognizing the worker with motion detection |
Disclaimer/Publisher’s Note: The statements, opinions and data contained in all publications are solely those of the individual author(s) and contributor(s) and not of MDPI and/or the editor(s). MDPI and/or the editor(s) disclaim responsibility for any injury to people or property resulting from any ideas, methods, instructions or products referred to in the content. |
© 2024 by the authors. Licensee MDPI, Basel, Switzerland. This article is an open access article distributed under the terms and conditions of the Creative Commons Attribution (CC BY) license (https://creativecommons.org/licenses/by/4.0/).
Share and Cite
Baek, S.-H.; Lim, C.-G.; Park, J.-I.; Seo, Y.-B.; Nam, I.-S. Investigation of Salmonella enteritidis Growth under Varying Temperature Conditions in Liquid Whole Egg: Proposals for Smart Management Technology for Safe Refrigerated Storage. Foods 2024, 13, 3106. https://doi.org/10.3390/foods13193106
Baek S-H, Lim C-G, Park J-I, Seo Y-B, Nam I-S. Investigation of Salmonella enteritidis Growth under Varying Temperature Conditions in Liquid Whole Egg: Proposals for Smart Management Technology for Safe Refrigerated Storage. Foods. 2024; 13(19):3106. https://doi.org/10.3390/foods13193106
Chicago/Turabian StyleBaek, Seung-Hee, Chang-Geun Lim, Jung-Il Park, Yeon-Beom Seo, and In-Sik Nam. 2024. "Investigation of Salmonella enteritidis Growth under Varying Temperature Conditions in Liquid Whole Egg: Proposals for Smart Management Technology for Safe Refrigerated Storage" Foods 13, no. 19: 3106. https://doi.org/10.3390/foods13193106
APA StyleBaek, S.-H., Lim, C.-G., Park, J.-I., Seo, Y.-B., & Nam, I.-S. (2024). Investigation of Salmonella enteritidis Growth under Varying Temperature Conditions in Liquid Whole Egg: Proposals for Smart Management Technology for Safe Refrigerated Storage. Foods, 13(19), 3106. https://doi.org/10.3390/foods13193106

